The present study aimed to evaluate the sedative and anxiolytic effects of the essential oils and hydroalcoholic extract of Kelussia odoratissima Mozaff. (K. odoratissima) in mice by utilizing an elevated plus maze. The chemical composition of its essential oil was also determined.
METHODS:The hydroalcoholic extract or essential oil fraction from this plant were administered intraperitoneally to male mice at various doses 30 min before testing. The anxiolytic and sedative effects were determined by an elevated plus maze and locomotor activity tests, respectively.
RESULTS:According to the results, none of the administered doses of hydroalcoholic extract or essential oil fraction of K. odoratissima changed the percentage of the time spent or number of entries into the open arms of the elevated plus maze. In contrast, the cumulative spontaneous locomotor activity of mice treated with the essential oil or hydroalcoholic extract was significantly decreased. Chemical analysis of the essential oil by Gas chromatography-mass spectromentry (GC-MS) showed that 3-butylidene-4,5-dihydrophthalide (85.9%) was the major component.
CONCLUSION:These data confirm the sedative properties of K. odoratissima, yet there were no profound anxiolytic effects observed.
Anxiety disorders are among the most varied mental disorders, and they normally have a considerable impact on quality of life. Substantial and prolonged stress and anxiety can adversely affect immune function, hormone levels, enzymes and gastrointestinal function. With a worldwide occurrence of 16.6%, anxiety disorders are among the most common mental disorders and a major cause of disability.1 A wide range of medications are available for the treatment of stress and anxiety-related conditions; however, none of these therapies are completely safe and without adverse effects. Interventions for stress and anxiety range from nutritional support to the use of medications such as benzodiazepines, antidepressants, β-blockers and antipsychotics.2
In the search for safer therapeutic products, researchers worldwide have explored traditional remedies to find a suitable treatment for anxiety-related disorders.3-7 Among the tested herbal extracts, kava has been shown to produce some of the best results in relieving anxiety symptoms,2 although its association with hepatotoxicity is of a significant concern. Recently, a United States Patent (No. 6,582,735) was granted for the use of an extract from Magnolia officinalis bark for stress-related conditions involving elevated cortisol, which may include patients presenting with poor control of body weight, sleep disturbances and restlessness. In Iran, a favorable climate and geography have contributed to a diversity of medicinal plants, and many endemic plant species exist. The Umbelliferae family contains approximately 275 genera and 2,850 species.8Kelussia is one of the newest genera of this family and is represented by only one species, Kelussia odoratissima Mozaff., which is found only in Iran.9 This sweet-smelling, self-growing monotypic medicinal plant is endemic to a restricted area in western Iran and locally called “Karafs-e-koohi”. The aerial part of the plant is commonly used as a popular garnish and a sedative medicinal plant. Currently, there are limited studies examining the pharmacological properties of this plant. Except for a recent publication on the antioxidant activity of K. odoratissima,10 there have been no other published reports regarding the pharmacology of this plant.
As a continuation of our previous studies on sedative medicinal plants growing wild in Iran, this study aimed to examine the anxiolytic and sedative effects of K. odoratissima. The major constituents of the essential oils derived from this plant were also investigated by gas chromatography-mass spectroscopy. To our knowledge, we are the first group to report the chemical composition of the essential oils derived from the aerial parts of K. odoratissima.
MATERIALS AND METHODSPreparation of the plant materialsThe aerial parts of K. odoratissima were collected from the central Zagros region of western Iran in March 2006. The plant was identified at the Botany Department of Isfahan University, and a voucher specimen (No. 2022) was deposited at the Herbarium of the Faculty of Pharmacy and Pharmaceutical Sciences, Isfahan University of Medical Sciences, Isfahan, Iran.
Hydroalcoholic extract: The air-dried aerial parts of K. odoratissima were extracted by maceration at room temperature with ethanol:water (8:2). The extract was concentrated in a rotary evaporator Bibby RE200, UK under reduced pressure to produce a viscous residue. The yield of the extract was 44.4% (w/w). An appropriate amount of the extract was diluted with distilled water (containing 0.5% of Tween 80) to produce the final stock solution.
Isolation of essential oil: The air-dried aerial parts of K. odoratissima were reduced to a course powder, and the oils were isolated by hydrodistillation using a Clevenger-type apparatus for 3 h according to the method recommended in the British Pharmacopeia.11 The essential oil was dried over anhydrous sodium sulfate and stored in a sealed vial at 4 °C until analysis. The yield of the oil was calculated based on the dried weight of the plant material. An appropriate amount of essential oil was diluted with distilled water (containing 2 drops of Tween 80 per 10 ml) to produce the final working concentration for pharmacological tests.
Gas chromatography-mass spectroscopy analysisGas chromatography combined with mass spectrometry was used for identification of the components of the essential oil. The analysis was performed on a Hewlett-Packard 6890 gas chromatograph fitted with a fused silica HP-5MS capillary column (30 m × 0.25 mm; coating thickness of 0.25 μm). The oven temperature was programmed to increase from 60 to 280 °C at a rate of 4 °C/min. Helium was used as carrier gas at a flow rate of 2 ml/min. The gas was coupled to a Hewlett-Packard 5972A Mass Selective Detector. The MS operating parameters were the following: ionization voltage of 70 eV and ion source temperature of 200 °C.
Identification of componentsIdentification of the components of the essential oil was based on GC retention indices relative to n-alkanes and computer matching with the Wiley 275 L mass spectra library. In addition, the analysis included comparisons of the fragmentation patterns of the mass spectra to those reported in the literature.12,13
AnimalsAll pharmacological experiments were performed on male NMRI mice (25 to 30 g) that were obtained from the Pasteur Institute (Tehran, Iran). The animals were housed in groups of six in cages at 22 to 25 °C under a 12-h light/dark cycle (lights on at 07:00 h) with free access to food and water. To reduce the influence of diurnal variations, all experiments were conducted from 08:00 to 13:00 h in a special noise-free room with controlled illumination. The experiments were performed in a separate room from where the animals had been habituated. A minimum of six mice were used for each treatment group. The animals were housed and used in accordance with the guidelines of the committee on care and use of laboratory animal resources of the Isfahan University of Medical Sciences.
Drug preparationsDiazepam hydrochloride was purchased from Chemi Darou (Tehran, Iran) in 10 mg/2 ml ampoules and diluted to an appropriate concentration using normal saline containing 0.5% Tween 80. Different concentrations of the plant extract and essential oil were prepared using normal saline and 0.5% Tween 80. All solutions were prepared fresh on test days and administered i.p. in a volume of 0.1 ml/10 g body weight of mice.
Elevated plus mazeAnxiolytic activity was measured using the elevated plus maze (EPM) test. The maze consisted of two open (30 cm × 5 cm × 0.2 cm) and two closed (30 cm × 5 cm × 15 cm) arms that extended from a central platform (5 cm × 5 cm) and was elevated to a height of 45 cm above the floor.14 The entire maze was wooden and painted black.
Mice were administered a single i.p. dose of diazepam, vehicle, extract or essential oil 30 min before their placement on the EPM. At the start of the session, the mouse was placed at the center of the maze facing an open arm, and the number of entries and the time spent in each of the closed and open arms were recorded during a 5-min observation period. Arm entries were defined as the entry of all four paws into the arm. The percentage of open arm entries (100 × open/total entries) and open arm time (100 × open/open+closed arm time) was calculated for each animal. Between each trial, the maze was wiped clean with a damp sponge and dried with paper towels.
Locomotor activityTo monitor spontaneous locomotor activity, the distance traversed by a mouse in its home cage (measuring 40 × 40 × 20 cm) was monitored via a computerized infrared tracking device (School of Pharmacy, Isfahan). The units for the activity counts were based on the number of beam breaks triggered by the movement of the mouse. Each mouse was injected with a single dose of diazepam, vehicle, extract or essential oil 30 min prior to the test and then placed in a novel cage in the infrared apparatus. The locomotor activity was measured at 5-min intervals for a total of 15 min. Six mice were used for each treatment group. The treatments were randomized throughout the day (between 08:00 and 13:00 h) to control for diurnal variations in activity.
StatisticsAll data are expressed as mean ± SEM. The differences among multiple groups were first analyzed by ANOVA. When a statistically significant difference was detected, Dunnett's t-test was used to determine statistical significance among multiple test groups and the corresponding control. A Student's t test was used to evaluate the statistical significance between two groups. These statistical comparisons were analyzed using SigmaStat software (San Jose, CA). Statistical significance was established at 95%.
RESULTSGC-MS analysisThe aerial parts of K. odoratissima yielded a 0.4% yellowish essential oil. The identified components and their percentages are given in Table 1, and the components are listed in order of their elution from the HP-5MS column.
Percentage composition of the essential oil from K. odoratissima leaf analyzed by GC-MS.
| No. | Compound | % | RI |
|---|---|---|---|
| 1 | n-propyl benzene | 0.2 | 953 |
| 2 | Limonene | t | 1028 |
| 3 | A-terpinolene | 0.1 | 1085 |
| 4 | Unknown | 1.7 | 1157 |
| 5 | Unknown | 6.2 | 1282 |
| 6 | 2-undecanone | 0.1 | 1291 |
| 7 | 4-vinyl-2-methoxy phenol | 0.2 | 1312 |
| 8 | A-cubebene | 0.1 | 1347 |
| 9 | neryl acetate | t | 1363 |
| 10 | A-copaene | 1.4 | 1372 |
| 11 | B- cubebene | t | 1386 |
| 12 | B-elemene | t | 1387 |
| 13 | B-caryophyllene | 0.3 | 1414 |
| 14 | A-humulene | 0.2 | 1450 |
| 15 | trans-β-farnesene | 0.1 | 1453 |
| 16 | B-acoradiene | 0.1 | 1461 |
| 17 | germacrene-D | 0.3 | 1475 |
| 18 | β-himachalene | 0.3 | 1494 |
| 19 | Cuparene | 0.1 | 1498 |
| 20 | germacrene-A | 0.2 | 1503 |
| 21 | β-curcumene | 0.3 | 1511 |
| 22 | δ-cadinene | 0.7 | 1522 |
| 23 | cadina 1,4-diene | 0.1 | 1525 |
| 24 | cis-3-butylidene phthalide | 0.4 | 1667 |
| 25 | 3-butylidene-4,5-dihydrophthalide | 85.9 | 1735 |
| 27 | 3N butyl phthalide | 0.3 | 1815 |
ligustilide: 3-butylidene-4,5-dihydrophthalide.
Retention indices on a HP-5MS capillary column.
t: trace (≤ 0.05%).
%: Calculated from TIC data.
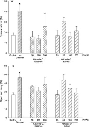
In the elevated plus-maze, 1.5 mg/kg diazepam significantly increased the percentage of time spent and number of entries into the open arms (p < 0.05; Figs. 1 A and B). Based on pilot studies, three doses (50, 100 and 200 mg/kg) of the hydroalcoholic extract (HE) and essential oil were evaluated for anxiolytic activities. As shown in Figs. 1 A and B, none of the administered doses of HE or essential oil from K. odoratissima significantly changed the percentage of time spent or number of entries into the open arms.
The effects of diazepam, vehicle and different doses of K. odoratissima essential oil and extract on (A) the percentage of time mice spent in the open arms and on (B) the percentage of entries into the open arms during a 5-min test. Various doses of the plant's essential oil or extract, diazepam or vehicle were injected 30 min prior to testing. Data are presented as mean values ± SEM for each group of 6 mice. *p < 0.05 compared to control group.
The spontaneous locomotor activity was measured at 5-min intervals for 15 min. As shown in Figs. 2 A and B, locomotor activity was significantly decreased in animals injected with diazepam at all three intervals (5, 10 and 15 min), and there was a decrease in the cumulative locomotor activity over the total 15-min test time (p < 0.05; Figs. 2 A, B). The effects of HE and the essential oil fraction from K. odoratissima on locomotor activity were tested at 50 mg/kg. The HE at 50 mg/kg significantly decreased both locomotor activity in the first and second intervals (5 and 10 min) and the cumulative locomotor activity (p < 0.05; Figs. 2 A, B). Although the essential oil fraction decreased the locomotor activity in all three intervals, this decrease was not statistically significant. However, there was a significant decrease in the cumulative locomotor activity after administration of the essential oil of the plant (p < 0.05; Figs. 2 A, B).
The effects of diazepam, vehicle, and different doses of K. odoratissima essential oil and extract on (A) spontaneous locomotor activity during three 5-min intervals and on (B) spontaneous locomotor activity during the total 15 min of testing. The locomotor activity counts (mean ± SEM) were measured over a 15-min period beginning 30 min after the administration of vehicle, diazepam, plant essential oil or extract. Data are presented as mean ± SEM for each group of 6 mice. *p < 0.05 compared to control group.
The aims of the present study were (1) to evaluate the sedative and anxiolytic effects of the HE and essential oils from K. odoratissima and (2) to determine the main constituents of the essential oil fraction. To assess the anxiolytic effects of this Iranian plant, an EPM was used to assess anxiety. In agreement with previously published reports, diazepam increased the percentage of time spent and number of entries into the open arms,15-17 which confirmed the validity of the EPM model and the anxiolytic activity of diazepam.18 In contrast to diazepam, the total HE and essential oils from K. odoratissima did not produce significant increases in the EPM parameters, thereby indicating a lack of anxiolytic-like effects. Several explanations can be given for this lack of an anxiolytic effect. First, it is possible that the plant does not contain any bioactive, detectable constituent to produce anxiolytic effects. Therefore, the calming effect of the plant reported after consuming the dried aerial parts could be due to reduced locomotor activity, which we witnessed in this study.
The other possible reason for not observing the anxiolytic effects of this plant was the experimental model of anxiety. EPM is currently one of the most widely used models of animal anxiety and has been validated in both rats and mice.19 This test is based on the natural conflict between the drive to explore a new environment and the tendency to avoid a potentially dangerous area. Thus, all behaviors measured in the EPM depend, directly or indirectly, on motor activity, which is probably the main confounding factor in these so-called ethological tests. The approach-avoidance conflict can be resolved by anxiolytic drugs such as benzodiazepines, which produce an increase in the approach levels without necessarily affecting locomotion in the protected areas.20,21 The EPM model of anxiety has several practical limitations that could also make data interpretation difficult; however, these problems could perhaps be resolved by the addition of a conditional anxiety model.20,22-25
Both the total HE and the essential oil fraction from K. odoratissima significantly decreased the spontaneous locomotor activity of mice. This reduction in locomotor activity could either be due to the plant's action on the CNS or a direct effect on the periphery. In any case, this effect of K. odoratissima is consistent with its folk use as a tranquilizing agent. Further studies are required to determine the mechanism for the sedative action of this plant. K. odoratissima has been shown to possess several medicinal properties, which include its activities as an anticonvulsant, fibrinolytic, anti-inflammatory agent; it also prevents fatty streak formation. However, no one so far has examined the CNS calming effects of the plant.26
The essential oil of K. odoratissima consists of 27 components, which represent 99.3% of the total essential oils. The main constituents of the essential oil are phthalides, which include 3-butylidene-4,5-dihydrophthalide (z-Ligustilide) (85.9%), cis-3butylidene phthalide (0.4%) and 3N butyl phthalide (0.3%). The other main identified components of the essential oil of K. odoratissima are α-copaene (1.4%) and δ-cadinene (0.7%).
Phthalides, and their corresponding dihydro and tetrahydro analogs, are components of several genera from the plant family Apiaceae.27 They are bioactive phytochemicals and have important molecular and cellular effects, which include the inhibition of DNMTs (DNA methyltransferases) by targeting DNA hypermethylation,28 stimulation of glutathione transferase activity,29 antiproliferative effects on colon cancer cells,30 potential anti-fibrotic effects for the treatment and prevention of hepatic fibrosis31 and protective effects on focal cerebral ischemia in rats.32 Numerous studies have examined the effects of the phthalide family member, z-Ligustilide (3-butylidene-4,5-dihydrophthalide, LIG). This compound has diverse biological activities, which include smooth muscle relaxation, improved microcirculation, antiasthmatic and analgesic effects, antiproliferative effects on smooth muscle cells and significant neuroprotective effects against transient forebrain ischemia in mice and focal cerebral ischemia in rats through antioxidant and antiapoptotic mechanisms.33
In conclusion, the results of the present study provide evidence for the sedative property of K. odoratissima, which may be mediated by the bioactive phtalides34 contained in this plant. Further studies are underway to examine the other constituents of this plant and their therapeutic potential.
This research received no specific grants from any funding agency in the public, commercial or not-for-profit sectors.



