Este artículo explora el fenómeno social creciente del anciano que vive solo, desde 2 vertientes: la soledad objetiva de vivir solo y la subjetiva de sentirse solo.
ObjetivoValidar la escala de soledad de UCLA como instrumento de medida global de la sensación de soledad y conocer el perfil social en la población anciana que vive sola.
MetodologíaEstudio observacional realizado durante 2años (2012-2013) para identificar la población anciana que vive sola y estudio de casos y controles para la validación de la escala de soledad de UCLA. La muestra fue realizada en 3 consultas de 2 centros de salud, del medio urbano y rural. Se estudió la validez de constructo, la validez discriminante y el análisis de sensibilidad.
ResultadosEl 22,3% viven solos, el 61,7% por pérdida del cónyuge, con una edad media de 70,7años; el 82,7% son mujeres. El 17,3% carecen de vínculos familiares y el 63,2% se sienten solos. La escala de UCLA tiene una validez de constructo con altas correlaciones entre ítems; se confirma su validez discriminante respecto a los ancianos que no viven solos con un alfa de Cronbach de 0,95, y es un instrumento sensible al cambio.
ConclusionesUno de cada 4-5 ancianos viven solos, fundamentalmente por la pérdida del cónyuge; las mujeres triplican a los hombres. Dos de cada 3 personas experimentan la sensación de soledad. La escala de UCLA ha demostrado ser un instrumento útil y sensible para medir el sentimiento de soledad en los ancianos.
This article examines the growing social phenomenon of elderly people living alone from 2 points of view: the objective loneliness of living alone and the subjective loneliness of feeling lonely.
ObjectiveTo validate the UCLA loneliness scale as a tool for the overall measurement of loneliness and to determine the social profile in elderly people living alone.
MethodsObservational study carried out over 2 years (2012-2013) to identify elderly people living alone; case-control study to validate the UCLA loneliness scale. The sample was taken from 3 surgeries belonging to 2 Primary Care health centres from urban and rural areas. We studied construct validity, discriminant validity and sensitivity analysis were analysed.
ResultsOf the elderly population studied 22.3% live alone, 61.7% due to loss of spouse, with a mean age of 70.7 years, and 82.7% women; 17.3% have no family ties and 63.2% feel lonely. UCLA loneliness scale has a construct validity with a high correlation between items. The discriminant validity was confirmed in relation to the elderly who do not live alone, with Cronbach alpha of 0.95, and it is sensitive to change.
ConclusionsOne in 4-5 elderly live alone, mainly due to the loss of spouse. There are 3 times as many women as men who live alone. Two out of 3 experience the feeling of loneliness. The UCLA loneliness scale has proved to be a useful and sensitive tool to measure loneliness in the elderly population.
Aunque la forma más habitual de convivencia de los ancianos es en el hogar con su pareja, lentamente va aumentando la población que vive sola. Hasta hace pocos años esta situación era la excepción, pero el cambio de vida que exige la sociedad moderna hace que este fenómeno social esté creciendo. A diferencia de otros grupos de edad, están en esta situación fundamentalmente por la pérdida del único familiar conviviente o por el aislamiento social producido por la dificultad para salir de sus casas. Por tanto, no es una soledad elegida sino un estado obligado por las circunstancias y más difícil de sobrellevar1,2. Uno de los indicadores de la OMS para identificar al anciano frágil es precisamente si el anciano vive solo3. Ahora bien, no es lo mismo vivir solo (soledad objetiva) que sentirse solo (soledad subjetiva). En las personas mayores, la sensación de soledad parece ser una consecuencia de los cambios sociales vitales naturales y de las dificultades propias del envejecimiento, teniendo una fuerte asociación con el hecho de vivir solo4. Se estima que entre el 15-22% de los ancianos viven solos en sus casas, y que muchos de ellos se sienten solos con frecuencia5, es decir, que además de vivir solos se sienten aislados3,6. Numerosos estudios vinculan el vivir solo y el sentirse solo, con un mayor riesgo de mortalidad y de enfermedades mentales en esta población7-9.
Existen múltiples instrumentos para medir globalmente la sensación de soledad2,9; uno de los más populares y de más amplia aplicación es la escala de soledad de UCLA (University of California at Los Angeles) creada por Russell et al. en 1980; consta de 3 dimensiones: percepción subjetiva de soledad, apoyo familiar y apoyo social, con 2 factores: la intimidad con otros y la sociabilidad. Existe una traducción al español realizada por Vázquez y Jiménez en 199410. La escala está validada para jóvenes universitarios españoles e italianos en el año 200611. El proceso de adaptación del cuestionario de UCLA al español fue el primer paso, pero es necesario asegurar su fiabilidad y validez para las personas mayores de 65años.
ObjetivosValidación de la escala de soledad de UCLA para medir la sensación de soledad (sentirse solo) en la población anciana que vive sola y conocer cuál es el perfil social de esta población.
MetodologíaEstudio observacional y estudio de casos y controles.
Emplazamiento: 2 centros de salud (medio rural y urbano) de un área de salud. Población diana: todas las personas >65años que viven solas de los 2 centros de salud. Criterios de exclusión: pacientes institucionalizados y pacientes desplazados cuya permanencia sea <6meses.
Población de estudio para conocer el perfil social: 3 consultas de ambos centros de salud (2 del centro de salud urbano y una del centro de salud rural). Durante 2 años (2012-2013) se registraron todas las personas >65años que vivían solas atendidas en consulta o en domicilio.
Para la validación de la escala de soledad de UCLA se obtuvo una muestra aleatoria de la población de estudio. El tamaño muestral calculado para su validación fue 10 casos×n ítems+20% para las pérdidas (total: 120 personas). La escala de soledad de UCLA es un test autocumplimentado, por lo que fueron excluidos los pacientes con incapacidad para realizar el cuestionario (pacientes con demencia o con imposibilidad para leer), no admitiéndose la respuesta de un familiar o cuidador asalariado. Para la realización del estudio de casos y controles se relacionó cada paciente de esta muestra con 2 personas >65años que no vivían solas, relación 2/1.
Para analizar la dimensión de «sentirse solo» se seleccionó la escala de soledad de UCLA, de la que existen varias versiones. Nosotros utilizamos la versión3 (Russell, 1996, Anexo 1). La escala consta de 10 preguntas puntuables entre 10 y 4 puntos, lo que permite una puntuación mínima de 10 y máxima de 40. Los autores del cuestionario no han establecido puntos de corte, es decir, puntuaciones que permitan clasificar el nivel de soledad según la puntuación obtenida.
- •
Puntuaciones <20 pueden indicar un grado severo de soledad.
- •
Puntuaciones entre 20-30 pueden indicar un grado moderado de soledad.
Se realizó la validez de constructo, la validez discriminante y el análisis de sensibilidad. Para realizar la validez discriminante se realizó el estudio de casos y controles. Para el análisis de sensibilidad se realizó el área de la curva de ROC.
El apoyo social percibido se exploró mediante el Cuestionario de DUKE, que es autoadministrado y consta de 11 ítems con un rango de puntuación entre 11 y 55 (una puntuación <32 indica un apoyo social percibido bajo).
Para detectar disfunción familiar se realizó el cuestionario de Apgar, que es una escala de 5 ítems tipo Likert, con un rango de 0 a 10 puntos: puntuaciones menores de 7/10 indican disfunción familiar leve (3-6) o grave (0-2).
Variables: poblacionales, población que vive sola, causa principal de estar viviendo solo, tiempo viviendo solo, intención de seguir viviendo solo, adecuación de la vivienda, relación con sus familiares y con el vecindario, ayuda domiciliaria, todos los ítems registrados en la escala de soledad de UCLA, en los cuestionarios de DUKE y de Apgar familiar.
Mediciones principalesSe realizó un análisis factorial exploratorio (validez de criterio y contenido), un análisis de fiabilidad con los coeficientes de correlación ítem-escala-corregidos, alfa de Cronbach de cada dimensión y un análisis discriminante, en el estudio de casos y controles. Para las variables sociales se realizó una estadística descriptiva con sus intervalos de confianza del 95% (IC95%).
ResultadosLa población actual >65años del centro de salud urbano es de 5.082 habitantes (el 21,7% del total); el 60,2% son mujeres. Población de estudio: 605.
La población actual >65años del centro de salud rural es de 2.788 habitantes (el 28,1% del total); el 55,3% son mujeres. Población de estudio: 128. El perfil social de esta población se expresa en la tabla 1.
Perfil social de las personas >65 años que viven solas
| Variable | Descripción de datos | Medidas de dispersión: estimación de parámetros |
|---|---|---|
| Viven solos | 23,3% | IC 95% = 19,3 a 25,3 |
| Mujeres | 82,7% | IC 95% = 79,9 a 85,4 |
| Porcentaje de mujeres >65 años que viven solas | 28,4% | IC 95% = 18,6 a 38,2 |
| Porcentaje de hombres >65 años que viven solos | 11,0% | IC 95% = 4,2 a 17,8 |
| Edad media | 70,7 años | DE = 8,2 |
| Tiempo medio viviendo solos | 10,5 años | Rango = 0-60 años |
| Ancianos que tienen previsto no seguir viviendo solosa | 15,7% | IC 95% = 13,0 a 18,3 |
| Viven solos por la pérdida del cónyuge | 61,7% | IC 95% = 58,2 a 65,2 |
| Accesibilidad familiar | ||
| Familiares cercanos | 70,6% | IC 95% = 66,6 a 73,9 |
| Pérdida del vínculo familiar o familiares inaccesibles | 17,3% | IC 95% = 14,5 a 20,2 |
| Relación con el vecindario | ||
| Conservan la relación | 35,3% | IC 95% = 31,8 a 38,8 |
| Carecen de relaciones vecinales | 14,0% | IC 95% = 11,5 a 16,5 |
| Ayuda domiciliaria | ||
| No tienen o es de <4h a la semana | 72,3% | IC 95% = 69,0 a 75,6 |
| Cuidador asalariado >8h al díab | 27,1% | IC 95% = 23,9 a 30,3 |
| Vivienda adecuada | 70,7% | IC 95% = 67,4 a 74,0 |
| Puntuación media del cuestionario de Duke | 42,6 puntos | Rango: 11-55 |
| Disfunción familiar (cuestionario de Apgar) | 2,1% | IC 95% = 1,0 a 3,1 |
Escala de soledad de UCLA. En el grupo de casos, de las 123 personas, contestaron el 100% de las preguntas el 84,2% (válidos 106); en el grupo control, de las 215 personas, contestaron el 100% de la preguntas el 81,4% (válidos 175). La relación de casos y controles válidos fue de 1/1,6.
Validez de constructo (validez factorial). Realizado solamente con los sujetos clasificados como «casos». La tabla 2 presenta la descripción de estos sujetos en los 10 ítems. Los resultados indican variables con índices de asimetría y curtosis dentro de los márgenes de la normalidad. Las medias, entre 2,52 y 3,04, posicionan a los ítems cerca del centro de la escala. Las desviaciones estándar indican buena variabilidad en las respuestas. La validación se analiza mediante análisis factorial exploratorio (AFE). Se verificaron las condiciones estadísticas previas para el mismo: la razón sujeto/ítem es adecuada (10,6), el índice de adecuación muestral KMO (0,93) es muy elevado, el determinante de la matriz de correlaciones (8,6×10−6) es muy próximo a cero, lo que indica altas correlaciones entre los ítems; el test de esfericidad de Bartlett es altamente significativo (p<0,0001), de modo que rechaza la matriz identidad, confirmando la existencia de factores latentes. El resultado de la extracción tanto por componentes principales, como otros métodos (máxima verosimilitud, ejes principales y mínimos cuadrados) indica la existencia de un único factor, que explica un 71,6% de la variabilidad total. Este porcentaje elevado impide la utilización de ningún método de rotación. Estamos, por tanto, ante un instrumento de estructura unidimensional. Las saturaciones (tabla 3) de todos los ítems con esta dimensión son muy elevadas (>0,78).
Validez de constructo. Estadísticos descriptivos de los ítems (n=106)
| Mínimo | Máximo | Media | DE | Asimetría | Curtosis | |
|---|---|---|---|---|---|---|
| Con qué frecuencia se siente infeliz haciendo tantas cosas solo | 1 | 4 | 2,52 | 1,01 | −0,024 | −1,054 |
| Con qué frecuencia siente que no tiene a nadie con quien hablar | 1 | 4 | 2,65 | 0,90 | −0,148 | −0,722 |
| Con qué frecuencia siente que no puede tolerar sentirse solo | 1 | 4 | 2,62 | 0,97 | −0,137 | −0,931 |
| Con qué frecuencia siente que nadie le entiende | 1 | 4 | 2,89 | 0,85 | −0,285 | −0,633 |
| Con qué frecuencia se encuentra a sí mismo esperando que alguien llame o le escriba | 1 | 4 | 2,59 | 1,00 | −0,036 | −1,059 |
| Con qué frecuencia se siente completamente solo | 1 | 4 | 2,73 | 0,96 | −0,244 | −0,874 |
| Con qué frecuencia se siente incapaz de llegar a los que le rodean y comunicarse con ellos | 1 | 4 | 2,87 | 0,84 | −0,247 | −0,607 |
| Con que frecuencia se siente hambriento de compañía | 1 | 4 | 2,63 | 0,92 | 0,047 | −0,872 |
| Con qué frecuencia siente que es difícil hacer para usted hacer amigos | 1 | 4 | 2,73 | 0,97 | −0,219 | −0,932 |
| Con qué frecuencia se siente silenciado y excluido por los demás | 1 | 4 | 3,04 | 0,92 | −0,615 | −0,562 |
Análisis factorial exploratorio
| Ítem | Enunciado | Dimensión 1 |
|---|---|---|
| 1 | Con qué frecuencia se siente infeliz haciendo tantas cosas solo | 0,908 |
| 2 | Con qué frecuencia siente que no tiene a nadie con quien hablar | 0,897 |
| 3 | Con qué frecuencia siente que no puede tolerar sentirse solo | 0,865 |
| 4 | Con qué frecuencia siente que nadie le entiende | 0,865 |
| 5 | Con qué frecuencia se encuentra a sí mismo esperando que alguien llame o le escriba | 0,852 |
| 6 | Con qué frecuencia se siente completamente solo | 0,851 |
| 7 | Con qué frecuencia se siente incapaz de llegar a los que le rodean y comunicarse con ellos | 0,827 |
| 8 | Con que frecuencia se siente hambriento de compañía | 0,814 |
| 9 | Con qué frecuencia siente que es difícil hacer para usted hacer amigos | 0,807 |
| 10 | Con qué frecuencia se siente silenciado y excluido por los demás | 0,785 |
| % de varianza total explicada | 71,57 | |
Cuestionario UCLA (n válido=106). Método de componentes principales [KMO]=0,933.
Bartlett: p<0,0001.
Para el análisis de la fiabilidad se estimó el coeficiente de fiabilidad con alfa de Cronbach. Se obtuvo un valor muy elevado: 0,95, con un IC95% de 0,94 a 0,98. Los índices de fiabilidad de cada ítem fueron también elevados.
En el análisis de la validez discriminante se comprobó la ausencia de diferencias significativas entre los grupos de casos y de controles, tanto en sexo (mujeres: 76% vs. 80% p=0,7), como en edad (69,3 años, DE=16,5, vs. 68,4, DE=16,7; p=0,6), como en los cuestionarios de DUKE y de Apgar familiar, comprobándose que los 2 grupos son totalmente equivalentes. Se procedió a contrastar la diferencia entre las medias de ambos grupos en todos y cada uno de los ítems, así como en la variable «puntuación total UCLA». La tabla 4 resume los resultados. Todos los ítems de los sujetos de control puntúan por encima de los sujetos que viven solos, y las diferencias observadas son estadísticamente significativas, con p<0,05 e incluso con p<0,001. En la puntuación total la media de los casos es 27,0, con una DE=7,96, significativamente menor (p<0,001) que la media de los sujetos de control: 30,7, con una DE=5,20, estimándose una diferencia de 3,7 puntos entre ambos grupos, con un IC95% de 1,9 a 5,4 en la dirección indicada.
Validez discriminante. Test de diferencia de medias: casos y controles
| Variable/Grupo | n | Media (IC 95%) | DE | t de Student | ||
|---|---|---|---|---|---|---|
| valor | p | |||||
| Con qué frecuencia se siente infeliz haciendo tantas cosas solo | Casos | 106 | 2,5 (2,3-2,7) | 1,0 | −4,6 | < 0,000 |
| Controles | 175 | 3,0 (2,9-3,) | 0,6 | |||
| Con qué frecuencia siente que no tiene a nadie con quien hablar | Casos | 106 | 2,6 (2,5-2,8) | 0,9 | −3,8 | < 0,000 |
| Controles | 175 | 3,0 (2,9-3,1) | 0,7 | |||
| Con qué frecuencia siente que no puede tolerar sentirse solo | Casos | 106 | 2,6 (2,4-2, 8) | 0,9 | −3,8 | < 0,000 |
| Controles | 175 | 3,0 (2,9-3,1) | 0,7 | |||
| Con qué frecuencia siente que nadie le entiende | Casos | 106 | 2,8 (2,7-3,0) | 0,9 | −2,2 | < 0,014 |
| Controles | 175 | 3,1 (2,3-3,2) | 0,7 | |||
| Con qué frecuencia se encuentra así mismo esperando que alguien llame o le escriba | Casos | 106 | 2,5 (2,4-2,7) | 1,0 | −4,0 | < 0,000 |
| Controles | 175 | 3,0 (2,9-3,1) | 0,8 | |||
| Con qué frecuencia se siente completamente solo | Casos | 106 | 2,7 (2,5-2,9) | 0,9 | −3,8 | < 0,000 |
| Controles | 175 | 3,1 (3,0-3,2) | 0,7 | |||
| Con qué frecuencia se siente incapaz de llegar a los que le rodean y comunicarse con ellos | Casos | 106 | 2,8 (2,7-3,0) | 0,8 | −2,6 | < 0,004 |
| Controles | 175 | 3,1 (3,0-3,2) | 0,7 | |||
| Con qué frecuencia se siente hambriento de compañía | Casos | 106 | 2,6 (2,4-2,8) | 0,9 | −4,4 | < 0000 |
| Controles | 175 | 3,1 (2,9-3,2) | 0,7 | |||
| Con qué frecuencia siente que es difícil hacer para usted hacer amigos | Casos | 106 | 2,7 (2,5-2,9) | 1,0 | −1,9 | < 0,030 |
| Controles | 175 | 2,9 (2,8-3,0) | 0,7 | |||
| Con qué frecuencia se siente silenciado y excluido por los demás | Casos | 106 | 3,0 (2,8-3,2) | 0,9 | −3,7 | < 0,000 |
| Controles | 175 | 3,4 (3,3-3,5) | 0,6 | |||
| Puntuación total | Casos | 106 | 27,0 (25,5-28,5) | 7,7 | −4,3 | < 0,000 |
| Controles | 175 | 30,7 (29,9-31,5) | 5,2 | |||
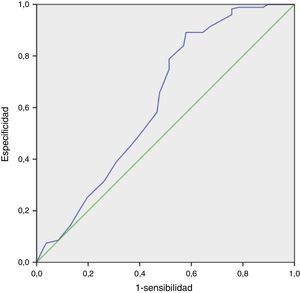
Validez diagnóstica. Se procedió a buscar mediante la curva ROC un punto de corte que fuese eficaz en el diagnóstico del estado de soledad. La figura 1 muestra la curva obtenida. El área bajo la misma es 0,62 (p<0,0001) dentro del IC95% de 0,55 a 0,69, indicando una capacidad predictiva satisfactoria. En el análisis de las coordenadas de la curva ROC y tras probar con varios puntos de corte, se decidió que el valor más adecuado es 31,5; de manera que en aquellos sujetos donde la puntuación total UCLA sea de hasta 31 puntos se predice un estado clínico de soledad (que incluye un grado moderado o severo de soledad), mientras que los que obtengan una puntuación mayor de 31 puntos no estarían en esta situación. Con este corte se logra una sensibilidad del 63,6% (con valor predictivo positivo de 41,5%) y una especificidad del 45,1% (con valor predictivo negativo del 66,9%).
Si aplicamos este último resultado como punto de corte para definir la sensación de soledad en nuestro estudio, encontramos que el 63,2% (IC95%: 53,9 a 72,5) de los ancianos que viven solos se sienten solos.
DiscusiónLimitaciones del estudio. Excluir a las personas que no pueden leer (analfabetismo o por déficit visual) podría subestimar el resultado del estudio, pero el test tenía que ser autocumplimentado, y sería un sesgo si se realizara una cumplimentación asistida. No fue un estudio de base poblacional, pero la mayoría de la población >65años acude alguna vez al año a la consulta de atención primaria; por lo tanto, en los 2 años que duró el trabajo de campo, podemos considerar que la muestra es representativa de esta población. No se analizaron otros procesos sanitarios (relación con la salud mental, déficits sensoriales y enfermedades crónicas) que puedan influir en el sentimiento de soledad de esta población, como se menciona en muchos estudios9,12,13, pero no formaban parte del objetivo de nuestro estudio, que era validar una escala para esta población.
El 22,3% de las personas >65años viven solas, resultado coincidente con otros estudios5,13-15 pero superior al obtenido por el IMSERSO en 2010, que fue del 16%, lo que nos lleva a pensar que está aumentando el número de personas >65años que viven solas; aun, así junto con Portugal y Grecia tenemos la tasa más baja de Europa.
La edad media es de 70años, afectando sobre todo a las mujeres; casi el 30% viven solas, principalmente por la pérdida del cónyuge, con una probabilidad 2,5 veces superior a la de los hombres de vivir solas, resultado coincidente con otros estudios2,14,16. Las relaciones con el vecindario se van perdiendo, y apenas el 40% conservan esta relación, resultado comparable a otros estudios17,18; la explicación de este hecho es que muchos vecinos ya han fallecido (barrios donde vivían personas mayores) o residen en otras zonas (residencias o viven con familiares) y los nuevos residentes (personas más jóvenes, con frecuencia de estancia temporal) apenas se relacionan con los ancianos. Casi los 2/3 de los que viven solos no precisan un cuidador asalariado, y en general no precisan ayuda para sus actividades esenciales, resultado coincidente con otros estudios14, indicando que aún conservan su autonomía para vivir solos. El 70% de estos ancianos tienen familiares cercanos, fundamentalmente los hijos, resultado algo inferior a otros estudios2,19, realizados hace más de 6años, lo que nos indica que lentamente las relaciones familiares se van distanciando. Actualmente una de cada 5-6 personas que viven solas carece de apoyo familiar, bien porque los familiares son inaccesibles o por pérdida de los vínculos familiares.
Aunque existen varios instrumentos para medir la soledad en la población2,9, la escala de UCLA es de las más utilizadas, ya que mide tanto el sentimiento de soledad como el apoyo social y familiar.
Los resultados confirman la validez de constructo con altas correlaciones entre los ítems, cada uno de los cuales está midiendo un concepto de soledad diferente. Hay una buena asociación de los ítems con la puntuación total de la escala; su análisis factorial exploratorio es pertinente y adecuado. La escala muestra claramente una validez discriminante con respecto a la personas >65años que no viven solas.
Las situaciones que hacen variar estas medidas inciden sobre las puntuaciones de la escala y de cada uno de sus dominios en la misma dirección, indicando que es un instrumento sensible al cambio. El alfa de Cronbach de 0,95 indica un valor alto de fiabilidad y también en todos sus ítems, resultados similares al obtenido en otras escalas de medición de soledad utilizadas en España1,2.
Aplicando la escala de soledad de UCLA ya validada para este grupo poblacional, casi las 2 terceras partes de los ancianos que viven solos se sienten realmente solos, resultado algo inferior a otros estudios, que obtuvieron entre el 73 y el 74%1,2,20. En un estudio a nivel europeo, los ancianos experimentaban mayor sensación de soledad en los países del centro y del sur de Europa21.
ConclusionesUna de cada 4-5 personas >65años vive sola y fundamentalmente son mujeres, casi triplicando a los hombres que viven solos. La causa principal es por la pérdida del cónyuge.
La escala de soledad de UCLA ha demostrado que es un instrumento válido para detectar la sensación de soledad en esta población, y nos ha permitido detectar que casi 2 tercios de estas personas experimentan una mayor sensación de soledad que aquellos que no viven solos, constituyendo este hecho un factor de riesgo tanto social como sanitario.
Como recomendación final, el personal sanitario y social que trabaja en atención primaria debe captar al anciano que vive solo, registrarlo como proceso diagnóstico en su historial clínico e identificar con la escala de soledad de UCLA aquellos que experimentan una mayor sensación de soledad. Esto nos permitirá proponer intervenciones que disminuyan el riesgo que el hecho de «vivir solo» y «sentirse solo» representa para la calidad de vida de esta población, como son: conservar su autonomía, adecuación de su vivienda, fomentar las redes de apoyo sanitario y social, realizar programas de enriquecimiento y participación social y actividades que aumenten la amistad, la autoestima y el bienestar.
Sería necesario en futuros estudios analizar la influencia de otros factores sanitarios en el sentimiento de soledad de este grupo poblacional.
FinanciaciónNinguna.
Conflicto de interesesNinguno.
Indique en qué grado le describen a usted cada una de las afirmaciones siguientes.
Señale con un número del 1 al 4 cada una de ellas.
- 1.
Indica: «me siendo así a menudo».
- 2.
Indica: «me siento así con frecuencia».
- 3.
Indica: «raramente me siento así».
- 4.
Indica: «nunca me siento de ese modo».
| Con qué frecuencia se siente infeliz haciendo tantas cosas solo | 1 | 2 | 3 | 4 |
| Con qué frecuencia siente que no tiene a nadie con quien hablar | 1 | 2 | 3 | 4 |
| Con qué frecuencia siente que no puede tolerar sentirse solo | 1 | 2 | 3 | 4 |
| Con qué frecuencia siente que nadie le entiende | 1 | 2 | 3 | 4 |
| Con qué frecuencia se encuentra a sí mismo esperando que alguien le llame o le escriba | 1 | 2 | 3 | 4 |
| Con qué frecuencia se siente completamente solo | 1 | 2 | 3 | 4 |
| Con qué frecuencia se siente incapaz de llegar a los que le rodean y comunicarse con ellos | 1 | 2 | 3 | 4 |
| Con qué frecuencia se siente hambriento de compañía | 1 | 2 | 3 | 4 |
| Con qué frecuencia siente que es difícil para usted hacer amigos | 1 | 2 | 3 | 4 |
| Con qué frecuencia se siente silenciado y excluido por los demás | 1 | 2 | 3 | 4 |









