Este estudio busca identificar el potencial pronóstico de los parámetros de la analítica urgente en pacientes con ictus isquémico.
MétodoSe recogió prospectivamente a 592 pacientes con evento isquémico cerebral confirmado por neuroimagen, atendidos en una unidad de ictus entre 2015 y 2018. Se registraron los parámetros extraídos de la analítica urgente y se calculó la ratio neutrófilos/linfocitos y la ratio neutrófilos/plaquetas (neutrófilos×1.000/plaquetas). Se evaluó mediante modelos de regresión logística su asociación con el pronóstico funcional, evaluado mediante la escala Rankin modificada, y con el desarrollo de complicaciones como transformación hemorrágica. El valor predictivo adicional de estas variables respecto a los modelos habituales se evaluó mediante comparación de curvas ROC e índices de reclasificación.
ResultadosLos niveles de ratio neutrófilos/linfocitos ≥ 3 al ingreso asociaron 2 veces más riesgo de dependencia funcional a los 3 meses (OR: 2,24; IC 95%: 1,35-3,71) y transformación hemorrágica (OR: 2,11; IC 95%: 1,09-4,05); mientras que cifras ≥3,86 conllevaron 2,4 veces más frecuencia de mortalidad a los 3 meses (OR: 2,41; IC %: 1,37-4,26), tras ajuste por los factores tradicionales de mal pronóstico. Aquellos pacientes con ratio neutrófilos/plaquetas ≥32 presentaban hasta 3 veces más riesgo de desarrollar transformación hemorrágica (OR: 3,17; IC 95%: 1,70-5,92) y de haber fallecido a los 3 meses (OR: 3,07; IC 95%: 1,69-5,57). La adición de estos parámetros analíticos supuso una mejora significativa de la capacidad de discriminación y precisión en la predicción pronóstica sobre los modelos clínico-radiológicos habituales.
ConclusionesAlgunos parámetros básicos de la analítica urgente, muchas veces olvidados, proporcionan información pronóstica importante y podrían considerarse junto con parámetros clínicos y radiológicos para optimizar el manejo del ictus isquémico.
This study aims to evaluate the prognostic value of emergency blood test results in patients with acute ischaemic stroke.
MethodsWe evaluated 592 prospectively patients with neuroimaging-confirmed ischaemic stroke admitted to our stroke unit between 2015 and 2018. We gathered emergency blood test results and calculated the neutrophil-to-lymphocyte ratio and the neutrophil-to-platelet ratio (neutrophils×1.000/platelets). The association between blood test results and functional prognosis (as measured with the modified Rankin Scale) and such complications as haemorrhagic transformation was evaluated by logistic regression analysis. The additional predictive value of blood test parameters was assessed with receiver operating characteristic curves and the net reclassification index.
ResultsAn neutrophil-to-lymphocyte ratio ≥ 3 at admission was associated with a two-fold increase in the risk of functional dependence at 3 months (OR: 2.24; 95%CI: 1.35-3.71) and haemorrhagic transformation (OR: 2.11; 95%CI: 1.09-4.05), while an neutrophil-to-lymphocyte ratio ≥ 3.86 resulted in an increase of 2.4 times in the risk of mortality at 3 months (OR: 2.41; 95%CI: 1.37-4.26) after adjusting for the traditional predictors of poor outcomes. Patients with neutrophil-to-platelet ratio ≥ 32 presented 3 times more risk of haemorrhagic transformation (OR: 3.17; 95%CI: 1.70-5.92) and mortality at 3 months (OR: 3.07; 95%CI: 1.69-5.57). Adding these laboratory parameters to standard clinical-radiological models significantly improved discrimination and prognostic accuracy.
ConclusionsBasic blood test parameters provide important prognostic information for stroke patients and should therefore be analysed in combination with standard clinical and radiological parameters to optimise ischaemic stroke management.
En la mayoría de los centros se recoge una analítica urgente al ingreso en todo paciente con sospecha de ictus isquémico. Los parámetros medidos en esta muestra reciben, sin embargo, escasa atención una vez se descartan contraindicaciones de los tratamientos revascularizadores1 o hallazgos sugestivos de otras enfermedades que puedan actuar como stroke mimics2.
Algunos de los parámetros recogidos de forma generalizada en esta analítica urgente han demostrado capacidad predictora de complicaciones asociadas al propio ictus isquémico3,4 o a sus tratamientos5,6, así como su asociación con el pronóstico del ictus a medio y largo plazo7. Ya en los primeros ensayos con tratamiento fibrinolítico se encontró influencia del nivel de glucemia al ingreso en el pronóstico de los pacientes con ictus isquémico8. Posteriormente, en otros estudios se ha encontrado una asociación entre el recuento de neutrófilos y el pronóstico tras un ictus9,10 y la presencia de linfopenia se ha asociado a complicaciones, como el desarrollo de transformación hemorrágica (TH) en el seno del infarto11. Otro parámetro analítico evaluado ha sido la proteína C reactiva (PCR), que ha demostrado ser un buen predictor de complicaciones infecciosas tras un ictus en las primeras 24-48 h12, y que mostró una asociación con la mortalidad por todas las causas a los 3 meses tras un ictus en un metaanálisis recientemente publicado13. Asimismo, un nivel alto de fibrinógeno al ingreso se ha asociado a un incremento en la mortalidad intrahospitalaria en el ictus isquémico14.
La estratificación pronóstica en el ictus isquémico permite la adecuación de los esfuerzos diagnósticos y terapéuticos a cada caso, así como un uso racional de los recursos disponibles. Identificar a aquellos pacientes con un mayor recorrido rehabilitador o mayor riesgo de dependencia funcional tras el ictus permite optimizar los medios de apoyo domiciliario y de media-larga estancia. Así, factores como la gravedad del ictus, la edad y comorbilidad del paciente y la aparición de complicaciones (infecciones, TH, trombosis venosa profunda) son tenidos en cuenta en la fase aguda para intentar predecir el pronóstico funcional tras un ictus isquémico. Sin embargo, la introducción en los modelos predictivos de parámetros analíticos, como los obtenidos en la analítica urgente, es aún un recurso infrautilizado.
En este estudio se analizan los parámetros analíticos habitualmente incluidos en la analítica urgente y su relación con el pronóstico y complicaciones asociadas en pacientes con ictus isquémico con el objetivo de poner en valor un recurso infravalorado.
Material y métodosEste es un estudio prospectivo de pacientes con ictus isquémico confirmado por neuroimagen ingresados en la Unidad de Ictus del Complejo Hospitalario de Navarra entre noviembre de 2015 y junio de 2018 (fig. 1). El estudio fue aprobado por el Comité de Ética e Investigación Clínica del Complejo Hospitalario de Navarra (84/2018) y todos los pacientes o su representante legal autorizado firmaron el consentimiento informado del estudio.
Antes del análisis estadístico, se excluyó a aquellos pacientes que presentaban infección o proceso inflamatorio sistémico (enfermedades inflamatorias sistémicas, cáncer activo…) al ingreso (n=54), porque podrían interferir en el resto de los parámetros. Se consideró infección al ingreso el aislamiento microbiológico positivo o la sospecha diagnóstica importante que supusiera la indicación de tratamiento antibiótico.
Variables analíticas, clínicas y demográficasEn todos los pacientes se obtuvo una muestra de sangre a su llegada al hospital, antes de la indicación de tratamiento revascularizador, y se determinó el número de leucocitos totales, neutrófilos, linfocitos y plaquetas, y la concentración de fibrinógeno, PCR y glucemia. Se calculó la ratio neutrófilos/linfocitos (ratio NL) y la ratio neutrófilos/plaquetas (neutrófilos×1.000/plaquetas, ratio NP). Se recogieron los datos demográficos, factores de riesgo vascular y enfermedades cardiovasculares previas, así como datos clínicos: gravedad del ictus valorada mediante la escala NIHSS (National Institute of Health Stroke Scale) y la administración de tratamiento fibrinolítico con activador tisular del plasminógeno recombinante o tratamiento endovascular por trombectomía mecánica. De acuerdo con los criterios TOAST15, se realizó una clasificación etiológica del evento isquémico en: cardioembólico, aterotrombótico, lacunar-pequeño vaso, de otras causas e indeterminado o de causa desconocida.
Dos radiólogos independientes valoraron cambios precoces de isquemia cerebral en la TC craneal urgente mediante puntuación en la escala ASPECTS (Alberta Stroke Program Early CT Score). A todos los pacientes se les realizó una resonancia magnética craneal de 1,5 T durante la primera semana si no existía contraindicación (en aquellos con contraindicación se indicó TC craneal diferida) para la confirmación del evento isquémico y evaluación del desarrollo de TH tras el ictus.
Variables pronósticasSe registró el estado funcional de los pacientes a los 90 días mediante puntuación en la escala modificada Rankin (mRS), evaluada individualmente mediante entrevista presencial16. Las principales variables evaluadas fueron la mortalidad y la dependencia funcional a los 3 meses (definida como mRS a los 90 días>2). Otras variables de resultado fueron: a) infección respiratoria a los 3 días del evento (confirmada por aislamiento microbiológico o con alta sospecha clínica que conllevó inicio de tratamiento antibiótico) y b) TH tras el ictus de acuerdo con la clasificación ECASS III17.
Análisis estadísticoLa normalidad de las variables se evaluó mediante el test de Shapiro-Wilks. En aquellas variables cuantitativas continuas con distribución no normal se hizo transformación logarítmica. El test de t de Student o el test de la U de Mann-Whitney se utilizaron alternativamente para la comparación de grupos en variables continuas dependiendo de si seguían o no una distribución normal. En el caso de variables categóricas, se utilizó el test de chi-cuadrado para comparaciones entre grupos.
Basándose en los criterios TOAST, se crearon grupos etiológicos dicotomizados. En cuanto a la gravedad del ictus evaluada mediante puntuación en la escala NIHSS, se crearon 3 grupos categorizados (0-7, 8-14 y >14) y se realizó análisis de varianzas y análisis de tendencia por ANOVA.
Cuando se evaluó la asociación de los diferentes parámetros con la dependencia funcional a los 3 meses, se excluyó a los pacientes con una puntuación en la escala mRS al ingreso que resultase ya clasificatoria de dependencia funcional (mRS>2 basal, n=57).
Se crearon modelos de regresión logística multivariante para evaluar las asociaciones entre los diferentes parámetros analíticos con las variables resultados. Las variables incluidas en los modelos multivariante junto a cada uno de los parámetros evaluados se citan como factores tradicionales de mal pronóstico, basándose en estudios previos1,17, e incluyen: gravedad del ictus por escala NIHSS, edad, glucemia, hipertensión arterial previa y puntuación en la escala mRankin basal. Los resultados se expresan como odds ratios (OR) acompañados del intervalo de confianza al 95% (IC 95%).
Se realizó análisis ROC de cada uno de los parámetros evaluados creando variables dicotómicas con base en puntos de corte para su introducción en los modelos predictivos. Mediante el análisis de la capacidad clasificatoria se seleccionó el mínimo número de puntos de corte posibles para cada parámetro de la analítica, buscando su optimización para su uso en la predicción de las distintas variables resultado. El valor adicional aportado por la analítica sanguínea para cada variable resultado se evaluó mediante comparación de curvas ROC y cálculo del integrated discrimination improvement (IDI).
La significación estadística para el conjunto de los análisis se estableció en p<0,05. El programa de análisis utilizado fue STATA en su versión 16 (StataCorp LLC, Texas, EE. UU.).
ResultadosSe evaluó a un total de 592 pacientes con ictus isquémico. La mediana de edad fue de 76 años (rango intercuartílico, RIC: 67,4-83,5), con un 43% de mujeres. La mortalidad observada fue del 22%, con una frecuencia de dependencia funcional a los 3 meses en el resto de los pacientes del 46%. La presencia de infección o proceso inflamatorio sistémico al ingreso (n=54) se asoció a una mayor mortalidad (OR: 4,07; IC 95%: 1,69-9,78; p=0,002) o dependencia funcional (OR: 3,27; IC 95%: 1,46-7,34; p=0,004) a los 3 meses tras ajuste por los factores tradicionales de mal pronóstico. Por este motivo, y por la posible alteración de los parámetros analíticos que se estudian a continuación, estos pacientes fueron excluidos del análisis a partir de este punto (fig. 1).
Las características demográficas y clínicas del resto de los pacientes aparecen desglosadas en la tabla 1 por grupos, según el pronóstico funcional observado.
Características demográficas y clínicas de los pacientes incluidos y regresión logística por grupos según el pronóstico funcional observado
| Características de los pacientes | Dependencia funcional a 3 meses | Mortalidad a 3 meses | ||||||
|---|---|---|---|---|---|---|---|---|
| Diferencias por grupos | Reg. logística univariante | Diferencias por grupos | Reg. logística univariante | |||||
| No (n=266) | Sí (n=171) | OR (IC 95%) | p | No (n=391) | Sí (n=99) | OR (IC 95%) | p | |
| Edad en años | 72,4 (63,4-80,3) | 78,7 (71,4-85,4) | 1,75 (1,41-2,18)a | <0,001 | 74,9 (66,3-81,9) | 83,4 (74,6-89,0) | 1,69 (1,36-2,10)a | <0,001 |
| Mujeres, n (%) | 101 (38,0) | 78 (45,6) | 1,37 (0,93-2,02) | 0,113 | 159 (40,7) | 52 (52,5) | 1,61 (1,04-2,51) | 0,034 |
| Hipertensión, n (%) | 174 (65,4) | 125 (73,1) | 1,44 (0,94-2,19) | 0,092 | 263 (67,3) | 84 (84,8) | 2,73 (1,51-4,91) | 0,001 |
| Diabetes tipo 2, n (%) | 63 (23,7) | 46 (26,9) | 1,19 (0,76-1,84) | 0,448 | 105 (26,9) | 21 (21,2) | 0,73 (0,43-1,25) | 0,252 |
| Dislipidemia, n (%) | 134 (50,4) | 95 (55,6) | 1,23 (0,84-1,81) | 0,290 | 203 (51,9) | 44 (44,4) | 0,74 (0,48-1,15) | 0,185 |
| TAS al ingreso (mmHg) | 153,0 (27,3) | 151,0 (23,3) | 1,00 (0,99-1,00) | 0,432 | 151,8 (26,7) | 155,3 (24,0) | 1,01 (0,99-1,01) | 0,237 |
| TAD al ingreso (mmHg) | 82,4 (16,8) | 82,6 (16,3) | 1,00 (0,99-1,01) | 0,940 | 82,4 (16,5) | 86,2 (19,9) | 1,01 (0,99-1,03) | 0,054 |
| Glucemia al ingreso (mg/dL) | 109 (97-131) | 124 (104-153) | 3,82 (1,93-7,53)b | <0,001 | 111 (98-138) | 132 (106-154) | 2,65 (1,32-5,33)b | 0,006 |
| Recuento de leucocitos (×109/L) | 8,1 (6,7-9,5) | 8,7 (7,1-11,2) | 2,30 (1,16-4,56)b | 0,017 | 8,2 (6,8-9,8) | 9,3 (7,1-12,1) | 2,95 (1,31-6,64)b | 0,009 |
| Recuento de neutrófilos (×109/L) | 4,9 (3,9-6,4) | 6,2 (4,4-8,8) | 3,82 (2,27-6,41)b | <0,001 | 5,1 (4,1-6,6) | 6,5 (4,5-9,5) | 4,92 (2,72-8,90)b | <0,001 |
| Recuento de linfocitos (×109/L) | 1,9 (1,4-2,8) | 1,5 (1,1-2,1) | 0,33 (0,22-0,50)b | <0,001 | 1,8 (1,4-2,6) | 1,5 (1,1-2,1) | 0,40 (0,26-0,63)b | <0,001 |
| Ratio neutrófilos/linfocitos | 2,50 (1,57-3,62) | 4,17 (2,48-6,50) | 2,86 (2,09-3,92)b | <0,001 | 2,63 (1,73-4,2) | 4,78 (2,71-7,14) | 2,64 (1,90-3,67)b | <0,001 |
| Recuento de plaquetas (×109/L) | 192 (162-237) | 199 (164-237) | 1,02 (0,55-1,88)b | 0,957 | 195 (164-238) | 194 (152-237) | 0,71 (0,34-1,47)b | 0,356 |
| Ratio neutrófilos/plaquetas | 25,8 (19,0-33,8) | 30,6 (22,7-44,7) | 2,80 (1,80-4,35)b | <0,001 | 26,3 (19,5-34,6) | 35,8 (24,4-46,9) | 4,23 (2,44-7,32)b | <0,001 |
| PCR (mg/L) | 2,9 (1,6-6,2) | 5,3 (2,0-11,3) | 1,41 (1,07-1,86)b | 0,016 | 2,9 (1,6-7,7) | 6,6 (2-12,2) | 1,42 (1,05-1,92)b | 0,022 |
| Fibrinógeno (mg/dL) | 435,6 (104,6) | 439,0 (121,6) | 1,00 (0,99-1,00) | 0,822 | 432,0 (110,5) | 467,6 (99,5) | 1,00 (1,00-1,01) | 0,034 |
| Puntuación NIHSS, n (%) | ||||||||
| 0-7 | 180 (67,7) | 35 (20,5) | 1,00 (ref) | 221 (56,5) | 13 (13,1) | 1,00 (ref) | ||
| 8-14 | 31 (11,7) | 33 (19,3) | 5,47 (2,98-10,07) | <0,001 | 61 (15,6) | 15 (15,2) | 4,18 (1,89-9,26) | <0,001 |
| >14 | 55 (20,7) | 99 (57,9) | 9,3 (5,67-15,11) | <0,001 | 109 (27,9) | 65 (65,7) | 10,14 (5,36-19,19) | <0,001 |
| ASPECTS (puntos) | 9,67 (0,78) | 8,96 (1,50) | 0,57 (0,47-0,70) | <0,001 | 9,53 (1,0) | 8,59 (1,9) | 0,63 (0,53-0,74) | <0,001 |
| Puntuación mRS basal, n (%) | ||||||||
| mRS 0 | 150 (56,4) | 58 (28,2) | 1,00 (ref) | 182 (46,5) | 26 (26,3) | 1,00 (ref) | ||
| mRS 1 | 78 (29,3) | 64 (31,1) | 2,12 (1,36-3,32) | 0,001 | 121 (30,9) | 21 (21,2) | 1,21 (0,65-2,23) | 0,538 |
| mRS 2 | 38 (14,3) | 49 (23,8) | 3,33 (1,98-5,61) | <0,001 | 65 (16,6) | 22 (22,2) | 2,37 (1,26-4,47) | 0,008 |
| mRS 3 | c | c | c | 13 (3,3) | 21 (21,2) | 11,31 (5,06-25,28) | <0,001 | |
| mRS 4 | c | c | c | 10 (2,6) | 8 (8,1) | 5,6 (2,03-15,47) | 0,001 | |
| Grupo etiológico TOAST, n (%) | ||||||||
| Aterotrombótico | 38 (14,3) | 23 (13,5) | 0,94 (0,54-1,64) | 0,824 | 51 (13,0) | 11 (11,1) | 0,84 (0,42-1,69)d | 0,629 |
| Cardioembólico | 102 (38,3) | 85 (49,7) | 1,61 (1,09-2,37) | 0,017 | 162 (41,4) | 54 (54,5) | 1,73 (1,11-2,71)d | 0,015 |
| Indeterminado | 42 (15,8) | 10 (5,8) | 1,02 (0,67-1,56) | 0,917 | 56 (14,3) | 2 (2,0) | 1,07 (0,66-1,74)d | 0,777 |
| Lacunar | 77 (28,9) | 50 (29,2) | 0,33 (0,16-0,68) | 0,003 | 114 (29,2) | 30 (30,3) | 0,12 (0,03-0,52)d | 0,004 |
| Otras causas | 7 (2,6) | 2 (1,2) | 0,44 (0,09-2,15) | 0,310 | 8 (2,0) | 1 (1,0) | 0,49 (0,06-3,99)d | 0,508 |
| Trombólisis intravenosa, n (%) | 98 (36,8) | 88 (51,5) | 1,82 (1,23-2,68) | 0,003 | 152 (38,9) | 54 (54,5) | 1,89 (1,21-2,94) | 0,005 |
| Tratamiento endovascular, n (%) | 72 (27,1) | 84 (49,1) | 2,60 (1,74-3,90) | <0,001 | 115 (29,4) | 46 (46,5) | 2,08 (1,33-3,27) | 0,001 |
| TH (%) | 17 (6,4) | 53 (31,0) | 6,69 (3,71-12,06) | <0,001 | 49 (12,5) | 29 (29,3) | 2,98 (1,76-5,05) | <0,001 |
| Infección respiratoria a 3 días, n (%) | 10 (3,8) | 54 (31,6) | 12,21 (6,0-24,86) | <0,001 | 30 (7,7) | 47 (47,5) | 10,75 (6,24-18,53) | <0,001 |
Las variables continuas se presentan como media (DE) y aquellas con distribución asimétrica se presentan como mediana (RIC).
ASPECTS: Alberta Stroke Program Early CT Score; DE: desviación estándar; mRS: modified Rankin Scale; NIHSS: National Institute of Health Scale; OR: odds ratio;
RIC: rango intercuartílico 25-75; TAD: tensión arterial diastólica; TAS: tensión arterial sistólica; TH: transformación hemorrágica; TOAST: Trial of Org10172 in Acute Stroke Treatment.
En primer lugar, se evaluaron las asociaciones entre los marcadores inflamatorios y el pronóstico de los pacientes tras el ictus. El recuento leucocitario total mostró cifras más altas en pacientes con peor evolución clínica (tabla 1). Así, niveles superiores a 9,3×109/L leucocitos al ingreso se asociaron a 2 veces más riesgo de dependencia funcional y a 2,5 veces más frecuencia de mortalidad a los 3 meses (tabla 2).
Regresión logística multivariante para dependencia funcional, mortalidad a 3 meses y transformación hemorrágica con los diferentes parámetros analíticos evaluados
| Dependencia funcional a 3 mesesa | Mortalidad a 3 mesesa | Transformación hemorrágicab | |||||||
|---|---|---|---|---|---|---|---|---|---|
| Variable | Punto de corte | OR (IC 95%) | p | Punto de corte | OR (IC 95%) | p | Punto de corte | OR (IC 95%) | p |
| Leucocitos (×109/L) | ≥9,3 | 2,00 (1,15-3,48) | 0,014 | ≥9,3 | 2,47 (1,37-4,45) | 0,003 | ≥9,3 | 1,90 (0,98-3,72) | 0,059 |
| Neutrófilos (×109/L) | ≥6,2 | 2,72 (1,60-4,62) | <0,001 | ≥6,2 | 2,27 (1,27-4,04) | 0,005 | ≥6,2 | 1,36 (0,71-2,58) | 0,351 |
| Linfocitos (×109/L) | ≤1,7 | 1,83 (1,09-3,05) | 0,021 | ≤1,7 | 1,61 (0,90-2,88) | 0,107 | ≤1,7 | 1,51 (0,80-2,83) | 0,203 |
| Ratio NL | ≥3 | 2,24 (1,35-3,71) | 0,002 | ≥3,86 | 2,41 (1,37-4,26) | 0,002 | ≥3 | 2,11 (1,09-4,05) | 0,026 |
| PCR (mg/L) | ≥3,4 | 1,69 (0,76-3.76) | 0,197 | ≥5,4 | 2,70 (1,33-5,52) | 0,006 | ≥3,4 | 2,90 (0,90-9,37) | 0,075 |
| Glucemia (mg/dl) | ≥120 | 4,27 (2,50-7,29) | <0,001 | ≥120 | 3,07 (1,73-5,44) | <0,001 | ≥120 | 2,39 (1,24-4,64) | 0,010 |
| Plaquetas (×109/L) | ≤194 | 0,64 (0,38-1,06) | 0,085 | ≤194 | 0,85 (0,48-1,51) | 0,580 | ≤173 | 2,17 (1,18-4,01) | 0,013 |
| Ratio NP | ≥32 | 1,38 (0,82-2,30) | 0,225 | ≥32 | 3,07 (1,69-5,57) | <0,001 | ≥32 | 3,17 (1,70-5,92) | <0,001 |
| Fibrinógeno (mg/dL) | ≥452 | 0,80 (0,39-1,61) | 0,524 | ≥452 | 1,53 (0,73-3,18) | 0,260 | ≥504 | 1,81 (0,72-4,55) | 0,210 |
OR: odds ratio; PCR: proteína C reactiva; Ratio NL: ratio neutrófilos/linfocitos; Ratio NP: ratio neutrófilos/plaquetas.
El número de neutrófilos (×109/L) al ingreso (n=527) mostró recuentos mayores conforme más grave era el ictus (ANOVA; p<0,01) y una correlación positiva con los niveles de glucemia (coeficiente r de Pearson=0,18; p<0,001). Asimismo, los pacientes con dependencia funcional a los 3 meses o que habían fallecido presentaban mayores cifras de neutrófilos (tabla 1). El recuento de neutrófilos actuó como predictor independiente de dependencia funcional y de mortalidad a 3 meses. Así, los pacientes con ≥6,2 neutrófilos al ingreso (límite superior de normalidad del laboratorio 7×109/L) presentaron un riesgo 3 veces superior de desarrollar dependencia funcional tras el ictus e implicaron 2 veces más riesgo de fallecer, tras ajuste por los factores tradicionales de mal pronóstico.
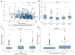
Se observaron cifras menores de linfocitos (n=524) conforme aumentaba la edad de los pacientes (r=–0,21; p<0,001), incluso tras ajuste por gravedad del ictus en modelo de regresión lineal (B=–5,18; IC 95%: de –7,22 a –3,13; p<0,01). Se encontraron menores recuentos de linfocitos en pacientes con situación de dependencia moderada, con un repunte en aquellos con dependencia severa (mRS 4) (fig. 2A-B). Los pacientes con recuentos inferiores a 1,7×109/L linfocitos asociaron 2 veces más riesgo de dependencia funcional a 3 meses tras ajuste por los factores tradicionales de mal pronóstico (tabla 2).
Asociación del recuento linfocitario y la ratio neutrófilos/linfocitos al ingreso con parámetros clínicos y demográficos. A) Asociación lineal negativa con la edad del paciente (regresión lineal). B) Asociación cuadrática con la situación funcional previa por puntuación en la escala mRankin (ANOVA con análisis de tendencias). C) Asociación lineal positiva con gravedad del ictus (ANOVA). D) Diferencias en la ratio neutrófilos/linfocitos e incidencia de infección respiratoria a los 3 días (test de Wilcoxon).
mRS: puntuación escala mRankin; NIHSS: puntuación de la Escala del National Institute of Health Stroke.
Esta linfopenia al ingreso se asoció, a su vez, a una mayor frecuencia de infección respiratoria a los 3 días (t de Student para varianzas iguales, p<0,001), con la presencia de infección respiratoria como predictor pronóstico independiente de dependencia funcional y mortalidad a 3 meses (OR: 4,22; IC 95%: 1,81-9,83; p=0,001 y OR: 6,32; IC 95%: 3,11-12,85; p=0,001, respectivamente), tras ajuste por lo factores tradicionales de mal pronóstico.
La interrelación de estos parámetros mediante el cálculo de la ratio NL se ha postulado como marcador del desequilibrio en la reacción del sistema inmune a la isquemia aguda. En nuestros pacientes, la ratio NL aumenta con relación a la gravedad del ictus (r=0,14; p<0,01) y actúa como predictor del desarrollo de infección respiratoria en los primeros 3 días tras un ictus (OR: 1,62; IC 95%: 1,11-2,35; p=0,012), tras ajuste por los factores tradicionales de mal pronóstico (fig. 2C-D).
Los pacientes con la ratio NL superior a 3 al ingreso presentaban 2 veces más riesgo de presentar dependencia funcional a los 3 meses y TH tras el ictus, mientras que niveles superiores a 3,86 se asociaron a una frecuencia 2,4 veces mayor de mortalidad a los 3 meses, tras ajuste por los factores tradicionales de mal pronóstico (tabla 2).
El último de los marcadores inflamatorios evaluados fue la PCR, medida en la analítica urgente, que se recogió, sin embargo, solo en 210 pacientes del estudio. Este marcador se correlacionó con las cifras de neutrófilos (r=0,26; p<0,001) así como con los niveles de glucemia (r=0,14; p=0,047). Los niveles crecientes de PCR evaluados por cuartiles se asociaron a dependencia funcional (fig. 3). En los modelos multivariantes, los niveles superiores a 5,4 (el límite de normalidad del laboratorio era 5) se asociaron a 2,7 veces más riesgo de mortalidad a 3 meses (tabla 2).
A-B) Diferencias en la frecuencia de dependencia funcional (A) y mortalidad (B) a 3 meses por cuartiles de proteína C reactiva. C-D) Diferencias en la frecuencia de dependencia funcional (C) y mortalidad (D) a 3 meses por cuartiles de glucemia. Análisis por ANOVA.
PCR: proteína C reactiva.
En nuestra cohorte, la glucemia (mg/dL) se encontraba elevada en los pacientes con dependencia funcional o que fallecieron a los 3 meses tras el ictus (fig. 3), sin encontrarse asociación con la gravedad del ictus (ANOVA, p>0,05). Valores superiores a 120mg/dL de glucemia se asociaron con 2 y 4 veces más riesgo de TH y de dependencia funcional, respectivamente, así como con un riesgo 3 veces superior de mortalidad a 3 meses (tabla 2).
Recuento plaquetarioEl número de plaquetas en la analítica urgente (×109/L) correlacionó positivamente con el recuento de neutrófilos (r=0,22; p<0,001) y negativamente con la edad (r=–0,19; p<0,001). No se encontraron diferencias entre las cifras de plaquetas en la analítica inicial en pacientes con evolución clínica desfavorable (tabla 1). En aquellos pacientes que desarrollaron TH como complicación tras el ictus se encontraron menores cifras de plaquetas (mediana 174; RIC: 150-200 vs. 199; 165-242,5; p<0,001). Por ello, buscando englobar la influencia del número de neutrófilos y el de plaquetas en el riesgo de desarrollar TH tras el ictus, se creó la ratio NP. Esta ratio actuó igualmente como predictor independiente de TH: aquellos pacientes con ratio NP ≥ 32 asociaron hasta 3 veces más riesgo de desarrollar TH, así como de haber fallecido a los 3 meses (tabla 2).
FibrinógenoEl fibrinógeno (mg/dL) evaluado en la analítica urgente de 277 pacientes mostró niveles más elevados en aquellos que habían fallecido a los 3 meses y estaban reducidos en aquellos que presentaron TH tras el ictus (mediana 413; RIC 341-524 vs. 439,5; 364-502; p<0,001), sin actuar, sin embargo, como predictor independiente para ninguna de las variables pronóstico en los modelos multivariantes (tabla 2).
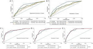
Modelos predictivos pronósticosPara evaluar la capacidad predictiva de las variables obtenidas en la analítica urgente se realizó análisis ROC para cada una de las variables pronósticas. La gravedad del ictus (puntuación NIHSS), seguida de la ratio NL, fueron las que mayor capacidad predictiva mostraron tanto para dependencia funcional como para mortalidad (fig. 4A-B).
A-B) Curvas ROC para las diferentes variables a estudio en la predicción de dependencia funcional (A) y mortalidad (B) a 3 meses. C-D) Curvas ROC para la dependencia funcional (C) y mortalidad (D), analizando la capacidad predictiva del modelo básico (ajustado por edad, hipertensión arterial previa, gravedad del ictus por escala NIHSS y situación funcional basal por escala mRankin) y el incremento de la AUC al introducir los parámetros de la analítica urgente. E) Curvas ROC para la transformación hemorrágica con el modelo básico (ajustado por sexo, tratamiento antiagregante o anticoagulante previo, gravedad del ictus por escala NIHSS y tratamiento fibrinolítico o endovascular) y tras incorporación de la ratio NP.
AUC: área bajo la curva; mRankin: escala Rankin modificada; NIHSS: National Institute of Health Stroke Scale; ratio NL: ratio neutrófilos/linfocitos; ratio NP: ratio neutrófilos/plaquetas.
Además, se construyó un modelo básico con las variables demográficas (edad, hipertensión arterial previa y situación funcional basal) y clínicas (gravedad del ictus) y se evaluó si la adición de los parámetros analíticos obtenidos en la analítica urgente mejoraban la predicción. Así, se observó un incremento significativo del área bajo la curva (AUC) para dependencia funcional y para mortalidad a 3 meses con la introducción en el modelo de la ratio NL y la glucemia (fig. 4C-D), así como un incremento de la capacidad discriminatoria (IDI 0,08; p<0,01 y 0,05; p<0,01), respectivamente). Asimismo, la introducción en el modelo multivariante para TH de la ratio NP aumentó de forma significativa la AUC (fig. 4E) y mejoró la capacidad discriminatoria del modelo (IDI 0,05; p<0,01).
DiscusiónEl presente estudio pone en valor la utilización de parámetros analíticos frecuentes en nuestro entorno para la predicción pronóstica precoz en el ictus isquémico. Así, la combinación de parámetros clínicos con herramientas simples, como la ratio NL y la glucemia al ingreso, permite mejorar la precisión pronóstica desde el mismo momento en que el paciente es atendido en el servicio de urgencias.
La inclusión de biomarcadores sanguíneos en la predicción de complicaciones y secuelas tras un ictus ha crecido exponencialmente en los últimos años18,19. Exige, sin embargo, determinaciones complejas y, en ocasiones, ofrece resultados con días de demora20. En la atención urgente al paciente con sospecha de ictus isquémico se incluye una batería de pruebas entre las que se encuentra la determinación de parámetros analíticos básicos que permiten una valoración sistémica rápida e identificar posibles comorbilidades o enfermedades que puedan imitar, condicionar o agravar un síndrome isquémico1. Algunos de estos parámetros habitualmente recogidos en la analítica de urgencias han demostrado en los últimos años su capacidad pronóstica y podrían emplearse como biomarcadores de complicaciones y pronóstico en pacientes con ictus4,21-23.
Una herramienta tan fácil de calcular como la ratio NL se ha demostrado un predictor pronóstico fiable en el ictus isquémico7,9,24. Cabe destacar el desequilibrio en la inmunomodulación que refleja la ratio NL, en la que concurre un proceso de respuesta inflamatoria sistémica en forma de neutrofilia y tormenta de citocinas y, a su vez, una situación de inmunodeficiencia adquirida secundaria al daño sobre el sistema nervioso central25. Este desequilibrio se ha relacionado con un aumento de complicaciones con gran morbimortalidad asociada, como la neumonía4,26 y el riesgo de TH sintomática6,27. En nuestro estudio, una ratio NL superior a 3 para dependencia y de 3,86 para mortalidad se mostraron como potentes predictores pronósticos independientes, con puntos de corte similares a los descritos en estudios previos24,28. A su vez, se asoció al riesgo de TH, lo que añade valor a la hora de seleccionar a los pacientes candidatos a tratamiento revascularizador y apoya que la hiperactivación neutrofílica pueda conllevar un mayor daño sobre el endotelio y la barrera hematoencefálica29.
Otra de las variables utilizadas en nuestro estudio, la ratio NP, se ha propuesto como un biomarcador rápido y accesible capaz de predecir el pronóstico funcional a medio plazo en pacientes con ictus23. Entre las funciones de las plaquetas se encuentra la estabilización de áreas de daño vascular y una ratio NP elevada se ha asociado a una mayor disrupción de la barrera hematoencefálica y, en consecuencia, tasas mayores de TH30. En nuestra cohorte, una ratio NP superior a 32 se asoció al desarrollo de TH tras el ictus, lo que mejora su predicción con respecto al modelo básico con variables clínicas y demográficas.
La posibilidad de incluir biomarcadores en la toma de decisiones en el ictus isquémico se torna acuciante en cuestiones como la capacidad de discriminar los stroke mimics, la selección de pacientes candidatos a tratamiento revascularizador para disminuir las tasas de futilidad, la adecuación de los recursos existentes a la realidad del paciente o la predicción de posibles complicaciones que, detectadas con retraso, aumentan la morbimortalidad asociada (neumonía, TH). Así, la posibilidad de asociar los paneles de marcadores que se postulan en este estudio a los modelos tradicionales de predicción pronóstica desde el mismo momento en que el paciente es atendido en el servicio de urgencias podría optimizar recursos y suponer una mejora en la atención al ictus isquémico. La concordancia con estudios previos y la demostración de un efecto adicional positivo en la predicción pronóstica indica que estas herramientas, hasta ahora infrautilizadas, podrían convertirse en un aliado asistencial, aunque aún son necesarios estudios adicionales para su adecuada integración en la toma de decisiones.
Las limitaciones propias de este estudio radican en su carácter observacional y la imposibilidad de descartar posibles factores de confusión. Por otra parte, parámetros como la PCR y el fibrinógeno fueron determinados solo en un pequeño porcentaje de los pacientes, sin haber podido evaluar adecuadamente su asociación con las variables resultado. Los modelos presentados han de ser validados en otras cohortes para evaluar su extensión a otros ámbitos u poblaciones.
ConclusionesAlgunos parámetros analíticos recogidos con frecuencia en la analítica urgente han demostrado actuar como predictores independientes de mortalidad y dependencia funcional tras un ictus y de complicaciones con importante morbimortalidad asociada. En consecuencia, la analítica urgente ofrece al profesional médico una información pronóstica adicional que puede ayudar a optimizar los protocolos y recursos existentes en la atención al ictus isquémico.
FinanciaciónLa finaciación de este estudio ha sido posible gracias al Proyecto de Investigación en Salud del Instituto de Salud Carlos III (PI19/00065), al Centro de Investigación Biomédica en Red Enfermedades Cardiovasculares-CIBERCV (CB16/11/00371) y a la Red de Investigación Cooperativa Orientada a Resultados en Salud de Enfermedades Cerebrovasculares-RICORS (RD21/0006/0008).
Conflicto de interesesNo existen conflictos de interés de ninguno de los autores con respecto al contenido de este trabajo.









