Las fracturas de la extremidad distal del fémur son 11 veces menos frecuentes que las de cadera1. Quizá por ello su epidemiología no ha sido objeto de interés hasta ahora. Martinet et al1 han demostrado que existen 2 grupos principales de población en los que se produce este tipo de fractura: los varones jóvenes, en los que la fractura ocurre por accidentes de tráfico (ATF) o deportivos, y las mujeres de edad avanzada, en las que la fractura se produce por caídas domiciliarias.
En este trabajo se pretende analizar la epidemiología de las fracturas del fémur distal en nuestro medio.
MATERIAL Y MÉTODO
Entre 1992 y 2000 ingresaron en nuestro centro 223 fracturas de la extremidad distal del fémur en pacientes mayores de 14 años. Hubo 110 mujeres (49,3%) y 113 hombres (50,7%), con una edad media de 60,4 ± 19,7 años (mínimo: 20 y máximo: 94 años).
Se localizaron en el lado derecho 109 de las fracturas (48,9%) y 114 en el izquierdo (51,1%).
Los pacientes se subdividieron para su estudio en 4 grupos de edad a intervalos de 20 años: de 20 a 40, de 40 a 60, de 60 a 80 y de 80 a 100. Se realizó un análisis estadístico descriptivo, por grupos de edad, del tipo de fractura según la clasificación de AO, el mecanismo de producción y el sexo predominante en cada grupo. El análisis de la relación entre variables cualitativas se realizó mediante la prueba de Chi-cuadrado y el test exacto de Fisher, considerando estadísticamente significativo cuando la «p» era menor de 0,05.
Dentro de los mecanismos de producción se consideraron varios subgrupos: el ATF, la caída, el accidente de trabajo (ATB) y el accidente deportivo (AD).
También se analizaron las lesiones concomitantes en politraumatizados y los antecedentes patológicos de interés hallados. Se consideraron como tales la osteoporosis o la artrosis cuando estaban diagnosticados previamente a la fractura y eran objeto ya de tratamiento farmacológico, no cuando fueron descubiertos con ocasión de las radiografías hechas durante el proceso de tratamiento de su fractura.
RESULTADOS
El grupo de edad más frecuentemente afectado por estas fracturas fue el de 60-80 años, con 102 pacientes (45,7%), seguido del de 20-40 años con 72 pacientes (32,3%), el de 40-60 con 43 (19,3%) y el de 80-100 con 6 (2,6%).
La etiología de la fractura en cada grupo de edad se refleja en la tabla 1 y en la figura 1. La causa más frecuente en jóvenes fue el ATF, en los pacientes de mediana edad se igualaron en frecuencia el ATF y las caídas, y en ancianos la causa más frecuente fue la caída. El ATF y el AD fueron significativamente más frecuentes en el grupo de 20-40 años (p < 0,01), mientras que la caída fue significativamente más frecuente en el grupo de 60-80 años (p < 0,001).
Figura 1. Etiología por grupos de edad.
Considerando solamente los ATF (tabla 2), la causa más frecuente en jóvenes fue el accidente de coche, seguida del de moto, en la mediana edad el accidente de coche, y en los grupos de mayor edad el atropello.
Los ATB fueron principalmente caídas de andamios. Los AD se ocasionaron durante la práctica de parapente, montañismo, equitación y esquí.
Dentro de las caídas (tabla 3), en los grupos de 20-40 y 40-60 años la causa más frecuente fue la caída desde altura en intentos de autolisis, las caídas desde escaleras, muros o árboles, mientras que en mayores la causa principal fue la caída domiciliaria. La caída de altura fue más frecuente en el grupo de 20-40 años, aunque la diferencia no fue estadísticamente significativa, mientras que la caída domiciliaria fue significativamente más frecuente en el grupo de 60-80 años (p < 0,001).
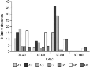
El tipo de fractura más frecuente en general (tabla 4 y fig. 2) fue la A2, seguido de la A3 y la C2. El tipo A2 predominó en los grupos de 40-60 y de 60-80 años, mientras que en el de pacientes más jóvenes el tipo más frecuente fue el A3 y en el de 80-100 años el tipo C3.
Figura 2. Tipos de fractura por grupos de edad.
El sexo (fig. 3 y tabla 5) globalmente se repartió de forma equitativa, aunque analizado separadamente por grupos de edad, en los varones eran significativamente más frecuentes que en las mujeres en el grupo de 20-40 años (p < 0,001) y en el de 40-60 años (p < 0,01), mientras que en las mujeres eran significativamente más numerosas que en los hombres en el grupo de 60-80 años (p < 0,001).
Figura 3. Sexo por grupos de edad.
Fueron abiertas 12 de las fracturas (5,4%); según la clasificación de Gustilo, fueron grado I en 5 casos, 1 de ellas ocasionada en una caída, 3 en un ATF y 1 en un ATB; grado II en 4 pacientes, una por caída y 3 por ATF; y grado III en 3 casos, los 3 originados en un ATF.
Se encontraron antecedentes patológicos de interés en 143 pacientes (64,1%). Los más frecuentes se han enumerado en la tabla 6, siendo frecuente en ancianos la asociación de varios antecedentes concomitantes en el mismo paciente.
Treinta y cuatro pacientes (15,2%) presentaron alguna fractura asociada (tabla 7). Esta circunstancia se presentó en 22 ATF (9,8%), 10 caídas (4,5%), 1 ATB (0,4%) y 1 accidente deportivo. En 8 casos (3,6%) se halló más de una fractura asociada. La fractura más frecuentemente asociada fue la de costillas, seguida por la de tibia homolateral y cráneo. Hubo 3 casos de rotura homolateral del ligamento cruzado anterior.
Se objetivaron lesiones orgánicas en 15 pacientes (6,7%): 5 traumatismos cerebrales, 5 pulmonares, 2 de bazo, 1 de hígado, 1 caso de lesión cerebral y renal en el mismo paciente, y otro caso de lesión cerebral, renal y de intestino delgado en el mismo politraumatizado.
DISCUSIÓN
Mecanismo lesional
En varios trabajos publicados la causa más frecuente fue el accidente de tráfico1-3. En otros la causa lesional se dividió equitativamente entre el ATF y la caída7,9. En general se distinguieron 2 mecanismos lesionales: en jóvenes el traumatismo de alta energía ocasionado principalmente en ATF1,4,5, y en pacientes de edad avanzada el traumatismo de baja energía causado por caídas domiciliarias1,4,6-8.
En este trabajo, en pacientes jóvenes la causa más frecuente de la fractura fue el ATF, en los ancianos la caída domiciliaria, y en edades intermedias la frecuencia del ATF, la caída y el accidente de trabajo tendió a igualarse. Los accidentes deportivos se dieron sobre todo en jóvenes.
Tipo de fractura
En el conjunto de los trabajos publicados, el más frecuente ha sido el tipo A, aunque no existe unanimidad en cuanto al subtipo, siendo el A1 el más frecuente en algunas series2,4,6, el A2 en otras1,8, y el A3 en otra9. Con menos asiduidad ha sido notificada la C2 como la más frecuente3,8,9. En este trabajo la más frecuente en general ha sido la A2, seguida de la A3 y la C2. En jóvenes fue la A3 la más frecuente, en la edad media la C2 y en ancianos la A2.
Sexo
En general esta fractura es más frecuente en hombres en grupos de edad jóvenes y en mujeres en grupos de edad más avanzada1,6,7. En series donde la edad media fue alta predominaron las mujeres, 62 años en la serie de Shewring y Meggitt8 y 55 días en la de Shelbourne y Brueckmann10. En series de edad media más baja predominaron los varones, como por ejemplo en la de Yang et al5, en la que la edad media fue de 46,9 años, y la de Leung et al2, en la que fue de 46,5 años.
En este trabajo predominaron los varones en los grupos de 20-40 y de 40-60 años, y las mujeres en los grupos de 60-80 y de 80-100 años.
Lesiones asociadas
En politraumatizados las fracturas que más frecuentemente se han hallado asociadas han sido las de costillas, de tibia homolateral, de cráneo, de pelvis, de tobillo, de macizo facial y húmero3,11. También se han identificado lesiones coexistentes de órganos (cerebrales, pulmonares, de bazo, hígado y colon entre otras vísceras11). En otra serie5, las fracturas que más frecuentemente coexistieron fueron las de extremidades inferiores, en particular las de rótula ipsilateral. También se han observado lesiones asociadas de partes blandas de la rodilla3,5: rotura del ligamento cruzado anterior y del menisco interno. Todo ello coincide con lo obtenido en este trabajo.
Antecedentes patológicos
Al tener esta serie una edad media de 60 años, fue frecuente observar patología degenerativa, como artrosis y osteoporosis. La presencia de artroplastia de cadera o rodilla en el mismo lado de la fractura puede condicionar el tratamiento, por lo que debido al envejecimiento progresivo de la población y al alto número de protetizaciones que se precisan, es lógico que esta asociación cada vez se de con más frecuencia.
CONCLUSIONES
Las fracturas supracondíleas del fémur se producen principalmente en varones jóvenes, por accidentes de tráfico, y en mujeres de edad avanzada, por caídas domiciliarias. El grupo de edad más frecuentemente afectado es el de 60-80 años (45% de los pacientes). El tipo más común de fractura es la A2. Es frecuente la existencia de otras fracturas asociadas (15% de los casos), siendo las más frecuentes las de costillas, tibia homolateral y cráneo. La existencia de antecedentes patológicos, tales como la osteoporosis, la hipertensión arterial, la obesidad, la artrosis y la artroplastia de cadera y rodilla, es muy común (64% de los pacientes).












