Analizar las características físicas, antropométricas y formativas de los reanimadores asociadas a la correcta compresión y reexpansión torácica durante la reanimación cardiopulmonar.
MetodologíaEstudio observacional prospectivo. Profesionales y estudiantes sanitarios de urgencias y cuidados críticos realizaron 2min de compresiones torácicas sobre un maniquí. Se evaluó la profundidad y la presión residual tras las compresiones, y se estudió su asociación a diferentes variables (físicas, antropométricas y formativas) mediante la creación de modelos de regresión logística.
ResultadosParticiparon 238 voluntarios. Que el reanimador tuviese una experiencia previa en menos de 6 reanimaciones cardiopulmonares (OR: 3,03; IC 95%: 1,2-7,63) se asoció a una mayor probabilidad de no lograr una profundidad adecuada en las compresiones. Una mayor estatura (OR: 0,93; IC 95%: 0,87-0,99) y fuerza de aprehensión (OR: 0,94; IC 95%: 0,89-0,99) fueron condiciones que actuaron como factores predisponentes a la ejecución de una técnica correcta. Ninguna característica se asoció a la adecuación de la reexpansión torácica.
ConclusionesLa experiencia previa del reanimador es el factor más fuertemente asociado a la correcta ejecución de las compresiones torácicas. En menor medida, también influye la estatura y la fuerza del tren superior del profesional. No se han identificado factores asociados a la adecuación de la reexpansión torácica tras las compresiones.
To analyse the caregivers’ physical, anthropometrical and educational characteristics associated with adequate chest compression and full chest recoil during cardiopulmonary resuscitation (CPR).
MethodsAn observational prospective research study was conducted. Emergency and critical care health professionals and students performed two minutes of chest compressions on a dummy. Depth and residual leaning after the compressions were assessed and their association with several variables (physical, anthropometrical, and educational) was analysed using logistic regression models.
ResultsTwo hundred thirty-eight volunteers participated. Previous experience of the rescuer in less than six CPRs (OR: 3.03; CI 95%: 1.2-7.63) was related to a higher probability of not achieving an adequate depth of compressions. Greater height (OR: .93; 95% CI: .87-.99) and grip strength (OR: .94; 95% CI: .89-.99) were associated with correct performance of chest compression. We did not find any characteristic related to chest recoil.
ConclusionsThe caregiver's previous experience with CPR was the strongest factor associated with adequate performance of chest compressions. To a lesser extent, the professional's height and upper body muscle strength also have an influence. No factors associated with the adequacy of full chest recoil were identified.
- •
De forma popular, se ha esgrimido que existe una relación relevante entre las características físicas del reanimador y la calidad de las compresiones que realiza durante una reanimación cardiopulmonar, tanto a la hora de lograr una profundidad adecuada de la compresión como para permitir una completa reexpansión del tórax.
- •
Las características antropométricas del reanimador tienen poco impacto sobre el rendimiento de las compresiones torácicas durante la reanimación cardiopulmonar.
- •
La experiencia o formación previa en reanimación cardiopulmonar es el factor que más influye en una correcta adecuación de la profundidad de las compresiones.
- •
No se han asociado factores del reanimador a la consecución de una completa reexpansión del tórax tras las compresiones.
- •
Los mecanismos de retroalimentación de las compresiones torácicas en tiempo real deberían ser contemplados como elementos indispensables durante la reanimación.
Las probabilidades de sobrevivir tras una parada cardiorrespiratoria son dependientes de múltiples factores pero, con independencia de otros factores, una reanimación cardiopulmonar (RCP) de alta calidad y una desfibrilación aplicada de forma precoz constituyen las intervenciones que más pueden influir en su pronóstico1.
Los parámetros que determinan la alta calidad de la RCP vienen determinados, mayoritariamente, por la adecuación de las compresiones torácicas. Las guías de RCP han venido haciendo un especial énfasis en la necesidad de ejecutar unas compresiones torácicas de calidad, que impliquen la minimización de interrupciones, una frecuencia de 100-120 por minuto, una profundidad de cada compresión de al menos 50mm y una reexpansión completa del tórax tras cada compresión2,3. La deficiente consecución de estos indicadores podría explicar parcialmente unos resultados subóptimos en términos de supervivencia, a pesar de ser un problema potencialmente subsanable mediante la adopción de medidas correctoras.
El logro de estos objetivos de calidad puede venir determinado por múltiples factores, entre los que se encuentran, además de las características propias del paciente (como la elasticidad del tórax), la formación o experiencia previa en técnicas de soporte vital o factores relativos a la condición física o antropometría del reanimador. Algunas investigaciones recientes ya han señalado que el peso, la estatura o el estado físico del reanimador se asocian a mejores resultados en la calidad de la compresión del tórax4–6, y que también podrían estar relacionadas con la consecución de una completa reexpansión torácica7. Sin embargo, la literatura al respecto no es abundante y se trata de una cuestión clínica abordada con diferentes metodologías en diferentes entornos.
El objetivo de este estudio se centra en identificar y analizar la asociación de distintas características físicas, antropométricas y formativas del reanimador y la correcta compresión y reexpansión torácica durante las maniobras de RCP.
MétodoDiseñoSe realizó un estudio observacional prospectivo. El estudio obtuvo el informe favorable del Comité de Ética de Investigación y se realizó acorde a las guías de buenas prácticas.
Ámbito y sujetosFueron incluidos en el estudio profesionales sanitarios (médicos, enfermeros y técnicos en emergencias sanitarias) que desarrollaban su práctica habitual en el ámbito de las urgencias, emergencias o cuidados críticos de hospitales o servicios de emergencias sanitarias del País Vasco. También fueron incluidos estudiantes de último curso de enfermería con formación reciente (inferior a un año) en técnicas de soporte vital en el contexto de sus prácticas preclínicas en hospital.
Se excluyeron a aquellas personas que presentaban una incapacidad física, temporal o permanente, relacionada con patologías o situaciones que pudieran interferir en el desarrollo de la prueba, como lesiones osteomusculares en las extremidades o embarazo de más de 3 meses.
La muestra fue obtenida mediante un sistema no probabilístico accidental, haciendo publicidad del estudio en dos hospitales solicitando la participación de voluntarios que cumpliesen los criterios de inclusión. El muestreo se complementó mediante la técnica bola de nieve, donde los voluntarios incluidos invitaban a participar a otros compañeros que cumplían los criterios de selección. Todos los participantes fueron informados del objetivo del estudio y otorgaron su consentimiento informado.
Ante la inexistencia de estudios previos recientes y aplicables a la idiosincrasia regional en los que basar los cálculos de tamaño muestral, se realizó una prueba piloto con 20 participantes. A partir de los resultados obtenidos en la proporción de rescatadores con un peso inferior y superior a 65kg que realizaron una profundidad media en la compresión torácica de entre 50 y 60mm, se estimó un tamaño muestral mínimo de 230 sujetos, aceptando un riesgo alfa de 0,05 y un riesgo beta de 0,2 en un contraste bilateral.
Recogida de datosLas sesiones se llevaron durante 4 meses en distintos laboratorios de simulación clínica del Servicio Vasco de Salud (Osakidetza) y de la Universidad del País Vasco (UPV/EHU) y consistieron en 2min de RCP solo con compresiones sobre un torso Resusci Anne® Q-CPR de Laerdal® (Stavanger, Noruega) ubicado en el suelo y equipado con el resorte estándar de compresión (45kg), controlando la frecuencia de compresiones mediante un metrónomo a 110 bits por minuto. Se registraron las métricas de profundidad y presión residual en la reexpansión de las compresiones torácicas aplicadas por cada reanimador utilizando el dispositivo SimPad con SkillReporter de Laerdal®.
De forma previa al inicio del ejercicio de simulación, 2 observadores externos consultaron los siguientes datos correspondientes a cada participante: edad, sexo y si tenía experiencia en más de 5 RCP reales. Adicionalmente determinaron el peso y la estatura, y midieron la máxima fuerza de aprehensión de la mano dominante (empleando un dinamómetro de mano Takei® 5101), como aproximación indirecta a la integridad y fuerza funcional del tronco superior8.
Las variables dependientes de este estudio fueron: a) la adecuada compresión del tórax (cuando la profundidad media de las compresiones durante el ciclo de RCP estuvo comprendida entre 50 y 60mm) y b) la reexpansión completa del tórax tras las compresiones (cuando la media de presión residual tras la reexpansión del tórax fue igual o inferior a 5mm, equivalente a 2,5kg).
Análisis de datosLa descripción de las características de la muestra se realizó empleando frecuencias absolutas y porcentajes para las variables cualitativas y mediana y rango intercuartil para las cuantitativas.
Para evaluar la magnitud de asociación entre las características de los reanimadores y las diferentes variables dependientes se crearon modelos de regresión logística multivariante en el que se incluyeron aquellas variables con p<0,05 resultante en un análisis bivariado previo, obteniendo el cálculo ajustado a la odds ratio (OR) y sus intervalos de confianza al 95% (IC 95%). En el modelo de regresión logística multivariante resultante se introdujeron 2 variables independientes continuas (estatura y fuerza máxima de aprehensión) y una dicotomizada (experiencia previa en menos de 6 RCP). Se utilizó la prueba de Hosmer-Lemeshow para determinar la bondad de ajuste y calibrar el modelo.
Finalmente se realizó una curva del rendimiento diagnóstico (COR) del modelo resultante y se calculó el área bajo la curva (ABC).
El tratamiento estadístico de los datos fue realizado empleando los programas IBM-SPSS® v.25. Se consideró significación estadística cuando el valor bilateral de p<0,05.
ResultadosParticiparon 238 personas voluntarias en el estudio, donde 190 (79,8%) eran mujeres, 156 (65,5%) menores de 40 años, 58 (24,4%) estudiantes de pregrado y 84 (35,3%) habían practicado previamente más de 5 reanimaciones reales. El resto de características de la muestra se describen en la tabla 1.
Características de los participantes (n=238)
| Característica | |
|---|---|
| Edad en años; Me (RIQ) | 33 (28-43) |
| Sexo femenino; n (%) | 190 (79,8) |
| Peso en kg; Me (RIQ) | 62,5 (55,6-74,1) |
| Estatura en cm; Me (RIQ) | 165 (161-171) |
| Fuerza máxima de aprehensión en kg; Me (RIQ) | 30 (26,5-36,9) |
| Cinco o menos RCP previas realizadas; n (%) | 154 (64,7) |
Me: mediana; RCP: reanimaciones cardiopulmonares; RIQ: rango intercuartil.
En 92 (38,7%) simulaciones la media de profundidad en las compresiones estuvo comprendida entre 50 y 60mm y en 155 (65,1%) la presión residual media tras la reexpansión torácica fue ≤2,5kg.
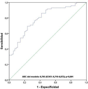
En la tabla 2 se muestran los resultados del análisis univariante para las 2 variables dependientes estudiadas. Tras realizar los análisis de regresión logística multivariante para ambos efectos, no se obtuvo ningún factor estadísticamente significativo asociado a una reexpansión incompleta del tórax. El modelo de regresión ajustado creado para la variable «compresión inadecuada del tórax» arrojó 3 variables independientes estadísticamente significativas: la experiencia del reanimador en 5 o menos situaciones de RCP se asoció a un mayor riesgo de inadecuación (OR: 3,03; IC 95%: 1,2-7,63), mientras que una mayor estatura (OR: 0,93; IC 95%: 0,87-0,99) y fuerza de aprehensión (OR: 0,94; IC 95%: 0,89-0,99) fueron condiciones que actuaron como factores predisponentes a la ejecución de una técnica correcta (tabla 3). El ABC-COR del modelo fue de 0,795 (IC 95%: 0,718-0,872); p<0,001 (fig. 1).
Análisis bivariante de la magnitud de la asociación de distintas características del reanimador y la adecuación de las compresiones torácicas durante la reanimación cardiopulmonar
| Compresión torácica inadecuada | Reexpansión torácica incompleta | |||
|---|---|---|---|---|
| OR cruda (IC 95%) | Valor de p | OR cruda (IC 95%) | Valor de p | |
| Edad | 1,00 (0,98-1,02) | 0,92 | 1 (0,97-1,02) | 0,90 |
| Sexo (mujer) | 7,18 (3,48-14,81) | <0,001 | 0,5 (0,26-0,96) | 0,04 |
| Experiencia (≤5 RCP) | 2,63 (1,52-4,55) | <0,001 | 1,35 (0,77-2,34) | 0,29 |
| Estatura | 0,91 (0,87-0,94) | <0,001 | 1,03 (0,97-1,06) | 0,85 |
| Peso | 0,95 (0,93-0,97) | <0,001 | 1,03 (1,00-1,05) | 0,70 |
| Fuerza máxima de aprehensión | 0,90(0,86-0,95) | <0,001 | 1,03 (0,99-1,07) | 0,10 |
IC 95%: intervalo de confianza al 95%; OR: odds ratio; RCP: reanimaciones cardiopulmonares.
Modelo de regresión logística multivariante de los factores asociados a una compresión torácica inadecuada durante la reanimación cardiopulmonar
| Coeficiente | OR ajustada (IC 95%) | Valor de p | |
|---|---|---|---|
| Experiencia (≤5 RCP) | 1,12 | 3,03 (1,20-7,63) | 0,02 |
| Estatura | −0,074 | 0,93 (0,87-0,99) | 0,03 |
| Fuerza máxima de aprehensión | −0,064 | 0,94 (0,89-0,99) | 0,03 |
| Constante | 12,681 | 0,02 |
OR: odds ratio; RCP: reanimaciones cardiopulmonares; IC95%: intervalo de confianza al 95%.
Este estudio ha pretendido conocer las características de los reanimadores que pueden influir en la correcta realización de las compresiones torácicas durante una RCP. La experiencia previa del profesional en otras RCP ha mostrado ser el factor que en mayor medida condiciona la consecución de unas compresiones con profundidad adecuada y, de manera menos determinante, su estatura y fuerza del tren superior. Por el contrario, no se encontraron factores asociados a la reexpansión completa del tórax tras las compresiones. Adicionalmente, este estudio también deja evidencia de que la calidad global de las compresiones torácicas aplicadas por profesionales sanitarios o estudiantes de último curso de enfermería presenta margen de mejora.
La información derivada de este experimento, realizado sobre una muestra de sanitarios en disposición real de realizar maniobras de RCP en su contexto laboral, muestra varias diferencias con la de otras investigaciones previas. Sin embargo, a lo largo de la bibliografía, si bien es posible localizar varios artículos que tratan esta temática, existe una gran heterogeneidad metodológica a la hora de abordarla, lo que dificulta la comparación justa entre resultados.
Que el reanimador sea mujer se ha asociado en la literatura a una menor profundidad de las compresiones torácicas9,10. En la misma línea que otros trabajos5, en el nuestro, cuando el factor sexo se ajustó al resto de variables antropométricas, desapareció del modelo predictivo. Esta situación puede ser explicada por el hecho de que el sexo no es en sí mismo un factor que condicione el rendimiento de la RCP, pero sí es asumible una asociación entre ser mujer y poseer una menor fuerza del tren superior o una estatura media inferior a la de los varones.
Que la antropometría del reanimador tenga una repercusión directa en la calidad de las compresiones torácicas ha sido un hallazgo documentado por otros autores basándose en análisis bivariantes. El peso ha sido la característica antropométrica que en mayor número de publicaciones ha sido relacionada con la correcta compresión o descompresión del tórax durante la RCP6,11. Kessler et al.12 determinaron recientemente que el índice de masa corporal (IMC) de los profesionales sanitarios se relacionaba con la capacidad de lograr una adecuada profundidad de las compresiones (pero sin asociación con la reexpansión torácica) y Contri et al.7 asociaron la compresión y la reexpansión torácica al sexo, al peso y al IMC cuando la reanimación era practicada por ciudadanos recién formados en técnicas básicas de RCP.
A la vista de nuestros resultados, parece razonable pensar que, con independencia de las características físicas del reanimador, los factores que intervienen en la consecución de los parámetros de calidad del masaje cardiaco pudieran tener una mayor relación con la experiencia, cuestiones formativas o desarrollo de habilidades técnicas. De hecho, existen descritas experiencias de maniobras o destrezas adicionales durante la RCP que logran adecuar la profundidad de las compresiones practicadas por reanimadores con una antropometría, aparentemente, poco favorable13.
Como aspectos prácticos, este trabajo puede justificar el inicio de algunas estrategias orientadas a mejorar la calidad de la RCP practicada por profesionales sanitarios. Puesto que ha quedado patente la importancia de la experiencia práctica previa en maniobras de RCP, debería prestarse especial atención a la realización de formaciones o simulacros regulares en soporte vital, haciendo énfasis en la necesidad de aplicar unas compresiones de calidad. Puede resultar habitual que los profesionales sanitarios sobreestimen su capacidad y consideren, erróneamente, que la calidad de las RCP que practican sea superior al real14,15. La docencia basada en simulación clínica con mecanismos de retroalimentación en tiempo real permite detectar deficiencias en la técnica empleada que pudieran ser fácilmente subsanadas16–18. De forma complementaria, podría ser adecuado para los profesionales que habitualmente atienden situaciones de PCR la ejercitación de la musculatura de su tren superior, una recomendación que también ha sido planteada por otros investigadores4,19. Finalmente, aunque no es posible influir sobre la estatura personal del profesional, si conviene recordar que el posicionamiento en altura adecuada sobre el plano de compresión puede favorecer la ejecución correcta de la reanimación.
LimitacionesExisten algunas limitaciones de este estudio que merecería la pena discutir. En primer lugar, el tiempo del experimento quedó restringido a un único ciclo de RCP. En condiciones reales, un mismo reanimador podría tener que asumir realizar compresiones durante más de un ciclo, por lo que la calidad de las mismas, con toda seguridad, se hubiese visto disminuida en esa situación debido a la fatiga. Podría haber ocurrido lo mismo en caso de no controlar el ritmo mediante metrónomo20. Por último, puede sorprender la disparidad entre el número de varones y mujeres participantes, pero corresponde a la proporción real entre el personal sanitario de nuestro entorno, donde aproximadamente el 77% de los profesionales son mujeres21.
ConclusionesA partir de los datos de este trabajo cabe concluir que existen algunas características de los reanimadores que se asocian a la calidad de las compresiones torácicas. El hecho de que el profesional sanitario posea experiencia previa inferior a 6 RCP se asocia a una peor consecución de los estándares de profundidad adecuada en las compresiones torácicas. La relación entre una mayor estatura y fuerza del tren superior y la profundidad de las compresiones torácicas es limitada. Sin embargo, las características físicas o la experiencia de los reanimadores parecen no tener una influencia determinante a la hora de lograr los parámetros de calidad adecuados en la reexpansión del tórax durante la RCP.
FinanciaciónEl presente trabajo ha sido financiado por la Organización Sanitaria Integrada de Bilbao-Basurto (Osakidetza - Servicio Vasco de Salud), código de la beca: OSIBB 19/015.
Conflicto de interesesLos autores declaran no tener conflicto de intereses en relación al presente artículo.
A Iraia Isasi, Elixabete Aramendi, Unai Irusta, Ander Herreros y Eider Díez, por su ayuda en el trabajo de campo y en la extracción de datos.








