We investigated how ventilation with low tidal volumes affects the pharmacokinetics of sevoflurane uptake during the first minutes of inhaled anaesthesia.
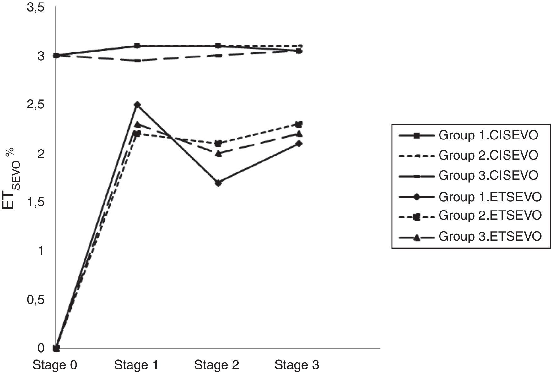
MethodsForty-eight patients scheduled for lung resection were randomly assigned to three groups. Patients in group 1, 2 and 3 received 3% sevoflurane for 3min via face mask and controlled ventilation with a tidal volume of 2.2, 8 and 12mlkg−1, respectively (Phase 1). After tracheal intubation (Phase 2), 3% sevoflurane was supplied for 2min using a tidal volume of 8mlkg−1 (Phase 3).
ResultsEnd-tidal sevoflurane concentrations were significantly higher in group 1 at the end of phase 1 and lower at the end of phase 2 than in the other groups as follows: median of 2.5%, 2.2% and 2.3% in phase 1 for groups 1, 2 and 3, respectively (P<0.001); and 1.7%, 2.1% and 2.0% in phase 2, respectively (P<0.001). End-tidal carbon dioxide values in group 1 were significantly lower at the end of phase 1 and higher at the end of phase 2 than in the other groups as follows: median of 16.5, 31 and 29.5mmHg in phase 1 for groups 1, 2 and 3, respectively (P<0.001); and 46.2, 36 and 33.5mmHg in phase 2, respectively (P<0.001).
ConclusionWhen sevoflurane is administered with tidal volume approximating the airway dead space volume, end-tidal sevoflurane and end-tidal carbon dioxide may not correctly reflect the concentration of these gases in the alveoli, leading to misinterpretation of expired gas data.
Investigamos cómo la ventilación controlada con volúmenes corrientes bajos afecta a la farmacocinética del sevoflurano durante los primeros minutos de anestesia inhalada.
MétodosCuarenta y ocho pacientes programados para cirugía de resección pulmonar fueron distribuidos al azar en tres grupos. Los pacientes del grupo 1, 2 y 3 recibieron sevoflurano al 3% durante 3 minutos mediante ventilación controlada a través de mascarilla con un volumen corriente de 2,2, 8 y 12ml kg−1, respectivamente (Fase 1). Después de la intubación traqueal (Fase 2), se administró sevoflurano al 3% durante 2 minutos usando un volumen corriente de 8ml kg−1 (Fase 3).
Resultadoslas concentraciones finales de sevoflurano fueron significativamente superiores en el grupo 1 al final de la fase I e inferiores al final de la fase II con respecto a los otros grupos: mediana del 2,5%, 2,2% y 2,3% en la fase I para los grupos 1, 2 y 3, respectivamente (P<0,001), y 1,7%, 2,1% y 2,0% en la fase II, respectivamente (P <0,001). Los valores de dióxido de carbono en el grupo 1 fueron significativamente inferiores al final de la fase I y superiores al final de la fase II frente a los otros grupos: mediana de 16,5, 31 y 29,5mmHg en la fase I para los grupos 1, 2 y 3, respectivamente (P<0,001), y 46,2 36, y 33,5mmHg en fase II, respectivamente (P<0,001).
ConclusiónCuando el sevoflurano se administra mediante volúmenes corrientes cercanos al volumen de espacio muerto de la vía aérea, las concentraciones finales de sevoflurano y dióxido de carbono pueden no reflejar correctamente la concentración de estos gases en los alvéolos, lo que puede conducir a una interpretación incorrecta de los gases expirados.










