Los médicos residentes que laboran más horas diarias son propensos a sufrir problemas de salud mental como la depresión, tema que se ha estudiado poco. Por ello, el presente estudio tiene por objetivos determinar la prevalencia de los síntomas depresivos y evaluar la asociación entre el número de horas diarias laboradas y la presencia de síntomas depresivos en residentes del Perú.
MétodosEstudio transversal analítico que usó la base de datos de la Encuesta Nacional para Médicos Residentes-2016, una encuesta voluntaria realizada virtualmente por el Consejo Nacional de Residentado Médico de Perú a médicos que realizaban su residencia en este país. Se consideró presencia de síntomas depresivos una puntuación ≥ 3 con la escala Patient Health Questionnaire-2. Las horas laboradas diariamente se tomaron mediante una pregunta directa. Para evaluar la asociación de interés, se calcularon razones de prevalencia (RP) y sus intervalos de confianza del 95% (IC95%) usando regresiones de Poisson brutas y ajustadas con varianza robusta.
ResultadosSe evaluaron las respuestas de 953 residentes (el 41,3% mujeres; media de edad, 32,5 años), de los que el 14,6% tenía síntomas depresivos. En el análisis ajustado, se encontró que la prevalencia de síntomas depresivos aumentaba por cada hora laborada adicional (RP=1,11; IC95%, 1,04-1,17).
ConclusionesUno de cada 7 residentes presentó síntomas depresivos. Por cada hora laborada diariamente extra, la frecuencia de síntomas depresivos aumentó un 11%.
Resident physicians who work more hours a day are prone to suffer mental health problems such as depression, a subject that has been little studied. In this regard, the aim of this study was to determine the prevalence of depressive symptoms and to evaluate the association between the number of daily working hours and depressive symptoms in Peruvian residents.
MethodsAnalytical cross-sectional study that used the database of the National Survey for Resident Physicians-2016, a voluntary survey issued virtually by the National Council of Medical Residency of Peru to physicians who were undertaking their residency in Peru. The presence of depressive symptoms was considered as having obtained a score ≥3 with the Patient Health Questionnaire-2 scale. The number of hours worked each day was collected through a direct question. To assess the association of interest, prevalence ratios (PR) and their 95% confidence intervals (95% CI) were calculated using crude and adjusted Poisson regressions with robust variance.
ResultsThe responses of 953 residents (41.3% women, mean age: 32.5 years) were evaluated, 14.6% of which presented depressive symptoms. In the adjusted analysis, it was found that the prevalence of depressive symptoms increased for each additional hour worked (PR=1.11; 95% CI, 1.04-1.17).
ConclusionsOne in seven residents had depressive symptoms. For every extra daily working hour, the frequency of depressive symptoms increased by 11%.
Los médicos residentes, debido a sus condiciones laborales y académicas, pueden estar especialmente expuestos a sufrir problemas de salud mental como es la depresión1-4. De manera que un reciente metanálisis que evaluó 54 estudios estimó una prevalencia de depresión o síntomas depresivos en residentes del 28,8%, aunque los resultados tenían una elevada heterogeneidad5. La depresión en esta población no solo afecta a la calidad de vida de los residentes6, sino que genera un impacto negativo en la calidad de la atención que brindan a sus pacientes, así como un mayor riesgo de cometer errores médicos como la prescripción errónea de medicamentos7,8.
La etapa de residencia del médico especialista en formación suele exigir del médico muchas horas de dedicación, lo cual significaría mayor carga laboral y menos tiempo disponible para el ocio, la relajación, la búsqueda de ayuda e incluso para el sueño. Todo ello podría afectar a la salud mental de los médicos residentes9. Sin embargo, revisiones previas han encontrado resultados contradictorios con respecto al impacto de la disminución del número de horas laboradas a menos de 80 h por semana en Estados Unidos (según lo recomendado por el Accreditation Council for Graduate Medical Education [ACGME])8 en el bienestar o burnout de los residentes10. Debido a estos resultados contradictorios, en Estados Unidos se está desarrollando el estudio Flexibility in Duty Hour Requirements for Surgical Trainees (FIRST)11, un ensayo pragmático que busca evaluar si el cambio de las políticas de horas de servicio de los programas de residencia de cirugía general afecta a variables de educación médica y bienestar de los residentes.
Por otro lado, son pocos los estudios que han evaluado la asociación entre el número de horas laboradas y los síntomas de depresión. Un estudio realizado en 13 hospitales de Estados Unidos encontró una asociación positiva entre el número de horas laboradas y la depresión4, en tanto que 3 estudios que evaluaron a residentes de cirugía2, medicina interna12 y diferentes especialidades13 en Estados Unidos, antes y después de implementar la limitación de horas de la ACGME, no encontraron una disminución significativa en la presencia de síntomas depresivos.
Latinoamérica es una región caracterizada por los bajos ingresos del personal de salud14, así como la escasez de profesionales de salud y las deficiencias de insumos en sus establecimientos de salud15. Esto podría significar un riesgo añadido para la salud mental de los médicos residentes, en especial de quienes están expuestos a estas condiciones laborales por un mayor número de horas semanales. Sin embargo, pocos estudios han evaluado la prevalencia de síntomas depresivos en residentes en Latinoamérica16-21, y no se han encontrado estudios que hayan evaluado la asociación entre horas laboradas y la presencia de síntomas depresivos en esta región.
Por ello, el presente estudio tiene por objetivo determinar la prevalencia de síntomas depresivos y evaluar la asociación entre el número de horas laboradas y los síntomas depresivos en residentes del Perú.
Material y métodosDiseño del estudioSe trata de un estudio transversal analítico. Se realizó un análisis secundario de la Encuesta Nacional para Médicos Residentes 2016 (ENMERE-2016) realizada por el Comité Nacional del Residentado Médico del Perú (CONAREME). La metodología detallada se ha publicado con anterioridad22.
Población de estudio, muestra y criterios de selecciónConformaron la población de estudio los médicos que estaban realizando el residentado en alguna universidad del Perú durante junio de 2016. La muestra por conveniencia incluyó a los residentes que hubieran participado en la ENMERE-2016. Se excluyó a aquellos que no brindaron información del desenlace o la exposición de interés.
ContextoLos médicos que deseen realizar el residentado en Perú deben postularse a las plazas ofrecidas por alguna de las universidades acreditadas por la CONAREME. Su ingreso dependerá de una serie de puntuaciones, incluida la obtenida en un examen de conocimientos. Para el año 2016, 7 universidades de Lima y 16 universidades de otras ciudades del Perú estaban certificadas para desarrollar programas de residencia médica23.
Los médicos que ingresen a la residencia elegirán la sede u hospital donde laborarán durante la mayor parte de su residentado. Estas sedes son administradas por el Ministerio Nacional de Salud (MINSA), los gobiernos regionales, el Ministerio de Trabajo (Seguro Social de Salud [EsSalud]), las sanidades (fuerzas armadas o policía) o entidades privadas.
ProcedimientosLa encuesta usada en ENMERE-2016 fue diseñada por CONAREME a base de consultas con médicos residentes, consultas con especialistas e investigadores en educación médica y estudios previos. Esta encuesta fue evaluada por grupos focales de médicos residentes y expertos en educación médica, para garantizar que sea entendible para los participantes y que se estén abordando los temas más relevantes relacionados con los problemas del residentado peruano.
Durante junio del 2016, esta encuesta se puso a disposición de todos los residentes del Perú de manera virtual mediante la plataforma de la página oficial de CONAREME23. CONAREME invitó a todos los residentes de Perú a participar en esta encuesta mediante el envío de correos electrónicos, anuncios en la página oficial de Facebook de CONAREME y anuncios en periódicos peruanos.
La encuesta fue voluntaria. Para el acceso a la encuesta, los residentes tenían que colocar el número de su documento de identidad y aceptar su participación voluntaria. Se puso a disposición de los encuestados un correo electrónico para que pudieran enviar sus dudas sobre la encuesta. Los resultados se guardaron en la base de datos del servidor de la CONAREME.
Para el presente análisis, se solicitaron a la CONAREME los permisos correspondientes para acceder a la base de datos, sin incluir los nombres ni los documentos de identidad de los participantes.
Desenlace: síntomas depresivosLa presencia de síntomas depresivos se evaluó mediante la escala Patient Health Questionnaire-2 (PHQ-2)24 y tomando en cuenta las modificaciones propuestas por Calderón et al.25 para las preguntas en Perú. Esta escala incluye 2 preguntas que indagan sobre síntomas depresivos durante las últimas 2 semanas. Se definió presencia de síntomas depresivos como haber obtenido una puntuación ≥ 3 en dicha escala, punto de corte usado por sus buenas sensibilidad y especificidad para el diagnóstico de trastorno depresivo mayor según estudios previos26,27.
Exposición: número de horas diarias laboradasEl número de horas diarias trabajadas se recolectó usando la pregunta abierta: «Tomando en cuenta el último mes, en promedio, ¿cuántas horas al día se le exigía a usted que permanezca en su sede en un día ordinario, sin contar las guardias?», que se evaluó cuantitativamente.
Otras variablesOtras variables disponibles en la base de datos, que fueron evaluadas por ser potenciales confusores según la bibliografía consultada y en la opinión de los autores, fueron: edad, sexo (varón o mujer), estado civil (soltero o casado/conviviente), ciudad del Perú donde se ubica la universidad por la que realiza el residentado (Lima o provincia), institución a la que pertenece la sede hospitalaria donde realiza su residentado (MINSA, EsSalud u otros), año de residencia (primer año, segundo año o tercer año a más) y especialidad que está cursando (clínica, quirúrgica u otras). La especialidad fue categorizada en «clínicas» si estaban relacionadas con actividades preventivas, diagnósticas y terapéuticas, «quirúrgicas» si estaban relacionadas con procedimientos quirúrgicos y «otras», que agrupó las respuestas relacionadas con apoyo al diagnóstico, gestión y otras no incluidas en las categorías previas.
Además, se evaluó la satisfacción sobre la docencia recibida durante el residentado (satisfecho o no satisfecho), si en algún momento de la residencia se sufrió algún tipo de violencia (ya sea violencia física, acoso sexual, violencia verbal o amenaza), el promedio de guardias realizadas en el último mes, incluidas nocturnas y diurnas (0 o <5, 5-10 o> 10), y la hora que pudo salir después de guardias nocturnas (a las 9.00 o antes, de 9.00 a 14.00 o después de las 14.00).
Métodos estadísticosLos resultados se analizaron mediante el programa STATA v.14.0 Para los resultados descriptivos se utilizaron la media±desviación estándar y las frecuencias absolutas y relativas.
Para evaluar los factores asociados con la presencia de síntomas depresivos, se realizaron regresiones de Poisson brutas y ajustadas con varianza robusta, y así se calcularon las razones de prevalencias (RP) y sus intervalos de confianza del 95% (IC95%), considerando significativo un valor de p <0,05. El modelo ajustado incluyó las variables que obtuvieron p <0,20 en los modelos brutos.
Además, se graficó la asociación de interés usando splines cúbicos restringidos con cinco knots obtenidos por defecto, como han propuesto antes otros autores28.
Aspectos éticosEste análisis secundario ha sido revisado por el comité de ética del Hospital San Bartolomé de Lima (Perú). No se contó con variables que permitan identificar a los residentes.
ResultadosDatos generalesDurante junio de 2016, realizaban la residencia en Perú 7.393 médicos, según la base de datos de la CONAREME. De ellos, 1.163 (15,7%) ingresaron a la plataforma virtual de la encuesta y contestaron al menos a la primera pregunta, pero solo 953 (12,9%) respondieron a las preguntas del PHQ-2 y de horas laboradas, por lo cual se los incluyó en los análisis del presente estudio.
De los sujetos incluidos, la media de edad fue 32,5±5,4; 394 (41,3%) eran mujeres, 367 (38,5%) se encontraban casados o tenían algún conviviente, 616 (64,6%) realizaban su residentado por una universidad de Lima, 621 (65,2%) lo hacían en algún hospital MINSA, 397 (41,7%) cursaban el primer año y 468 (49,1%) realizaban una residencia clínica. Además, 497 (52,2%) se sentían satisfechos con la docencia de su sede hospitalaria, 400 (47,4%) realizaron de 5-10 guardias en el último mes, 305 (37,5%) tuvieron una salida tras la guardia entre las 9.00 y las 14.00 y 394 (48,5%) después de las 14.00 (tabla 1).
Descripción de la población estudiada
| Variables | |
|---|---|
| Tiempo trabajado (h/día) | 9,9±2,4 |
| Edad | |
| 20-29 años | 336 (35,3) |
| 30-34 años | 354 (37,2) |
| 35-54 años | 263 (27,6) |
| Sexo | |
| Varones | 559 (58,7) |
| Mujeres | 394 (41,3) |
| Estado civil | |
| Soltero | 586 (61,5) |
| Casado o conviviente | 367 (385) |
| Universidad | |
| Lima | 616 (64,6) |
| Provincia | 337 (35,4) |
| Institución | |
| MINSA | 621 (65,2) |
| EsSalud | 260 (27,3) |
| Otros | 72 (7,6) |
| Especialidad | |
| Clínica | 468 (49,1) |
| Quirúrgica | 339 (35,6) |
| Otros | 146 (15,3) |
| Año de residencia | |
| Primer año | 397 (41,7) |
| Segundo Año | 247 (25,9) |
| Tercer año o superior | 309 (32,4) |
| Satisfacción en docencia | 497 (52,2) |
| Sufrió violencia | 706 (74,1) |
| Número de guardias el último mes | |
| Ninguna o menos de 5 | 368 (43,6) |
| 5-10 | 400 (47,4) |
| Más de 10 | 76 (9,0) |
| Hora de salida tras la guardia | |
| A las 9.00 o antes | 114 (14,0) |
| Entre las 9.00 y las 14.00 | 305 (37,5) |
| Después de las 14.00 | 394 (48,5) |
Los valores expresan media±desviación estándar o n (%).
Según la escala PHQ-2, 139 (14,6%) presentaban síntomas depresivos definidos por una puntuación ≥ 3. Las horas laboradas diariamente fueron una media de 9,9±2,4.
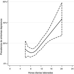
Horas trabajadas al día asociadas con síntomas depresivosEn el modelo bruto se encontró que, por cada hora laborada adicional, la prevalencia de síntomas depresivos adquiría un aumento significativo (RP=1,12; IC95%, 1,06-1,18), lo cual también se observó al ajustar por otras covariables (RP=1,11; IC95%, 1,04-1,17) (tabla 2). Al graficar esta asociación, se observa que la prevalencia de síntomas depresivos fue relativamente constante entre quienes laboraron entre 6 y 9 h diarias y presentó una asociación lineal marcada entre los que laboraron 9 h diarias o más (fig. 1).
Factores asociados con síntomas depresivos
| Sin síntomas depresivos | Con síntomas depresivos | RP (IC95%) | RPa (IC95%) | |
|---|---|---|---|---|
| Tiempo trabajado (h/día) | 9,6±2,1 | 10,4±2,8 | 1,12 (1,06-1,18) | 1,11 (1,04-1,17) |
| Edad | ||||
| 20-29 años | 275 (81,8) | 61 (18,2) | Ref | Ref |
| 30-34 años | 305 (86,2) | 49 (13,8) | 0,76 (0,54-1,08) | 0,92 (0,64-1,32) |
| 35-54 años | 234 (89,0) | 29 (11,0) | 0,61 (0,40-0,92) | 0,68 (0,43-1,07) |
| Sexo | ||||
| Varones | 491 (87,8) | 68 (12,2) | Ref | Ref |
| Mujeres | 323 (82,0) | 71 (18,0) | 1,48 (1,09-2,01) | 1,34 (0,97-1,87) |
| Estado civil | ||||
| Soltero | 500 (85,3) | 86 (14,7) | Ref | |
| Casado o conviviente | 314 (85,6) | 53 (14,4) | 0,98 (0,72-1,35) | |
| Universidad | ||||
| Lima | 530 (86,0) | 86 (14,0) | Ref | |
| Provincia | 284 (84,3) | 53 (15,7) | 1,13 (0,82-1,54) | |
| Institución | ||||
| MINSA | 517 (83,3) | 104 (16,7) | Ref | Ref |
| EsSalud | 233 (89,6) | 27 (10,4) | 0,62 (0,42-0,92) | 0,67 (0,44-1,02) |
| Otros | 64 (88,9) | 8 (11,1) | 0,66 (0,34-1,31) | 0,60 (0,26-1,37) |
| Especialidad | ||||
| Clínica | 397 (84,8) | 71 (15,2) | Ref | |
| Quirúrgica | 288 (85,0) | 51 (15,0) | 0,99 (0,71-1,38) | |
| Otros | 129 (88,4) | 17 (11,6) | 0,77 (0,47-1,26) | |
| Año de residencia | ||||
| Primer año | 336 (84,6) | 61 (15,4) | Ref | Ref |
| Segundo año | 191 (77,3) | 56 (22,7) | 1,48 (1,06-2,04) | 1,51 (1,07-2,14) |
| Tercer año o superior | 287 (92,9) | 22 (7,1) | 0,46 (0,29-0,74) | 0,59 (0,35-1,00) |
| Satisfacción en docencia | ||||
| No | 370 (81,1) | 86 (18,9) | Ref | Ref |
| Sí | 444 (89,3) | 53 (10,7) | 0,57 (0,41-0,78) | 0,65 (0,47-0,91) |
| Violencia | ||||
| No | 229 (92,7) | 18 (7,3) | Ref | Ref |
| Sí | 585 (82,9) | 121 (17,1) | 2,35 (1,46-3,78) | 2,19 (1,27-3,77) |
| Número de guardias el último mes | ||||
| Ninguna o menos de 5 | 322 (87,5) | 46 (12,5) | Ref | |
| 5-10 | 333 (83,3) | 67 (16,8) | 1,34 (0,95-1,90) | |
| Más de 10 | 66 (86,8) | 10 (13,2) | 1,05 (0,56-1,99) | |
| Hora de salida tras la guardia | ||||
| A las 9.00 o antes | 106 (93,0) | 8 (7,0) | Ref | Ref |
| Entre las 9.00 y las 14.00 | 257 (84,3) | 48 (15,7) | 2,24 (1,09-4,60) | 2,12 (1,04-4,32) |
| Despues de las 14.00 | 330 (83,8) | 64 (16,2) | 2,31 (1,14-4,69) | 1,95 (0,97-3,93) |
IC95%: intervalo de confianza del 95%; RP: razón de probabilidades.
Los valores expresan media±desviación estándar o n (%).
En el modelo ajustado se obtuvo una asociación significativa de la presencia de síntomas depresivos con cursar el segundo (RP=1,51; IC95%, 1,07-2,14) y el tercer año de la residencia (RP=0,59; IC95%, 0,35-1,00), sentirse satisfecho con la docencia de su sede hospitalaria (RP=0,65; IC95%, 0,47-0,91), haber sufrido violencia en el residentado (RP=2,19; IC95%, 1,27-3,77) y tener una salida tras la guardia entre las 9.00 y las 14.00 (RP=2,12; IC95%, 1,04-4,32) (tabla 2).
DiscusiónPrevalencia de síntomas depresivosEl 14,6% de los residentes evaluados presentaron síntomas depresivos, definidos por un PHQ-2 ≥ 3 puntos. Solo se ha encontrado un estudio previo que haya usado dicho instrumento en médicos residentes con un punto de corte ≥ 3, y comunica una prevalencia de PHQ-2 ≥ 3 del 15,1% de los residentes de la Universidad de Nueva York (Estados Unidos)29, cifra similar a la encontrada en el presente estudio.
También estos resultados son comparables a los de otros estudios realizados en médicos residentes con diferentes instrumentos, de manera que una revisión sistemática que evaluó 54 estudios encontró una prevalencia media del 28,8%, aunque sus estimaciones variaron entre el 22,4 y el 43,7%5. En Perú, un estudio previo en 84 residentes del Hospital Nacional Cayetano Heredia con la Escala de Depresión del Centro de Estudios Epidemiológicos encontró una prevalencia del 38,6%30. Otro estudio realizado en 39 médicos residentes del Hospital Daniel Alcides Carrión a los que se aplicó la escala de Hamilton reportó una prevalencia del 13,3%31. Lamentablemente, la falta de uniformidad en los instrumentos usados no permite una comparación adecuada entre estos resultados y el nuestro.
Asociación entre horas laboradas y síntomas depresivosNuestro estudio encontró una asociación casi lineal entre las horas laboradas y la prevalencia de síntomas depresivos. Si bien un estudio previo también había encontrado dicha asociación en residentes de 13 hospitales de Estados Unidos4, diversos estudios que han seguido a residentes antes y después de implementar la limitación de horas de la ACGME en Estados Unidos no encontraron una disminución significativa en la presencia de síntomas depresivos2,12,13. Esto puede deberse a que las disposiciones de la ACGME lograron una pequeña reducción de las horas laborales en los estudios evaluados, que va de 0,4 a 3 h diarias.
La asociación entre horas laboradas y síntomas depresivos encontrada en el presente estudio resalta la importancia de regular las horas laboradas por los médicos residentes. Al respecto, la normativa peruana hasta 2016 establecía que la carga laboral del residente no debía exceder las 70 h semanales sin contar las guardias32. Sin embargo, una nueva normativa publicada en 2017 disminuye ese tiempo a 60 h sin contar las guardias (aproximadamente, 8,6 h diarias)33. A pesar de ello, el 68,2% de la población evaluada en el presente estudio manifestó laborar 9 h diarias o más. Por ello, se requiere evaluar periódicamente el cumplimiento de las normas vigentes para el programa de residentado médico en Perú, lo cual podría realizarse mediante supervisiones a las sedes de residentado y encuestas anónimas.
Por otro lado, resulta importante implementar estrategias para la detección y tratamiento tempranos de los casos de depresión durante el residentado médico, como la evaluación periódica de riesgos y la implementación de programas preventivos y terapéuticos para médicos residentes34.
Otros factores que se ha encontrado asociadosQuienes estaban cursando el segundo y el tercer año de residencia presentaron mayor prevalencia de síntomas depresivos que quienes cursaban el primer año. Esto podría explicarse por un fenómeno acumulativo o de agotamiento físico y mental.
No estar satisfecho con la docencia se asoció con la presencia de síntomas depresivos, posiblemente debido a que una docencia deficiente puede causar sentimientos de pesimismo e irritabilidad, o a que la depresión cause problemas para desarrollarse académicamente, lo que generaría que su docencia se perciba como deficiente35. Asimismo, sufrir violencia se asoció con presentar síntomas depresivos, algo similar a lo descrito en estudios previos36-38.
Limitaciones y fortalezasEl estudio tiene las siguientes limitaciones: a) la variable horas diarias laboradas se obtuvo de lo reportado por los participantes, por lo cual es posible que algunos hayan exagerado el número de horas buscando que CONAREME tome acciones contra su sede hospitalaria o que hayan disminuido esta cifra temerosos de que se tomen acciones contra ellos; b) debido a que la encuesta era voluntaria, es posible que la tasa de respuesta haya sido menor entre quienes laboran más horas (debido a que tienen menos tiempo libre) y entre quienes tengan síntomas depresivos (debido a que podrían tener dificultad para realizar actividades extracurriculares como contestar encuestas), por lo cual nuestra muestra puede estar subrepresentando el número de horas laboradas y la presencia de síntomas depresivos, y c) los residentes que respondieron a las encuestas y finalmente fueron incluidos tuvieron diferencias frente a aquellos que no las respondieron, de manera que se evidenció una subrepresentación de residentes de especialidades quirúrgicas, residentes de segundo año y de quienes estuvieran cursando la residencia en universidades públicas fuera de Lima, por lo cual la validez externa de nuestros resultados para dichos grupos debe tomarse con cautela, como se menciona en el informe del estudio22.
Sin embargo, el presente estudio ha logrado obtener información de un número considerable de residentes, y es uno de los pocos estudios en el mundo que ha evaluado la asociación entre horas laboradas y síntomas depresivos en médicos residentes.
ConclusionesSe evaluó una muestra no aleatoria de médicos residentes peruanos, y se encontró que el 14,6% de los residentes encuestados tenían síntomas depresivos. Esto tenía relación directa con el número de horas diarias laboradas, de manera que, por cada hora diaria de trabajo adicional, la frecuencia de síntomas depresivos aumentó un 7%.
Conflicto de interesesNinguno.






