Trabajo realizado en colaboración entre el Departamento de Análisis del movimiento humano de la Facultad de Ciencias de la Actividad Física y el Deporte, Universidad Politécnica de Madrid y el Servicio de Ginecología y Obstetricia del Hospital Severo Ochoa de Leganés, Madrid. España.
INTRODUCCIÓN
A lo largo de la historia, las mujeres han recibido todo tipo de consejos acerca de cómo llevar mejor el proceso del embarazo y el parto. Estas recomendaciones han procedido de profesionales de diversa índole, patriarcas religiosos, filósofos, médicos1.
A pesar de la gran cantidad de avances que la ciencia ha logrado en este campo, existe todavía una gran cantidad de preguntas sin respuestas que nacen a partir de una primera cuestión: ¿puede una mujer embarazada realizar ejercicio físico?, ¿qué cantidad de ejercicio conviene hacer?, ¿dónde está el límite máximo?, ¿cuáles son los mejores ejercicios?, ¿de qué manera afecta el ejercicio físico moderado a los resultados del embarazo? Indudablemente, resulta imposible dar respuestas inmediatas a todas estas preguntas; no obstante, sí es posible y necesario establecer, por parte de ciertos profesionales, las bases científicas para ofrecer a la mujer embarazada una gestación activa y saludable.
A esto debemos añadir que, tradicionalmente, las recomendaciones acerca de la actividad física durante la gestación estuvieron basadas más en cuestiones culturales y sociales que en evidencias científicas2,3.
A la hora de buscar respuestas a estas preguntas, la información acerca de la repercusión del ejercicio físico y el deporte en el desarrollo de la gestación es limitada4. Cuando una mujer consulta sobre la conveniencia o no de practicar un deporte durante el embarazo, se debe conocer si el ejercicio físico tiene un efecto positivo o negativo y cuáles son los ejercicios y deportes que pueden realizar las gestantes5. Ahora bien, durante los últimos años se ha producido una gran cantidad de trabajos de investigación que relacionan la actividad física con la gestación6. Estos estudios se han dividido claramente en 2 apartados: por un lado los que se ocupan de parámetros puramente fisiológicos (frecuencia cardíaca materna y fetal, parámetros respiratorios, metabólicos, etc.) y por otro, aunque en menor cantidad, aquellos trabajos que investigan acerca de la influencia del ejercicio físico materno en el comportamiento de los resultados del embarazo2.
El objetivo de este trabajo es conocer la influencia del ejercicio aeróbico moderado sobre los tiempos de las etapas del parto.
SUJETOS Y MÉTODOS
Este trabajo de investigación se ha llevado a cabo por medio de una colaboración entre el INEF de Madrid, el Servicio de Ginecología y Obstetricia del Hospital Severo Ochoa de Leganés (SGOHSO) y el Centro de Salud María Montesori de Leganés.
Se diseñó un trabajo experimental del tipo de casos y controles, similar al realizado por aquellos autores que se ocupan de la relación entre la actividad física y la gestación7-12.
Muestra
Se entrevistó a un total de 480 mujeres que acudían a su primera consulta prenatal, en esta primera entrevista se obtuvieron datos de tipo personal, médico, laboral, nivel de estudios terminados y de hábitos relacionados con la actividad física pasada y presente, así como el consentimiento personal para integrarse en un grupo de ejercicio físico durante el segundo y tercer trimestres de embarazo o bien de control.
De forma aleatoria (tablas de números aleatorios), se ha seleccionado un grupo de población (casos) al que se ha expuesto a un tratamiento determinado, en este caso ejercicio físico, y otro grupo de idénticas características poblacionales (controles) que no ha recibido intervención por parte del investigador. Tanto para la consulta de tablas de números aleatorios como para el método de cálculo del tamaño muestral se ha seguido la obra de Armitage y Bery de 199713.
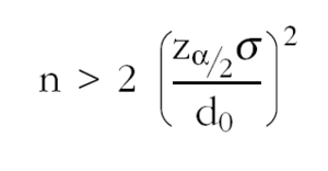
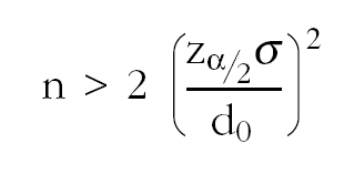
Con relación al cambio del tamaño de la muestra para la comparación de grupos, se aplicó la siguiente fórmula:
donde d es la diferencia entre medias que se espera para ser significativa. Este método nos ha permitido suponer que, por ejemplo, para el tiempo de dilatación la diferencia d es a partir de 45 min.
Se establecieron los siguientes criterios de inclusión para formar parte de alguno de los grupos:
No presentar ningún tipo de contraindicación de carácter médico absoluto.
En caso de tener alguna contraindicación de tipo relativa, se consultaba con su ginecólogo de referencia y con el equipo del SGOHSO la conveniencia de incluir o no esta mujer dentro del programa; basándonos en las indicaciones de estos profesionales se tomaba la determinación oportuna.
Con respecto al número total de mujeres, el estudio incluyó finalmente un total de 142: grupo tratamiento, integrado por 72 mujeres, y grupo control, integrado por 70 mujeres.
Recogida y tratamiento de resultados
Para la recogida y el tratamiento de resultados se ha descartado aquellas mujeres que han parido por cesárea electiva, el grupo de casos presentó 3 mujeres con cesárea electiva y el grupo de control, 4.
Mientras que en los casos en los que se ha decidido cesárea luego de cierto tiempo de dilatación, lógicamente sólo aparecen los valores correspondientes a esta etapa, 8 en el grupo de casos y 7 en el de control.
Con respecto a las fuentes y el proceso empleado para la recogida de datos de los tiempos de las etapas del parto, las fuentes utilizadas han sido el partograma (incluido en la historia clínica de cada paciente) y, por otro lado, el libro de registros de partos (cumplimentado por la matrona a cargo); a medida que cada gestante paría, se consultaban estas 2 fuentes y se registraban los valores correspondientes a cada período de parto.
Lógicamente, los resultados eran registrados por los profesionales a cargo de estas 2 fuentes, fuentes que luego eran consultadas por los responsables de este trabajo.
Programación de la actividad física
Las clases fueron diseñadas por nuestra parte teniendo en cuenta que se trataba de ejercicio físico para mujeres embarazadas que en muchos casos no habían realizado actividad física o deporte durante su vida de forma periódica; una vez llevado a cabo el diseño, éste fue supervisado por los responsables del SGOHSO.
Las mujeres comenzaban su programa de ejercicio físico en la semana 14-15 y lo abandonaban en la 36. A cada una de ellas, al comenzar el programa se les entregaba un dossier explicativo con la gran mayoría de los ejercicios que se llevaban a cabo, con su correspondiente explicación por medio de una figura y un texto que aclaraba la posición correcta, así como las repeticiones aconsejables para el desarrollo de cada ejercicio.
Esto tenía por objeto concienciar a las mujeres acerca de la conveniencia de la correcta postura y desarrollo de los trabajos que componían cada una de las clases. Asimismo, sirvió para que aquellas mujeres que por una razón u otra no podían acudir a alguna clase semanal realizasen el trabajo de forma autónoma en su casa y de ese modo no ver interrumpido el ritmo y la continuidad del programa de actividad física en ningún momento.
El criterio básico que se siguió para la elaboración de las clases se apoyó en las líneas directrices del Colegio Americano de Ginecólogos y Obstetras14,15, debido básicamente a que se trata de unas líneas de actuación básicas y seguras mantenidas por casi la totalidad de los trabajos de investigación consultados4,16-22.
Tipo de clases
Al elegir el tipo de clases, y en definitiva la modalidad de actividad física que las gestantes tenían que desarrollar, resultó básico el hecho de conocer que en las mujeres el embarazo ocasiona importantes y continuos cambios de humor con altibajos apreciables de estados de ánimo1,5,23; lo que sin duda ha exigido que el programa de ejercicio físico propuesto y que finalmente se puso en práctica haya procurado ser ameno, divertido y, además, guiado por un profesional de la actividad física.
A la hora de consultar con los trabajos de investigación que relacionasen el ejercicio físico y el embarazo, la gran mayoría de estudios consultados se refieren a protocolos de trabajo desarrollados a través de cicloergómetros24,25, tapiz rodante26,27, natación o actividades acuáticas28-30 o simplemente "variedad de actividades físicas de tiempo libre"2,31-35. Este tipo de diseño del trabajo físico, a simple vista, no pone en juego, o al menos no tiene muy en cuenta, un factor determinante en la compleja mecánica del ser humano que se dispone a realizar actividad física: la motivación.
Es de esperar que la respuesta, es decir la disposición física y anímica de una mujer embarazada para practicar ejercicio físico, sea mucho más satisfactoria si este ejercicio se realiza junto con unas compañeras que comparten su estado de embarazo y la actividad es guiada por un profesional que le inspira confianza, todo ello realizado con unas instalaciones y unos medios materiales que hacen aún más atractiva la actividad. En este caso, un lugar con buena luz natural, ventilado, con música agradable, junto con materiales adecuados para el desarrollo de las sesiones: colchonetas, rodillos, balones, sogas elásticas, etc.
En definitiva, pusimos en práctica sencillos movimientos corporales, con apoyo musical, respetando ciertas precauciones básicas producto de la situación del embarazo, trabajando las diferentes zonas musculares, evitando posibles riesgos o lesiones de cualquier tipo.
Estructura de las clases
Cada clase comenzaba con una entrada en calor de alrededor de unos 8-10 min, una parte central algo más intensa de aproximadamente 15 min y una vuelta a la calma de unos 7-8 min1.
RESULTADOS (tablas 1-3)
Con referencia a las características intragrupo, para poder confirmar que éstas no presentaban diferencias que pudiesen alterar los resultados, hemos utilizado los siguientes mecanismos: t de Student para muestras independientes (edad, IMC) y tablas de contingencia con el estadístico χ2 (paridad, tabaquismo, partos a pretérmino, actividad laboral y tiempo diario en posición de pie).
Período de dilatación
Los resultados nos muestran en el grupo de control una media inferior (6,5 ± 2,8 h) que en el grupo de tratamiento (7,0 ± 3,4 h); lo que puede deberse, en parte, al alto porcentaje de nulíparas (mujeres que van a parir por primera vez) existente en el grupo de tratamiento (72,2%; n = 52) comparado con el de control (57,1%; n = 40). No obstante, al analizar estadísticamente estas diferencias en cuanto a porcentajes dentro de cada grupo, éstos no presentaron significación con respecto a la posible influencia en los resultados.
Período expulsivo
En este caso, el grupo de control muestra una media ligeramente mayor (35,9 ± 31,5 min) que el grupo de tratamiento (32,5 ± 24,7 min).
Período de alumbramiento
También se han obtenido resultados con mínimas diferencias: grupo de control, 7,7 ± 1,7 min, mientras que en el grupo de tratamiento fue 8,0 ± 2,2 min.
DISCUSIÓN
A la hora de consultar trabajos de investigación en este campo, es importante aclarar que en referencia a la variable dependiente (tiempo de las etapas del parto), aunque nuestro estudio se ha diseñado investigando cada uno de los 3 períodos por separado, en una cantidad importante de los trabajos de investigación estos períodos se encuentran agrupados como uno solo, considerándolo tiempo de trabajo de parto3,17,36,37, mientras que en algunos se especifica como primera y segunda etapas del parto19,38. Por último, otros autores lo dividen en primera, segunda y tercera etapas39,40.
Es interesante realizar un análisis global de los estudios que se ocuparon de este apartado, el metaanálisis de Lokey et al, ya citado anteriormente, nos muestra unos valores (en horas) correspondientes a las labores de parto para los grupos de ejercicio de 10,1 ± 4,5, mientras que para los grupos de control, de 7,3 ± 1,2.
A pesar de estos datos anteriores, ciertos autores afirman que particularmente altos niveles de estado físico y actividad se asocian con cortos períodos en los trabajos de parto41-43.
Uno de los trabajos de investigación más cuidadosamente diseñado, justamente por especificar las diferentes etapas en el desarrollo total del parto43, encuentra que la práctica de ejercicio durante el embarazo se asocia con una actividad de parto temporalmente más corta, 264 min, frente a 382 min en aquellas mujeres que no realizaron actividad física.
Un estudio que valora el tiempo de parto teniendo en cuenta 2 etapas (primera y segunda fases) no encuentra diferencia significativa para ninguna de las 2 ni en el tiempo total del parto en ambos grupos (ejercicio y control)20.
Según Sternfeld, existen en este caso, al igual que otros parámetros, una gran gama de resultados y conclusiones, es decir, autores que encuentran un menor tiempo en los trabajos de parto en grupos con ejercicio físico o entrenamiento, aquellos que no observan significancia en relación entre el ejercicio y el tiempo de parto y aquellos que están en la postura contraria, es decir un mayor tiempo de parto en grupos con ejercicio físico3.
En relación con la intensidad del ejercicio, según Kardel y Kase37 gestantes que lo practican a intensidad media presentan un tiempo de los trabajos de parto inferior en comparación con mujeres que desarrollan ejercicio de alta intensidad.
En nuestro caso creemos que uno de los aspectos básicos de este estudio de investigación ha sido la posibilidad de desarrollar un programa de ejercicio físico con una importante cantidad de mujeres embarazadas (72), teniendo en cuenta la dificultad importante que presenta la gestión y coordinación de los grupos para impartir el ejercicio físico con una muestra de estas dimensiones.
Esto no ha permitido tener un manejo y control exhaustivo sobre la variable independiente (actividad física), lo cual da, sin lugar a dudas, mayor fiabilidad a los resultados. Por otra parte, el hecho de llevar a cabo este trabajo de forma coordinada entre profesionales de las ciencias de la actividad física y la medicina es otro factor de relevancia que aporta un marco de seguridad y supervisión al programa de trabajo; además de la confiabilidad en la recogida de datos.
En ese sentido, aparentemente nuestros resultados nos permiten plantearnos que la práctica de actividad física no ocasiona riesgos en lo referido a uno de los resultados del embarazo: los tiempos de las etapas del parto, lo que, sin lugar a dudas, nos abre las puertas para recomendar la práctica física moderada durante el embarazo, sin la posibilidad de perjuicios en ese aspecto.
Se trata, en definitiva, de favorecer un embarazo más natural y saludable, que incluye el ejercicio físico como un agente que aumenta el nivel de vida de la gestante.
CONCLUSIÓN
La práctica de 35 min de ejercicio físico aeróbico de carácter moderado, desarrollado durante el segundo y tercer trimestres de embarazo, realizado con una frecuencia de 3 veces semanales, no parece influir en los tiempos de las etapas del parto.
Futuros estudios que relacionen la realización de diferentes variantes e intensidades de ejercicio físico con los resultados del embarazo son necesarios para ampliar el conocimiento existente en este ámbito.





