Introducción
Las fracturas inestables de pelvis con shock resistente por hemorragia retroperitoneal son una de las lesiones de más difícil y controvertido tratamiento en el paciente politraumatizado, y generalmente están asociadas a un pronóstico sombrío. Representan el paradigma del paciente politraumatizado grave que pone a prueba la capacidad organizativa, coordinación y unidad de criterio de los equipos de guardia en los servicios de urgencia hospitalarios.
Las fracturas pelvianas (FP) son el 3% de las lesiones del esqueleto y las presentan aproximadamente el 20% de los politraumatizados graves, y destacan entre las causas más comunes e importantes de complicaciones y muerte en estos pacientes. Entre un 2 y un 20% de FP cursan con inestabilidad hemodinámica por hemorragia retroperitoneal y/o intraperitoneal asociada. El paciente con hemorragia masiva es más infrecuente (1-2% de todas las FP)1.
La mortalidad general de los pacientes politraumatizados con FP es de un 16% (5-30%, según las series), que se eleva a un 30% (10-57%) en el caso de fractura cerrada con inestabilidad hemodinámica, y hasta un 55% (50-78%) si la fractura es abierta1-8. La hemorragia es la causa principal de muerte en el 42% de los traumatismos pelvianos; aproximadamente en el 60% de casos la hemorragia es de origen pelviano, y en el 40% restante el origen está en las lesiones asociadas1.
El objetivo de esta revisión ha sido conocer la incidencia, lesiones asociadas, tratamiento y resultados obtenidos en el tratamiento de los pacientes con fracturas graves de pelvis en un hospital de tercer nivel, con especial énfasis en los pacientes en shock al ingreso, así como analizar los factores de riesgo asociados a mortalidad.
Material y método
Se ha realizado un estudio retrospectivo de los pacientes incluidos en nuestro registro hospitalario de traumatizados graves entre junio de 1993 y enero de 2005. La atención inicial en nuestro centro se realiza por el equipo de guardia de cirugía general y anestesia, siguiendo protocolos ATLS (Advanced Trauma Life Support)9 en los últimos años. Los criterios de inclusión de pacientes en nuestro registro han sido publicados previamente10. No incluimos fracturas aisladas simples del segmento anterior del anillo pelviano, o acetabulares aisladas.
La clasificación de las FP se ha realizado con los criterios de Tile11, que considera 3 tipos: tipo A, que corresponde a fracturas estables; tipo B, que son fracturas parcialmente estables (con inestabilidad rotacional y con estabilidad vertical y posterior), y tipo C, que corresponden a fracturas completamente inestables (con inestabilidad rotacional, vertical y posterior). Se han considerado abiertas aquellas con solución de continuidad de la piel sobre la región pelviana, y también con lesión del recto y/o vagina.
Se comparan y analizan estadísticamente aspectos demográficos y clínicos, incluidos la edad, el sexo, el mecanismo lesivo, tiempo de traslado, la situación hemodinámica al ingreso y las escalas de gravedad: Revised Trauma Score (RTS), escala de coma de Glasgow (GCS), Abbreviated Injured Score (AIS), Injury Severity Score (ISS) y New Injury Severity Score (NISS). En pacientes intubados y sedados se ha considerado la GCS medida por los servicios de atención extrahospitalaria (SAE). Se ha definido el estado de shock como una presión arterial sistólica (PAS) ≤90 mmHg durante la revisión primaria en el cuarto de reanimación de urgencia (CRU). Esta hipotensión arterial sistólica representa, al menos, una hemorragia grado III (pérdida del 30-40% de la volemia o unos 2.000 ml de sangre)9. En las FP abiertas se ha valorado la lesión de partes blandas mediante la clasificación de Gustilo et al12. Como tiempo de traslado hemos considerado al transcurrido entre el contacto con el paciente por los SAE y la llegada a nuestro centro. Se analizan las medidas inciales de estabilización empleadas en nuestro centro, las diferentes pruebas diagnósticas y el tratamiento realizado, así como la mortalidad y los factores de riesgo asociados, con especial énfasis en el grupo de pacientes en shock.
El análisis estadístico se ha realizado mediante el programa SPSS 12.0. Se han utilizado para el estudio y comparación de variables cuantitativas la prueba de la U de Mann-Whitney, y para la comparación de variables cualitativas la de la χ2 y la prueba exacta de Fisher. Se ha hecho asimismo un análisis de variables independientes para valorar las que se asocian a mortalidad. Mediante la curva de Kaplan-Meier se ha realizado el estudio de supervivencia-mortalidad y se han comparado los distintos grupos con el test de rangos logarítmicos. Se define la significación estadística como p < 0,05.
Resultados
De los 1.274 politraumatizados graves atendidos en el período de estudio, 192 (15%) presentaban FP. Las características demográficas de los pacientes incluidos, así como la situación clínica al ingreso, se presentan en las tablas 1 y 2.
En el examen clínico inicial presentaron un abdomen claramente patológico 44 pacientes (23%), y se observó hematuria macroscópica en 49 (26%). En muy pocos casos consta la realización de un tacto rectal o la colocación de un dispositivo pelviano no invasivo (DPNI), como una sábana o similar para el cierre temporal de la pelvis. Tras la monitorización y evaluación clínica del paciente se realizaron las pruebas diagnósticas que se muestran en la tabla 3. Sólo 10 de las 16 arteriografías resultaron positivas. La indicación de arteriografía quedó a criterio del equipo de guardia. La indicación principal fue el hematoma retroperitoneal (HRP) de gran tamaño hallado en la tomografía computarizada (TC) en 14 casos; en otro paciente se realizó después de una laparotomía con taponamiento pelviano, y en el restante, como medida de intento de estabilización hemodinámica en un paciente muy poco respondedor a la reposición de la volemia. Hubo un falso negativo inicial en un paciente que falleció esperando una nueva arteriografía al observarse en la TC hemorragia a nivel de la arteria glútea. En 3 casos se observó una contusión o trombosis de arteria iliofemoral, y precisaron intervención quirúrgica posterior. En 5 casos se realizó embolización, indicada siempre como medida de control de la hemorragia retroperitoneal, en 2 casos de la arteria pudenda, 2 de hipogástricas y una de la arteria renal. En 2 ocasiones se realizó una aortografía para confirmar una lesión de aorta torácica observada en la TC.
Las FP se distribuyeron, según la clasificación de Tile, en: 126 (65,5%) de tipo A, 40 (21%) de tipo B y 26 (13,5%) de tipo C. No se han encontrado diferencias significativas entre el ISS medio de las fracturas de tipo A (26 ± 14) y de tipo B (29 ± 11,5), ni entre éstas y las de tipo C (38 ± 16); las diferencias fueron estadísticamente significativas en el ISS medio de los tipos A y C (p < 0,001).
Las lesiones asociadas a las FP y los tipos de intervenciones quirúrgicas realizadas se muestran en las tablas 4 y 5, respectivamente. Únicamente 13 (6,7%) pacientes presentaron FP aislada sin lesiones asociadas. Entre las lesiones abdominales el órgano más frecuentemente dañado fue el hígado, aunque sólo precisó intervención quirúrgica en el 12% de los casos. En 3 de los 6 pacientes con lesión de esfínter rectal se realizó una colostomía.
Fueron ingresados en la unidad de reanimación o UCI 132 pacientes (61,5%), con una estancia media de 10 ± 10 días (1-45). Los pacientes requirieron una media de 3,7 ± 5 (0-26) unidades de concentrados de hematíes en las primeras 24 h.
La mortalidad de la serie fue de 58 pacientes (30%), de los que 22 fallecieron durante las primeras 4 h de ingreso. La causa principal de muerte se estimó como hemorragia masiva en 20 casos, traumatismo craneoencefálico (TCE) en 18, fallo multiorgánico en 8, indeterminada en 6, fallo cardíaco en 3 y fallo respiratorio en otros 3 casos. En la tabla 6 se reflejan los factores de riesgo asociados a mortalidad; ésta estaba estadísticamente relacionada con el tipo de FP, la presencia de shock a la llegada, la GCS ≤ 8, ISS > 25 y edad mayor de 55 años. De los 8 pacientes con FP abiertas producidas por mecanismo contuso, fallecieron 4 (50%), y 5 de estos pacientes tenían lesiones de partes blandas de grado III de la clasificación de Gustilo, con gran contaminación.
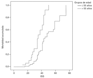
La figura 1 representa el estudio de mortalidad acumulada en función de la edad y del ISS. En el grupo de edad ≤ 55 años la media de ISS fue de 50,5 ± 2,3 (intervalo de confianza [IC] del 95%, 46-55), y en el > 55 años fue de 35,6 ± 2 (IC del 95%, 31,7-39,5); las diferencias son estadísticamente significativas (p < 0,001).
Fig. 1. Mortalidad acumulada en función de la edad y del Injury Severity Score (ISS).
En la tabla 7 se describen algunas características y la mortalidad del grupo de 39 pacientes que se encontraban en shock al ingreso.
Discusión
El tratamiento de pacientes hemodinámicamente inestables con FP es motivo de controversia. Son pacientes gravemente lesionados, difíciles de manejar y con un pronóstico que está determinado por la complejidad y gravedad del trauma pelviano, así como por las lesiones asociadas. Los tiempos de actuación revisten una importancia capital en estos pacientes, y ha sido descrito que por cada 3 min de inestabilidad hemodinámica sin control de la hemorragia en el CRU aumenta la mortalidad un 1%13. No hemos recogido hasta ahora estos tiempos de actuación en nuestro registro, pero el tiempo transcurrido entre la llegada de algunos pacientes y su entrada en quirófano y/o sala de angiografía ha resultado muy prolongado.
La revisión primaria del paciente no siempre orienta a la presencia de una fractura inestable de pelvis, y es necesaria la confirmación radiográfica, que se debe realizar de manera muy precoz en el mismo CRU. La identificación del patrón de fractura en esta radiografía reviste una importancia capital en opinión de muchos, pues en las fracturas estables (tipo A de Tile) el shock resistente es más probablemente de origen intraabdominal, mientras que en las inestables (tipos B y C) es más probablemente el origen pelviano14. Si hay sospecha de FP inestable con rotura de ligamentos del suelo pelviano, publicaciones recientes cifran la posibilidad de hemorragia arterial pelviana en un 50%14-18. En nuestra serie destaca la casi nula realización de una radiografía simple de pelvis en el CRU en pacientes en shock.
En la evaluación inicial, según protocolos ATLS, no se debe olvidar el tacto rectal o vaginal, como ha ocurrido con mucha frecuencia en nuestra serie, pues puede proporcionar información valiosa y catalogar la fractura de pelvis como abierta.
Es difícil establecer comparaciones con otras series porque no todos los estudios analizan las mismas variables ni presentan iguales criterios de inclusión. Sin embargo, las características generales de nuestros pacientes y del mecanismo lesivo coinciden con las de varias series publicadas2,5,19. El tiempo de traslado es algo que no suele estar reflejado habitualmente, y es motivo de controversia entre los defensores de distintos sistemas de atención extrahospitalaria al traumatizado. Sin embargo, un tiempo medio de una hora (entre el contacto con el paciente y la llegada al hospital) en el grupo de pacientes en shock (tabla 7) debería ser motivo de reflexión y análisis en nuestro medio, al tratarse en muchos casos de pacientes atendidos en el área metropolitana de Madrid cercana al área de salud de nuestro centro.
La situación hemodinámica del paciente determinará fundamentalmente las distintas opciones de tratamiento. En el paciente estable la TC es la prueba de elección, pues nos proporciona una información más clara del tipo de fractura y diagnostica las lesiones asociadas; además, el uso de contraste permite detectar lesiones vasculares y fugas urinarias20-23. Stephen et al23 encontraron una eficacia del 96% en la utilización de la TC con contraste como predictiva de la necesidad de realizar una angioembolización. Un aspecto importante es la ocasional ausencia de hematoma retroperitoneal pelviano (HRP) en la TC que, en opinión de algunos, no debe alterar las indicaciones de arteriografía; así, Brown et al24 encontraron en su serie de 37 pacientes a los que realizaron ambas pruebas que la arteriografía fue positiva en 5 de los 6 pacientes sin HRP en la TC. En nuestra serie no se realizaron angiografías en pacientes sin HRP en la TC, y sólo se hizo en 14 de los 45 pacientes en los que se observó HRP en la TC.
Al igual que en otros estudios y revisiones4,5,19, el traumatismo torácico es la lesión asociada más frecuente y, entre éstas, las fracturas costales acompañadas de neumotórax y/o contusión pulmonar masiva. Le siguen en frecuencia las lesiones abdominales (55% en nuestra serie), y es el hígado el órgano sólido más frecuentemente dañado seguido del bazo4. Demetriades et al2 describen al hígado como la víscera intraabdominal más frecuentemente afectada en FP estables, y la vejiga-uretra cuando sólo se analizan las FP inestables. En la serie de Rieger et al25, el bazo seguido del hígado fueron los órganos más frecuentemente lesionados. En nuestro estudio las lesiones esplénicas fueron las que más frecuentemente requirieron de una intervención quirúrgica, probablemente debido a la gravedad lesiva anatómica del órgano y lesiones acompañantes que aconsejaban medidas no conservadoras. Sólo el 12% de las lesiones hepáticas en nuestra serie precisó de intervención quirúrgica; desconocemos si había lesiones hepáticas asociadas graves en 11 pacientes que fallecieron en el CRU sin haber podido ser evaluados completamente, aunque es sabido que la combinación de trauma hepático y pelviano graves conlleva una mortalidad elevada26. Las lesiones genitourinarias estaban presentes en un 21% de casos, destacando la rotura vesicouretral en cerca del 8%, de manera similar a lo encontrado en alguna serie27. El traumatismo craneoencefálico grave asociado es también muy frecuente y condiciona el pronóstico; en nuestra serie fue la causa principal de un tercio de las muertes.
En el paciente inestable, pero respondedor temporal a la reposición de volemia, la utilización muy precoz de distintos DPNI ha dado buenos resultados19,28-30 y muchos expertos la recomiendan, aunque con un nivel de evidencia científica aún pobre1; se usan fundamentalmente en FP con aumento del volumen pelviano, por mecanismo de compresión anteroposterior. Su función sería la de cerrar parcialmente la fractura inestable, disminuyendo la hemorragia venosa que causa la inestabilidad hemodinámica en un número importante de los pacientes. Una simple sábana apretada alrededor de la pelvis es el procedimiento usado en los últimos casos en nuestro centro y en otros1,19,28-30, y a este uso ha contribuido en gran medida las enseñanzas de cursos como el ATLS9 o DSTC (Definitive Surgery for Trauma Care)31, incluso hay quien ha sustituido la fijación externa mínimamente invasiva (FEMI) por el uso del DPNI19. La TC con un buen control y monitorización, aunque no exenta de riesgos en pacientes inestables, es una opción utilizada por muchos, una vez descartada inicialmente la hemorragia intraperitoneal mediante eco-fast. En nuestro grupo de 39 pacientes con shock al ingreso se realizó TC toracoabdominal en cerca del 60%, aunque llama la atención el escaso número de eco-fast previos realizados, opción que sí usamos de manera sistemática en los últimos años en el traumatizado en shock.
En el paciente con FP grave y clara inestabilidad hemodinámica con pobre respuesta a la reposición de volemia no hay consenso sobre el manejo más adecuado32,33, aunque la práctica de técnicas de control del daño se ha impuesto en los últimos años34. La colocación inmediata de un DPNI es obligada, así como la eco-fast para descartar la presencia de hemorragia intraperitoneal asociada. Las distintas opciones terapéuticas en estos pacientes inestables dependerán del tipo de fractura y de las posibilidades existentes en cada centro. Existen, en general, dos escuelas o métodos que preconizan abordajes iniciales diferentes. El método anglo-americano preconiza una angioembolización (AE) precoz seguida de FEMI14,16,17, mientras que el llamado método alemán aboga por una laparotomía con taponamiento pelviano, asociada a una FEMI35,36. Los proponentes de la AE precoz se basan en la mayor frecuencia recientemente reconocida del origen arterial de estas hemorragias, muy superior al 15% clásico admitido desde los estudios en cadáveres37. También argumentan que la estabilización externa (DPNI y/o FEMI) no controla la hemorragia arterial, y que el taponamiento quirúrgico y/o ligadura de las arterias hipogástricas es habitualmente ineficaz debido a la importante circulación colateral en la pelvis; por otra parte, la descompresión que se produce con la laparotomía agrava la hipotensión, y la exposición vascular en este contexto suele ser difícil. Agolini et al16, en su serie de 806 pacientes con FP, realizaron 35 angiografías y 15 AE (2%), todas con resultado satisfactorio. Velmahos et al17 describen en su serie de 80 AE por hemorragia pelviana o visceral una efectividad y seguridad del 95 y el 94%, respectivamente. Algún autor recomienda incluso angiografía antes de la laparotomía en determinados pacientes con FP inestables y hemoperitoneo asociado14, para lo cual la sala de angiografía se debe convertir en una pequeña UCI funcional, con monitorización y reanimación continuadas del paciente, y eco-fast repetidos38. Recientemente autores japoneses han llamado la atención sobre la frecuencia no despreciable de lesiones venosas mayores en pacientes inestables que no responden a la AE, y realizan venografía con colocación de stents endovasculares o taponamiento pelviano retroperitoneal, seguido de FEMI en la misma sala de angiografía39. Emplean además selectivamente la oclusión endovascular de la aorta mediante catéter transfemoral en pacientes en shock grave. En nuestra serie se constata la baja utilización general de la arteriografía en estos pacientes, y prácticamente siempre, excepto en 2 ocasiones, después de la realización previa de TC, a pesar de disponer de radiólogo intervencionista de alerta 24 h. Sólo se embolizaron arterias pelvianas en 4 pacientes; la hemorragia se controló en 3 y el otro falleció por hemorragia persistente.
Los cirujanos de trauma alemanes y suizos, quizá por su formación adicional en cirugía ortopédica y traumatología y estar los traumatólogos implicados en la reanimación inicial del paciente, orientan sus protocolos en los últimos años hacia el taponamiento quirúrgico asociado a una FEMI precoz, anterior (Hoffman) y/o posterior (C-clamp)35,40. Estas maniobras pueden realizarse en la sala de reanimación o en quirófano, pero en cualquier caso debe realizarse siempre una técnica estéril y con control radiográfico41,42. Ertel et al35 refieren una mortalidad del 25% en su serie de 20 laparotomías asociadas a una fijación externa posterior (C-clamp) previa, aunque sus pacientes requirieron una media de 33 unidades de sangre en las primeras 12 h. Eastridge et al4 describen una disminución de la mortalidad desde el 36 al 12,5% con la FEMI precoz, y Riemer et al43 refieren un descenso de la mortalidad tras su uso del 26 al 6%; las diferencias son estadísticamente significativas para el mismo ISS. Esta escuela "alemana" considera que en estas situaciones la AE consume tiempo e impide una evaluación dinámica del paciente34,44. En nuestra serie solamente en 5 pacientes se hizo un taponamiento pelviano por laparotomía, y en 8 pacientes se utilizó una FEMI anterior inicialmente, con control de la hemorragia en 6 de estos últimos. No todos los traumatólogos creen en el efecto beneficioso de los fijadores externos19; algunos opinan que aumentan el riesgo de infección para la reconstrucción definitiva, y sólo los usan si el paciente continúa sangrando después de recibir 4 unidades de sangre45.
Recientemente parece resurgir de nuevo el taponamiento quirúrgico por vía retroperitoneal descrito por Pohlemann et al46, asociado a estabilización mecánica, para el control de la hemorragia en pacientes con FP inestables39,47. Aunque la evidencia es aún anecdótica, sus proponentes observan una menor duración del shock y menor incidencia de fallo multiorgánico y necesidad de transfusión; enfatizan la necesidad de hacerlo precozmente, dentro de la primera hora de la reanimación, para que sea efectivo.
En relación con las FP abiertas, aunque infrecuentes (6% en nuestra serie) son unas de las lesiones osteomusculares más devastadoras, y el tratamiento precoz debe ir dirigido no sólo al control de la hemorragia, sino también de la infección, con desbridamientos repetidos y minuciosos, y colostomías selectivas8,48,49.
La mortalidad general en nuestra serie (30%) puede considerarse alta, y más aún la de los pacientes en shock (61%), que es superior a la de las series de referencia1,14,50. Esta alta mortalidad de los pacientes en shock al ingreso, la mayoría por hemorragia masiva y en el CRU, indica en algunos casos un manejo inadecuado, con retraso en el traslado de estos pacientes al quirófano. Se observó un aumento de la mortalidad según el tipo de fractura, aunque no se encontraron diferencias estadísticamente significativas entre fracturas de tipo B y C, y el tipo de fractura no fue una variable significativa como predictora de una mayor mortalidad en el estudio realizado. Otros trabajos tampoco han encontrado asociación significativa entre la mortalidad y el tipo de fractura, aunque sí con el ISS51, y la edad mayor de 55 años52. Parreira et al50 encuentran que una edad mayor de 40 años, presentar estado de shock, un Glasgow < 9 y un AIS de cabeza, tronco y abdomen > 2 se asociaban todos ellos a una mayor mortalidad.
Del análisis de nuestra serie podemos concluir que el pronóstico de los pacientes con FP graves en nuestro medio es sombrío y con frecuencia está condicionado por las lesiones asociadas; entre ellas destaca el TCE grave, causa principal de un tercio de las muertes. Un porcentaje algo mayor han representado las muertes por hemorragia incoercible, y en muchos casos ha sido muy difícil valorar hasta qué punto la FP ha contribuido a la hemorragia y a la mortalidad general. Muy pocas FP graves se han presentado como lesiones aisladas (6,7%), y el porcentaje de fracturas abiertas es escaso (6%). Destacan la casi nula realización de radiografía simple de pelvis en el CRU y el escaso empleo de un DPNI, el escaso y tardío uso de la angiografía, así como el infrecuente empleo de la FEMI anterior, y nulo de la posterior (C-clamp). Asimismo en muy pocos pacientes se realizó una cirugía de control de daños con taponamiento pelviano.
En opinión de expertos la existencia de protocolos institucionales consensuados sobre el orden y el tipo de pruebas diagnóstico-terapéuticas que se deben realizar en estos pacientes disminuye claramente la mortalidad53. Esto nos hace abogar una vez más, y tomando ejemplo de países de nuestro entorno europeo, por una centralización del paciente politraumatizado grave en instituciones designadas y acreditadas, con personal especializado y expuesto de manera continuada y no esporádica a estos pacientes, y actuando conforme a protocolos claramente establecidos. Como estrategias de futuro en estos pacientes con FP graves algunos han planteado la posible pertinencia de estudios prospectivos comparativos entre las dos escuelas principales de tratamiento, y el empleo de nuevos agentes hemostáticos por vía sistémica54.
Correspondencia: Dr. F. Turégano Fuentes.
Plaza Ciudad de Viena, 6. 28040 Madrid. España.
Correo electrónico: fturegano.hgugm@salud.madrid.org
Manuscrito recibido el 5-2-2007
y aceptado el 9-3-2007












