Identificar los factores predictores de mortalidad en los pacientes con enfermedad pulmonar obstructiva crónica (EPOC).
DiseñoEstudio de cohortes retrospectivas.
EmplazamientoAtención Primaria de Lleida, España.
ParticipantesSe incluyó a los 2.501 pacientes mayores de 40 años diagnosticados de EPOC seguidos en Atención Primaria y con al menos una espirometría compatible con EPOC en los 24 meses previos al inicio del estudio (2010).
Mediciones principalesLa variable dependiente fue la mortalidad global en el periodo 01/11/2010-31/10/2013 (por todas las causas) y las independientes: parámetros espirométricos, gravedad (GOLD) y variables clínicas. Se analizó su asociación con la mortalidad mediante el cálculo de las odds ratio ajustadas mediante un modelo de regresión logística no condicional.
ResultadosLa edad media ± desviación estándar de los 2.501 pacientes al inicio del estudio fue de 68,4 ± 11,6 años. El 75,0% eran varones. El 50,8% presentaba un nivel de gravedad leve, seguido por el moderado (35,3%), grave (9,4%) y muy grave (4,4%). La mortalidad a los 3 años fue del 12,55%. Los factores asociados a la mortalidad en la EPOC fueron: edad, género masculino, exacerbaciones previas, comorbilidad asociada, tabaquismo, gravedad (GOLD) y no haber recibido la vacunación antigripal estacional, con un área bajo la curva ROC de 0,76.
ConclusionesLa aplicación de estas variables, fáciles y factibles de recoger en la práctica clínica, permitiría identificar a aquellos pacientes con mayor riesgo de mortalidad y que podrían beneficiarse de estrategias preventivas/terapéuticas para conseguir aumentar la supervivencia.
To identify risk factors of mortality in patients with chronic obstructive pulmonary disease (COPD).
DesignA retrospective cohort study.
LocationPrimary care setting in Lleida, Spain.
Participants2.501 patients older than 40 years with at least a spirometry in the 24 months prior to the beginning of the study were followed for 3 years.
Main measurementsThe dependent variable was the overall mortality in the period 11/01/2010–10/31/2013; and the independents: spirometric parameters, severity (GOLD) and clinical variables. Their association with mortality was analyzed by calculating the adjusted odds ratio using a non-conditional logistic regression model.
ResultsThe average age of 2.501 patients at the beginning of the study was 68.4 years (SD=11.6). 75.0% were males. 50.8% had a mild severity COPD, followed by moderate (35.3%), severe (9.4%) and very severe (4.4%). Mortality rate for the all period was 12.55%. The variables of the predictive model were: age, male sex, previous exacerbations, number of visits to primary care, comorbidity, smoking, severity of COPD (GOLD) and not receiving influenza vaccination, with an area under the ROC curve of 0.76.
ConclusionsThis model, easy and quick to apply, would identify those patients at increased risk of mortality and who could benefit from preventive strategies to improve their survival.
Actualmente, la enfermedad pulmonar obstructiva crónica (EPOC) representa la cuarta causa de muerte en el mundo y se estima que en el año 2020 ocupará el tercer lugar1. La tasa de mortalidad es superior a la de la población general, puesto que los pacientes con EPOC suelen tener mayor comorbilidad cardiovascular asociada2.
Los pacientes con EPOC mueren por la propia enfermedad, fundamentalmente por agudización de la misma, por cáncer de pulmón o por otras causas relacionadas3-5. Sin embargo, para evitar la variabilidad en el registro de las causas específicas de muerte, la mayoría de los estudios utilizan la mortalidad global como variable dependiente porque la mayoría de las causa de muerte son debidas a la EPOC6.
La EPOC es una enfermedad multifactorial en la que influyen diferentes factores. La mortalidad se ha relacionado con su gravedad, siendo considerado durante mucho tiempo el volumen espiratorio forzado en el primer segundo (FEV1) como el predictor más importante de mortalidad7. Sin embargo, la gravedad de la enfermedad, medida a través del FEV1, no discrimina bien entre un paciente en fase estable o agudizada y más aún en los estadios más avanzados8. Es por ello que se ha propuesto la investigación de nuevos factores asociados a la mortalidad en estos pacientes. Se ha constatado que la presencia de comorbilidades9, las exacerbaciones previas10, el aumento de marcadores inflamatorios11 y la limitación en la capacidad de ejercicio son manifestaciones de progresión de la patología que se asocian a una peor supervivencia.
La combinación de algunos de estos factores12 han demostrado ser incluso mejores predictores de supervivencia que la clasificación clásica de la Global Initiative for Chronic Obstructive Lung Diasease (GOLD) que solo tiene en cuenta el FEV1. Se han publicado diferentes modelos predictores de mortalidad, destacando el índice BODE12, que incluye la masa corporal (índice de amsa corporal), el grado de obstrucción, la disnea y la capacidad de ejercicio. La medición de esta última variable hace que resulte complejo aplicar el modelo en la consulta de Atención Primaria, por lo que se necesitarían otros modelos formados por variables fáciles y rápidas de recoger. También hay que tener en cuenta las características intrínsecas de las poblaciones, la diferente prevalencia de sus factores de riesgo, así como las características de cada sistema sanitario que explicarían por qué modelos predictores diseñados por diferentes autores en relación con la mortalidad no hayan sido coincidentes3. La mayoría de los estudios concluyen que se debe seguir investigando factores propios de cada zona geográfica que se asocien a la mortalidad global de la EPOC y que permitan detectar a aquellos pacientes tributarios de intervenciones para mejorar su pronóstico13,14.
El estudio pretende determinar los factores asociados a la mortalidad por todas las causas en los pacientes con EPOC en una cohorte de enfermos seleccionados de consultas de Atención Primaria de la provincia de Lleida (España).
Pacientes y métodosSe realizó un estudio de cohortes retrospectivas en el que se incluyó a 2.501 pacientes de 7 Áreas Básicas de Salud de la provincia de Lleida, cuya zona de influencia tiene una población de 286.767 habitantes, y con 2 hospitales de referencia (Hospital Universitario Arnau de Vilanova y Hospital Santa María de Lleida).
Se incluyó en el estudio a los pacientes mayores de 40 años, en cuya historia clínica informatizada (e-CAP) constaba el año 2010 el diagnóstico de EPOC realizado mediante los criterios de la normativa GOLD15 (FEV1/FVC posbroncodilatación < 0,7), en fase estable de la enfermedad y que tenían realizada una espirometría en los 2 años previos al inicio del estudio.
La variable dependiente fue la mortalidad por todas las causas entre noviembre del 2010 y octubre del 2013, definida a partir del registro de la e-CAP. La exacerbación se definió como un aumento de la disnea, de la producción de esputo o de su purulencia y que requiere de tratamiento farmacológico16.
Al inicio del estudio, para cada paciente, se registraron las siguientes variables independientes: edad, sexo, parámetros espirométricos (FEV1/CVF, FVC, FEV1), registro de enfermedades concomitantes (insuficiencia cardiaca, cardiopatía isquémica, diabetes mellitus, enfermedad renal crónica, fibrilación auricular, anemia), hábito tabáquico, registros de las vacunaciones antineumocócica 23-V y antigripal (campaña 2009/2010), años de evolución de la enfermedad, número de visitas al ambulatorio en 2009 (año previo al inicio del estudio), número de exacerbaciones durante el año previo al inicio del estudio, y gravedad de la EPOC (según las directrices de la GOLD). Las fuentes de información fueron la e-CAP y los informes de alta hospitalaria.
El estudio fue aprobado por el Comité de Ética del Instituto de Investigación en Atención Primaria Jordi Gol de Barcelona (registro P14/022).
Análisis estadísticoSe realizó un análisis descriptivo de los datos. Las variables continuas se caracterizaron con la media±desviación típica, y las categóricas mediante frecuencias absolutas y relativas.
Se estudió la asociación con el evento de interés (mortalidad por cualquier causa) a partir de los contrastes de la chi al cuadrado en el caso de variables categóricas y la prueba de la t de Student o U de Mann-Whitney para continuas, según la hipótesis de normalidad. Además se calculó la odds ratio (OR) cruda de cada uno de los posibles factores candidatos a entrar en el modelo. Se consideraron las variables con una asociación inferior a un p-valor<0,2 candidatas a entrar en el score. Se ajustó el score de riesgo a 3 años mediante un modelo de regresión logística a partir de los algoritmos de selección automática de variables (hacia delante y hacia atrás). Una vez seleccionadas las variables candidatas se ajustó nuevamente el modelo probando aquellos factores que quedaron en la zona límite del p-valor < 0,1. Se estudiaron las características de calibración a partir del contraste de Hosmer & Lemeshow y el poder de discriminación (estadístico c del AUC).
Se probaron los efectos cuadráticos de las variables numéricas y las posibles interacciones. Se consideró un efecto como significativo si alcanzó un p-valor<0,05. Todos los cálculos se realizaron con el paquete estadístico SPSS15.0 y R, fijando la significación estadística al 0,05.
ResultadosSe incluyó a 2.501 pacientes con el diagnóstico de EPOC en 7 Áreas Básicas de Salud de la provincia de Lleida. La edad media ± desviación estándar de la cohorte al inicio del estudio fue de 68,4 ± 11,6 años y la mayoría de enfermos (75,0%) eran varones. En cuanto a la gravedad de la enfermedad (GOLD), un 50,8% de los pacientes al inicio del estudio presentaban un nivel de gravedad leve, un 35,3% moderado, un 9,4% grave y un 4,4% muy grave. Uno de cada 5 pacientes había presentado al menos una agudización de la enfermedad el año previo al inicio del estudio. Durante el mismo periodo habían sido visitados, de media, 25 veces (visitas médicas y/o de enfermería) en el Centro de Atención Primaria. El 70,5% había recibido la vacuna antineumocócica 23-V y el 71,4% la antigripal en la campaña 2009/2010.
En la tabla 1 se muestran las características de los pacientes al inicio del estudio y también las asociadas a la mortalidad global a los 3 años. Los pacientes que fallecieron eran de mayor edad, habían sido visitados más veces en su Centro de Atención Primaria durante el año previo al inicio del estudio y presentaban mayor comorbilidad cardiovascular asociada (insuficiencia cardiaca, cardiopatía isquémica, diabetes mellitus, fibrilación auricular, insuficiencia renal crónica y anemia). Además, habían tenido más agudizaciones de la enfermedad durante el año previo a entrar en el estudio.
Factores de riesgo de mortalidad global a los 3 años en la cohorte de pacientes con EPOC
| Defunción | Total | |||
|---|---|---|---|---|
| No (n=2.187) | Sí (n=314) | p | ||
| Edad (años) | 67,4(11,5) | 75,4 (10,3) | < 0,001 | 68,4(11,6) |
| Años del diagnóstico | 3,4 (4,2) | 4,3 (4,8) | < 0,001 | 3,5 (4,3) |
| Número de visitas (2009) | 23,5 (17,4) | 32,7 (21,9) | < 0,001 | 24,6 (18,3) |
| Género (mujer) | 572 (26,1%) | 54 (17,2%) | < 0,001 | 626 (25,0%) |
| Vacunación antineumocócica 23-V | 1505 (68,8%) | 257 (81,8%) | < 0,001 | 1762 (70,4%) |
| Vacunación antigripal (campaña 2009/2010) | 1537 (70,3%) | 249 (79,3%) | < 0,001 | 1786 (71,4%) |
| Exacerbaciones previas (2009) | 417 (19,1%) | 89 (28,3%) | < 0,001 | 506 (20,2%) |
| Número de enfermedades concomitantes (comorbilidad)a | 0,4 (0,7) | 0,8 (1,0) | < 0,001 | 0,4 (0,7) |
| Hábito tabáquico (fumadores) | 746 (34,1%) | 98 (31,2%) | 0,56 | 844 (33,7%) |
| Grado severidad (GOLD) | < 0,001 | |||
| Leve | 1156 (52,9%) | 115 (36,6%) | 1271 (50,8%) | |
| Moderado | 757 (34,6%) | 126 (40,1%) | 883 (35,3%) | |
| Grave | 186 (8,5%) | 50 (15,9%) | 236 (9,4%) | |
| Muy grave | 88 (4,0%) | 23 (7,3%) | 111 (4,4%) | |
El 12,55% de los pacientes fallecieron en el transcurso de los 3 años de seguimiento. Los pacientes de mayor gravedad (según criterios GOLD) presentaron mayores tasas de mortalidad (tabla 2). Así, la mortalidad para los pacientes con EPOC leve fue del 9,05%, con EPOC moderado del 14,27%, con EPOC severo del 21,19% y con EPOC muy severo del 20,72%. Por otro lado, a mayor gravedad de la EPOC, mejores coberturas de las vacunaciones antineumocócica 23-V y antigripal (p<0,001) (tabla 2).
Las vacunaciones antigripal y antineumocócica 23-V en función de la gravedad de la enfermedad y la mortalidad global según los estadios de severidad de la EPOC
| Leve(n=1.271) | Moderado (n=883) | Severo(n=236) | Muy severo (n=111) | Total(n=2.501) | p | |
|---|---|---|---|---|---|---|
| Vacunación antineumocócica 23-V | 866 (68,1%) | 628 (71,1%) | 185 (78,4%) | 83 (74,8%) | 1.762 (70,4%) | 0,002 |
| Vacunación antigripal(campaña 2009/2010) | 880 (69,2%) | 636 (72,0%) | 183 (77,5%) | 87 (78,4%) | 1.786 (71,4%) | 0,002 |
| Mortalidad global | 115 | 126 | 50 | 23 | 314 | < 0,001 |
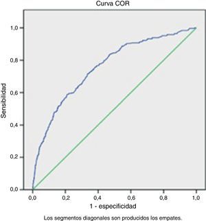
En el análisis multivariante (tabla 3) resultaron estadísticamente asociados a la mortalidad global en la EPOC los siguientes factores: edad (de 51 a 60 años [ORa=1,61], de 61 a 70 años [ORa=2,24], de 71 a 80 años [ORa=5,14], mayores de 80 años [ORa=11,16] respecto a la categoría de referencia que es la edad igual o inferior a 50 años), género (femenino: ORa=0,66), exacerbaciones previas (ORa=1,37), hábito tabáquico (ORa=1,75), gravedad (GOLD) (grado moderado [ORa=1,46]; grado grave [ORa=2,26]; grado muy grave [ORa=2,17] respecto a la categoría de referencia que es el grado leve), comorbilidad asociada (ORa=1,48), número de visitas durante el año previo al Centro de Atención Primaria (de 25 a 50 visitas (ORa=1,52); más de 50 visitas (ORa=2,3) respecto la categoría de referencia (≤ 25 visitas). Estas variables se asociaron significativamente a la mortalidad global a los 3 años, con un poder de discriminación de 0,76 (fig. 1).
Factores asociados a la mortalidad a los 3 años para la EPOC
| Defunción | |||
|---|---|---|---|
| ORc | ORa | p | |
| Edad (Ref. ≤ 50 años) | < 0,001 | ||
| 51-60 años | 1,66 (0,73-3,75) | 1,61 (0,68-3,85) | 0,282 |
| 61-70 años | 2,05 (0,95-4,39) | 2,24 (0,98-5,13) | 0,056 |
| 71-80 años | 4,80 (2,30-10,00) | 5,14 (2,26-11,68) | < 0,001 |
| >80 años | 10,03 (4,81-20,91) | 11,16 (4,82-25,83) | < 0,001 |
| Género (mujer) | 0,59 (0,43-0,80) | 0,66 (0,48-0,93) | 0,016 |
| Exacerbaciones durante el año previo al inicio del estudio (2009) | 1,68 (1,28-2,19) | 1,37 (1,02-1,84) | 0,039 |
| Hábito tabáquico (fumadores) | 0,88 (0,68-1,13) | 1,75 (1,28-2,39) | < 0,001 |
| Gravedad EPOC (GOLD) (Ref. estadio i (leve)) | < 0,001 | ||
| Moderado | 1,67 (1,28-2,19) | 1,46 (1,1-1,95) | 0,009 |
| Grave | 2,7 (1,87-3,9) | 2,26 (1,52-3,37) | < 0,001 |
| Muy grave | 2,63 (1,6-4,32) | 2,17 (1,27-3,72) | 0,005 |
| Vacunación antigripal (campaña 2009/2010) | 1,86 (1,62-2,14) | 0,67 (0,47-0,94) | 0,022 |
| Número de enfermedades concomitantes (comorbilidad asociada)a | 1,86 (1,62-2,14) | 1,48 (1,26-1,73) | < 0,001 |
| Número de visitas médicas/de enfermería durante el año previo al inicio del estudio (2009) (Ref. ≤ 25 visitas) | < 0,001 | ||
| 25-50 visitas | 1,94 (1,49-2,52) | 1,52 (1,14-2,04) | 0,005 |
| >50 visitas | 3,94 (2,74-5,68) | 2,3 (1,52-3,49) | < 0,001 |
| Hosmer & Lemeshow | 12,00 | 0,151 | |
| Curva ROC | 0,76 (0,73-0,79) | < 0,001 | |
ORa: odds ratio ajustada; ORc: odds ratio cruda.
Los pacientes con EPOC que fallecieron durante los 3 años de seguimiento, además de ser de mayor edad y más frecuentemente varones, presentaban un nivel de gravedad de la enfermedad avanzado, habían presentado más agudizaciones y habían sido visitados más veces en su centro de salud el año previo, probablemente porque presentaban, a su vez, mayor comorbilidad asociada. En este trabajo también se corrobora que la vacunación antigripal es una medida de prevención primaria efectiva. En el presente estudio consigue reducir un 33% el riesgo de mortalidad a los 3 años.
Algunos de los factores asociados a la mortalidad global a 3 años también han sido descritos por otros autores. El hábito tabáquico se ha asociado a una franca disminución de la esperanza de vida de estos enfermos17, así como la comorbilidad asociada18. Una mayor gravedad se ha asociado a un mayor riesgo de muerte5,7,13 y destaca la exacerbación previa de la enfermedad como otro factor fácil de identificar y que asocia a un aumento de muerte, dato evidenciado ya por otros autores19.
Diferentes autores han elaborado modelos predictores a partir de variables asociadas a la mortalidad. Moreno et al.4 diseñaron un modelo predictor de mortalidad en el que formaba parte la edad, así como la gravedad y las exacerbaciones previas, siendo este último el factor más frecuente. Celli et al.12 idearon el índice BODE, que incluía la edad y el grado de obstrucción. El modelo ADO20, publicado posteriormente (edad, disnea y obstrucción bronquial) contemplaba 3 variables, 2 de las cuales son factores asociados a la mortalidad hallados en nuestro estudio. En la revisión reciente de Puhan et al.20 han valorado la calibración de los modelos predictores BODE y ADO, concluyéndose que la capacidad de discriminación es bastante baja, siendo necesaria la recalibración de los 2 modelos en otras cohortes, con lo que sugieren que predictores importantes todavía no han sido incluidos en estos 2 modelos21,22. En este sentido, mientras que el índice ADO está formado por 3 predictores y el índice BODE por 4, en nuestro estudio hemos determinado 8, por lo que la calibración del modelo en otras cohortes podría ser un buen predictor del riesgo de mortalidad en los enfermos con EPOC.
Además de estos 2 modelos predictores de mortalidad global para la EPOC, han sido publicados otros que recogen variables comunes a las determinadas en nuestro estudio. Así el BODEx23 y el e-BODE23 recogen el grado de obstrucción y las exacerbaciones previas; en el mBODE24 la obstrucción; en el COPD Prognostic Index25, el género, la edad, el grado de obstrucción y las exacerbaciones previas; en el DOREMI BOX26, la obstrucción y las exacerbaciones previas, y en el HADO27 y en el PILE28, el grado de obstrucción.
Dijk et al.6 realizaron una revisión de los 15 modelos predictores para la EPOC publicados hasta 2010, después de revisar 7.028 artículos. Los predictores repetidos con mayor frecuencia en los modelos son el grado de obstrucción (GOLD) y la exacerbación previa. Las 2 variables también han resultado ser factores asociados a la mortalidad en nuestro estudio. La revisión de Van Dijk et al. concluyó que los predictores más fuertemente asociados a la mortalidad en estos pacientes con EPOC son el grado de obstrucción (FEV1), la edad y la disnea. En nuestro estudio, el factor más fuertemente asociado ha sido la edad, concretamente en los mayores de 80 años el riesgo de muerte aumenta 11 veces, seguido por la gravedad (GOLD), que para estadios avanzados (grave y muy grave) aumenta más del doble.
La mortalidad global a los 3 años en los enfermos con EPOC objetivada en este trabajo es inferior a la determinada en otras series de pacientes para la misma enfermedad y que según el periodo de seguimiento oscilan entre el 30 y el 48%3,5,29. Así, Domingo-Salvany et al.29 hallaron una mortalidad del 33% a los 6 años de seguimiento; Solanes et al.3, del 47% (7 años), y Martínez et al.5, del 47,9% (4 años). La menor mortalidad objetivada en nuestro estudio podría explicarse porque los pacientes incluidos en el estudio provenían de las consultas de Atención Primaria, donde se sigue a una mayor proporción de pacientes con EPOC de gravedad leve o moderada.
El estudio presenta algunas limitaciones. Algunas de las muertes registradas podrían estar relacionadas con patologías no asociadas a la EPOC; sin embargo, la mayoría de los estudios utilizan como variable resultado la mortalidad global6, la cual se considera que capta la mayoría de las muertes debidas a la EPOC. La información se ha obtenido a partir de la historia clínica informatizada de Atención Primaria y de los informes de alta hospitalaria, pudiendo existir infrarregistro de algunas variables, como el hábito tabáquico y las vacunaciones antigripal y antineumocócica 23-V. Se incluyó en el estudio a los pacientes en cuyas historias clínicas informatizadas constaba el diagnóstico de EPOC el año 2010 y tenían hecha una espirometría en los 24 meses anteriores al inicio del estudio, hecho que permite asegurar que todos los pacientes incluidos presentaban la enfermedad, aunque seguramente existe un porcentaje de pacientes con EPOC y sin espirometría que no fueron incluidos. Igualmente, podrían haberse clasificado erróneamente a pacientes vacunados en el sector privado no registrados adecuadamente. Estos errores podrían infraestimar el riesgo del tabaco y la protección de la vacuna antigripal y antineumocócica 23-V.
Este trabajo aporta información sobre la mortalidad global para la EPOC en una cohorte de pacientes seleccionados de consultas de Atención Primaria de una Región Sanitaria de España. Los factores asociados a la mortalidad global en esos enfermos podría tener una interesante aplicación práctica en la consulta de Atención Primaria, puesto que a partir de información fácil y rápida de obtener referida a edad, sexo, exacerbaciones el año anterior, vacunación antigripal, gravedad EPOC, comorbilidad y hábito tabáquico, permitiría detectar aquellos pacientes con mayor riesgo de mortalidad, pudiéndose adoptar medidas concretas para aumentar su supervivencia. En este sentido, también se recomienda completar los estudios de supervivencia con otros que miden la calidad de vida y que, por tanto, confirmen que los posibles años de mejora de la supervivencia son de una calidad apreciada por los pacientes. Finalmente, aunque el presente estudio aporta factores fuertemente asociados a la mortalidad global para la EPOC, se deberían realizar estudios de validación externa en otras cohortes de pacientes diagnosticados de esta patología.
Finalmente, podemos concluir que la utilización de las variables asociadas a la mortalidad en el paciente con EPOC objetivadas en este estudio podría permitir evaluar de forma más precisa el riesgo de mortalidad en los pacientes con EPOC. Todas las variables son fáciles y factibles de recoger en Atención Primaria y posibilitarían mejorar la asistencia individualizada de estos enfermos y ajustar el tratamiento atendiendo al riesgo de mortalidad global, incidiendo seguramente de manera positiva en la supervivencia de estos enfermos.
- •
Han sido descritos diferentes factores asociados a la mortalidad global en los pacientes con EPOC. Sin embargo, hay factores clásicos que han sido reemplazados, recientemente, por otros, aunque se requiere todavía de mayor evidencia científica y en diferentes zonas geográficas (por sus características intrínsecas) que corrobore su asociación con la mortalidad global en los pacientes con EPOC.
- •
La edad, el género varón, la gravedad de la enfermedad, el número de agudizaciones y el de visitas en el centro de salud el año previo son variables asociadas a la mortalidad en pacientes con EPOC.
- •
La utilización de estas variables, fáciles y factibles de recoger en Atención Primaria, podría permitir evaluar de forma más precisa el riesgo de mortalidad en los pacientes con EPOC.
Los autores declaran que para la realización del trabajo no se ha obtenido ningún tipo de financiación.
Conflicto de interesesLos autores declaran no tener ningún conflicto de interés relacionado directa o indirectamente con los contenidos del manuscrito.








