We investigate bronchopulmonary colonization patterns in Spanish people with CF (pwCF), gathering clinical, demographic, and microbiological data to supplement nine years of registry information, comparing 2021 findings with a similar multicenter study conducted in 2013.
MethodsSixteen CF units from 14 hospitals across Spain participated, each randomly recruiting around 20 patients. Patients provided sputum samples for culture. The clinical, demographical, microbiological, and treatment data from the previous year were recorded.
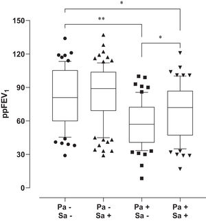
ResultsOverall, 326 patients (48.5% females) were recruited: 185 adult and 141 pediatrics, with a median age [q3–q1] of 30 [38–24] and 12 [16–6] years, respectively. p.Phe508del mutation was present in 30.6% and 46.4% of patients with homozygosis or heterozygosis, respectively. Median FEV1 (%) was significantly lower in adults (62%, range 75–43%) compared with pediatrics (90%, range 104–81%) (p<0.001). Pancreatic insufficiency was observed in 77.3%, carbohydrate metabolism alteration in 27.3%, and CF-related diabetes in 19.6% of patients. Lower prevalence of Staphylococcus aureus and Pseudomonas aeruginosa colonization were noted compared to 2013, along with a significantly lower correlation in lung function among pwCF colonized by P. aeruginosa (p<0.001). Half of pwCF (51%) exhibited a single pathogen in culture, two in 30%, and three or more in 2.4%. Co-colonization of P. aeruginosa and S. aureus (36.1%) was the most prevalent combination. High resistance rates were observed in P. aeruginosa and methicillin resistant S. aureus isolates.
ConclusionsWe provide a valuable and representative current insight into the observed evolution in the clinical, demographic, and microbiological aspects in recent years among pwCF in Spain.
Estudio de los patrones de colonización broncopulmonar en personas con fibrosis quística (pcFQ), recopilando datos clínicos, demográficos y microbiológicos para comparar los hallazgos del 2021 con un estudio multicéntrico similar realizado en 2013.
MétodosParticiparon 16 unidades de FQ de 14 hospitales españoles, reclutando aleatoriamente alrededor de 20 pacientes cada una. Los pacientes proporcionaron muestras de esputo, así como datos clínicos, demográficos, microbiológicos y de tratamiento del año anterior.
ResultadosSe reclutaron 326 pacientes (48,5% mujeres): 185 adultos y 141 pediátricos, con edad media (q3-q1) de 30 (38-24) y 12 (16-6) años, respectivamente. La mutación p.Phe508del estaba en 30,6% y 46,4% de los pacientes en homocigosis o heterocigosis, respectivamente. El FEV1 (%) medio fue menor en adultos (62% [75%-43%]) comparado con los pediátricos (90% [104%-81%]) (p<0,001). El 77,3% de los pcFQ presentaba insuficiencia pancreática, 27,3% alteración del metabolismo de los carbohidratos y el 19,6% diabetes asociada a la FQ. Hubo menor prevalencia de colonización por Staphylococcus aureus y Pseudomonas aeruginosa en comparación con 2013, y una correlación significativamente menor en la FEV1 entre los pcFQ colonizados por P. aeruginosa (p<0,001). El 51% de los pcFQ presentaron un patógeno en cultivo, dos el 30% y tres o más el 2,4%. La co-colonización de P. aeruginosa y S. aureus (36,1%) fue la más prevalente. Detectamos altas tasas de resistencia en P. aeruginosa y S. aureus resistente a meticilina.
ConclusionesProporcionamos una visión actual representativa de la evolución observada en los aspectos clínicos, demográficos y microbiológicos en los últimos años entre los pcFQ en España.
Artículo
Socio de la Sociedad Española de Enfermedades Infecciosas y Microbiología Clínica

Para acceder a la revista
Es necesario que lo haga desde la zona privada de la web de la SEIMC, clique aquí








