Introducción
Son bien conocidos los beneficios para la salud que la actividad física conlleva y, por ello, se recomienda que todos los días dediquemos al menos 30 min a actividades de moderada intensidad, como caminar deprisa1. Lo que todavía no sabemos es cómo lograr que los pacientes sedentarios que visitan al médico de familia cumplan con esta recomendación, mediante intervenciones breves y factibles en la consulta diaria de atención primaria2. Posiblemente, ésta sea una de las razones por las que los médicos de familia no abordan de forma sistemática el problema del sedentarismo3.
Muchos investigadores e instituciones dedicadas a la promoción de la actividad física han diseñado programas con este propósito, pero ninguno de los evaluados en la consulta del médico de familia ha conseguido un efecto positivo a largo plazo2,4-8. Si a lo anterior añadimos la alta y creciente prevalencia de sedentarismo en los países desarrollados9,10 y la asociación con sus principales causas de morbimortalidad1, podemos afirmar que la promoción de la actividad física en la consulta de medicina de familia es, sin duda, un área de investigación prioritaria en estos países. Además, si consideramos separadamente la actividad y la forma física, un reciente metaanálisis apunta a que es la forma física, más que la actividad física, la que mayor efecto preventivo tiene sobre la enfermedad cardiovascular11. Sin embargo, no existe hasta ahora ningún estudio que demuestre que el consejo médico sobre el ejercicio consigue aumentar la forma física de los pacientes.
Tras estudiar las intervenciones y programas de actividad física anteriormente aludidos, nuestro equipo de investigación ha diseñado el Programa Experimental de Promoción de la Actividad Física (PEPAF), que contiene los siguientes aspectos innovadores: implantación en un sistema de atención primaria universal y público; realización por parte de un médico de familia que accede a casi toda la comunidad y mantiene los cuidados de salud a sus pacientes de forma continua a lo largo de los años; sencillez y flexibilidad, para adaptar la intervención a la motivación del paciente para el cambio; uso de aplicaciones informáticas útiles para aconsejar y transmitir información sobre riesgos y beneficios, así como superar barreras; prescripción por escrito de un plan de actividad física, dirigido no sólo a aumentar la actividad física, sino también a mejorar la forma física de los pacientes.
Esperamos que dichos elementos innovadores hagan del PEPAF un programa efectivo y que gracias a él un importante número de pacientes sedentarios pasen a ser activos, mejoren su forma física y su calidad de vida relacionada con la salud. Este proyecto de investigación constituye la evaluación cuantitativa del logro de los resultados esperados para este programa, en las condiciones habituales de trabajo de medicina de familia.
Objetivos
Evaluar la efectividad a largo plazo del PEPAF, realizado por el médico de familia en las condiciones habituales de la consulta diaria, para mejorar el nivel de actividad física, la forma física y la calidad de vida relacionada con la salud de los usuarios de los servicios de atención primaria. Para ello, daremos respuesta de forma ordenada a las siguientes preguntas:
1. ¿Cuál es el incremento en la actividad física observado en el grupo de pacientes expuestos al PEPAF?
2. ¿Cuál es el impacto del incremento en la actividad física declarada por los pacientes sobre su forma física y calidad de vida relacionada con la salud?
3. ¿Qué parte de estas mejorías pueden ser atribuidas a la implantación del programa, en comparación con lo ocurrido con los pacientes del grupo control?
4. ¿Se mantendrá el incremento de la actividad física, la forma física y la calidad de vida producido por la intervención durante los 24 meses de seguimiento?
5. ¿Será uniforme el incremento en la actividad física, la forma física y la calidad de vida, o variará según las características de los pacientes y de los médicos? Especialmente respecto a la motivación para el cambio que presenten los pacientes a la entrada en el estudio.
6. ¿Cuál es la razón coste-efectividad y coste-utilidad del PEPAF?
Métodos
Diseño del estudio
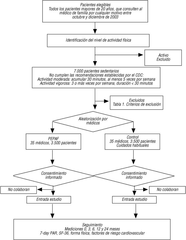
Ensayo clínico controlado y aleatorizado por conglomerados de 100 pacientes atendidos por cada médico, que serán asignados a dos grupos paralelos: PEPAF y control (fig. 1). La asignación por médicos pretende evitar la posible contaminación del grupo control y la difícil realización simultánea de dos intervenciones diferentes en la misma consulta diaria de medicina de familia, sin alterar su dinámica habitual. Los resultados serán evaluados a largo plazo, con mediciones de la actividad física, la forma física y la calidad de vida, repetidas a cada individuo a los 3, 6, 12 y 24 meses después de la medición inicial, realizada tras su incorporación al estudio.
FIGURA 1 Diseño del estudio.
Emplazamiento
Cada uno de los 70 médicos de familia que colaboran en el estudio captará 100 pacientes sedentarios, seleccionados al azar, entre todos los que le consulten por cualquier motivo durante el último trimestre de 2003. Estos médicos pertenecen a 13 centros de atención primaria de los sistemas públicos de salud de 9 comunidades autónomas del Estado español. Su colaboración se ha conseguido gracias a la Red de Investigación en Actividades Preventivas y de Promoción de la Salud realizadas en Atención Primaria (http://www.rediapp.net/). En el anexo 1 se presenta la estructura del estudio.
Criterios de inclusión y exclusión
Serán elegibles para el estudio todos los pacientes sedentarios, mayores de 20 años de edad, que acudan a la consulta del médico de familia por cualquier motivo, entre el 28 de octubre y el 31 de enero 2004. Se considerará paciente sedentario al que no cumpla las recomendaciones de los Centers for Disease Control and Prevention (CDC)1: acumular al menos 30 min de actividad física moderada 5 o más días a la semana, o realizar 3 o más sesiones a la semana de actividad intensa, con una duración mínima de 30 min cada una.
Dentro del proceso de captación de pacientes, los médicos colaboradores llevarán a cabo la verificación de los criterios de exclusión (tabla 1), a través del historial médico del paciente y la aplicación del Physical Activity Readiness Questionnaire (PAR-Q)12.
Método de selección de los sujetos sedentarios
Durante el cuarto trimestre de 2003, se realizará una selección sistemática de 10 de los pacientes que cada médico tenga citados, uno o dos días por semana rotatorios. Una vez abordado el motivo de consulta, el médico evaluará si el paciente cumple la definición de sedentario y, en su caso, le propondrá la entrada en el estudio, mediante la presentación del consentimiento informado. Este proceso se continuará hasta que cada médico incorpore 100 pacientes sedentarios al estudio.
Cálculo del tamaño de la muestra
Una muestra de 7.000 pacientes, tras considerar un 20% de pérdidas y una correlación intraclase de 0,025, nos da un poder estadístico de al menos un 90% para detectar como significativa (* = 0,05) una diferencia promedio de 0,47 kcal * kg-1* d-1 en el gasto energético (DE = 2,055)13,14. Esto es así para cualquier comparación entre grupos: control e intervención o preparados y no preparados para el cambio. Esta diferencia, pequeña individualmente, supondrá un gran impacto en el conjunto de la población.
Formación de los grupos
Los médicos colaboradores serán asignados aleatoriamente y estratificados por centros, a uno de los dos grupos: PEPAF o control. De esta manera, las unidades de asignación serán grupos de 100 pacientes sedentarios por cada médico, y las unidades de observación serán dichos pacientes sedentarios. El esperado incremento en la varianza del resultado debido a la aleatorización por grupos ha sido tenido en cuenta en el cálculo del tamaño de la muestra y los análisis estadísticos. Este proceso de aleatorización lo realizará el epidemiólogo del equipo director del proyecto, de forma ciega, trabajando con los códigos de los médicos y un sistema de generación de números aleatorios del programa estadístico SAS.
Intervención
El PEPAF, basándose en una versión reducida del modelo transteórico de las etapas de cambio15, separa a dos tipos de pacientes: los preparados para modificar su nivel de actividad física y los no preparados. Ambos grupos de pacientes recibirán una recomendación médica asertiva personalizada, basada en las evidencias disponibles sobre los beneficios del ejercicio y los riesgos de la inactividad. Los pacientes no preparados recibirán un folleto centrado en la modificación de creencias sobre la actividad física, y de forma oportuna en consultas posteriores, volverán a ser abordados para conocer su intención de modificar su hábito sedentario. Los pacientes preparados serán emplazados a realizar una consulta adicional de menos de 20 min de duración, donde se abordarán las posibles barreras anticipadas por el paciente (falta de tiempo, recursos o problemas de salud) y se negociará un Plan de Actividad Física (PAF), centrado en el cumplimiento y superación de las recomendaciones del CDC1. El PAF será entregado al paciente a modo de prescripción y evaluado de forma oportunista en próximas consultas.
Los médicos del grupo control pospondrán cualquier intervención sistemática sobre el ejercicio físico hasta después de 2005, excepto con los pacientes cuyo problema de salud esté directamente relacionado con el sedentarismo.
Seguimiento de los sujetos
A los pacientes se les realizará un seguimiento durante 24 meses, dentro de los cuales tendrán lugar 5 mediciones repetidas. El seguimiento tendrá lugar en un laboratorio de mediciones, instalado en cada centro. Será responsabilidad de una enfermera contratada para el proyecto, entrenada en los diversos procedimientos de medición de las variables de estudio. Esta enfermera será ciega con respecto a la asignación de los médicos y pacientes a los grupos de intervención.
Definiciones y métodos de medida de las variables principales
El nivel de actividad física será estimado mediante el PAR16, que proporciona una estimación del gasto energético operativizado en kilocalorías por kilogramo consumidas al día (kcal * kg1* d1).
La medición de la forma física se centrará en la estimación de la resistencia cardiorrespiratoria al esfuerzo, operativizada como consumo máximo de oxígeno (VO2max) y la capacidad de trabajo, mediante una prueba submáxima; el perímetro abdominal y el índice de masa corporal; el grosor de los pliegues grasos cutáneos (tricipital, subescapular, bicipital, pectoral, medio axilar, abdominal, suprailíaco, muslo anterior y pierna) para la determinación del porcentaje de grasa corporal, siguiendo la metodología establecida por el ACSM17. Asimismo, se llevará a cabo la medición de los siguientes factores de riesgo cardiovasculares y del cáncer: alcohol, tabaco, colesterol, glucemia y presión arterial.
La calidad de vida relacionada con la salud se medirá mediante la versión española del SF-36 versión 1 del Medical Outcomes Trust18. El SF-36 genera un perfil de ocho dimensiones de la salud y dos componentes resumen. Asimismo, utilizaremos una única medida de resumen de utilidad19, que podrá ser utilizada en el análisis económico del programa.
Además, debido a su posible efecto predictor o confusor, se tendrán en cuenta las siguientes variables: sexo, edad, nivel de estudios, clase social, diagnósticos realizados en los últimos 12 meses, fármacos crónicos y características de los médicos (sexo, edad, años de experiencia clínica, y formación previa en actividades preventivas y/o prescripción de ejercicio).
Estrategia de análisis
Todos los análisis se realizarán por intención de tratar. Los resultados de ambos grupos serán comparados utilizando modelos estadísticos de análisis de la covarianza de efectos mixtos, para tener en cuenta la correlación entre las mediciones repetidas a cada paciente y los efectos aleatorios atribuibles a pacientes y médicos13. Posteriormente, extenderemos dichos modelos estadísticos incluyendo las covariables hipotetizadas como posibles predictoras o confusoras, considerando además un efecto aleatorio adicional para los centros, dada la naturaleza multicéntrica del estudio. Estos análisis se realizarán con el programa estadístico SAS.
Discusión
Es lógico que el médico de familia se plantee luchar contra la epidemia de sedentarismo, aprovechando su acceso privilegiado a la comunidad20. Pero hasta ahora no ha dispuesto de programas de intervención capaces de hacer activos a sus pacientes sedentarios, que resulten efectivos en las condiciones de trabajo de la consulta diaria. Si se prueba la efectividad del PEPAF, en un estudio con gran capacidad de generalización y validez en las mediciones de resultados a largo plazo, podremos dar un paso de gigante en la promoción de la actividad física desde la atención primaria. Además, este proyecto inicia una línea de trabajo e investigación sobre la actividad física como terapia especialmente apropiada en atención primaria. En este sentido, nuestro equipo ha diseñado el proyecto de investigación PReCCeS (Programa de Rehabilitación Cardíaca en el Centro de Salud) para evaluar la eficacia del ejercicio supervisado con pacientes coronarios. Este estudio se realizará a partir de 2004 dentro de la redIAPP.
Por supuesto, este protocolo presenta posibles limitaciones y amenazas. Para evitar la contaminación del grupo control, hubiera sido deseable haber realizado la asignación de los pacientes a los grupos PEPAF y control por centros, más que por médicos, pero sólo contábamos con 13 centros. Se podrían haber seleccionado entonces más centros, con un menor número de médicos en cada uno de ellos, pero el estudio se ha organizado con un mínimo de cuatro médicos por centro, para hacer rentable la inversión en laboratorios de medición de forma física y la contratación de una enfermera en cada uno de ellos para manejarlos.
La planificación del análisis por subgrupos de pacientes preparados y no preparados, así como la necesidad de detectar pequeñas diferencias individuales, importantes a nivel comunitario, obligan a trabajar con una gran cohorte de pacientes. Por tanto, se deben implantar mecanismos que minimicen las pérdidas. Una enfermera en cada uno de los centros se hará responsable del contacto periódico y el seguimiento de los pacientes. A todos los participantes se les registrarán al inicio cuatro teléfonos: el del domicilio, el móvil, el del trabajo y el de un familiar cercano; al solicitarles su consentimiento para participar en el estudio, se le explicará claramente que no es necesario que se hagan activos para seguir colaborando durante los 2 años de seguimiento.
En un estudio como éste, en el que ni médicos ni pacientes son ciegos a la intervención realizada, es muy importante que la enfermera que realiza las mediciones sí lo sea, al igual que el analista de datos. Para ello, se trabajará con un sistema de códigos que dificulte la identificación del médico y se pedirá al paciente que nunca desvele la identidad de su médico a la enfermera.
Este ensayo clínico se basa en los médicos como unidades de asignación a los grupos de comparación. Esto provoca que los pacientes de cada médico no sean independientes entre sí, lo que ha aumentado el tamaño del estudio, tres veces y media superior al de uno semejante, que se realizará con sujetos asignados independientemente a los grupos PEPAF y control. Esto obliga además a considerar la correlación entre los pacientes de cada médico, utilizando análisis más complejos que los habituales, como los modelos estadísticos de efectos mixtos. La asignación por médicos también facilita los fenómenos de confusión ligados a variables cuya distribución varíe de médico a médico, por lo que dichos modelos deberán ajustarse por posibles confusores. Una de las ventajas de estos análisis, realizados con modelos estadísticos de efectos mixtos, es que permiten aprovechar toda la información disponible, aunque sólo sea parcial en los pacientes perdidos durante el seguimiento.
Además del impacto potencial de sus resultados directos, el proyecto PEPAF aportará unas excelentes mediciones de las personas sedentarias, algunas de las cuales pasarán a ser activas durante los 2 años de seguimiento. Estas mediciones constituirán la base para posteriores estudios de cohortes que analicen el impacto del cambio en la actividad física sobre la salud.






