Determinar los niveles de empatía en los estudiantes de la Facultad de Medicina Humana de la Universidad de San Martín de Porres (FMH-USMP), y su correlación con algunas variables personales, sociodemográficas y de actitud religiosa.
Materiales y métodosEstudio observacional de corte transversal, en el cual se aplicó a 693 estudiantes de la FMH-USMP de 1.er a 6.o año la Escala de Empatía Médica de Jefferson (EEMJ), la Escala de Actitud Religiosa (EAR) y una ficha de datos sociodemográficos. La muestra fue por conveniencia.
ResultadosLa puntuación media de los niveles de empatía fue de 109,03. Se encontró significativamente mayores niveles de empatía en las mujeres (p<0,0005); en aquellos que piensan seguir una especialidad «vinculada al paciente» (p=0,008); y en los estudiantes que informaron haber contado con un modelo profesional en el trato al paciente (p=0,007). En los tres primeros años de estudio, los niveles de empatía fueron disminuyendo progresivamente. Las variaciones en los niveles de empatía en cada año de estudio fueron significativas en las mujeres (p=0,016). Se encontró una correlación entre la EEMJ y la EAR (r=0,16; p<0,0005).
ConclusionesLos estudiantes que piensan seguir una especialidad «vinculada al paciente» obtuvieron mayores niveles de empatía, así como las mujeres y aquellos que informaron haber contado con un modelo profesional en el trato al paciente. Se deben realizar estudios de manera longitudinal con el objetivo de evaluar la evolución de la empatía médica en los estudiantes de medicina, además de incluir en la malla curricular el entrenamiento de habilidades empáticas.
To determine the levels of empathy in the medical students of the Universidad de San Martin de Porres (FMH-USMP), and its correlation with personal, sociodemographic and religious variables.
Materials and methodsObservational and cross-sectional study was performed with data obtained using the Jefferson Medical Empathy Scale (EEMJ), the Religious Attitude Scale (EAR), and a questionnaire of sociodemographic values. They were completed by total of 693 students of the FMH-USMP from the 1st to 6th year. Convenience sampling was used.
ResultsThe mean score of empathy levels was 109.03. Significantly higher levels of empathy were found in women (P<.0005); those who plan to follow a specialty ‘linked to the patient’ (P=.008); and in students who reported having a profession modelled on the treatment of the patient (P=.007). In the first three years of study, the levels of empathy gradually decreased. Variations in levels of empathy in each year were significant in women (P=.016). A correlation was found between the EEMJ and the EAR (r=0.16, P<.0005).
ConclusionsHigher levels of empathy were observed in students who plan to follow a specialty ‘linked to the patient’, as well as women and those who reported having a profession modelled on treating the patient. Longitudinal studies should be conducted, with the aim of evaluating the evolution of medical empathy in medical students, as well as including empathy training in the curriculum design.
El concepto de empatía en el sector salud ha sido definido como un atributo principalmente cognitivo (en lugar de emocional), que implica la capacidad de comprender las experiencias, los sentimientos y las preocupaciones internas de los pacientes, combinado con la capacidad de comunicar esta comprensión y la intención de ayudar1. En la educación médica, varias habilidades que contribuyen a una mejor atención de la salud se ven reforzadas por la empatía, que es percibida como una habilidad individual que define la eficiencia en medicina y es una condición esencial para un cuidado «centrado en la persona»2. Sin embargo, la malla curricular en muchas facultades de medicina fuerza a los estudiantes a una aproximación más científica en lugar de humana; así, la empatía de los estudiantes disminuiría a medida que están sujetos a los desafíos de la práctica de la medicina moderna2. Según algunos estudios, esta erosión de la empatía ocurre en el tercer año de la educación médica y continúa hasta el quinto año, siendo considerado como un proceso «normal» durante el entrenamiento médico3-5.
En el Perú son pocos los trabajos que se han realizado sobre la evaluación de la empatía médica6-11. Hasta donde tenemos conocimiento, Ubillús et al.6 publicaron el primer estudio de empatía médica en el Perú. Encontraron que los estudiantes de cuarto año de una universidad privada de Lima fueron quienes obtuvieron un mayor nivel de empatía, siendo este resultado debido probablemente al paso del área preclínica al área clínica, que es donde ya se obtiene una experiencia cercana con los pacientes6. En un estudio reciente, Morales-Concha et al.7 hallaron que, en una población de estudiantes de medicina en una universidad pública de la sierra sur del Perú, los que se encontraron en el primer y tercer año obtuvieron un promedio de puntuación más alto de niveles de empatía. Generalmente, se ha reportado que las mujeres obtienen mayores niveles de empatía1-4,6,8,10,11, aunque existen otros estudios en los cuales no se corrobora esto7,9. Otro hallazgo frecuente es que los estudiantes que deciden seguir una especialidad médica «vinculada al paciente» obtienen mayores niveles de empatía respecto a los que optan por una «vinculada a la tecnología»1,2,8-11.
La enseñanza de la empatía merece mayor peso en el diseño curricular de las facultades de medicina peruanas, pero antes de realizar cualquier cambio, primero debemos hacer un diagnóstico del nivel de empatía general y sus dimensiones. Esto nos ayudará a identificar si la empatía se encuentra en proceso de desarrollo, se ha detenido o simplemente ha declinado, y así orientar hacia una estrategia de respuesta específica3. Por ello, el objetivo del presente estudio fue determinar los niveles de empatía en los estudiantes de la Facultad de Medicina de la Universidad de San Martín de Porres (FMH-USMP), y su correlación con algunas variables personales, sociodemográficas y de actitud religiosa.
Material y métodosDiseño del estudioEstudio observacional de corte transversal, que buscó correlacionar los niveles de empatía médica, en los estudiantes de medicina de una universidad privada del Perú, con algunas variables sociodemográficas y la actitud religiosa.
ParticipantesEstudiantes de medicina de primer a sexto año de la FMH-USMP durante el período académico 2017-II. La recolección de datos se realizó durante el mes de noviembre en las diferentes aulas en las que se dictaron las clases teóricas; la muestra fue por conveniencia. No se tomó en cuenta a los estudiantes del séptimo año (internado médico), por la dificultad logística de ir a cada hospital donde se encontraban realizando sus actividades.
InstrumentoSe midió la empatía médica utilizando un instrumento psicométrico conocido y aplicado a nivel mundial: la Escala de Empatía Médica de Jefferson (EEMJ) en su versión para estudiantes, desarrollado por la Universidad de Jefferson. Esta escala es autoadministrada, incluye 20 ítems valorados sobre una escala Likert de 7 puntos, con un rango posible de entre 20 y 1401,12. Se compone de tres dimensiones: «toma de perspectiva» (10 ítems) (p.ej., «Trato de ponerme en el lugar de mis pacientes cuando los estoy atendiendo»), «atención con compasión» (7 ítems) (p.ej., «Creo que las emociones no tienen lugar en el tratamiento de una enfermedad médica») y «disposición de ponerse en los zapatos del paciente» (p.ej., «Es difícil para mí ver las cosas desde la perspectiva de mis pacientes»). Cuenta con 10 preguntas con puntaje negativo. Esta escala fue validada al castellano en una muestra de estudiantes mexicanos, en la cual se encontró una consistencia interna de rango aceptable13. La actitud religiosa se valoró con la Escala de Actitud Religiosa (EAR), la cual fue diseñada en México. Consta de 17 ítems tipo Likert, contando con características psicométricas adecuadas para poder evaluar la actitud de la población mexicana hacia la religión. La validación de dicha escala se limita a la población católica14.
Otras variablesAdemás de la EEMJ y la EAR, se entregó una ficha de recolección de datos sociodemográficos, en la cual figuraban las siguientes variables: edad, sexo, año de estudio, estado civil, número de hijos, filiación religiosa, deseo de seguir una especialidad médica «vinculada al paciente» (p.ej., cardiología, medicina interna, pediatría, psiquiatría, etc.) o «vinculada a la tecnología» (anatomía patológica, anestesiología, cirugía general, neurocirugía, etc.), modelo profesional en el trato con el paciente (si contó con algún docente que le ayudó en la construcción de su modelo de atención al paciente) y el deseo de estudiar medicina.
Análisis de los datosSe realizó un análisis exploratorio de los datos. Para la descripción de variables continuas y discretas, se aplicaron métodos de estadística descriptiva. La relación entre variables discretas se evaluó mediante la prueba de diferencias de medias t de Student o análisis de varianza (ANOVA). La correlación entre los puntajes de la EEMJ y otras variables se evaluó mediante el cálculo del coeficiente de correlación lineal de Pearson. El nivel de significación de este estudio fue de 0,05. Los análisis se realizaron con la ayuda del programa estadístico SPSS versión 20.
Aspectos éticosSe respetó la confidencialidad de los encuestados, cumpliendo la Declaración de Helsinki. Se informó a cada participante la voluntariedad de participar en el estudio. Asimismo, no recibieron compensación alguna por la participación en este estudio. Se contó además con la autorización del Comité de Ética de la FMH-USMP.
ResultadosLa edad promedio fue de 19,97 años, con una desviación estándar (DE) de 2,84 años; la edad mínima fue 15 años y la máxima, 41 años. Las demás características sociodemográficas las podemos observar en la tabla 1.
Características sociodemográficas de los estudiantes de medicina encuestados
| Característica | n (%) |
|---|---|
| Edad, años, media (±DE) [rango] | 19,97 (±2,84) [15-41] |
| Género | |
| Masculino | 279 (40,2) |
| Femenino | 414 (59,8) |
| Especialidad | |
| Vinculada al paciente | 438 (66,9) |
| Vinculada a la tecnología | 217 (33,1) |
| Religión | |
| Católica | 514 (74,2) |
| Protestante/Evangélica | 44 (6,3) |
| Agnóstico | 58 (8,4) |
| Ateo | 37 (5,3) |
| Otro | 31 (4,5) |
| No precisó | 9 (1,3) |
| Estado civil | |
| Soltero | 673 (97,8) |
| Casado | 11 (1,6) |
| Trabajo | |
| Sí | 49 (7,1) |
| No | 643 (92,9) |
| Año de estudio | |
| 1 | 228 (32,9) |
| 2 | 208 (30) |
| 3 | 80 (11,5) |
| 4 | 31 (4,5) |
| 5 | 70 (10,1) |
| 6 | 76 (9,1) |
| Deseo de estudiar medicina | |
| Sí | 655 (94,7) |
| No | 37 (5,3) |
| Modelo profesional en el trato al paciente | |
| Sí | 498 (72) |
| No | 194 (28) |
DE: desviación estándar.
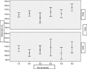
La media del puntaje de la EEMJ fue de 109,03 (DE=16,42). El puntaje medio de la EEMJ fue significativamente mayor en mujeres (111,20 versus 105,79; p=<0,005), en estudiantes que piensan seguir una especialidad «vinculada al paciente» (110,6 versus 107; p=0,008), y estudiantes que contaron en su formación profesional con un modelo en el trato al paciente (110,15 versus 106,44; p=0,007) (tabla 2). Si comparamos las variaciones en los niveles de empatía por cada año de estudio, encontramos diferencias significativas en el puntaje total de la EEMJ (p=0,011) y la dimensión «toma de perspectiva» (p=0,003) (tabla 3). Las variaciones en los niveles de empatía en cada año de estudio son significativas en las mujeres (p=0,016), mas no en los varones (p=0,24) (fig. 1).
Análisis comparativo según las variables estudiadas para las puntuaciones de empatía obtenidas de la EEMJ en 693 estudiantes de medicina
| Variables | n (%) | Media (DE) de niveles de empatía con la EEMJ | p |
|---|---|---|---|
| Sexo | <0,0005a | ||
| Varón | 279 (40,2) | 105,79 (16,69) | |
| Mujer | 414 (59,8) | 111,20 (15,95) | |
| Especialidad médica | 0,008a | ||
| Vinculada al paciente | 438 (66,9) | 110,6 (16,3) | |
| Vinculada a la tecnología | 217 (33,1) | 107 (15,91) | |
| Trabajo | 0,381a | ||
| Sí | 49 (7,1) | 107,02 (16,77) | |
| No | 643 (92,9) | 109,15 (16,4) | |
| Estado civil | 0,644b | ||
| Solteros | 673 (97,8) | 109 (16,43) | |
| Casados | 11 (1,6) | 109 (15,73) | |
| Otros | 4 (0,6) | 116.8 (24,6) | |
| Religión | 0,329b | ||
| Católico | 514 (74,2) | 109 (16,4) | |
| Protestante/Evangélico | 44 (6,3) | 110.11 (17,4) | |
| Agnóstico | 58 (8,4) | 107.44 (16,3) | |
| Ateo | 37 (5,3) | 106.08 (19,53) | |
| Otros | 31 (4,5) | 113,9 (12,3) | |
| Deseo de estudiar medicina | 0,07a | ||
| Sí | 655 (94,7) | 109,3 (16,33) | |
| No | 37 (5,3) | 104,3 (17,81) | |
| Modelo en su trato al paciente | 0,007a | ||
| Sí | 498 (72) | 110,15 (16,04) | |
| No | 194 (28) | 106,44 (16,78) | |
DE: desviación estándar; EEMJ: Escala de Empatía Médica de Jefferson.
Análisis comparativo de los niveles de empatía según la EEMJ y sus tres dimensiones por año de estudio
| Año de estudio | n | Media (DE) de niveles de empatía con la EEMJ | p | |
|---|---|---|---|---|
| Empatía | 1 | 228 | 109,17 (15,32) | 0,011a |
| 2 | 208 | 108,87 (17,99) | ||
| 3 | 80 | 106,28 (16,30) | ||
| 4 | 31 | 111,90 (12,85) | ||
| 5 | 70 | 107,46 (16,49) | ||
| 6 | 76 | 114,96 (15,35) | ||
| Toma de perspectiva | 1 | 228 | 56,28 (9,09) | 0,003a |
| 2 | 208 | 56,76 (10,15) | ||
| 3 | 80 | 55,05 (10) | ||
| 4 | 31 | 57,32 (8,43) | ||
| 5 | 70 | 56,29 (10,42) | ||
| 6 | 76 | 60,95 (8,3) | ||
| Atención con compasión | 1 | 228 | 16,87 (8,16) | 0,21a |
| 2 | 208 | 17,39 (8,08) | ||
| 3 | 80 | 17,94 (8,28) | ||
| 4 | 31 | 14,55 (5,08) | ||
| 5 | 70 | 17,71 (7,62) | ||
| 6 | 76 | 15,68 (8,36) | ||
| Disposición de ponerse en los zapatos del paciente | 1 | 228 | 10,24 (2,93) | 0,60a |
| 2 | 208 | 10,38 (3,16) | ||
| 3 | 80 | 10,84 (3,08) | ||
| 4 | 31 | 10,87 (2,78) | ||
| 5 | 70 | 10,72 (3,35) | ||
| 6 | 76 | 10,30 (3,48) | ||
DE: desviación estándar; EEMJ: Escala de Empatía Médica de Jefferson.
Se obtuvo una correlación entre la EEMJ y la EAR (r=0,16; p<0,0005). Analizando las correlaciones por dimensiones de la EEMJ y la EAR, se encontró correlación entre la dimensión «toma de perspectiva» y la EAR (r=0,17; p<0,0005), entre «atención con compasión» y la EAR (r=−0,08; p=0,049), y entre «disposición de ponerse en los zapatos del paciente» y la EAR (r=−0,08; p=0,047). No se halló correlación entre la edad y el puntaje de la EEMJ (r=0,047; p=0,228), ni entre el número de hijos y la EEMJ (r=−0,063; p=0,104).
DiscusiónLos resultados del presente estudio muestran una diferencia significativa en los niveles de empatía general y en las mujeres en relación con el año de estudio. En los tres primeros años de estudio (área preclínica), los niveles de empatía fueron disminuyendo progresivamente. En los últimos cuatro años (área clínica), se encontró un incremento de los niveles de empatía en cuarto y sexto año, mientras que en quinto año se evidenciaron los menores niveles de empatía de estos años (en dicho momento los estudiantes estaban terminando sus rotaciones por las especialidades quirúrgicas). Debemos llamar la atención que la muestra en estos últimos tres años fue menor, ya que había pocos asistentes en el aula al momento de la recolección de los datos, de lo cual podemos deducir que los que sí asistieron mostraron más compromiso y dedicación, pudiendo esto estar relacionado con los mayores niveles de empatía reportados. Estos hallazgos son concordantes con lo reportado por Hojat et al.4,5. Sin embargo, en otros estudios no se encontraron estas diferencias7,15,16.
La disminución de la empatía en los estudiantes podría deberse a 1) en la FMH-USMP a partir de segundo año se comienzan a dictar cursos de mayor peso académico (p.ej., anatomía humana, histología, embriología, etc.), lo que podría producir una sobrecarga de trabajo académico y aumentar la ansiedad entre los estudiantes por conseguir mejores promedios, pudiendo esto disminuir su empatía; 2) la falta de relevancia en la malla curricular de los aspectos psíquicos del ser humano, en general, y de la empatía, en particular (p.ej., en el primer semestre del segundo año, de un total de 22 créditos, solo 3 están dedicados al estudio de la psicología); 3) el realizar las rotaciones con profesionales que tienen gran presión asistencial, lo que daría poco tiempo para la enseñanza empática quedando el modelado continuo de las atenciones a los pacientes con poco contenido humanista; y 4) la pérdida del idealismo de los estudiantes ingresantes y la necesidad de distanciarse del paciente17.
Encontramos, además, que la dimensión «toma de perspectiva» muestra diferencias significativas en relación con el año de estudio. Esta dimensión y la «disposición de ponerse en los zapatos del paciente» son parte de la fase cognitiva de la empatía, por lo tanto, podrían ser «enseñadas» tanto positiva como negativamente3. Esto podría explicarse en parte por otro de nuestros hallazgos: los estudiantes que mencionaron no tener un modelo en su trato al paciente muestran significativamente menores niveles de empatía. Se sabe que algunos médicos sostienen que mientras más técnicamente habilidosos, racionales y desapegados emocionalmente de sus pacientes sean, mejores médicos serán, enseñando esto a los estudiantes con tal de mantener la objetividad y el cientificismo médico18. Este resultado es importante, ya que nos indica una posible estrategia de intervención específica: mejorar la empatía cognitiva de los estudiantes de la FMH-USMP. La dimensión «atención con compasión» forma parte de la fase emocional de la empatía, relacionada con la moral, la biología y la cultura de cada médico, dando como resultado que aquellos médicos con gran sentido moral y rodeados por una cultura inclinada hacia las aproximaciones empáticas no experimenten grandes cambios en esta dimensión3. Concordamos con Smith et al.16, para quienes es posible que, dentro del contexto específico de la relación médico-paciente, la empatía cognitiva disminuya. Sin embargo, esta disminución no reflejaría una pérdida de la capacidad empática general, sino más bien una falta de uso dentro de la interacción médico-paciente16.
En la muestra estudiada hallamos que las mujeres obtuvieron significativamente mayores niveles de empatía, siendo este resultado comúnmente encontrado en otros estudios1-4,6,8. Sin embargo, esto contrasta con lo que reportamos previamente en una muestra de médicos residentes peruanos, en la cual no encontramos diferencias significativas en los niveles de empatía médica de hombres y mujeres10,11. Debemos tener en cuenta que en el presente estudio hubo más mujeres que varones, a diferencia de la muestra de médicos residentes, en la cual la proporción de varones y mujeres era muy similar. Se han postulado diversas teorías que tratan de explicar esta mayor empatía en las mujeres: 1) factores extrínsecos (p.ej., el papel que la sociedad espera de las mujeres); 2) intrínsecos (p.ej., diferencias neurobiológicas)19.
Existe una correlación positiva significativa, si bien muy baja, entre el puntaje total de la EEMJ y la EAR. Este hallazgo es similar al que reportamos previamente en una muestra de médicos residentes peruanos, en la cual encontramos que aquellos residentes que se identificaron a sí mismos como pertenecientes a una religión (católica mayormente) obtuvieron significativamente mayores niveles de empatía, además de existir una correlación significativa entre el nivel de empatía y la religiosidad10,11. Son pocos los estudios que se han encargado de buscar una relación entre la empatía y la religiosidad en estudiantes y profesionales del sector salud. En un estudio se encontró que la religión y la religiosidad se relacionaron con los niveles de empatía en alumnas de enfermería: aquellas que mencionaron ser cristianas obtuvieron mayores niveles de empatía20. En otro estudio se encontró que la religiosidad se relacionó positivamente con el altruismo, los enfoques holísticos y la empatía, pero no con el respeto por la autonomía21. Sin embargo, en un estudio reciente de Santos et al.19, no se encontró asociación entre la creencia religiosa y los puntajes de empatía médica. Estas diferencias probablemente se deban al contexto cultural en el cual se desarrolla la medicina en cada país. Específicamente en el Perú, la religión católica tiene gran relevancia en la práctica médica, pudiendo favorecer una aproximación más empática hacia la persona que sufre (recordemos que la religión se ocupa de temas que también son relevantes para la medicina, como el dilema de la vida y la muerte, además de estar asociados con la espiritualidad)19.
Los estudiantes que piensan seguir una especialidad «vinculada al paciente» obtuvieron niveles significativamente mayores de empatía respecto a los que piensan elegir una especialidad «vinculada a la tecnología». Este resultado es similar a lo reportado en diversos estudios1,2,8-10. Esto podría explicarse debido a que las especialidades «vinculadas al paciente» requieren de largos encuentros con ellos, además de atender también diversos factores psicosociales, mientras que las especialidades «vinculadas a la tecnología» se centran en procedimientos diagnósticos y terapéuticos22. Quizás los niveles de empatía de los estudiantes, entre otros factores, desempeñan un rol al momento de determinar la especialidad médica que van a seguir; así, aquellos estudiantes con menores niveles de empatía se ven orientados a seguir especialidades que conlleven un menor acercamiento al paciente1,9. Esto responde en parte a una pregunta que nos hicimos en un trabajo previo: ¿los estudiantes de medicina con intereses humanistas escogen seguir la residencia en especialidades «vinculadas al paciente»? ¿Y aquellos con intereses en tecnologías se decantan por especialidades «vinculadas a la tecnología»?10. Estas diferencias deben ser corregidas desde la facultad de medicina; un estudiante debe seguir determinada especialidad no porque quiera ver lo menos posible a un paciente, o solo atender aspectos tecnológicos. Como bien señalaron Lizaraso y Ruiz: «Es necesario que los estudiantes de medicina reflexionen sobre su profesión; que ejercer la medicina es una vocación de servicio a la sociedad, que recapaciten que el acto médico no es una técnica, es una actitud que nace en el médico hacia un enfermo con su entorno o familia, buscando encontrar la solución a su salud resquebrajada»23.
Consideramos que estos resultados son importantes, ya que nos dan la base para comenzar a realizar programas de intervención a corto (p.ej., talleres de empatía) y largo plazo (p.ej., cambios en la malla curricular). En un estudio reciente se halló que las habilidades empáticas de los estudiantes de medicina podrían mejorarse mediante una capacitación específica: aquellos que habían recibido un seminario centrado en la empatía y entrenamiento en habilidades de empatía como parte de su curso de psiquiatría mostraron puntuaciones significativamente elevadas de empatía médica24. En un estudio longitudinal se encontró que en dos facultades de medicina en las cuales se daba igual importancia a los aspectos orgánicos y psíquicos de las personas, los niveles de empatía fueron mayores respecto a otras facultades de medicina25. En el Perú tenemos como antecedente a Carlos Alberto Seguin, quien aspiró a que se produzca una total renovación en la enseñanza de la medicina, dando una formación humanista amplia, enseñando de forma paralela anatomía, fisiología, farmacología y psicología médica, psicopatología y la estructura de la personalidad; lamentablemente no pudo concretizar esta reforma por problemas políticos26.
Existieron importantes limitaciones en el presente estudio: 1) este fue transversal y no hubo un seguimiento longitudinal, por lo que no pudimos observar la forma en que la empatía se modifica a través de los años de estudio; 2) existe evidencia de que la empatía autoinformada medida por la EEMJ no se correlaciona con la empatía reportada por el paciente, que es más pertinente para la relación médico-paciente ya que la percepción del paciente sobre la empatía del médico va a moldear cómo responde ese paciente al médico27; además, puede estar sujeta a sesgos de informe y deseabilidad, ya que la empatía es una característica deseable conocida de los médicos28; en futuros estudios se deberá valorar además la actitud empática; 3) no se incluyó a los estudiantes de séptimo año (internado médico).
ConclusionesEn la presente investigación evidenciamos que los estudiantes que piensan seguir una especialidad «vinculada al paciente», los que contaron con algún modelo en el trato al paciente y las mujeres obtuvieron mayores niveles de empatía, hallándose diferencias significativas. Además, encontramos una correlación positiva significativa, si bien muy baja, entre el nivel de empatía y la actitud religiosa. Consideramos que este estudio es una primera aproximación al análisis de los niveles de empatía en estudiantes de medicina de una universidad privada, el cual nos indica que la educación médica tiende a tener una mayor aproximación científica que humanista, lo cual pudiera verse reflejado en el hallazgo de que en los tres primeros años de estudio los niveles de empatía fueron disminuyendo progresivamente. Se deben realizar estudios de manera longitudinal con el objetivo de evaluar la evolución de la empatía. Recomendamos incluir en la malla curricular talleres para el entrenamiento de habilidades empáticas dirigidos a los estudiantes y docentes. La enseñanza de la empatía debería ser uno de los principales pilares a tener en cuenta en las mallas curriculares de las facultades de medicina, y es importante que los docentes sepamos transmitirla a los estudiantes.
AutoríaJHV ha participado en la concepción del artículo. JHV y MRE participaron en la recolección de datos, elaboración del manuscrito y aprobación de la versión final.
Conflicto de interesesLos autores declaran no tener ningún conflicto de intereses.
Los autores desean expresar su agradecimiento al Mg. Jorge Medina, quien apoyó con el análisis estadístico. Además, a la Dra. María Alejandra Luna, al Dr. William Flores, al Dr. Luis Roble y al Dr. Mauro Rivera, por su apoyo en la recolección de datos, y al Dr. Frank Lizaraso Caparó, por las facilidades en la aplicación de los cuestionarios.









