Introducción
Para intentar asegurar la eficacia en el tratamiento del hiperparatiroidismo (HPT) sólo se disponía de la experiencia del cirujano, quien en el transcurso de la intervención quirúrgica podía suponer, sobre la base de su experiencia y en algo más del 95% de los casos tratados, que el problema estaba resuelto1-3. La biopsia intraoperatoria permitía identificar el tejido paratiroideo extirpado, pero tampoco podía garantizar la curación. La confirmación definitiva de curación sólo podía hacerse en el postoperatorio tras la normalización de las cifras de la hormona paratiroidea intacta (PTHi) y de la calcemia que, a pesar de la cirugía, podían persistir elevadas o recidivar por quedar tejido secretor patológico en el cuello, en torno al 3-10% de los casos4.
La PTHi tiene una vida media muy corta, menor de 5 min5, por lo que su determinación peroperatoria puede permitir constatar con su descenso, si éste se produce y su gradiente de caída cumple la exigencia, definida por Irvin et al6,7, de superar el 54% del valor de la cifra de la PTHi basal, que se ha extirpado todo el tejido patológico secretor8-12. Este hecho permitiría descartar la existencia de un segundo adenoma (no extirpado), presente en el 5% de las ocasiones11 y sería particularmente útil en las hiperplasias. La medición peroperatoria de las concentraciones de PTHi puede usarse a modo de "biopsia bioquímica"13, asegurando la exéresis completa de todo el tejido paratiroideo funcionante12,14-17.
Dado que la determinación basal de la PTHi será el referente sobre el que se tendrá que comparar los valores de PTHi postexeréticos16 y que, de producirse la elevación, esta comparación habría que realizarla sobre el valor basal patológico máximo que pudiera producirse10,17-20, se considera importante definir en qué momento debe obtenerse la muestra sanguínea basal. De igual manera, se entiende que es obligado establecer el número mínimo de determinaciones postexeréticas que deben efectuarse para garantizar el resultado de la prueba, además del momento en que deben obtenerse estas muestras.
Con este fin se desarrolló nuestro estudio, cuyos objetivos son: valorar la eficacia de la determinación peroperatoria de PTHi como marcador precoz de curación del HPT; establecer el número mínimo de muestras sanguíneas necesarias que se deben obtener para garantizar este resultado, y comprobar si la manipulación cervical eleva la cifra de la PTHi basal.
Pacientes y método
Estudio prospectivo realizado entre los años 2001 y 2004 con 45 pacientes afectos de HPT. De ellos, 42 eran HPT primarios: 36 mujeres, con edades medias de 60,08 (desviación típica [DT]: 13,45) y 6 varones, con edades medias de 56,63 años (DT: 14,11). Otros 3 eran HPT secundarios a enfermedad renal, 2 varones de 52 y 41 años y 1 mujer de 54.
El diagnóstico en los HPT primarios se completó mediante la determinación de las concentraciones de calcemia > 10,5 mg/dl (valor de referencia [VR] de 8,4-10,2), de fosforemia < 2,7 mg/dl (VR de 2,7-4,5) y de PTHi > 65 pg/dl (VR de 12-65). Según este criterio, las medias de estos valores recogidas de los enfermos de toda la serie de HPT primario fueron: calcemia de 12,12 mg/dl (DT: 1,37), fosforemia de 2,37 mg/dl (DT: 0,54) y PTHi de 291,59 pg/dl (DT: 199,97). Los valores reales de los 3 casos de HPT secundario se exponen aparte en las tablas 1 y 2.
Todos los pacientes fueron operados bajo anestesia general y se utilizó el abordaje cervical tradicional de Kocher, con incisión reducida (de 4 cm), cuando las pruebas diagnósticas preoperatorias habían permitido identificar la localización del adenoma, y algo más amplia ante su negatividad.
Se efectuó la extirpación simple del adenoma en 40 pacientes. En los 3 HPT secundarios se llevó a cabo la paratiroidectomía subtotal (3 glándulas y media). Una paciente debió ser reoperada por adenoma ectópico no encontrado en la primera intervención. Otra, tenía 2 adenomas. Después de extirpar el primero de ellos, la PTHi no descendió por lo que, al revisar el lado cervical contralateral, se encontró y extirpó el segundo. Una tercera paciente sigue teniendo el adenoma en mediastino superior, que no pudo ser extirpado por cervicotomía (estos 3 casos se detallan en las figs. 1 y 2). En 15 pacientes (33% del total de la serie) se trató simultáneamente la patología tiroidea concomitante (2 carcinomas papilares, 1 adenoma de células de Hürthle, 11 hiperplasias nodulares benignas y 1 tiroiditis linfocitaria) con la realización de 4 tiroidectomías totales, 1 tiroidectomía subtotal y 10 lobectomías con istmectomía.
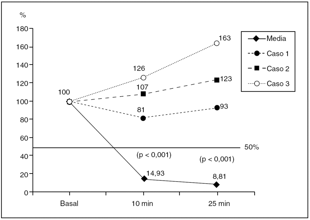
Fig. 1. Cifras peroperatorias de hormona paratiroidea intacta (PTHi). Descenso significativo (medias) salvo en 3 casos no curados.
Fig. 2. Gradiente de caída de las cifras peroperatorias de hormona paratiroidea intacta (PTHi). Salvo en los 3 casos no curados, en todos los demás el gradiente de descenso tras la exéresis fue > 50, tanto a los 10 como a los 25 min.
Preoperatoriamente se tomaron muestras de sangre en la vena medianobasílica del antebrazo y se hicieron 3 determinaciones de PTHi: basal, antes de iniciarse la anestesia; a los 10 min de extirpar la lesión (o lesiones); y a los 25 min de la extirpación.
Con el fin de analizar los efectos que sobre la cifra de PTHi basal pudiera tener la manipulación cervical, en un subgrupo formado por 19 pacientes operados consecutivamente, se hicieron otras 2 nuevas determinaciones basales: basal "homolateral", tras 2 min de masaje vigoroso en el lado del cuello donde se ubica el adenoma, y basal "contralateral", repitiéndolo en el lado opuesto.
Se aceptó como criterio de eficacia diagnóstica y terapéutica el descenso > 50% del valor de PTHi entre las muestras postexeréticas y la basal (gradiente > 50), y se excluyeron los 3 casos en los que, por no haber sido extirpado el tumor, no cumplieron este requisito.
Como criterio de curación quirúrgica, se exigió el descenso significativo o la normalización postoperatoria de las cifras de calcemia dentro de las primeras 24 h. En todos los casos se realizó biopsia intraoperatoria de la pieza quirúrgica.
Las concentraciones de PTHi se evaluaron y registraron en el Servicio de Bioquímica Clínica de nuestro hospital, mediante técnicas de ensayo secuencial inmunométrico quimioluminiscente, en fase sólida, en el Inmulite 2000 (Diagnostics Products Corporation, Los Angeles, California), que utiliza anticuerpos monoclonales murinos anti-PTH (44-84) y anticuerpos policlonales de cabra anti-PTH (1-34) purificados por afinidad.
El estudio estadístico, para comparar los resultados postexeréticos de PTHi con los basales, así como la comparación entre las muestras basales de PTHi, tras los masajes, se efectuó mediante el análisis de la varianza de medidas repetidas. Se consideraron estadísticamente significativos valores de p < 0,05.
Resultados
Las medias de los valores obtenidos en toda la serie de HPT primario fueron: a) PTHi basal, 269,38 pg/dl (DT: 173,29); b) PTHi a los 10 min de la exéresis, 37,19 pg/dl (DT: 30,85), y c) PTHi a los 25 min, 21,54 pg/dl (DT: 23,20). Individualmente, se exponen también las cifras de los 3 casos inicialmente no curados (fig. 1).
En todos los casos curados hubo descensos de la PTHi estadísticamente significativos (p < 0,001), a los 10 min de la exéresis (gradiente de descenso, 85,07) y a los 25 min (gradiente de descenso, 91,19). En los 3 casos inicialmente no curados, los valores de PTHi intraoperatoria permanecieron inalterados e incluso ascendieron (fig. 2). En uno de ellos, la PTHi se normalizó intraoperatoriamente al extirpar el segundo adenoma y en otro (adenoma ectópico) la normalización se obtuvo en la reintervención. La tercera paciente (adenoma mediastínico), al tratarse de una enferma con cardiopatía muy severa, no ha sido reoperada.
En los 3 casos de HPT secundario también descendieron las concentraciones de la PTHi basal, tanto a los 10 min, en los que el gradiente de descenso fue ya > 50, como a los 25 min, en los que las concentraciones de PTHi cayeron todavía más (tabla 2).
En el subgrupo de 19 pacientes con HPT primario, separados para estudiar los posibles efectos que sobre la PTHi basal podría tener la manipulación cervical, los valores fueron: a) PTHi basal de 226,10 pg/dl (DT: 144,89); b) PTHi basal "homolateral" de 228,96 pg/dl (DT: 147,01), y c) PTHi basal "contralateral" de 222,90 pg/dl (DT: 146,56).
Las medias de las muestras "basal" y "basal homolateral" fueron iguales (p = 0,80) (fig. 3). La "basal contralateral" fue menor que la basal pura, aunque sin alcanzar significación estadística (p = 0,80) (fig. 4). La manipulación cervical (masaje) no produjo elevación de la cifra de PTHi.
Fig. 3. Cifras peroperatorias de hormona paratiroidea intacta (PTHi) tras el masaje cervical. El masaje en el lado "homolateral" del cuello no elevó la PTHi basal.
Fig. 4. Cifras peroperatorias de hormona paratiroidea intacta (PTHi) tras el masaje cervical. Tras el masaje "contralateral" se produjo un leve descenso de la PTHi basal (no significativo).
La biopsia intraoperatoria fue negativa en 3 casos, en los que el gradiente de descenso de PTHi tras la exéresis fue > 50. La biopsia definitiva confirmó la presencia de microadenomas en la pieza operatoria; esto supuso un 7% de fracasos para la biopsia intraoperatoria como prueba diagnóstica.
La media de las cifras de la calcemia postoperatoria fue de 8,01 mg/dl (DT: 0,65). Comparada con la calcemia preoperatoria (diagnóstica), cuyo valor medio era de 12,12 mg/dl (DT: 1,37), su descenso alcanzó significación estadística (p < 0,001) (fig. 5).
Fig. 5. Cifras de calcemia pre y postoperatoria. En todos los pacientes curados se normalizaron las cifras de calcemia dentro de las primeras 24 h del postoperatorio.
Discusión
El interés de la determinación peroperatoria de PTHi radica en que su caída o reducción plasmática > 50%, con relación a la cifra basal, nos indica intraoperatoriamente que se ha extirpado todo el tejido patológico secretor y que, alcanzado el éxito, puede concluir la intervención7-9,17-20. Si esta disminución no se produce, se debe a que persiste tejido paratiroideo patológico (doble adenoma o hiperplasia) que se deberá buscar, identificar y extirpar antes de concluir la intervención, para resolver el problema.
Como punto de partida para este estudio, se define qué se entiende como determinación peroperatoria basal de la PTHi, ya que ella será el referente sobre el que se tendrá que comparar los valores postexeréticos y que esta comparación se debería realizar sobre el valor basal patológico máximo que pudiera producirse en ella. Dado que en determinados trabajos10,17-20 se señalaba que la manipulación cervical producida por el anestesista en el momento de la intubación traqueal podría elevar sus valores, y por eso en estos estudios toman, y consideran como basal, una muestra en el momento de realizar la incisión cutánea10,19,21,22, nos pareció importante intentar confirmarlo. Para ello, en 19 pacientes consecutivamente tratados, se efectuaron otras 2 determinaciones "basales" adicionales 1 min después de efectuar, por separado, un masaje vigoroso sobre ambos lados del cuello. El resultado final fue que la manipulación cervical (masaje) no produjo en nuestro estudio elevación de los valores de PTHi. Por ello se consideró como basal, igual que otros autores7,9,16, la muestra obtenida inmediatamente antes de iniciarse las maniobras anestésicas.
Otros grupos de estudio definen metodológicamente el valor basal tomando una muestra sanguínea en el momento de identificar el adenoma, inmediatamente antes de ligar el pedículo vascular y extirparlo17-19,21. En nuestro caso no se ha considerado esta eventualidad en el estudio.
Con relación al número de muestras postexeréticas que deben hacerse para garantizar el resultado de la prueba, junto con el momento en el que deben obtenerse, hay trabajos que inician la extracción a los 5 min7,21-24 y después siguen tomando nuevas muestras a los 10, 15 y 25 min e incluso a las 2 h de ser extirpada la lesión23, obteniendo diferentes concentraciones de descenso hormonal según los momentos de la extracción. Según los resultados obtenidos en nuestro estudio, se constató que bastaban 2 muestras peroperatorias de PTHi para garantizar la curación; en este sentido, las determinaciones basal y la extraída a los 10 min de la exéresis, dado que en el 100% de los casos positivos el gradiente de descenso de la muestra fue siempre > 50 (gradiente del 85,07%). Los gradientes de las muestras obtenidas a los 25 min siguieron descendiendo (gradiente del 91,19%), y en todo momento se encontraron por debajo de los obtenidos a los 10 min. Ello no hizo sino ratificar el resultado, por lo que se entiende que esta muestra no es necesaria. No se ha realizado ninguna dosificación postexerética a los 5 min de extirpar la lesión, habida cuenta de los resultados dispares obtenidos en este sentido por otros grupos de trabajo ya que, incluso en algunos22,25-27, no se llega al 100% de gradientes de descenso > 50%. Posiblemente, este hecho obedezca a que la cinética de liberación de la PTHi pudiera ser más lenta en algunos casos, y por tal circunstancia se entiende que esta determinación puede ser demasiado precoz. Por ello, se considera más adecuado esperar hasta los 10 min de la exéresis para realizar la primera extracción.
Tampoco se precisan muestras adicionales, tomadas para estudiar los posibles efectos derivados de la manipulación cervical porque, como se ha señalado, esta manipulación no produjo elevación de la cifra basal pura de PTHi. Incluso tal como señalan otros autores7,15, la PTHi puede descender tras ella porque la simple manipulación del tiroides podría provocar isquemia glandular26. Esto sucedió en nuestro estudio, en las muestras basales obtenidas tras el masaje cervical "contralateral", aunque sin alcanzar significación estadística.
Respecto a la vía venosa sobre la que se deben efectuar las extracciones, hay que señalar que frente a la vía central (vena yugular) utilizada también con éxito en algunos estudios23, nosotros optamos por la vía periférica (vena antecubital del antebrazo) ya que esta misma vía, empleada también por otros autores7,22, es la que habitualmente se utiliza para la dosificación diagnóstica preoperatoria del hiperparatiroidismo y se ha querido respetar este mismo criterio. En todos los casos, recogidos en nuestra experiencia, esta vía tiene una menor morbilidad para el paciente que la central, además de proporcionar resultados excelentes y comparables a los obtenidos en vías centrales.
Finalmente, señalar que en los casos curados se produjeron descensos de la cifra de PTHi estadísticamente significativos (p < 0,001), tanto para la determinación efectuada a los 10 min, como a los 25 min (p < 0,001). Por el contrario, en los casos no curados, las cifras de PTHi permanecieron inalteradas o incluso ascendieron.
La biopsia intraoperatoria fue positiva para tejido paratiroideo en el 93% de los casos operados. En 3 (7%) pacientes, el espécimen enviado al laboratorio para su estudio biópsico no fue reconocido como tejido paratiroideo posiblemente porque los 3 eran adenomas muy pequeños (< 300 mg de peso) y 2 de ellos estaban incluidos dentro de tejido tiroideo (el hiperparatiroidismo se asociaba con patología tiroidea que se trató simultáneamente). Sin embargo, el gradiente de descenso de PTHi tras la exéresis sí fue en ellos > 50%, lo que indicaba, como en el resto de los casos curados, que se había extirpado el adenoma. La biopsia definitiva ratificó después el diagnóstico anatomopatológico de adenoma. Adicionalmente, con la biopsia intraoperatoria sólo se puede afirmar que lo extirpado y biopsiado es una glándula paratiroides, pero no se puede garantizar que sea todo el tejido patológico secretor y puede quedar en el cuello o mediastino un segundo adenoma u otras glándulas hiperplasiadas.
En definitiva, el descenso de PTHi tuvo valor predictivo de eficacia quirúrgica estadísticamente significativo, tanto para la determinación efectuada a los 10 min (p < 0,001) como para la efectuada los 25 min (p < 0,001), cuando se comparó con la basal y el gradiente de descenso fue > 50. Esta prueba diagnóstica fue igualmente válida tanto en el HPT primario como en el secundario. En los casos considerados como curados también se normalizaron las cifras de la calcemia postoperatoria, con descensos estadísticamente significativos (p < 0,001).
En este sentido, se puede afirmar que la determinación intraoperatoria de PTHi con gradiente de descenso > 50 es un certero indicador intraoperatorio de curación, confirmada en el 100% de los casos con la normalización postoperatoria de las cifras de la calcemia, de tal suerte que la optimización de este procedimiento, al aportar al cirujano retroalimentación informativa en tiempo real28, permite conocer en el mismo acto quirúrgico que se ha logrado extirpar todo el tejido patológico secretor y, por lo tanto, curado al enfermo. Ello mejorará la calidad en la gestión clínica del proceso permitiendo además, si se cumplen otras exigencias, incluir a los pacientes en los programas de cirugía sin ingreso21,29,30.
Conclusiones
La determinación intraoperatoria de PTHi, con gradiente de descenso > 50, es un certero indicador de curación confirmada en el 100% de los casos con la normalización de la calcemia. Sólo se precisan 2 muestras peroperatorias de PTHi: la basal preoperatoria y la extraída a los 10 min de la exéresis en la que, en el 100% de los casos positivos, el gradiente fue siempre > 50. Los gradientes de las muestras obtenidas a los 25 min fueron siempre mayores que los obtenidos a los 10 min, pero ello no hizo sino refrendar su resultado, por lo que esta muestra no se necesita.
La manipulación cervical preoperatoria (masaje) no produjo elevación de los valores de PTHi, por lo que tampoco se precisan muestras tomadas tras la manipulación cervical para considerarlas como basales.
Correspondencia: Dr. A. Gómez-Palacios.
Servicio de Cirugía General. Hospital de Basurto.
Avda. de Montevideo, 18. 48013 Bilbao. España.
Correo electrónico: agpalaci@hbas.osakidetza.net
Manuscrito recibido el 10-6-2005 y aceptado el 11-10-2005.











