metricas
covid
Medicina Clínica Cambios respiratorios durante la ascensión a una montaña de más de 8.000 metr...
Información de la revista
Vol. 118. Núm. 2.
Páginas 47-52 (Enero 2002)
Compartir
Descargar PDF
Más opciones de artículo
Vol. 118. Núm. 2.
Páginas 47-52 (Enero 2002)
Cambios respiratorios durante la ascensión a una montaña de más de 8.000 metros
Respiratory changes during ascension to 8,000 meters mountain
Visitas
3988
Luis Compte Torreroa, Rosa Mª Real Sorianob, Javier Botella de Magliab, Alfredo de Diego Damiáa, Vicente Macián Gisberta, Miguel Perpiñá Torderaa
a Servicio de Neumología. Expedición Cinc Segles de la Universitat de València al Gasherbrum II.
b Servicio de Neumología. Unidad de Medicina Intensiva. Hospital Universitario La Fe. Valencia.
Este artículo ha recibido
Información del artículo
Resumen
Texto completo
Bibliografía
Descargar PDF
Estadísticas
Tablas (4)
Tablas
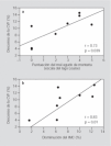
Fig. 1. Correlación del descenso porcentual de la capacidad vital forzada (CVF) durante el ascenso con: a) la escala de puntuación del mal agudo de montaña, y b) disminución porcentual del índice de masa corporal (IMC) a lo largo de la expedición.
Tablas
Fig. 2. Correlación de la saturación arterial de oxígeno (SaO#2#) a la llegada a 5.200 m (círculos) y al final de la estancia en dicha altitud (triángulos) con la respuesta ventilatoria a la hipoxia medida a nivel del mar antes de la expedición.
Tablas
Fig. 3. Correlaciones entre: a) el descenso de la saturación arterial de oxígeno (SaO#2#) durante el ejercicio a 5.200 m antes y después de la aclimatación; b) mínima SaO#2# alcanzada durante el ejercicio a 5.200 m antes y después de la aclimatación; c) SaO#2# en reposo y SaO#2# mínima durante el ejercicio a 5.200 m, y d) frecuencia cardíaca máxima y mínima SaO#2# durante el esfuerzo.
Tablas
Mostrar másMostrar menos
Fundamento: Conocer si durante las expediciones a montañas de más de 8.000 m ocurren alteraciones espirométricas y si éstas se modifican por la aclimatación, se relacionan con el mal agudo de montaña, con la saturación arterial de oxígeno (SaO2) o con el deterioro muscular por la hipoxia crónica. Sujetos y método: En 8 sujetos participantes en una expedición al Gasherbrum II (8.035 m) estudiamos la capacidad vital forzada (CVF), el volumen espiratorio máximo por segundo (VEMS), las presiones máximas inspiratoria (PIM) y espiratoria (PEM), la fuerza prensil en ambas manos y la SaO2 en reposo y durante el ejercicio. Resultados: Al llegar al campamento base (5.200 m) observamos un descenso de la CVF y del VEMS, sin cambios en la relación VEMS/CVF%. La CVF no mejoró tras la presurización en una cámara hiperbárica. Un mes después, la CVF se había normalizado. La caída de la CVF se co-relacionó con la aparición de mal agudo de montaña y con la pérdida de peso. La SaO2 en reposo mejoró con la aclimatación y se correlacionó con la respuesta ventilatoria a la hipoxia, tanto antes como después de la aclimatación. La aclimatación corrigió la caída de la SaO2 por el ejercicio. La permanencia a gran altitud disminuyó la fuerza en ambas manos, pero no redujo la PIM ni la PEM. Conclusiones: Durante la ascensión a una montaña de más de 8.000 m, apreciamos una alteración restrictiva que mejora con la aclimatación, atribuible más a edema pulmonar subclínico que a incremento del volumen vascular. Pese al deterioro muscular de la gran altitud, no hallamos debilidad de la musculatura respiratoria.
Palabras clave:
Espirometría
Presiones pulmonares estáticas máximas
Saturación arterial de oxígeno
Mal agudo de montaña
Deterioro muscular de la gran altitud
Aclimatación
Background: Our goal was to determine whether spirometric alterations occur during expeditions to 8,000-metre peaks, and whether these are modified by acclimatization or are related to acute mountain sickness, to arterial oxygen saturation (SaO2) or to muscular deterioration due to chronic hypoxic exposure. Subjects and method: Forced vital capacity (FVC), forced expiratory volume in the first second (FEV1), inspiratory (MIP) and expiratory (MEP) maximal static pressures, grip strengh in both hands, and SaO2 at rest and exercise were measured in eight subjects during an expedition to Gasherbrum II (8,035 m). Results: Upon arrival at the base camp (5,200 m), both FVC and FEV1 decreased, with no changes in the FEV1/FVC ratio. FVC did not improve after a brief pressurisation in a portable hyperbaric chamber. A month later, FVC in the base camp returned to normal values. FVC fall correlated with both the severity of acute mountain sickness and weight loss. Resting SaO2 improved with acclimatisation and correlated with the previous hypoxic ventilatory response, both before and after acclimatisation. Acclimatisation led to a decrease in the exercise-induced SaO2 fall. Stay at a high altitude lowered body weight and grip strengh, although MIP and MEP remained unchanged. Conclusions: We observed a restrictive alteration was corrected by with acclimatisation. This phenomenon seems to be related to a subclinical high-altitude pulmonary oedema rather than to an increase in the pulmonary vascular volume. Despite the high-altitude muscular deterioration, respiratory muscle weakness was not
Keywords:
Spirometry
Maximal static pulmonary pressures
Arterial oxygen saturation
Acute mountain sickness
High-altitude muscular deterioration
Acclimatisation

Artículo

Opciones para acceder a los textos completos de la publicación Medicina Clínica
Suscriptor
Suscriptor de la revista

Si ya tiene sus datos de acceso, clique aquí.

Si olvidó su clave de acceso puede recuperarla clicando aquí y seleccionando la opción "He olvidado mi contraseña".
Suscribirse
Suscribirse a:

Medicina Clínica

Comprar
Comprar acceso al artículo

Comprando el artículo el PDF del mismo podrá ser descargado

Comprar ahora
Contactar
Teléfono para suscripciones e incidencias
De lunes a viernes de 9h a 18h (GMT+1) excepto los meses de julio y agosto que será de 9 a 15h
Llamadas desde España
932 415 960
Llamadas desde fuera de España
+34 932 415 960
E-mail
Opciones de artículo
Herramientas