Smart energy transformation processes include the use of innovative energy technologies and infrastructure and contribute to decreasing the environmental load by reducing greenhouse gas emissions, increasing the quality of service to consumers, ensuring a stable and uninterrupted supply of electricity, and providing the possibility of effective management of energy consumption. Multiple correlation regression analysis is used to test the relationship between the final consumption of electricity and the cost of electricity, import of electricity supply or production meters, including their calibration, electricity production from renewable sources except for hydroelectric power in Ukraine, and total electricity production per person. The study period is 2010–2022. There is a strong direct relationship between the total electricity production per person and the final consumption of electricity, which indicates that an increase in electricity consumption leads to an increase in its output of 17.98% under an optimistic scenario and 50.2% under a pessimistic scenario. Management decisions based on the understanding of the strong dependence between the production and consumption of electricity should be aimed at the balanced development of the energy system, increasing energy efficiency and sustainability, and minimising environmental impact. The smart transformation of the electric power industry should include introducing innovative technologies to improve the efficiency, reliability, and sustainability of energy systems.
Several key trends define the current dynamics of the global environment, including population growth, rapid technological advancement, and the expansion of consumer culture. As a result, both societal systems and national economies are increasingly dependent on the availability of natural resources and the scale of electricity production. The proliferation of electrical devices has significantly increased global electricity demand. Simultaneously, the global agenda has shifted towards sustainable development, the promotion of circular economy principles, the integration of alternative energy sources, and the reduction of non-renewable resource consumption (Lyulyov et al., 2024; Chygryn & Khomenko, 2024; Lyeonov et al., 2021.
The transition to a circular economy necessitates the development and implementation of green innovations aimed at overcoming the limitations of traditional technogenic growth models and addressing inefficiencies in energy use (Us et al., 2023; Chen et al., 2023; Eyvazov et al., 2023; Xu et al., 2023; Sulich & Zema, 2023). This transformation requires a paradigm shift among key stakeholders, including government institutions, the business sector, and consumers (Baran & Sypniewska, 2024; Depeng et al., 2024), as well as the modernisation of production processes, greening of consumption patterns, efficient resource use, product life-cycle extension, and the widespread adoption of recycling practices (Cao et al., 2025).
Energy plays a crucial role in the transition towards sustainable development and the circular economy. A key component of this shift involves moving away from intensive resource and fossil fuel consumption towards the generation of clean energy, the adoption of zero-emission technologies, and the implementation of intelligent control and monitoring systems in energy management (Kwilinski, 2023; Veckalne & Tambovceva, 2022; Moskalenko et al., 2022; Strielkowski, 2024; Kholod, 2024).
Ensuring a balance between electricity supply and demand is also essential for maintaining the sustainability and energy security of national economies. The increasing interest in renewable energy sources has stimulated the development and deployment of innovative technologies, facilitating a smart energy transition. Such a transition supports the operation of smart cities and businesses, fosters green transportation, and underpins the creation of sustainable urban infrastructure. Compared to conventional fossil fuels, smart technologies and renewable energy solutions offer a lower environmental footprint and serve as enablers of the broader shift to green energy.
Smart transformations in the energy sector play a vital role in enhancing energy consumption efficiency (Šulyová & Kubina, 2022). Smart grids enable more accurate management of electricity demand, thereby reducing losses and improving overall system performance. The integration of renewable energy sources, such as solar and wind power, represents a key priority of modern energy policy. Smart grids facilitate the effective integration of these sources through dynamic regulation of energy flows. Moreover, smart grids enhance the stability and reliability of power systems by preventing emergencies and enabling rapid responses to fluctuations in demand or supply. The optimisation of electricity production and consumption through smart grid technologies yields significant economic, social, and environmental benefits. Economically, these technologies contribute to reduced electricity production and supply costs, supporting broader economic efficiency. Environmentally, smart grids lower greenhouse gas emissions and decrease ecological pressure. Socially, they enhance the quality and continuity of electricity supply and enable more effective energy consumption management.
The object of this study is the energy sector of Ukraine. As a result of the full-scale war, Ukraine experienced a severe economic downturn. In 2022–2023, the country’s GDP contracted by approximately 25 %. Consumer inflation reached 26.6 % in 2022, followed by a moderate slowdown to 5.1 % in 2023. Poverty levels rose dramatically, with the share of the population living below the poverty line (defined as $6.85 per person per day) increasing from 5.5 % to 24.1 %. In 2023, public debt exceeded GDP in nominal terms. The International Labour Organization estimated that approximately 2,4 million jobs were lost, equivalent to 15.5 % of the pre-war employment level. As of the end of 2023, around 6 million Ukrainian citizens had left the country, including 5.6 million who sought refuge in Europe and 0,4 million in other regions. According to the Kyiv School of Economics (KSE Institute), the total direct, documented damage to Ukraine’s infrastructure amounted to approximately $150.5 billion.
The war and its consequences have emerged as the primary constraining factors in the development and transformation of Ukraine's energy sector. Despite the challenges posed by the full-scale invasion, Ukraine has succeeded in commissioning new renewable energy generation capacities, primarily through private sector investment. However, the wartime experience underscored the urgent need to prioritise distributed and independent energy generation as a strategic direction for national energy policy (Treshchov, 2024). The Ukrainian case offers valuable global insights into the intelligent transformation of energy systems for several reasons. First and foremost is the acceleration of energy independence and decentralisation processes. Historically reliant on imported energy resources, particularly natural gas, Ukraine began to actively diversify its energy portfolio following the 2014 conflict with Russia. This shift catalysed innovation in renewable energy development and energy efficiency improvements, laying the groundwork for a more resilient and decentralised energy infrastructure.
The global discourse on the intellectual transformation of energy systems can benefit from examining Ukraine's approach to decentralising energy supply and advancing energy-efficient technologies. In recent years, Ukraine has undertaken meaningful steps towards transitioning to renewable energy sources, particularly solar and wind, despite the historical dominance of nuclear power and coal-based industries. Ukraine's experience offers valuable insights for countries seeking to integrate renewable sources into existing, often rigid, energy infrastructures. Notably, the armed conflict in the Donbas region resulted in the loss of significant energy infrastructure, including coal mines and thermal power plants. These disruptions compelled Ukraine to accelerate the modernisation of its remaining infrastructure and adopt smart technologies to stabilise the energy supply. This modernisation effort includes the deployment of smart grids, the development of energy storage systems, and the application of digital technologies for real-time energy management. Ukraine's ongoing transformation exemplifies the role of technological adaptation and decentralisation in enhancing national energy resilience under conditions of systemic shock.
In its effort to modernise the energy sector, Ukraine has undertaken a series of structural reforms, notably the introduction of market-based mechanisms for energy resources and services. This reform process also includes the harmonisation of national energy legislation with European Union standards. The successful implementation of such reforms may serve as a model for other countries aiming to liberalise and enhance the efficiency of their energy markets. Ukraine is actively advancing the digitalisation of energy system management by deploying smart meters and implementing real-time systems for monitoring and balancing energy supply and demand. This experience demonstrates the potential of transitioning toward intelligent energy systems, where artificial intelligence and machine learning technologies can play a pivotal role in optimising energy flows and minimising operational costs.
Despite facing multifaceted political, economic, and technological challenges, Ukraine has made tangible progress in transforming its energy landscape. Its experience offers valuable lessons for other nations navigating similar crises and seeking to foster innovation and resilience in the development of modern energy systems.
Although an increasing body of research on the transformation of the energy sector exists, a substantial gap remains in the comprehensive assessment of energy transition processes. This gap is particularly evident in the context of smart energy transformation, which necessitates the analysis of interdependencies among key indicators such as final electricity consumption, electricity pricing, the volume of imported metering technologies, total electricity production, renewable energy generation, and electricity output per capita. Understanding the relationships between these variables enables a holistic evaluation of energy system performance, supports informed management decisions, and guides strategic planning in response to contemporary challenges. Such an approach contributes directly to enhancing national economic resilience, energy independence, and ecological responsibility.
The relevance of this research lies in its potential to inform the optimisation of energy expenditures, the improvement of energy efficiency and resource allocation, the planning of generation capacities, and the development of policies for energy security and sustainable development. Furthermore, it integrates environmental accountability and socio-economic dimensions, offering a robust framework for future energy sector reform.
The relationship between electricity prices and final consumption is crucial: elevated prices tend to suppress demand, while lower prices encourage greater usage (Ahmed et al., 2023). Analysing these interdependencies enables the formulation of optimal pricing strategies that ensure adequate electricity production without imposing undue financial burdens on consumers. The import and deployment of electricity meters, especially smart meters, significantly enhances energy efficiency for households and businesses. Evaluating these indicators supports the adoption of technologies aimed at minimising electricity losses and reducing final consumption levels. This, in turn, improves national-level energy resource management, contributing to reduced energy costs.
Furthermore, assessing the relationship between electricity production and consumption facilitates more accurate planning of generation capacities to meet national demand. It also supports the strategic allocation between traditional and renewable energy sources and informs infrastructure development (Guo et al., 2024). Given the global shift toward renewables, it is essential to examine how consumption patterns evolve alongside the increasing share of green energy. Insights into the relationship between per capita electricity production and final consumption provide a basis for evaluating a country's energy security, a critical factor in mitigating risks of energy shortages amid climate fluctuations or geopolitical instability. Promoting energy independence requires strategies to decrease energy imports and stimulate domestic generation capacity.
At the same time, electricity generation from renewable sources plays a pivotal role in achieving environmental objectives, particularly in reducing greenhouse gas emissions (Ziabina & Navickas, 2024). Exploring the interdependencies among key indicators allows for a better understanding of how to incentivize the growth of renewables in the national energy mix while preserving electricity affordability for end-users. This also supports informed decision-making concerning the implementation of new technologies and the allocation of investments in green energy initiatives.
Moreover, analysing the impact of electricity production per capita sheds light on energy accessibility, especially in low-income or energy-vulnerable regions. This directly influences social equity and energy justice by highlighting disparities in access to clean and affordable electricity. Such insights are essential for developing inclusive energy policies and social programs that guarantee equitable energy access across all population segments.
Therefore, this study addresses a critical research gap by assessing the prospects of a smart energy system transformation. It evaluates the most influential drivers of the energy transition through correlation-regression modelling and scenario-based forecasting, thereby contributing to the theoretical and practical discourse on sustainable energy governance.
The article aims to study the determinants of the development of smart energy and energy consumption and assess their impact on the transformation processes of the energy sector. The main objectives of the study are to create a theoretical basis for studying the main determinants of energy consumption and the transition to smart energy, to propose an approach to assessing the impact of the determinants of the development of smart energy on the transformation processes of the industry, to analyse scenarios for the development of the energy sector, and to offer management recommendations for strengthening transformation processes in the energy sector.
The formulation of this study’s hypothesis is grounded in a robust body of theoretical and empirical literature that underscores the interdependencies between electricity consumption, production, pricing, and the adoption of smart energy technologies. Prior research has consistently demonstrated that electricity consumption patterns are shaped by socio-economic factors, technological infrastructure, and regulatory frameworks (Guo et al., 2024; Ziabina & Navickas, 2024). Rogers’ diffusion of innovations theory (2003) offers insights into how the perceived relative advantages of smart energy systems drive their adoption. Similarly, Davis’ technology acceptance model (1989) highlights the importance of perceived usefulness and ease of use in shaping consumer acceptance. The Multi-Level Perspective (MLP) on socio-technical transitions (Geels, 2002; Markard et al., 2012) further situates smart energy transformation within the broader context of institutional and technological change. These theoretical perspectives jointly justify the empirical investigation of the relationship between electricity consumption and the key drivers of the energy transition in Ukraine. Accordingly, the central hypothesis of this study posits that the level of energy supply significantly affects final electricity consumption, in alignment with both theoretical reasoning and observed trends.
The paper includes the following parts: the literature review that studies the main determinants of smart energy transition, indicators of the smart energy transition assessment; materials and methods which explain the methodologic approach used in the paper; results—explanation of the main findings of the research; discussion—comparison analysis of the obtained findings with similar past investigations; conclusion—explaining the core study’s results, policy recommendations considering the findings, limitations, and further direction for the inquiry.
Literature reviewThe fundamental principles of the smart energy transitionTo strengthen the conceptual framework of the study and situate it within the broader academic discourse, several well-established theoretical approaches were incorporated to provide a deeper understanding of the mechanisms driving the implementation of innovative energy solutions. Specifically, the study draws on Rogers’ diffusion of innovations theory (2003), Davis’ technology acceptance model (1989), and the Multi-Level Perspective on Socio-Technical Transitions (Geels, 2002; Markard et al., 2012). Rogers’ theory offers valuable insights into the adoption dynamics of smart energy technologies, emphasising how factors such as relative advantage, compatibility, complexity, trialability, and observability influence the diffusion process. This framework is particularly relevant for analysing the uptake of smart meters, decentralised energy systems, and other energy-related innovations. The Technology Acceptance Model (TAM) proposed by Davis (1989) sheds light on the behavioural intentions of consumers and prosumers in relation to digital energy infrastructure. According to TAM, perceived usefulness and perceived ease of use are the primary determinants of technology adoption, factors that are critical for the successful deployment of smart grids and real-time consumption monitoring tools. The Multi-Level Perspective (MLP) on socio-technical transitions conceptualises energy transformation as a process shaped by the interaction between technological innovations (niches), existing industry structures (regimes), and broader societal or environmental pressures (landscape). This perspective is particularly applicable to Ukraine’s context, where energy sector transformation is occurring amidst post-conflict reconstruction and strategic alignment with EU energy policy. MLP provides a comprehensive framework for understanding how structural change, innovation, and institutional reforms interact during the transition to a smart and sustainable energy system.
Smart energy transformation represents a contemporary approach to managing energy resources through the deployment of advanced digital technologies aimed at enhancing the efficiency of energy production, distribution, and consumption. This transformation prioritises the implementation of smart grids, the integration of renewable energy sources, and the optimisation of energy use patterns. As noted by Hu and Bui (2024), smart energy transformation yields significant environmental benefits, particularly by contributing to the reduction of greenhouse gas emissions and promoting the sustainable utilisation of energy resources. Moreover, it fosters a shift in traditional consumption paradigms by enabling consumers to actively engage in energy systems, thereby facilitating the emergence of prosumer-based models. According to Wyrwicka et al. (2023), as well as Ahsan et al. (2023), smart energy systems play a critical role in improving energy efficiency through the integration of advanced technologies such as smart meters, sensors, and real-time monitoring systems. Smart meters, in particular, allow for precise, real-time tracking of energy consumption, empowering users to manage their energy usage more effectively and reduce operational costs.
From an economic perspective, the development of appropriate infrastructure enables the introduction of flexible tariff structures that help reduce electricity consumption during peak periods, thereby promoting more rational and efficient use of energy resources. Muqeet et al. (2023) highlight that a fundamental component of smart energy transformation is the integration of renewable energy sources into existing power grids. Smart grid technologies facilitate the effective coordination of solar and wind power generation with conventional energy systems, thus reducing reliance on fossil fuels and decreasing CO₂ emissions. Furthermore, smart energy storage systems mitigate the intermittency of renewable energy production, ensuring a more stable and resilient energy supply. The effectiveness of these systems is corroborated by Muqeet et al. (2021), who note that innovative technologies support demand-response models capable of automatically reducing grid loads during peak hours. This, in turn, encourages behavioural shifts in electricity usage, leading consumers to decrease consumption during high-demand periods and increase it when demand is lower. Mollah et al. (2020) reinforce this view by emphasising that smart energy transformation delivers measurable benefits to both suppliers and consumers. The deployment of smart infrastructure and automation technologies reduces operational costs for energy providers while empowering consumers to manage their energy usage more proactively, ultimately resulting in cost savings and enhanced energy efficiency.
The main determinants of the smart energy transitionAccelerating the energy transition is widely recognised as a pivotal strategy to overcome the global energy crisis and reduce dependence on countries that monopolise oil and gas markets. The development of an effective energy transformation strategy and policy is shaped by a range of interrelated determinants and structural factors (Dzwigol et al., 2023; Lyulyov et al., 2021; Li et al., 2024). Recent literature identifies several critical domains driving energy system transformations, including: the formation of legal and regulatory frameworks (de Jongh & Moeng, 2023; Liu et al., 2024); the modernisation of existing energy production infrastructure (Tkachenko, Yevdokymova & Yevdokymov, 2023; Ziabina & Iskakov, 2023; Dzwigol et al., 2024); the introduction of financial and economic incentive mechanisms (Prykhodko, 2024; Konovalyuk et al., 2023; Foulds, Robison & Schönwälder, 2024); the attraction of green investments (Wang et al., 2024; Meral, 2024; Pan, 2024) and the advancement of renewable energy technologies (Kunze et al., 2024; Lian et al., 2024).
A systematic review by Firdaus and Mori (2023) highlighted the role of stranded assets in shaping decision-making processes related to energy transition. The presence of such resource-intensive and inefficient assets poses significant challenges to the deployment of alternative energy systems. In contrast, Johannsen et al. (2023), employing a bottom-up methodological approach, analysed the performance of energy sectors under scenarios of technological innovation and fossil fuel substitution. Their findings suggest that technological innovations are instrumental in fostering decarbonisation, enhancing energy efficiency, and reducing operational costs. However, the study also underscores the complexity of limiting bioenergy consumption as a critical barrier to full-scale transformation. Furthermore, Norouzi et al. (2023) argue that while smart grid innovations contribute to improved energy management, they are not the primary drivers of energy transition acceleration. Instead, systemic institutional changes, policy coherence, and investment in foundational infrastructure play more decisive roles.
Despite increasing interest in the technical and financial dimensions of the energy transition, comparatively less scholarly attention has been devoted to the role of end consumers in fostering environmental awareness and ecological behaviour change. As noted by Stermieri et al. (2023), the advancement of digitalisation plays a critical role in mitigating climate change, addressing ecological challenges, and supporting the overall energy transition. Employing a taxonomical approach, the authors identified a range of effects linked to the adoption and implementation of digital smart technologies, emphasising their transformative potential at both micro and macro levels. In a related study, Lee et al. (2023) empirically demonstrated that the expansion of green investments and green finance mechanisms significantly contributes to overcoming the carbon crisis. Their findings suggest that green financial flows not only facilitate decarbonisation at the firm and national levels but also stimulate structural change across the entire economy, thereby accelerating progress towards climate-neutral goals. Furthermore, digitalisation trends, increased environmental awareness, and green financing mechanisms play a catalytic role in accelerating the green energy transition and advancing decarbonisation objectives. According to Kojonsaari and Palm (2023), critical research gaps remain within smart grid theory, particularly concerning consumer inclusivity, gender dimensions, the involvement of niche actors, and the integration of democratic governance processes.
Overall, the system of determinants driving the smart transformation of the energy sector encompasses a set of interrelated technological, regulatory, economic, and behavioural factors that collectively enhance the stability, efficiency, and sustainability of energy systems. These key determinants include:
- -
technological innovation, including the deployment of smart grids, advanced metering infrastructure, and digitalised energy management tools;
- -
integration of renewable energy sources, such as solar and wind, to diversify the energy mix and reduce carbon dependency;
- -
regulatory frameworks, aimed at carbon emission reductions and the promotion of energy-efficient technologies and clean energy adoption;
- -
economic instruments, including cost-reduction strategies and investment in renewable energy technologies;
- -
social and behavioural drivers, such as shifting consumer practices and the emergence of prosumers actively participating in energy markets.
These factors jointly contribute to shaping a modern, resource-efficient, and ecologically responsible energy system capable of responding to the challenges of climate change and sustainable development.
Artificial intelligence and blockchain in energy managementHu and Bui (2024) provide a comparative analysis of traditional versus smart energy systems, emphasising the transformative potential of intelligent energy infrastructure. The study outlines critical challenges impeding widespread adoption, including cybersecurity vulnerabilities, high capital investment requirements, and technological incompatibilities. The authors recommend that future research prioritise the optimisation of resource management systems and the elimination of integration barriers to fully realise the global potential of smart energy systems.
In parallel, Guo et al. (2024) propose a conceptual framework for the development of virtual power plants (VPPs), incorporating market dynamics and advanced energy storage technologies. Their findings underscore the significance of pumped storage hydropower and battery energy storage systems in mitigating the intermittency of renewable energy sources. The study also demonstrates that these technologies can enhance grid stability and reduce power generation costs, positioning VPPs as a key mechanism for enabling flexible and resilient energy systems in the context of the energy transition.
The authors advocate for the transformation of the energy sector, development of smart grids, and the widespread adoption of clean energy solutions by emphasising the dual priorities of economic and environmental sustainability. In this context, Henke et al. (2024) present the Power Decisions Game, an open-source educational tool aimed at enhancing public understanding of climate policies' impacts on the power sector. Through the simulation of over 1700 energy policy scenarios, the platform enables users to explore the socio-economic and environmental consequences of different decision pathways. This interactive model fosters informed engagement among non-experts and supports broader participation in energy transition discourse and policy-making. In parallel, Rao et al. (2024) examine the implementation of intelligent demand-side energy management systems that leverage Smart Energy Management Systems integrated with cost-optimisation algorithms. Their approach dynamically adjusts appliance prioritisation and load-shedding schemes based on user preferences to enhance efficiency, reduce electricity expenditures, and maintain system stability under peak load conditions. Furthermore, Zheng et al. (2024) propose a Possibilistic-Probabilistic Risk-Based Smart Energy Hub model that addresses both efficiency and cybersecurity concerns in smart energy systems. This model integrates Carbon Capture, Utilization and Storage (CCUS) technologies and demand response mechanisms, offering a comprehensive framework for mitigating uncertainty and ensuring robust performance in the context of advanced energy networks. Using a mixed-integer linear programming framework, the study by Zheng et al. (2024) optimises multi-energy management under uncertainties associated with renewable energy generation, fuel supply volatility, and dynamic market conditions. The results indicate that the integration of cybersecurity protocols and participation in carbon trading schemes significantly affect operational expenditures and long-term sustainability. These findings underscore the critical importance of resilient planning and risk mitigation strategies in the development of future-oriented smart energy systems. In a related direction, Mollah et al. (2020) investigate the integration of blockchain technology into smart grids, with a focus on its capacity to enhance security, transparency, and operational efficiency within decentralised energy systems. Through a systematic review of contemporary research, practical implementations, and innovative applications, the authors identify key cybersecurity vulnerabilities that blockchain can effectively address. The study highlights blockchain’s transformative role in establishing secure, tamper-proof energy transaction platforms and outlines a comprehensive research agenda aimed at facilitating its broader adoption in the context of the evolving energy Internet.
Indicators of the assessmentThe methodology for assessing the performance of the smart transformation of the energy sector encompasses a multidimensional framework of analytical approaches and key performance indicators. Particular emphasis is placed on scientific methodologies that evaluate national governments’ commitments to accelerating the energy transition and adopting zero-carbon technologies. These frameworks incorporate metrics such as greenhouse gas (GHG) emissions, renewable energy growth rates, national energy consumption patterns, emission reduction targets, and their actual implementation status (Burck et al., 2024). A study by Zaidan et al. (2022) underlines the necessity for strategic, phased planning of energy transitions, particularly within the paradigm of smart communities. The authors propose that the development of smart transformation frameworks significantly enhances the potential for community sustainability and resilience. They argue that the Internet of Things (IoT), as a critical component of Smart Grid systems, facilitates automation, real-time monitoring, and adaptive control of energy consumption. However, the study also highlights substantial challenges related to cybersecurity and data privacy, which may compromise both consumer trust and infrastructure integrity. To address these challenges, Akkad et al. (2022) propose the adoption of the STRIDE per-element threat modelling approach, which systematically identifies and mitigates security vulnerabilities within smart energy systems. Furthermore, Zamfir et al. (2022) stress the importance of forecasting green energy production as a central element in evaluating the effectiveness of national energy transformation strategies. Their research highlights the role of predictive modelling in planning capacity expansion, integrating renewables, and ensuring long-term sustainability of the energy transition process.
Simultaneously, the role of regulatory frameworks and institutional support in facilitating the green energy transition is gaining increasing attention in scholarly discourse. For instance, Lopez et al. (2022) developed and compared two conceptual models of energy systems, namely, the LUT energy transition optimisation model and the EnergyPLAN simulation tool, to evaluate both the technical feasibility and economic viability of integrated, sector-coupled, and sustainable energy systems. These models provide insights into long-term system planning and the achievement of decarbonisation targets through comprehensive simulation of energy flows and infrastructure deployment. Moreover, Wierling et al. (2023) conducted a systematic assessment of the determinants that either enable or hinder the proliferation of energy transition initiatives. By employing a broad set of indicators and conducting cross-national analyses over extended time horizons, the study identified regions with high potential for the emergence and institutionalisation of energy communities. These communities serve as grassroots agents of change, actively participating in local energy generation and consumption. In a complementary direction, Żuk (2023) explored the dynamics of “soft power” as an emerging tool in national energy policy strategies. The study examined how narrative formation, public engagement, and the promotion of shared values influence societal acceptance of energy transition principles. By analysing discourse trends and policy framing, the research outlines pathways for fostering legitimacy and public support for low-carbon energy transformations.
Building upon statistical data reflecting the quantitative and qualitative characteristics of media coverage on nuclear energy development, the author analyses prevailing narratives, identifies dominant discourses, and examines the key emotional and argumentative triggers shaping public perception. This media content analysis reveals the underlying social dynamics and communicative environments that influence the public acceptance and framing of energy transformation models. In parallel, Janicke et al. (2023) address the inefficiencies in electricity transmission and distribution systems, identifying them as significant contributors to the growth in compensatory electricity production and associated atmospheric pollution. Their study provides a techno-economic assessment of deploying intelligent electricity metering technologies, estimating their initial costs and demonstrating their effectiveness in reducing CO₂ emissions and catalysing investment in alternative energy sources. Moreover, Liao et al. (2023) employ a moments quantile regression approach to explore the relationship between energy transition and ecological impact. Their findings confirm that the expansion of green financing mechanisms and the diffusion of green innovations significantly mitigate environmental degradation by reducing the ecological footprint. These results emphasise the critical role of financial and technological levers in addressing the adverse environmental effects of anthropogenic energy systems.
Although a substantial body of literature explores the theoretical foundations of smart energy sector transformation (Ahmed et al., 2023; Mlaabdal et al., 2024; Skowron et al., 2023), many of these studies remain fragmented in scope. Specifically, they often overlook the comprehensive influence of both direct and indirect determinants that stimulate structural and functional changes within the energy sector. A more integrated analytical framework is needed to capture the complex interplay between technological, economic, policy, and behavioural factors driving the smart energy transition.
Table 1 presents a synthesis of key scientific publications dedicated to smart energy modelling, outlining their methodological approaches, focal determinants, and primary contributions to the academic discourse.
The recent studies on smart energy modelling.
| Paper | Country | Variables | Data | Methodology |
|---|---|---|---|---|
| Akkad et al., 2023 (Akkad et al., 2023) | Saudi | Security requirements, threats, stride indicators | 2019–2021 | STRIDE per-ele-ment approach |
| Zamfir et al., 2022(Zamfir et al., 2022) | EU27 | Hydro, wind, solar, other renewables | 1991–2021 | ARIMA modeling |
| Lopez et al., 2022 (Lopez et al., 2022) | Sun Belt countries | Set of technical and economic indicators of energy transformation, variables to balance with demand | 2020 | EnergyPLAN simulation modeling |
| Wierling et al., 2023 (Wierling et al., 2023) | EU29 | Indicators of production and distribution of energy, provision of energy services, information and awareness | 2018–2021 | Walker and Devine-Wright concept |
| Liao et al., 2023(Liao et al., 2023) | OECD countries | Indicators of industrialization, economic growth, foreign investment | 1990–2019 | Moments quantile regression method |
| Sarfarazi et al., 2023 (Sarfarazi, Sasanpour & Cao, 2023) | EU | Technical and economic parameters for renewable power generation. Indicators of power plants' functioning | 2020 | REMix, AMIRIS models |
The assessment approaches summarised in Table 1 encompass a relatively comprehensive range of indicators that reflect the multifaceted transformation processes within the energy sector. These indicators capture various dimensions of the transition, including energy security, economic performance, and the advancement of renewable energy sources. Collectively, they illustrate the potential of smart transformation strategies and the broader energy transition. However, a significant research gap remains: many existing studies fail to incorporate key variables such as electricity production and consumption, pricing dynamics, and the deployment of intelligent monitoring technologies within the energy sector. In light of this gap, the present study aims to empirically validate the relationship between final electricity consumption and a set of critical determinants shaping the transformational processes in the energy sector.
Materials and methodsThe assessment of the impact of smart energy development determinants on the transformation processes within the energy sector was conducted in several structured stages
Formation of a sample of indicatorsEnergy transformation is a fundamental concept describing the global transition of the energy sector from fossil-based production and consumption systems (oil, natural gas, coal) towards renewable energy sources. This transition encompasses the implementation of smart metering technologies, real-time monitoring of energy generation and consumption, electrification processes, and the advancement of energy storage systems.
The research period spans from 2010 to 2022, selected based on several critical factors influencing the dynamics of Ukraine’s energy sector transformation. This timeframe reflects the gradual introduction of innovative technologies in the energy industry, including the deployment of smart meters, digital grids, and infrastructure solutions aimed at enhancing energy consumption efficiency. Following 2014, the country experienced a notable increase in electricity generation from renewable sources, particularly wind and solar, driven by geopolitical challenges. The annexation of Crimea and the onset of armed conflict in the Donbas region marked a turning point, prompting a strategic shift toward energy independence and a reduced reliance on Russian energy imports. Concurrently, significant reforms in the energy market were initiated, including tariff liberalisation and alignment with EU regulations, such as integration into the ENTSO-E network. These developments reshaped both production and consumption patterns. The inclusion of 2022 in the analysis is crucial, as it captures the immediate impacts of the full-scale war, including extensive destruction of energy infrastructure, altered energy balances, shifts in resource allocation, and changes in consumer behaviour in response to crisis conditions.
The inclusion of the year 2022, marked by the full-scale invasion of Ukraine and subsequent large-scale disruptions, necessitates the acknowledgement of several methodological limitations. Firstly, data reliability for 2022 may be compromised due to widespread infrastructure damage, interrupted statistical reporting systems, and emergency-driven shifts in energy consumption patterns. Secondly, the temporary displacement of populations and the suspension of industrial activities may have led to atypical electricity demand and supply structures, distorting baseline indicators such as total consumption and production volumes. Thirdly, measurement accuracy may have deteriorated, owing to reduced access to calibration services, delays in smart meter imports, and potential malfunctions in real-time monitoring systems under war conditions. These contextual factors introduce potential biases that could affect the validity of empirical interpretations, particularly within the scenario forecasting framework. To address these concerns and enhance the robustness of findings, the study employed advanced statistical techniques, including the Brown exponential smoothing model, and conducted sensitivity analyses to assess the stability of projections across a range of assumptions and input scenarios. These measures help to mitigate uncertainties and strengthen the credibility of the analytical outcomes despite the presence of exogenous shocks in the examined period.
The study of the relationship between final electricity consumption and the determinants of transformation processes in Ukraine’s energy sector is of high relevance. It provides critical insights into how energy reforms, digitalisation, and the integration of renewable energy sources influence consumption dynamics. Understanding these interdependencies is essential for a wide range of stakeholders, including consumers, businesses, and policymakers, as it enables more accurate forecasting of tariff changes, supports the optimisation of energy usage, and contributes to strengthening national energy security. Furthermore, the findings hold significance for the international community, as Ukraine serves as a case study of a transition economy undergoing rapid and complex energy transformation. Its experience can offer valuable lessons for other countries navigating similar structural shifts in the energy sector.
The assessment relies on the following key indicators: Final Consumption of Electricity, Cost to Get Electricity, Import of Electricity Supply or Production Meters (including calibrating meters as components of energy infrastructure that enable the monitoring and control of energy consumption), Renewable Electricity Generation Excluding Hydroelectricity in Ukraine, and Total Electricity Generation per Capita (Table 2).
Description of the source data.
It is important to note that hydropower, although classified as a renewable energy source, follows a development trajectory distinct from that of innovative renewable technologies such as solar, wind, and bioenergy. While the latter has experienced rapid scaling due to technological advancements, the expansion of hydropower in Ukraine remains constrained by environmental, social, and geographic limitations. Moreover, the conceptual framework of this study emphasises the digital transformation of the energy sector, where smart grids, energy storage systems, and decentralised generation represent the core elements. In contrast, hydropower is less embedded in these digitalisation processes. Therefore, excluding hydropower from the analysis enables a more targeted and accurate evaluation of the impact of emerging technologies on the transformation of Ukraine’s energy sector.
The assessment relies on the following key indicators: Final Consumption of Electricity, Cost to Get Electricity, Import of Electricity Supply or Production Meters (including calibrating meters as components of energy infrastructure that enable the monitoring and control of energy consumption), Renewable Electricity Generation Excluding Hydroelectricity in Ukraine, and Total Electricity Generation per Capita (Table 2). It is important to note that hydropower, although classified as a renewable energy source, follows a development trajectory distinct from that of innovative renewable technologies such as solar, wind, and bioenergy. While the latter has experienced rapid scaling due to technological advancements, the expansion of hydropower in Ukraine remains constrained by environmental, social, and geographic limitations. Moreover, the conceptual framework of this study emphasises the digital transformation of the energy sector, where smart grids, energy storage systems, and decentralised generation represent the core elements. In contrast, hydropower is less embedded in these digitalisation processes. Therefore, excluding hydropower from the analysis enables a more targeted and accurate evaluation of the impact of emerging technologies on the transformation of Ukraine’s energy sector. Previous studies (Henke et al., 2024; Rao et al., 2024) have also justified using the "Cost to get electricity" indicator as a proxy.
Relationship between indicatorsThe relationship between final electricity consumption, the cost of electricity, the import of metering equipment, electricity generation (particularly from renewable sources), and electricity production per capita is mediated by a range of interconnected factors that shape a country's energy economy. Final electricity consumption serves as a key indicator reflecting the volume of electricity utilised by households, businesses, and other end users. This metric is strongly correlated with the level of economic activity and tends to be higher in industrialised nations, where energy-intensive production and advanced technological infrastructure prevail. An increase in electricity consumption typically drives the expansion and modernisation of energy infrastructure, prompting the integration of new generation capacities and improvements in energy use efficiency (Chygryn et al., 2023). In parallel, electricity pricing plays a critical role in determining both the accessibility and volume of electricity consumed. Elevated prices can act as a constraint on demand while simultaneously incentivising the adoption of energy-efficient technologies and conservation practices. Moreover, electricity cost structures are significantly influenced by the energy mix, particularly the proportion of renewable sources. Although renewable energy systems often require substantial upfront capital investments, they tend to reduce long-term operational costs due to the absence of fuel expenditures and the relative stability of energy generation (Wang et al., 2024). Thus, the evolving composition of electricity production, coupled with the deployment of smart metering infrastructure, not only supports more efficient consumption but also enhances transparency, demand-side management, and overall system resilience.
The import of electricity meters serves as an important proxy for the modernisation of a country's energy infrastructure. Advanced metering technologies, particularly smart meters, enable more accurate monitoring, regulation, and management of electricity consumption across all user levels. Their deployment contributes significantly to improving energy efficiency by facilitating real-time data collection, demand-side management, and dynamic pricing mechanisms. From the consumer perspective, smart meters empower households and businesses to optimise their energy usage patterns and reduce overall costs. At the national level, they support more effective resource allocation, policy implementation, and system stability (Kojonsaari & Palm, 2023).
The total volume of electricity production reflects the country's energy capabilities, in particular, a high level of production usually allows covering domestic consumption, reducing dependence on energy imports (Burck et al., 2024). At the same time, countries with large production can export electricity, which brings additional income (Zaidan et al., 2022). The rate of electricity generation from renewable sources is becoming increasingly important due to climate commitments and growing environmental requirements. The transition to renewable energy sources such as solar, wind and hydropower reduces CO₂ emissions and promotes energy independence (Zamfir et al., 2022). Investments in "green" energy can reduce dependence on fossil fuels and improve the long-term stability of energy prices (Żuk, 2023). Electricity production per person indicates the country's population's energy supply.
A high level of electricity production per capita typically indicates advanced industrial development and improved access to energy resources (Liao et al., 2023). In the context of renewable energy, this metric additionally reflects the effectiveness of green energy investments and the degree of a country's environmental commitment. The interrelationship among the key indicators, final electricity consumption, electricity price, meter imports, renewable energy generation, and per capita production, plays a critical role in shaping national energy strategies, determining the trajectory of energy transitions, and ensuring both economic resilience and ecological sustainability. Final electricity consumption directly drives electricity production: growing demand necessitates increased generation capacity, often met through renewable energy expansion. Electricity pricing is inherently linked to the production mix; although renewables can lead to lower prices in the long term, initial capital expenditures may temporarily raise costs. The import of advanced metering equipment is integral to improving energy efficiency. Smart meters, in particular, enable consumers to monitor and optimise energy use, thereby moderating demand and reducing overall consumption. Electricity production per capita serves as a proxy for national energy supply capacity and often correlates with consumption levels, especially in industrialised economies. Together, these indicators provide a comprehensive framework for evaluating the drivers and outcomes of energy transformation processes.
Verification of correlation-regression relationshipsTo evaluate the relationship between final electricity consumption and key determinants of the energy sector transformation, a multiple correlation regression analysis was employed. The model includes the following independent variables: cost of electricity; import of electricity supply or production meters, including those requiring calibration; electricity generation from renewable sources, excluding hydropower; and total electricity production per capita in Ukraine.
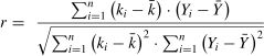
Multiple correlation-regression analysis was carried out according to Bewick et al. (2003):
The Pearson correlation coefficient:
Pearson's correlation criteria were used to measure the degree of linear relationship (Table 3) between indicators (Table 2).
To assess the quality of the obtained regression model, the average approximation error was calculated as a key indicator of the model’s accuracy and predictive reliability.
Scenario forecasting of the development of the energy sectorGiven the uncertainty of current conditions and the absence of statistical data for 2023, resulting from the ongoing war and its impact on Ukraine’s energy sector, a scenario-based forecast of final electricity consumption and its key determinants was conducted using the Brown exponential smoothing model. This model accounts for the retrospective dynamics of time series data while reducing the influence of random fluctuations, thus providing a more robust foundation for predictive analysis.
The Brown exponential smoothing model enables forecasting based on historical trends while minimising the influence of short-term fluctuations, an essential feature under conditions of heightened uncertainty. By effectively smoothing out random disturbances in the time series, the model reveals a stable trajectory of final electricity consumption. This is particularly important in crisis contexts, such as wartime disruptions of energy infrastructure, where abrupt shocks may distort empirical data and hinder the reliability of long-term projections. Furthermore, the Brown model is recognised as one of the most straightforward and robust exponential smoothing techniques, making it well-suited for economic and energy-related forecasting. Its reliance solely on historical data and a smoothing coefficient renders it especially appropriate when current data availability is limited, as is often the case during military conflict.
ef^0, … ef^t – predicted indicator;
ef0, …eft – the actual value of the prediction indicator; t – forecasting period; i – forecasting time interval;
α– prediction confidence coefficient.
ResultsOn March 16, 2022, Ukraine and Moldova successfully synchronised their national electricity grids with the European Network of Transmission System Operators for Electricity (ENTSO-E), initiating operations in test mode. This milestone signified Ukraine’s technical and institutional readiness for deeper integration into the European energy system. It carries far-reaching implications for enhancing grid stability and reliability, as well as reducing dependence on energy imports from Russia and Belarus. A comparative assessment of energy system dynamics and capacity between Ukraine and the EU-27 countries reveals that Ukraine possessed considerable generation potential even at the onset of the full-scale invasion on February 24, 2022. For instance, in September 2021, power plants operating within the United Energy System of Ukraine generated 11.735.2 million kWh of electricity, reflecting an increase of 457.7 million kWh (or 4,1 %) compared to the same month in 2020 (NationMaster, 2024; Our World in Data, 2024).
Total electricity production per person in Ukraine and the EU27, 1985–2022.
In September 2021, electricity production in Ukraine demonstrated a heterogeneous sectoral dynamic. Thermal power plants (TPPs) generated 3154.0 million kWh, representing a decline of 654.2 million kWh, or 17.2 %, compared to the same period in 2020. In contrast, electricity production by nuclear power plants (NPPs) increased by 1035.0 million kWh (18.4 %), reaching 6670.8 million kWh. The utilisation rate of installed generation capacity rose to 67.0 %, which is 10.4 percentage points higher than in September 2020. Electricity output from hydroelectric and pumped storage power plants (HPPs and PSPPs) amounted to 597.8 million kWh, an increase of 20.9 million kWh (3.6 %). Generation from renewable energy sources (RES), including wind, solar, and biomass, increased by 71.4 million kWh (6.5 %) to 1174.6 million kWh. However, electricity production from other sources, such as block stations and auxiliary generators, declined by 15.4 million kWh (10.0 %) to 138.0 million kWh (NationMaster, 2024; Our World in Data, 2024).
It is important to highlight the stable upward trend in electricity generation capacity across the EU27 countries. Notably, a pronounced fluctuation occurred during the global financial crisis of 2008, which served as a catalyst for many European nations to intensify the development of alternative energy sources. This shift was accompanied by structural reforms in financial and environmental policy frameworks aimed at enhancing energy resilience and sustainability. Ukraine has similarly embraced alternative energy sources to diversify and expand its electricity generation capacity, particularly in the context of strengthening national energy security and aligning with European energy transition trends (Fig. 2).
Production of electricity from renewable sources, excluding hydroelectric power in Ukraine, 2010–2022.
An analysis of Ukraine’s key strategic documents, including the Energy Strategy of Ukraine until 2035, the Economic Strategy until 2030, and the Concept of the Green Energy Transition until 2050, confirms the central role of renewable energy sources (RES) in achieving national energy independence (Razumkov Centre, 2024). The acceleration of RES deployment is also a cornerstone of Ukraine’s alignment with the European Green Deal and its decarbonisation objectives. While the war with Russia has necessitated a reconfiguration of energy policy priorities, it has not diminished the strategic importance of RES. On the contrary, within the framework of the National Recovery Plan until 2032, there is a reinforced emphasis on the expansion of solar and wind energy infrastructure, as well as the development of hydrogen energy technologies. These measures are aimed at enhancing the resilience of the energy system and strengthening Ukraine’s potential as an energy exporter.
Ukraine possesses substantial development potential in wind energy, bioenergy, and offshore wind generation in the Black Sea region, which collectively positions the country to achieve a high share of renewable energy sources (RES) in its overall energy mix. Furthermore, the expansion of the small-scale solar generation sector presents significant opportunities for improving energy efficiency and advancing the decentralisation of energy supply. These trends support broader goals of enhancing energy resilience and sustainability. Overall, the national target of achieving a 70 % share of RES in electricity production by 2050 appears attainable, contingent upon the effective implementation of domestic policy measures and sustained international cooperation and investment.
Since 2014, Ukraine has demonstrated a consistent increase in electricity production from renewable energy sources (excluding hydropower), with an average annual growth rate of 7.3 percentage points. As of 2019, Ukraine ranked 76th globally in terms of the share of electricity generated from non-hydropower renewables, accounting for 1.32 % of total electricity output. Notably, wind and solar energy sectors have expanded rapidly, increasing their respective shares in the renewable energy portfolio by approximately 1.5 times annually, while biofuels and waste-based sources have grown by a factor of 1.2–1.3. In comparative terms, Senegal (1.48 %) slightly outperformed Ukraine, while Benin (1.25 %) ranked just below. Denmark led the global ranking in 2019, with 75.58 % of its electricity derived from renewable sources, an increase of 4.3 percentage points compared to 2018. Kenya, Nicaragua, and Lithuania followed in second, third, and fourth positions, respectively. Jordan exhibited the highest average annual growth rate in renewable electricity production (+72.4 percentage points), whereas Iran recorded a negative trend (−4.7 percentage points). These data indicate meaningful progress in Ukraine’s renewable energy development; however, the country retains substantial untapped potential to advance its global position (NationMaster, 2024; Our World in Data, 2024). The results of the multiple correlation analysis are summarised in Table 4.
The multiple correlation analysis results indicate a strong direct relationship between the indicators - total electricity generation per person (TEG) and final consumption of electricity (FCE). The correlation coefficient is 0.935404. The key hypothesis of the research is confirmed. When the volume of electricity consumption increases, the total production increases. The correlation between FCE and Renewable Electricity Generation, Excluding Hydroelectricity in Ukraine (REG) indicators, is −0.96385. This indicates a robust negative correlation between the FCE indicator and Renewable Electricity Generation Excluding Hydroelectricity (REG). With the increase in total electricity consumption, renewable energy production does not increase accordingly. This is explained by the limitation of renewable energy sources and their dependence on meteorological conditions and technological features. The study of the impact of the electricity production cost indicator allowed the following conclusions to be drawn.
Between the CGE and FCE indicators, the correlation coefficient is −0.57428. This indicates an average negative correlation between the cost of electricity production and its final consumption. As a rule, when the value of CGE increases, the value of FCE decreases. This indicates the desire of consumers to save electricity when its price rises or to use alternative energy sources. The correlation coefficient between CGE and Import of Electricity Supply or Production Meters, Including Calibrating Meters Therefore (IES) indicators is −0.590. This indicates an average negative correlation between CGE and IES. When the value of CGE increases, the value of IES decreases. An average positive correlation characterises CGE and REG indicators, the correlation coefficient is 0.556.411. As a rule, when the value of CGE increases, the value of REG also increases. There is a negative correlation between CGE and TEG indicators; the correlation coefficient is −0.48287. When the value of CGE increases, the value of TEG decreases. There is practically no correlation between the FCE and IES indicators, the correlation coefficient is 0.007838. A weak negative correlation is observed between IES and TEG. The values of one variable are insignificantly related to changes in the other (the correlation coefficient is −0.08566). A strong negative correlation is observed between REG and TEG (the correlation coefficient is −0.87502). Table 5 represents the results of multiple regression analysis.
The multiple regression analysis yielded a high R-squared value of 0.986, indicating a strong linear correlation between the predicted and actual values of the dependent variable. Furthermore, the coefficient of determination (R² = 0.973) suggests that the model explains approximately 97.3 % of the variability in the dependent variable, highlighting its high explanatory power. The adjusted R² value of 0.959 further confirms the model’s robustness, even when accounting for the number of independent variables included. The standard error of the estimate, calculated at 145.79, reflects the average deviation of the observed values from the regression line and serves as a measure of the prediction's precision. Collectively, these results (Table 5) indicate that the model offers a reliable and accurate representation of the underlying data structure. The detailed results of the multiple regression analysis are presented in Table 6.
The results of the ANOVA analysis confirm the overall statistical significance of the regression model. The F-statistic value of 71,33, accompanied by a highly significant p-value (p = 0.00000271), indicates that the regression equation provides a better fit than a model with no predictors. Additionally, the regression sum of squares (2823.395.924) greatly exceeds the residual sum of squares (79168130.64), further supporting the explanatory strength of the model. These results substantiate the conclusion that the independent variables, namely, the Cost to Get Electricity, Import of Electricity Supply or Production Meters (including calibrating meters), Renewable Electricity Generation Excluding Hydroelectricity, and Total Electricity Generation per Person, have a statistically significant influence on the Final Consumption of Electricity. The model thus effectively captures the core determinants of electricity consumption in the context of Ukraine’s energy transition. In Table 7, the results of the regression analysis are presented.
Results of regression analysis.
The results of the regression analysis reveal that Renewable Electricity Generation excluding Hydroelectricity (REG) is a statistically significant determinant of the final consumption of electricity (p < 0.05). Notably, the coefficient for REG is negative, indicating an inverse relationship: a one-unit increase in REG leads to a decrease in final electricity consumption by approximately 19892.40 units. This suggests that increased integration of renewable energy sources may contribute to more efficient consumption patterns or reduced reliance on centralised electricity supply. Similarly, Total Electricity Generation per Person (TEG) is also statistically significant (p < 0.05), with a positive coefficient. A one-unit increase in TEG is associated with an increase in final electricity consumption by approximately 11,01 units, reflecting that greater generation capacity per capita contributes to higher overall consumption, likely driven by increased industrial or household access. In contrast, the variables Cost to Get Electricity (CGE) and Import of Electricity Supply or Production Meters (IES) are statistically insignificant (p > 0.05), indicating that, within this model, these factors do not have a measurable direct effect on final electricity consumption during the observed period. The 95 % confidence intervals for the coefficients confirm the robustness of the estimates, capturing the likely range of true values. Moreover, residual diagnostic plots validate the assumption of homoscedasticity, as the error variance remains relatively constant across all fitted values, confirming the model's adequacy and reliability (Fig. 3).
To evaluate the quality and reliability of the regression model, the normality of the residual distribution was examined. The results of the diagnostic tests (Fig. 3) confirm that the assumptions of normality were satisfied for the specified regression model. The residuals exhibit a random distribution around zero, indicating the absence of systematic bias and supporting the model’s adequacy for statistical inference and forecasting purposes.
The intermediate results of calculating the average approximation error are presented in Table 8. The average approximation error amounted to 1.62 %, which confirms the adequacy of the constructed model, as this value falls well within the acceptable threshold of 10–12 %.
The results of calculating the average error of approximation.
Accurate forecasting of electricity production and consumption is critical for the efficient operation of energy systems and for ensuring the security and stability of the energy supply. The significance of this process can be summarised across several key dimensions:
- 1.
Ensuring the reliability of energy supply: forecasting enables the early detection of potential energy deficits, allowing timely interventions to increase supply or reduce demand. Identification of peak consumption periods contributes to optimising grid operation and preventing overloads that may result in system failures or emergency outages.
- 2.
Enhancing economic efficiency and system optimisation: by aligning production capacity with projected demand, forecasting helps prevent the overproduction of electricity and reduces operational and fuel-related expenditures. It also minimises costs associated with maintaining redundant reserve capacities.
- 3.
Supporting investment planning and infrastructure development: long-term forecasts guide strategic decisions regarding the construction of new generation facilities and the modernisation of existing infrastructure. Furthermore, forecasting informs investment in renewable energy technologies, contributing to energy diversification and a reduction in carbon emissions.
- 4.
Energy efficiency, sustainable consumption, and the promotion of smart technologies. Forecasting can reveal the necessity of deploying energy-efficient technologies and practices that contribute to the reduction of aggregate electricity consumption. Furthermore, long-term forecasts support the strategic planning of sustainability measures by integrating both economic and environmental priorities, thus promoting resource efficiency and ecological balance.
- 5.
Formulation of energy policy and tariff regulation. Forecasting serves as a foundational instrument for the development of robust energy policies and regulatory frameworks that underpin the stability and long-term growth of the energy sector. Moreover, forecasts assist in establishing economically justified electricity tariffs that accurately reflect the cost structure of electricity production and distribution while incentivising efficient consumption behaviours.
- 6.
Social aspects and demand satisfaction. Accurate forecasting enhances the ability to anticipate and meet consumer needs reliably. Additionally, it plays an educational role by promoting awareness of energy-saving practices, the adoption of energy-efficient technologies, and the integration of renewable energy sources into daily life. In this way, forecasting becomes a pivotal mechanism for ensuring not only energy system resilience and economic efficiency but also the rational utilisation of resources and the sustainable evolution of the energy sector.
Fig. 4 and Table 9 present the results of the forecast of final electricity consumption in Ukraine for the period 2023–2027.
The results of the scenario-based forecasting of electricity consumption in Ukraine through 2027 suggest three distinct development trajectories:
- -
Optimistic scenario: Assuming the recovery and progressive development of Ukraine’s economic and industrial sectors, electricity consumption is projected to increase by approximately 35–40 % compared to the baseline level recorded in 2022. This scenario presumes active post-war reconstruction, investment in energy infrastructure, and the revitalisation of industrial capacity.
- -
Pessimistic scenario: In the case of prolonged military conflict, stagnation of economic activity, or further degradation of critical infrastructure, electricity consumption could decline to 60–65 % of the 2022 level. This outcome reflects reduced demand due to population displacement, business closures, and energy supply disruptions.
- -
Moderate (restrained) scenario: This trajectory anticipates a relatively stable but gradually declining trend in electricity consumption, shaped by a combination of limited economic growth, partial infrastructure recovery, and constrained investment in the energy sector.
These forecasted trajectories underscore the critical importance of strategic planning and resilience-building measures in the Ukrainian energy sector under conditions of prolonged uncertainty.
The results of the scenario-based forecasting (Fig. 5) indicate a projected increase in the cost of electricity production starting from 2023, a trend that aligns with current developments, particularly the ongoing destruction of Ukraine’s energy infrastructure due to continuous military aggression. Under the optimistic scenario, a corresponding increase in electricity production per capita is anticipated, driven by post-war recovery efforts, infrastructure modernisation, and the expansion of decentralised and renewable energy systems. This scenario reflects the potential for improved energy efficiency and economic revitalisation, contingent on stabilisation and strategic investment.
Based on the conclusions derived from the correlation analysis, a strong positive relationship was identified between total electricity generation per capita (TEG) and final electricity consumption (FCE). This correlation confirms that increases in electricity consumption are closely associated with corresponding increases in production. Scenario forecasting further illustrates that, depending on the trajectory of Ukraine's energy sector development, electricity consumption may experience varied reductions: a 17.98 % decrease under the optimistic scenario, a 50.2 % decline under the pessimistic scenario, and a 16.12 % reduction under the conservative scenario (Table 10). These estimates underscore the sensitivity of the energy sector to macroeconomic, infrastructural, and geopolitical dynamics.
The results of forecasting the determinants of influence on the final electricity consumption in Ukraine, 2023–2027.
Simultaneously, a persistent negative correlation was observed between final electricity consumption (FCE) and electricity generation from renewable sources, excluding hydroelectric power (REG). This suggests that increased electricity consumption does not proportionally stimulate the expansion of renewable energy output. Scenario forecasting results indicate that under the optimistic scenario, REG may increase by nearly 2.09 times, while the pessimistic scenario anticipates a decrease of 48.9 %, and the restrained scenario projects a more moderate increase of 30.38 %.
Additionally, the analysis revealed a moderate negative correlation between the cost to generate electricity (CGE) and its final consumption, implying that rising costs may incentivise energy-saving behaviour or a shift toward alternative sources. According to the forecast models, CGE is expected to rise by nearly 86 % under the optimistic scenario, decrease by 56.48 % in the pessimistic case, and increase moderately by 14.77 % under the restrained scenario (Table 10). These findings highlight the complex and often non-linear interactions between energy pricing, consumption patterns, and the adoption of renewable technologies.
DiscussionThe study’s findings are critical for informing evidence-based policy formulation and strategic planning in the energy sector, particularly regarding smart energy deployment and long-term sustainability objectives. The established strong correlation between final electricity consumption and electricity production underscores the necessity for government oversight in maintaining a stable balance between demand and supply, especially under crisis conditions. Furthermore, the identified inverse relationship between electricity consumption and generation from renewable sources highlights the need to develop regulatory frameworks and incentive mechanisms to promote the integration of renewables into the national energy mix. In addition, the research accentuates the pivotal role of investments in digital energy infrastructure, particularly in the deployment of smart meters and automated grid management systems, which are instrumental in enhancing transparency, efficiency, and responsiveness in electricity usage. The findings point to a substantial untapped potential for energy sector digitalisation in Ukraine. The implementation of smart grids and decentralised energy generation models is expected to significantly enhance electricity management efficiency, minimise transmission and distribution losses, and improve the accuracy of demand forecasting, thereby contributing to a more resilient and sustainable energy system.
The analysis reveals that electricity consumption in Ukraine is increasing at a faster rate than the production from renewable energy sources, indicating the critical need for developing and integrating energy storage systems to balance supply and demand by storing surplus electricity generated from renewables. The study also confirms that consumers exhibit sensitivity to electricity pricing, suggesting that dynamic and flexible tariff structures could serve as effective tools to promote energy conservation and optimise consumption behaviour. Scenario-based forecasting further predicts a decline in final electricity consumption by 2027, which may have implications for investment attractiveness and the pace of development of new renewable energy capacities. The application of scenario analysis, optimistic, pessimistic, and restrained, enables the identification of plausible trajectories for the energy sector’s development, equipping policymakers and market stakeholders with the flexibility to adjust their strategies in response to evolving political and economic contexts. Moreover, the findings underscore the strategic importance of enhancing energy independence and diversifying energy sources, which are fundamental pillars for ensuring national energy security, particularly under conditions of heightened military risk and geopolitical instability. The empirical findings of this study align with existing literature on smart energy transition, particularly regarding the interdependence between electricity consumption and renewable energy development. Similar conclusions have been reported by scholars such as You and Kim (2020), Lund et al. (2021), and Pantaleo et al. (2022), who confirm the critical role of aligning energy demand with the pace of renewable integration. According to Icaza et al. (2024), the energy transition is an inevitable global process, producing complex transformations across continents. These authors highlight the urgent need to develop a robust toolkit for converting traditional energy systems into smart and renewable infrastructures, with a special emphasis on the electricity sector as a key domain requiring systemic transformation. Korpela et al. (2023) stress that conventional centralised energy systems should evolve into distributed, low-carbon power plants, capable of addressing the demands of climate change. They argue that smart transformation must be underpinned by flexible load management, demand response mechanisms, and the integration of intelligent electronics and digital management systems. Complementing these perspectives, Chang et al. (2023) investigate scenario-based approaches to smart energy transition, emphasising the need to expand renewable energy capacity, ensure grid integration and balance, and foster synergistic collaboration among stakeholders. These contributions underscore the multidimensional nature of energy transformation and the importance of cohesive planning and policy support in ensuring its success.
The potential to reduce CO₂ emissions, the financial implications of achieving climate neutrality, and the prioritisation of strategic interventions in the energy sector’s transformation are critically evaluated in contemporary literature. Hakawati et al. (2024) investigate how individual consumer awareness of energy efficiency principles and climate neutrality influences energy consumption behaviour. Employing the Smart PLS structural modelling approach, the authors demonstrate that educational and informational campaigns are essential for fostering behavioural change and encouraging the adoption of energy-saving technologies at the household level. In parallel, Zheng et al. (2024) propose a capability-based and probabilistic risk-based planning model (PPR-SEH) for smart energy hubs. Their study addresses cybersecurity challenges associated with digital energy infrastructures and highlights the importance of decarbonisation, decentralisation, and demand-side flexibility in the smart energy transition. The authors introduce a hybrid optimisation framework that combines integer programming, software-based optimisation, and fuzzy logic to mitigate uncertainties related to fluctuating demand, renewable energy generation variability, and volatile energy prices. Moreover, Liang et al. (2024) emphasise that the sustainable development of the electricity sector requires an integrated approach that combines intellectualisation (digitalisation and smart technologies) with ecological modernisation (environmentally responsible and low-carbon strategies). This dual paradigm is viewed as a prerequisite for achieving long-term sustainability and resilience in modern energy systems.
In addition to the substantial benefits of transitioning to smart energy grids and integrating renewable energy sources, several emerging risks and vulnerabilities must be addressed. The widespread digitalisation of energy systems introduces new cybersecurity threats, particularly as smart grids and digital energy management platforms become increasingly reliant on data-driven technologies. As Khudhair (2023) notes, the digital infrastructure of energy systems is susceptible to unauthorised access and data manipulation, posing significant risks to energy security and national infrastructure resilience. Zheng et al. (2024) further explore these challenges by examining AI-driven cybersecurity threats within future-generation networks. Their study underscores the growing vulnerability of critical sectors, including smart energy distribution, to stealth cyberattacks and the manipulation of machine learning algorithms, which can compromise operational accuracy and system integrity. These developments highlight the urgent need for advanced AI-based defensive mechanisms to safeguard next-generation energy systems, especially within 5G-enabled architectures. Moreover, Hu et al. (2024) investigate the evolution of smart energy systems, acknowledging their capacity to enhance energy efficiency, reduce carbon emissions, and support sustainable development. However, the authors caution that cybersecurity risks, technological integration barriers, and high implementation costs represent key obstacles to their broader adoption. To address these issues, they propose a future-oriented framework based on holistic optimisation, adaptive intelligence, environmental sustainability, and human-centric system design. As such, overcoming the cybersecurity and operational challenges remains central to realising the full potential of intelligent, decarbonised energy systems.
Research on the smart transformation of the energy sector is particularly relevant for transition economies, which often grapple with challenges such as unstable energy infrastructure, high dependency on energy imports, and low levels of digitalisation within the energy sector. These vulnerabilities expose such countries to external shocks, including fluctuations in global energy prices and geopolitical risks. For example, following the events of 2014, Ukraine undertook a series of reforms aimed at enhancing energy security, most notably by reducing dependence on Russian gas, liberalising energy markets, and accelerating the deployment of renewable energy sources. The study of such transitional dynamics is crucial for developing evidence-based strategies to enhance energy independence in countries facing similar constraints, such as Georgia and Moldova. Moreover, countries with economies in transition frequently lack the financial and institutional capacity required for large-scale infrastructure upgrades. Nevertheless, digital technologies and smart grids offer a cost-effective pathway to improve system performance. Notably, Kazakhstan has made significant progress in this domain by introducing smart electricity metering systems and digital grid management technologies (Aisayev et al., 2024). These advancements enable countries with ageing infrastructure to enhance energy efficiency, reduce technical and commercial losses, and strengthen the resilience of energy supply systems. Therefore, comparative and country-specific research in this area offers valuable insights into how smart energy solutions can be leveraged for sustainable development and energy security in transitional contexts.
The empirical findings of this study hold significant relevance for policymakers and stakeholders engaged in shaping the energy transition not only in Ukraine but also in other post-Soviet and transitioning economies. The established sensitivity of final electricity consumption to production, cost, and infrastructure-related determinants underscores the importance of integrated energy planning. In particular, aligning supply-side modernisation, such as renewable energy deployment and infrastructure upgrades, with demand-side management strategies is essential. These results support the development of regulatory interventions aimed at promoting distributed energy generation, incentivising the adoption of smart metering technologies, and enhancing grid resilience, especially within the context of conflict and post-conflict recovery. From an investment policy perspective, the study highlights the importance of prioritising technologies that support load balancing, reduce technical losses, and increase system flexibility. A comparative analysis reveals that countries such as Georgia and Kazakhstan face analogous challenges stemming from legacy infrastructure, external energy dependence, and evolving regulatory environments. Both nations have adopted national strategies to expand renewable energy capacity and modernise grid infrastructure, offering valuable reference models for Ukraine. Their experiences provide actionable insights for institutional reform and strategic alignment with European energy integration objectives.
ConclusionThe study of energy transformation components is crucial for addressing pressing global challenges, including climate change mitigation, energy security, economic development, and resource efficiency. These efforts are fundamentally motivated by the broader goals of achieving global sustainability, environmental protection, financial stability, and safeguarding the well-being of future generations.
The empirical analysis revealed several key findings. Most notably, there exists a strong positive correlation between total electricity generation per capita and final electricity consumption, suggesting that increased consumption is consistently accompanied by a rise in production. Under an optimistic scenario, electricity production increases by 17.98 %, while under a pessimistic scenario, it grows by 50.2 %. Conversely, a robust negative relationship was identified between final electricity consumption and renewable electricity generation, indicating that increased consumption does not currently stimulate growth in renewable energy output. This highlights a critical imbalance in the alignment between energy demand and the development of clean energy sources, which must be addressed through targeted policies and investments.
The integration of renewable energy sources (RES) presents significant opportunities for decentralised energy production, offering a viable pathway to stabilise energy supply, particularly in regions with limited infrastructure and resources. This is especially critical for post-conflict economies, where energy systems may be severely damaged or require complete reconstruction. By reducing dependence on imported fossil fuels, RES integration enhances national energy security and supports the resilience of energy systems. From an economic standpoint, renewable energy technologies offer a cost-effective solution due to their relatively low operational costs after initial capital investment. Moreover, in post-conflict reconstruction contexts, RES can play a vital role in the rapid rehabilitation of energy infrastructure, as they often require less complex installation procedures and can be deployed across diverse geographic areas, including remote and rural communities. Based on the study's findings, a set of management recommendations has been developed to guide energy sector transformation and policy-making in transitional and post-conflict economies (Table 11). These recommendations aim to enhance energy efficiency, accelerate renewable energy deployment, and support the digitalisation of energy systems for a more resilient and sustainable energy future.
Management recommendations for accelerating smart energy sector transformation.
| Area | Recommendations |
|---|---|
| Providing energy efficiency and demand management | The development and implementation of energy efficiency programs represent a critical pathway to moderating the growth of electricity consumption. Key measures include the deployment of energy-saving technologies, the promotion of energy-efficient practices among both households and enterprises, and the introduction of demand-side management (DSM) systems to optimise energy use and mitigate peak loads on power infrastructure. A notable example is Germany, which has demonstrated substantial success in energy efficiency policy implementation. Between 1980 and 2015, the specific energy consumption of buildings in Germany was reduced from 265 kWh/m² to 15 kWh/m² annually, illustrating the impact of robust regulatory frameworks, stringent building codes, and sustained investment in energy-efficient technologies (Hu, 2017). This case underscores the importance of coordinated policies and public awareness in achieving long-term reductions in energy demand and enhancing the sustainability of national energy systems. |
| Stimulation of environmental awareness of the population and involvement of communities | The implementation of educational programs aimed at raising public awareness regarding the importance of electricity conservation and the adoption of energy-efficient technologies plays a crucial role in shaping sustainable consumption patterns. These programs should be complemented by initiatives that foster public engagement in energy-related decision-making processes and promote informed, responsible electricity usage.An illustrative example is Indonesia, where environmental education has proven effective in encouraging pro-environmental behaviour. As demonstrated by Herdiansyah et al. (2022), increased awareness about the environmental impact of plastic use significantly influenced individuals’ decisions to minimise its consumption. This finding highlights the broader relevance of environmental awareness campaigns as tools for promoting behavioural change in diverse contexts, including energy conservation. Accordingly, similar approaches can be successfully applied to electricity consumption, encouraging communities to adopt sustainable energy habits and actively participate in the energy transition. |
| Environmental regulation and investments in energy | The implementation and enforcement of clear environmental regulations and standards for energy companies are essential for minimising the adverse environmental impacts associated with energy production and consumption. At the same time, it is vital to stimulate investments in renewable energy sources at the national level, thereby promoting the transition to a low-carbon economy. A comprehensive and balanced approach should also be adopted to address the physical energy deficit in the system. This involves both the regulation of electricity demand among household consumers and the gradual alignment of electricity tariffs with market-based pricing. Such measures must be designed to mitigate the socio-economic consequences for vulnerable groups and to ensure energy affordability and social equity. Empirical evidence supports the effectiveness of these measures. For example, the study by Liu et al. (2023), focused on the G7 countries, demonstrates that a combination of green energy investments, financial sector development, and robust environmental policy regulation significantly contributes to achieving a sustainable energy transition in the long term. This confirms the importance of an integrated policy framework that leverages financial, regulatory, and technological instruments to guide and sustain the transformation of the energy sector. |
| Optimizing power grids | The automatic regulation of electricity flows, along with the real-time detection and elimination of deviations, plays a crucial role in enhancing the efficiency and reliability of modern power systems. These functions contribute significantly to the reduction of electricity losses and the improvement of the overall stability of electricity supply networks. A notable example of successful implementation is the adaptation of a linear programming model for managing an electrical distribution network composed of diverse electricity generation technologies in Mexico. This model, as demonstrated in the study by López et al. (2021), optimises distribution by dynamically balancing supply and demand across the grid, thereby ensuring cost-effective and sustainable energy delivery in a heterogeneous energy landscape. |
| Planning and green funding | Ensuring a consistent inflow of investments into energy infrastructure development is essential in light of projected electricity consumption growth. Investment priorities should include the modernisation and digitalisation of existing capacities, as well as the construction of new facilities for alternative energy generation. A proven and increasingly adopted mechanism for financing such initiatives is the issuance of green bonds. The European Union exemplifies best practices in this regard, having committed to an ambitious climate agenda aimed at achieving net-zero emissions. Between 2014 and 2020, the euro accounted for approximately 40 % to nearly 50 % of the currency composition of global green bond issuances, reflecting the EU’s leadership in sustainable finance (Chala, 2022). |
Consequently, managerial decisions grounded in a comprehensive understanding of the strong interdependence between electricity production and consumption should prioritise the balanced development of the energy system, enhancing energy efficiency and sustainability, and mitigating environmental impacts. The in-depth analysis of the determinants driving energy transformation will catalyse the digital modernisation of the power sector, facilitating the integration of advanced digital technologies aimed at improving the efficiency, reliability, and resilience of energy systems. Furthermore, the anticipated outcomes of these transformational processes include the development of distributed resource management systems, the implementation of robust cybersecurity and data protection mechanisms to safeguard critical infrastructure, the personalisation of energy services, and the establishment of self-regulating platforms for managing individual energy consumption. Such innovations are essential for fostering adaptive, secure, and user-oriented energy ecosystems, particularly in post-conflict and transition economies.
Limitations and future researchResearch examining the relationships between final electricity consumption and variables such as electricity cost, renewable energy generation, and electricity production per capita is subject to several inherent limitations. Notably, data on electricity consumption, renewable generation, and electricity pricing can vary considerably depending on regional characteristics, the maturity of energy infrastructure, and the prevailing economic environment. As a result, extrapolating such findings to derive global conclusions may be imprecise due to significant disparities in infrastructure, policy frameworks, and energy strategies across different countries.
Moreover, electricity costs are influenced not only by domestic factors but also by global fossil fuel markets, which introduce substantial volatility and complicate direct correlation with consumption patterns. Geopolitical and economic disruptions, such as military conflicts or fluctuations in global oil and gas prices, can abruptly alter market conditions, thereby distorting the validity of short-term analyses. Additionally, the impact of renewable energy generation on electricity consumption and pricing often manifests with a temporal lag, as infrastructure investments in solar, wind, or bioenergy typically require extended lead times before influencing operational metrics. This temporal gap limits the effectiveness of short-term forecasts and necessitates the adoption of more dynamic and forward-looking modelling techniques. These limitations collectively underscore the need to enhance and refine methodological approaches to optimising energy production and consumption, particularly in the context of uncertainty, transition economies, and long-term sustainability planning.
The optimisation of energy processes through the application of artificial intelligence (AI) and blockchain technologies presents significant prospects for transforming energy systems. These innovations enable greater efficiency, enhanced security, and the decentralisation of electricity markets, thereby contributing to more resilient and adaptive energy infrastructures. AI facilitates improved forecasting of supply and demand, real-time monitoring, and predictive maintenance, all of which are critical for reducing energy losses and enhancing operational efficiency. Concurrently, blockchain technology provides transparent, tamper-proof platforms for energy trading, enabling peer-to-peer transactions and automated contract execution through smart contracts. Together, these technologies support the development of “smart” energy markets characterised by flexibility, data-driven decision-making, and consumer empowerment. As such, the integration of AI and blockchain represents a promising avenue for future scientific research, particularly in the context of achieving sustainable, secure, and decentralised energy transitions.
FundingThis research was funded by grant from the Ministry of Education and Science of Ukraine (grant number 0123U101920).
CRediT authorship contribution statementOlena Chygryn: Writing – review & editing, Writing – original draft, Methodology, Investigation, Formal analysis, Data curation, Conceptualization. Yevheniia Ziabina: Writing – review & editing, Writing – original draft, Software, Methodology, Investigation, Formal analysis, Conceptualization. Dalia Štreimikienė: Writing – review & editing, Visualization, Validation, Supervision, Methodology, Investigation, Formal analysis, Conceptualization. Yuriy Bilan: Writing – review & editing, Methodology, Funding acquisition, Formal analysis, Conceptualization.






