INTRODUCCIÓN
El carcinoma hepatocelular (CHC) representa actualmente un área de creciente interés debido al aumento progresivo de su incidencia, especialmente en relación con el diagnóstico de pacientes infectados por el virus de la hepatitis C. En general, el diagnóstico del CHC implica un mal pronóstico por el frecuente hallazgo de la enfermedad en una fase avanzada y su aparición sobre una cirrosis hepática; la supervivencia, en muchos casos, está directamente relacionada con el grado de función hepática.
Actualmente, disponemos de un amplio arsenal terapéutico con intención curativa para el CHC, como el trasplante hepático, la resección quirúrgica y los tratamientos percutáneos. A pesar de todo, tan sólo la cuarta parte de los pacientes podrá beneficiarse de este tipo de tratamientos. Para los CHC no sujetos a tratamiento curativo se han diseñado varias terapias con intención paliativa, de las cuales la quimioembolización es la única que ha demostrado un beneficio en la supervivencia, confirmado por un reciente metaanálisis1.
Hasta hace pocos años la elección de tratamiento para los pacientes con CHC era difícil debido a la gran variabilidad de factores que había que tener en cuenta, como el tamaño tumoral, la extensión extrahepática, el grado de función hepática o los síntomas asociados al tumor. Ello hizo que la primera aproximación al tratamiento de este tumor no fuera la adecuada, y se constató una alta tasa de fracaso terapéutico entendido como recurrencia o recidiva tumoral, ya fuera en el propio hígado enfermo o en el trasplantado. En 1996, Mazzaferro demostró que la realización de un trasplante hepático ortotópico (THO) en pacientes con CHC lograba una supervivencia similar al realizado por una causa no tumoral, siempre que cumpliera los llamados, desde entonces, Criterios de Milan2. En 1999 se estableció la clasificación BCLC (Barcelo na Clinic Liver Cancer), considerada actualmente una de las que mejor combina las características tumorales, la expectativa de supervivencia, la función hepática y la situación clínica del paciente, y que proporciona una información pronóstica aceptada como guía de actuación terapéutica por la comunidad científica europea3. Según esta clasificación, los pacientes con una enfermedad tumoral extensa, un grave deterioro de la función hepática o un estado de salud alterado no se beneficiarían de tratamientos con intención curativa, por lo que se indicaría un control paliativo de su sintomatología o incluirlos en los escasos protocolos de nuevos tratamientos disponibles. La supervivencia de este grupo de pacientes es de sólo un 10-20% al año.
Varios trabajos han estudiado la historia natural del CHC no tratado, y han descrito una escasa supervivencia de los pacientes, sobre todo en los que presentan tumores multicéntricos o infiltrantes, afectación vascular o metastásica, o un grave deterioro hepático4-16. Muchos de estos estudios se han realizado sobre población de países orientales, donde las características de la enfermedad hepática son diferentes respecto a la población occidental, por lo que los datos obtenidos pueden diferir respecto a nuestro medio.
Con este trabajo, nuestro objetivo fundamental es evaluar la supervivencia y los factores pronóstico relacionados con la mortalidad en una cohorte de pacientes con hepatocarcinoma desestimados para el tratamiento activo.
MATERIAL Y MÉTODOS
Entre mayo 2003 y junio 2005, 50 pacientes consecutivos con CHC fueron desestimados para el tratamiento activo, en sesión del Comité de CHC de nuestro hospital, conformado por hepatólogos, radiólogos y cirujanos. Dicha desestimación se realizó basándose en los criterios de la clasificación BCLC, debido a la presencia de tumores extensos o con afectación vascular o extrahepática, o bien una función hepática deteriorada, pacientes muy añosos o con comorbilidad que impedían la realización de tratamientos con intención curativa o paliativa. De ellos, 19 pacientes habían recibido previamente tratamiento para el CHC.
En los pacientes con cirrosis hepática, ésta fue confirmada por una combinación de criterios histológicos, analíticos, clínicos o ecográficos. Se definió la presencia de CHC mediante confirmación histológica o citológica o a partir de la existencia de un patrón vascular de captación de contraste típico (realce en fase arterial con posterior lavado en fase venosa) en 2 pruebas de imagen.
Se recogieron las variables clínicas y epidemiológicas de los pacientes, así como las características tumorales y el tratamiento previo a su desestimación. Las variables analizadas fueron: edad, sexo, etiología de la hepatopatía, grado de Child-Pugh, ascitis, peritonitis bacteriana espontánea, encefalopatía hepática, hemorragia variceal, cociente internacional normalizado (INR), bilirrubina, creatinina, albúmina, fosfatasa alcalina, gammaglutamil transpeptidasa (GGT), hemoglobina, plaquetas, leucocitos, alfafetoproteína, Model for End-Stage Liver Disease (MELD), número y tamaño de los nódulos, extensión del tumor, presencia de trombosis portal y metástasis. Se valoró la extensión del CHC como uninodular, multinodular e infiltrante-multicéntrico, este último cuando el patrón de afectación tumoral era en forma de nódulos incontables y/o con una gran invasión e infiltración del parénquima hepático. A los pacientes se les efectuó un seguimiento periódico en las consultas de nuestro servicio, donde se realizaron los controles analíticos y las pruebas de imagen según la práctica clínica habitual. El período de seguimiento fue desde la inclusión hasta la última revisión clínica, con fecha límite de enero de 2006, o hasta la aparición del evento estudiado, la muerte del paciente.
En el análisis estadístico se describieron las variables cualitativas mediante porcentajes, comparándose mediante la prueba de la x2, y las variables cuantitativas mediante su media y desviación típica, o por su mediana y rangos, y se realizó la comparación mediante la prueba de la t de Student, o el test de Mann-Whitney si no siguiera una distribución normal. Para valorar los factores asociados con la supervivencia se trazaron curvas de Kaplan-Meier comparadas mediante el test de rangos logarítmicos. Los valores cuantitativos fueron transformados en dicotómicos, según las medidas de tendencia central o por valores clínicamente significativos, para poder realizar su análisis. Los factores con un valor de p < 0,1 se incluyeron como variables independientes en el análisis de regresión de Cox para obtener los factores independientes de mortalidad, y se determinó la presencia de significación estadística con valores de p < 0,05. Para el análisis de los datos se utilizó el programa informático de bioestadística SPSS, versión 12.0, para Windows.
RESULTADOS
Características de los pacientes
Las características basales de los pacientes se muestran en la tabla I. De los 50 pacientes analizados, 42 (84%) eran varones y 8 (16%) mujeres, con una edad media de 65,9 años (rango, 39-83). La proporción varón:mujer fue de 5,2:1. La etiología predominante fue la relacionada con el virus de la hepatitis C (48%) seguida de la etílica (16%). Respecto al grado de función hepática, la mayoría de los pacientes presentaba un grado A de Child-Pugh (n = 29 [58%]). El 46% había presentado previamente una descompensación edemoascítica. El valor medio de MELD fue de 10 puntos (rango, 4-16), lo que demuestra una hepatopatía poco avanzada en la mayoría de los casos.
Características tumorales
En la tabla II se muestran los hallazgos relacionados con el tumor. La lesión fue uninodular en 4 pacientes (8%), multinodular en 27 (54%), e infiltrante o multicéntrico en 19 (38%). El 90% de los tumores tenía un tamaño total mayor de 5 cm. Se encontró una afectación bilobar en 29 pacientes (58%). Respecto a la extensión extrahepática, descubrimos una afectación vascular portal en 17 pacientes (34%), adenopatías de tamaño patológico en la misma proporción y metástasis en 4 pacientes (8%). En 3 pacientes fueron pulmonares y en uno se demostraron metástasis pulmonares y óseas. En un paciente se diagnosticó una trombosis portal aislada, histológicamente maligna, sin observarse en las pruebas de imagen lesiones nodulares en el parénquima hepático pero sí alteraciones que podrían indicar la presencia de un tumor difuso infiltrante. Seis pacientes desarrollaron una trombosis portal maligna tras la desestimación. Se estableció la confirmación histológica del tumor en 30 pacientes (60%). De los 50 pacientes analizados en el momento de la desestimación, según la clasificación BCLC, 5 pacientes se encontraban en un estadio B (10%), 39 en un estadio C (78%) y 6 en un estadio D (12%). Los pacientes que se encontraban en el estadio B fueron desestimados debido a la combinación de diferentes factores, como la edad avanzada, la situación y la extensión del tumor, y la comorbilidad. El 38% había recibido tratamiento previo a su desestimación: 8 pacientes un tratamiento único (4 radiofrecuencia y otros 4 quimioembolización) y 11 pacientes un tratamiento combinado (8 radiofrecuencia, 9 quimioembolización, 3 alcoholización y uno resección quirúrgica). La mediana del nivel sérico de alfafetopro-teína fue de 20,8 ng/ml (rango, 1-43.433), que es la cifra patológica (valor de corte > 12 ng/ml según el laboratorio de nuestro hospital) en el 54% de los pacientes y mayor de 400 ng/ml en el 22%.
Análisis de supervivencia
La mediana de tiempo de seguimiento de los pacientes una vez desestimados fue de 9,2 meses, y de 6 y 12,2 meses para pacientes fallecidos y vivos, respectivamente. En este período, 35 pacientes (70%) habían muerto. Las principales causas de fallecimiento fueron: progresión tumoral en el 30,4%, hemorragia digestiva en el 21,7% y fallo hepático e infecciones en el 13% cada una. La mediana de supervivencia desde la desestimación fue de 9,2 meses (rango, 0,5-32,5). La supervivencia actuarial a 1 y 2 años fue del 46 y el 17,5%, respectivamente (fig. 1). La mediana de supervivencia desde el diagnóstico del CHC fue de 14,7 meses (rango, 1-98).
Fig. 1. Supervivencia actuarial de los 50 pacientes desestimados para tratamiento.
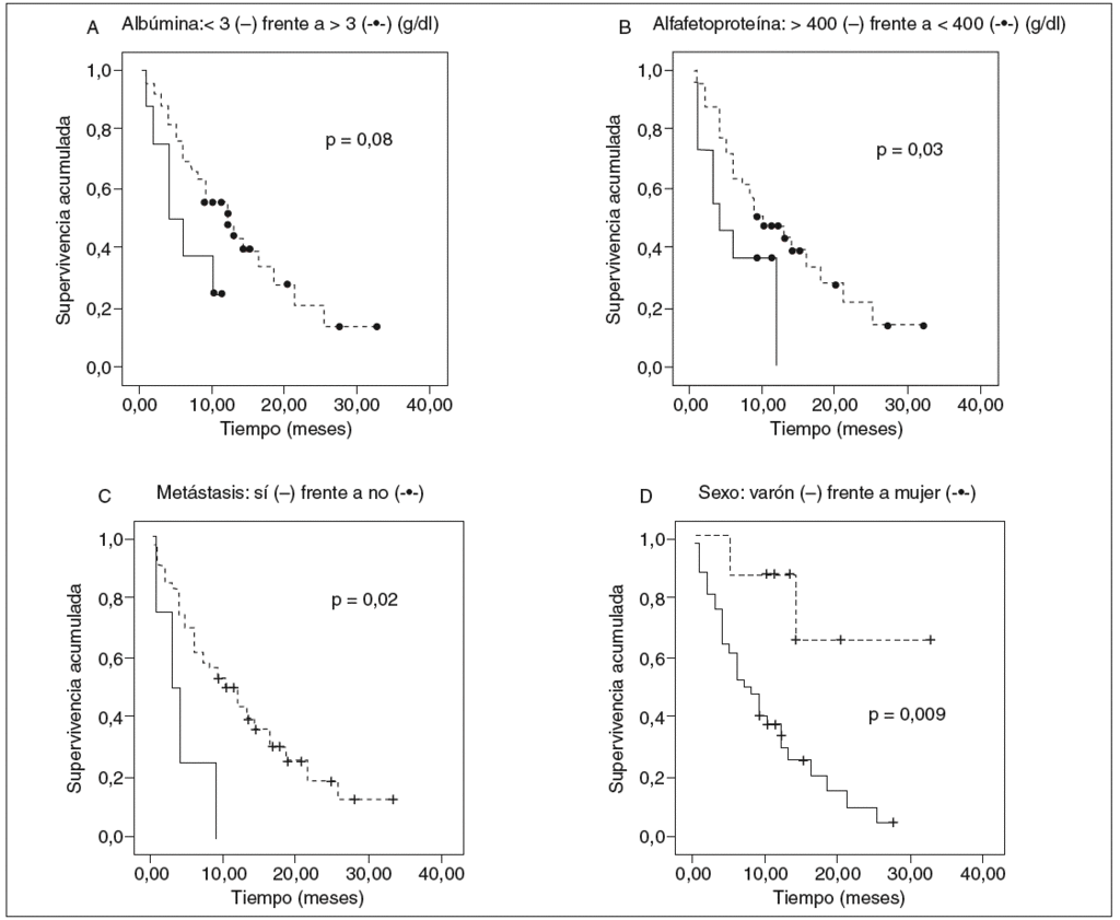
De todas las variables recogidas se analizaron las que pudieran tener valor pronóstico desde el punto de vista clínico en la supervivencia de los pacientes (tablas III y IV). Entre estas variables, las que se asociaron con una mayor mortalidad en el análisis univariado mediante curvas de supervivencia fueron el sexo masculino (7,1 frente a 13,7 meses; p = 0,009), una cifra de alfafetoproteína > 400 ng/ ml (4,1 frente a 9,2 meses; p = 0,03), valores de albúmina sérica < 3 g/dl (4,1 frente a 12,2 meses; p = 0,08) y la existencia de metástasis (3,1 frente a 10,1 meses; p = 0,02) (fig. 2). La realización de tratamiento previo a la desestimación no fue un factor asociado a la mejoría de la supervivencia de los pacientes tras ella, si bien se observa en estos pacientes una mayor supervivencia desde el diagnóstico (p = 0,0001), a expensas de un mayor tiempo de vida entre el diagnóstico del CHC y la desestimación (p = 0,0001).
Fig. 2. Comparación de las curvas de supervivencia, mediante el test de rangos logarítmicos, de los pacientes con carcinoma hepatocelular desestimado para tratamiento según los factores sexo, albúmina, alfafetoproteína y existencia de metástasis.
Mediante análisis multivariado de regresión de Cox se identificaron 2 factores pronóstico independientes de mortalidad: el sexo masculino (odds ratio [OR] = 5,7; intervalo de confianza [IC] del 95%, 1,3-24,8; p = 0,02) y una cifra de albúmina < 3 g/dl (OR = 3,23; IC del 95%, 1,2-8,5; p = 0,018) (tabla V). Casi alcanzó la significación estadística un valor de alfafetoproteína > 400 ng/ml (OR = 2,2; IC del 95%, 0,96-5,2; p = 0,06), aunque se consideró como factor pronóstico, dada la importancia de este marcador en la práctica clínica.
En la figura 3 se muestra la supervivencia de los pacientes según su agrupación en 2 grupos pronósticos. Este análisis se realizó, de cara a valorar si había diferencias clínicamente significativas en la disminución de la supervivencia de nuestros pacientes según el número de factores independientes de mortalidad que presentaban. La supervivencia de los pacientes sin ningún factor pronóstico independiente de mortalidad era claramente superior; solamente 6 pacientes cumplían estas características, por lo que se analizó si no tenían ninguno o un factor, frente a 2 o más, y se determinó que se mantenían las diferencias observadas. Así, los pacientes que no presentaban ninguno o un factor de riesgo (n = 32; mediana de supervivencia, 14,2 meses) tenían una supervivencia significativamente mayor que los que presentaban 2 o 3 factores de riesgo (n = 18; mediana de supervivencia, 4,1 meses) (supervivencia a 1 y 2 años del 56,3 y el 25% frente al 22,1 y el 0%, respectivamente; p = 0,0001).
Fig. 3. Curvas de supervivencia según la presencia de factores pronósticos de mortalidad.
DISCUSIÓN
El CHC es actualmente una de las neoplasias más frecuentes en nuestro medio, y tiene un mal pronóstico en los pacientes que no son candidatos a tratamientos con intención curativa. Desgraciadamente, a pesar de la realización de un adecuado cribado del CHC, un elevado porcentaje de pacientes se diagnostican en fases avanzadas de la enfermedad. Aunque la aplicación de tratamientos curativos es la mejor opción para los pacientes con CHC, la aparición de recidiva o recurrencia tumoral no es desdeñable, y en ocasiones es de tal magnitud que impide el retratamiento de las lesiones. En estos casos terminales sólo se puede aplicar en su mayoría tratamiento sintomático paliativo. Pero incluso dentro de este grupo de pacientes sin posibilidad terapéutica se pueden diferenciar subgrupos con un buen pronóstico a medio plazo, tal como demostramos en nuestro estudio, aunque la aparición de nuevos tratamientos en un futuro próximo podría generar cambios favorables para estos pacientes.
Si bien hemos podido encontrar factores predictivos independientes de mortalidad dentro del grupo de pacientes con CHC no candidatos a tratamiento activo, el estudio presenta ciertas limitaciones que deben comentarse. El tamaño muestral es pequeño, por lo que quizás la potencia del estudio no sea la deseada; además, el estudio es de carácter retrospectivo, pero el realizarlo sobre variables objetivas, recogidas de forma protocolizada en la historia del paciente en nuestra unidad, ha facilitado una alta calidad de los datos obtenidos. Asimismo, el número de eventos fue alto (35 pacientes fallecidos), por lo que la inclusión de factores en el estudio multivariado no fue excesivo; se probaron diferentes modelos (según las variables estadística y clínicamente significativas) hasta seleccionar el actual, que era el que mejor se adaptaba a los objetivos del estudio. Por último, cabe comentar que ésta es una población ya seleccionada a partir de una clasificación pronóstica-terapéutica, por lo que nuestro objetivo no fue crear un nuevo modelo de estadificación en pacientes con CHC, ni tampoco podemos valorar o compararla con otras clasificaciones creadas a partir de muestras no seleccionadas de pacientes con CHC.
En nuestro estudio la edad media de los pacientes fue de 65,9 años, similar a de otros trabajos realizados en nuestro medio4,5. Curiosamente, en estudios realizados en países orientales se describen casos de pacientes que presentan CHC en edades más tempranas, como en los trabajos de Nagasue et al6 (mediana de edad de 50 años), Yeo et al7 (57 años), Pawarode et al8 (50,9 años) o Sakar et al9 (58 años). Estas diferencias tienen un origen claro en la alta proporción de pacientes incluidos con infección por el virus de la hepatitis B, que tiene un elevado potencial oncogénico y una alta prevalencia en dichos países, con primoinfección desde el nacimiento o la infancia. Por otro lado, encontramos una preponderancia del sexo masculino (84%) similar al resto de estudios. En este aspecto se ha investigado sobre el papel que pudieran desempeñar los receptores de las hormonas sexuales en la evolución y el pronóstico de los pacientes con CHC17. Así, Villa et al demostraron que la presencia de una variante de receptores estrogénicos condicionaba una peor evolución con una mayor mortalidad que los CHC que presentaban la forma salvaje, en pacientes con un CHC inoperable10. En nuestro estudio se identificó el sexo masculino como una variable independiente de mortalidad, al igual que en la reciente comunicación de Benvegnu et al11 y en el trabajo de Sutton et al12.
La etiología predominante fue la relacionada con el virus de la hepatitis C, actualmente la causa principal de hepatopatía en nuestro medio, junto con el alcohol. Más de la mitad de los pacientes tenía un grado A de Child-Pugh, lo que demuestra la presencia de una hepatopatía poco evolucionada, al igual que en los estudios de Yeung et al13 y de Llovet et al5. El valor de MELD fue asimismo bajo en la mayoría de los pacientes, con una puntuación < 15 en el 84% de los casos. El valor de albúmina $ 3 g/dl, como expresión de funcionalidad hepática, y también quizás de la situación nutricional de estos pacientes, se correlacionó de manera independiente con la supervivencia en el análisis multivariado. Este resultado también es compartido por Pawarode et al8 y Lerose e al16. No encontramos ninguna asociación entre una mayor supervivencia y la bilirrubina, el grado de Child-Pugh o la presencia de ascitis, al igual que otros autores4,7,10,11,13,14.
Respecto a las características tumorales, a pesar de que los pacientes tenían una buena función hepática, en la mayoría de los casos la extensión tumoral era grande. Así, el 90% presentaba masas tumorales mayores de 5 cm, con una afectación bilobar en más de la mitad de los casos y un patrón infiltrante o multicéntrico en un tercio de ellos. Estos datos son similares a los encontrados por autores occidentales4,5. En nuestro trabajo encontramos una asociación entre la presencia de metástasis y una mayor mortalidad en el estudio univariado, sin alcanzar significación en el estudio multivariado, posiblemente debido a su tamaño muestral y al número de pacientes que habían presentado el evento. No encontramos relación entre el tamaño tumoral, el patrón tumoral o el número de nódulos con una mayor mortalidad. Sólo 3 estudios han demostrado dicha asociación como factores independientes6,11,14.
Llama la atención que sólo el 22% de los pacientes tuviera cifras de alfafetoproteína > 400 ng/ml, valor que clásicamente ha sido punto de corte, junto con las pruebas de imagen típicas, para considerar un nódulo hepático como CHC, y que el 46% tuviera cifras normales. Ello convierte a la alfafetoproteína en un marcador muy específico pero poco sensible, sobre todo en la detección de tumores en fases precoces. A pesar de todo, la determinación de la alfafetoproteína sigue realizándose tanto para la detección como el seguimiento de los pacientes con CHC. En este sentido, los datos de nuestro grupo (no publicados) demuestran que las cifras de alfafetoproteína > 400 ng/ml se asocian con la multicentricidad o un patrón infiltrativo tumoral. Tangkijvanich et al15 demostraron en una amplia serie que las cifras elevadas de este marcador se correlacionaban con una mayor extensión tumoral y la presencia de trombosis portal. También observaron que los pacientes con cifras de alfafetoproteína > 400 ng/ml presentaban significativamente una menor supervivencia que los pacientes con cifras inferiores, al igual que en nuestro trabajo. Otros autores también han encontrado los valores de alfafetoproteína como marcador pronóstico independiente de supervivencia. Así, Benvegnu et al11 y Yeung et al13 observaron que cifras mayores de 400 ng/ml implicaban una menor supervivencia, aunque en otros trabajos la cifra de corte para alcanzar la significación es diferente o bien está expresada en otras unidades4,9,16.
En nuestro estudio la supervivencia actuarial al año y a los 2 años fue del 46 y el 17,5%, respectivamente, con una mediana de supervivencia de 9,2 meses. Estos datos son mejores que los obtenidos por otros autores4,6-8,12-14, aunque difieren de manera significativa respecto a las cifras de supervivencia de los trabajos de Lerose et al16 (mediana de supervivencia de 18 meses), Villa et al10 (22 meses), Llovet et al5 (17 meses) o Sakar et al9 (17 meses), lo que puede deberse a los distintos criterios para la inclusión de los pacientes.
Si bien en nuestro estudio no hemos podido valorar la calidad de vida del paciente, al ser un estudio de carácter retrospectivo, cabe destacar que recientemente se ha descrito la asociación entre la calidad de vida basal comunicada por el paciente mediante el cuestionario EORTC-C30 y una mayor supervivencia7. También un menor valor de performance status se ha demostrado como un valor pronóstico de supervivencia5,9.
El 38% de los 50 pacientes analizados había recibido tratamiento previo a su desestimación: 6 recibieron tratamiento exclusivamente con intención curativa (radiofrecuencia y alcoholización), 6 con intención inicialmente curativa, pero posteriormente recibieron quimioembolización paliativa por progresión tumoral, y 7 tratamiento inicial con quimioembolización. Aunque se observó una mayor supervivencia de los pacientes tratados desde el diagnóstico, ésta dependía de un mayor tiempo entre el diagnostico del CHC y la desestimación, sin diferencias significativas en la supervivencia entre los pacientes tratados y no tratados una vez que se había producido su desestimación. Esta observación sugiere que una vez alcanzado un estadio tumoral avanzado, los tratamientos previos no tienen efecto sobre la evolución del paciente. Si bien, dadas las características metodológicas del presente estudio, no podemos estimar si el tratamiento aumentó la supervivencia de los pacientes tratados, ya que éstos generalmente presentaban un estadio inferior cuando lo fueron y, por tanto, no comparable con los no tratados. El efecto de la realización de tratamiento sobre el pronóstico de los pacientes con CHC lo han evaluado otros autores, que encontraron una menor mortalidad en el grupo de pacientes tratados4,9,12,14,16, aunque difieren respecto a nuestro estudio en los distintos tipos de tratamiento empleados. Así, por ejemplo, Calvet et al14 utilizan tratamiento quimioterápico en la mayoría de los pacientes tratados en su serie y resección quirúrgica o alcoholización en un menor porcentaje, y constatan un incremento de la supervivencia sólo en el estudio univariado. A pesar de todo, este trabajo se realizó años antes de la aparición de estudios controlados que analizan la supervivencia de las diferentes modalidades terapéuticas del CHC. El trabajo que más se aproxima a los tratamientos empleados en nuestro estudio es el de Sakar et al9, que utiliza radiofrecuencia, alcoholización y quimioembolización en el 60% de los pacientes, aunque no indica el porcentaje de pacientes tratados con cada modalidad.
Por último, hemos podido reunir a estos pacientes en 2 grupos, con un pronóstico claramente diferente según la existencia de ninguno o un factor pronóstico de mortalidad respecto a los que presentan más de un factor. Esta diferencia puede establecerse fácilmente con parámetros obtenidos en la práctica clínica y, por tanto, aplicables a nuestra labor diaria.
En conclusión, el CHC es un tumor que incluso a pesar de la realización de un eficaz cribado periódico para la detección en estadios iniciales, presenta un elevado porcentaje de pacientes con un diagnóstico en fases avanzadas y con un pronóstico infausto a corto plazo. Por otro lado, muchos pacientes que se someten a tratamiento no quirúrgico con intención curativa presentan una recidiva o una progresión tumoral. En ambos grupos de pacientes, una vez desestimados los tratamientos disponibles, se puede estimar el pronóstico de la enfermedad con variables clínicas, encontrando subgrupos de buen y mal pronóstico a corto-medio plazo.
EN MEMORIA
A nuestro compañero Leandro Santos Castro, que falleció durante la redacción del presente artículo, al que nunca olvidaremos y mantendremos en nuestro recuerdo.












