La asociación de factores de riesgo cardiovascular es conocida desde hace muchos años. En 1923, Kylin describió la asociación de hipertensión arterial, hiperglucemia y gota. En 1936, Himsworth propuso la existencia de dos tipos de diabetes, la sensible y la resistente a la insulina. En 1956, Vague describió un tipo de obesidad androide asociada a hiperuricemia y riesgo cardiovascular. Los estudios epidemiológicos, como el realizado en la población de Framingham, han demostrado que los factores de riesgo cardiovascular en la mayoría de las ocasiones se presentan agrupados. En 1988, Reaven expuso la asociación de intolerancia a la glucosa, hipertensión, hipertrigliceridemia y disminución del colesterol de las lipoproteínas de alta densidad (cHDL) con el nombre de síndrome X, destacando su impacto en la morbilidad y mortalidad cardiovascular. Posteriormente, se han añadido otros componentes como la microalbuminuria, la esteatosis hepática no alcohólica, alteraciones procoagulantes y proinflamatorias, la hiperferritinemia y la hiperhomocisteinemia, entre otras. Sin embargo, ha sido la obesidad visceral el componente que se ha incorporado como más definitorio. El síndrome ha recibido diferentes acepciones, como síndrome de resistencia a la insulina, síndrome plurimetabólico, cuarteto de la muerte, síndrome dismetabólico cardiovascular y más recientemente, propuesto por la Organización Mundial de la Salud (OMS), síndrome metabólico (SM). Su importancia clínica y epidemiológica es la de ser un precursor identificable y corregible de la diabetes tipo 2 y de la enfermedad cardiovascular1. El SM es complejo, poligénico, multifactorial en su origen, y los criterios de definición distan de estar internacionalmente consensuados.
En un reciente informe conjunto de la American Diabetes Association (ADA) y la European Association for the Study of Diabetes (EASD), se efectúa una serie de puntualizaciones sobre el concepto de SM2. Este informe recuerda que el término "síndrome" abarca un conjunto de síntomas y signos que conforman un proceso morboso y suelen obedecer a un proceso fisiopatológico único, y cuya combinación confiere un riesgo diferente del ocasionado por su suma. En relación con estos aspectos, establece determinadas críticas al reconocimiento como entidad del denominado SM y al valor clínico de su diagnóstico:
1. Los criterios diagnósticos pueden ser ambiguos o incompletos debido a una definición, que no siempre es racional, de los valores de los diversos parámetros.
2. No hay una opinión unívoca sobre la insulinorresistencia como mecanismo común fisiopatológico subyacente. En este sentido, la inclusión de la diabetes en la definición puede ser cuestionable.
3. No disponemos de razones suficientes para incluir o excluir otros factores de riesgo cardiovascular en las posibles definiciones.
4. El riesgo cardiovascular es variable y dependería del riesgo específico de los factores presentes, por lo que el riesgo asociado al SM podría no ser superior al atribuible a la suma de sus componentes.
5. El tratamiento del SM no difiere del tratamiento que pueda requerir cada uno de sus componentes.
Por lo tanto, y hasta que nuevos estudios arrojen luz sobre algunos de estos problemas, el informe de la ADA/EASD ha formulado las siguientes propuestas:
Los adultos con un factor de riesgo cardiovascular mayor deben ser evaluados para descartar la presencia asociada de otros factores.
Establecer la etiqueta diagnóstica de SM puede crear la impresión de que el riesgo cardiovascular es mayor que el de sus componentes o de otros factores de riesgo.
Todos los factores de riesgo cardiovascular deben ser tratados de forma individual e intensa y no debería asumirse como tratamiento unificador exclusivo del SM el empleo de fármacos que reducen la insulinorresistencia.
Aunque conceptualmente se consideran los componentes del SM en su conjunto, y por tanto su abordaje tanto diagnóstico como terapéutico debería ser integral, es muy probable que exista una relación causal entre ellos. Es decir, mientras que algunos de los componentes pueden ser la causa del síndrome, otros probablemente sean la consecuencia de los primeros. Aún más, es posible que exista una secuencia temporal en la aparición de los distintos elementos, según sea la relación causa/efecto entre ellos. Por otra parte, se ha subrayado una fuerte agregación familiar en el SM, y existen grupos étnicos con mayor frecuencia de individuos afectados que en otros grupos expuestos al mismo ambiente. Todo ello indica una compleja interacción entre factores ambientales y una susceptibilidad genética variable3. Como se ha señalado, la mayoría de los factores de riesgo relacionados con la enfermedad cardiovascular forman parte de la definición del SM, y al combinarse en un mismo sujeto el riesgo se potencia de forma significativa, tal y como han puesto de relieve varios estudios epidemiológicos4,5.
En España se dispone de datos parciales sobre la prevalencia exacta del SM6-10. Sin embargo, se tiene la percepción de que se está tratando a un gran número de pacientes que probablemente tengan un SM no identificado que está enmascarado por otros procesos patológicos. Por otro lado, la evolución del SM ligado a una u otra enfermedad predominante, como la obesidad o la hipertensión arterial, a título de ejemplo, puede ser diferente y estar modificada por ciertos tratamientos utilizados en estos pacientes. Los pacientes con SM constituyen, en definitiva, un grupo preferente en la prevención y el tratamiento del riesgo cardiovascular y de la diabetes tipo 2, y el tipo de intervención podrá realizarse en el ámbito de la prevención primaria o en el de la secundaria, dependiendo del estado evolutivo del paciente.
Elementos definitorios del síndrome metabólico
La obesidad y la resistencia a la insulina (RI) son los componentes claves del SM. La obesidad, en especial la abdominal, se asocia estrechamente con todos los componentes del SM. El tejido adiposo es la fuente de diversas moléculas potencialmente patógenas que conducen a alteraciones en el perfil lipídico, hipertensión arterial e insulinorresistencia, así como a un estado proinflamatorio reconocido clínicamente por el aumento de la concentración plasmática de la proteína C reactiva (PCR)11. De esta forma y aunque la susceptibilidad genética es esencial, el SM es infrecuente en ausencia de obesidad e inactividad física12.
La RI se ha considerado como el hecho central en la patogenia del SM y el nexo entre los distintos elementos que lo componen, si bien los mecanismos que regulan esta relación no están claros. La naturaleza de la asociación entre la RI y cada uno de los componentes del SM parece ser heterogénea, ya que alguno de ellos, como la obesidad, se regula de forma independiente de la RI; otros, como la dislipemia aterogénica y el estado proinflamatorio, se asocian fuertemente, y la relación no es tan potente con la hipertensión arterial o el estado protrombótico12.
Los términos SM y síndrome de RI se han emplea do de forma indistinta. Sin embargo, no son sinónimos y se trata de diferentes enfoques de una misma situación clínico-patológica. La RI no es una entidad nosológica, sino un estado fisiopatológico que favorece la aparición de varias alteraciones que se relacionan con un mayor riesgo de ciertas enfermedades13. La RI no desemboca necesariamente en los factores de riesgo o enfermedades relacionadas con el SM y éstos pueden aparecer, asimismo, en ausencia de RI. El concepto de SM es una aproximación clínica cuyo sentido es detectar situaciones que induzcan a realizar cambios en el estilo de vida para reducir el riesgo de aparición de enfermedad cardiovascular y diabetes13. Se trata en definitiva de una herramienta diagnóstica.
Constituyentes del síndrome metabólico
El concepto de SM se enmarca en la asociación de determinados factores de riesgo que propenden al desarrollo de complicaciones cardiovasculares y que reconocen como nexo patogénico la presencia de RI-hiperinsulinemia. No obstante, la relación entre RI y los citados factores de riesgo puede resultar más o menos evidente, y está modulada por la edad y los factores genéticos12,14. El concepto de síndrome de RI no debe ser homologado al de SM. Partiendo de una alteración en la actividad insulínica en diferentes órganos, comprendería un conjunto de fenómenos entre los que se incluirían las complicaciones cardiovasculares. Se trataría de una concepción más amplia, de carácter más fisiopatológico que clínico-diagnóstico13, así que es un elemento más del síndrome de RI (tabla 1).
Los componentes definitorios del SM son la obesidad, la dislipemia aterogénica, la hipertensión y la RI-intolerancia a la glucosa (tabla 2). Otros componentes asociados son el estado proinflamatorio y el estado protrombótico. Estos factores adicionales son consecuencia de alteraciones fisiopatológicas, estableciéndose tres potenciales elementos patogénicos en el SM11: la obesidad y las alteraciones del tejido adiposo, la RI y las alteraciones del metabolismo, y las modificaciones moleculares (moléculas de origen hepático, vascular e inmunitario, cambios hormonales, inflamación).
Obesidad
La obesidad contribuye a la hipertensión arterial, al descenso del cHDL, y al aumento de los triglicéridos, así como a la aparición de RI. La obesidad abdominal se correlaciona mejor con estos factores de riesgo metabólicos. Aunque es un aspecto aún debatido, parece evidente que, junto con el aumento de la grasa corporal, es el depósito de predominio abdominal o visceral lo que se acompaña fundamentalmente de un efecto aterogénico15. Algunos autores, al considerar los elementos integrantes del SM, excluirían del conjunto la obesidad, a la que considerarían un elemento causal de las otras alteraciones (dislipemia, disglucosis, hipertensión arterial, estado proinflamatorio y protrombótico)15,16. El tejido adiposo, fundamentalmente el visceral, libera una serie de mediadores que estimulan la aparición de estas alteraciones, como los ácidos grasos no esterificados (AGNE), las citocinas, la resistina, la adiponectina, la leptina y el inhibidor del activador del plasminógeno (PAI-1). En este sentido, el exceso de AGNE y citocinas induciría la aparición de RI12.
A diferencia de otros componentes del SM que son consecuencia, al menos en parte, de la RI, la obesidad visceral no sólo no es una consecuencia, sino que puede estar en la etiopatogenia de la RI-hiperinsulinemia y favorecer su aparición13. La mayoría de los individuos con un índice de masa corporal (IMC) > 30 presentan hiperinsulinemia posprandial y una relativamente baja sensibilidad a la insulina12. En algunas poblaciones como las del sur de Asia, hay una notable RI incluso con un IMC < 25, lo cual puede explicar el exceso de prevalencia de diabetes tipo 2 y de enfermedad cardiovascular12. La fuerte conexión entre la obesidad y los factores de riesgo ha llevado al Adult Treatment Panel III (ATPIII) a definir el SM esencialmente como una agrupación de complicaciones metabólicas acompañantes de la obesidad12.
Insulinorresistencia. Intolerancia a la glucosa
La RI se encuentra en la raíz del desarrollo de los componentes del SM, al tiempo que per se, parece propiciar la aparición de complicaciones cardiovasculares17. Su persistencia, seguida de un fracaso de la célula beta pancreática, origina a largo plazo la intolerancia glucídica o la franca diabetes mellitus tipo 2, también factor de riesgo independiente de complicaciones cardiovasculares. La RI y su consecuencia, el hiperinsulinismo, son causa directa en mayor o menor medida de diversos factores de riesgo metabólicos, como el aumento de los triglicéridos plasmáticos, el descenso de cHDL, la hipertensión arterial o la hiperglucemia. Aun así, el SM puede haberse producido ya 10 años antes de la detección de las alteraciones del metabolismo de la glucosa12.
La ADA18 propuso el término "alteración de la glucosa en ayunas" para los valores de glucemia entre 110 y 125 mg/dl, y hay una amplia evidencia que avala que cuanto mayor es la cifra de glucosa en ayunas, mayor es la probabilidad de desarrollar una diabetes tipo 2. No está claro que la alteración de la glucosa en ayunas identifique a los individuos con RI, ya que puede no asociarse a ella13. En este sentido, la intolerancia a la glucosa está más claramente asociada a la RI, pues es un parámetro 3 veces más sensible para identificar a los individuos insulinorresistentes. Los resultados del estudio DECODE19 indican que la prueba de tolerancia a la glucosa es superior a la de glucemia en ayunas para identificar a los pacientes con RI y predecir el riesgo cardiovascular.
Hipertensión arterial
La presión arterial elevada se asocia de forma significativa con la obesidad y ocurre comúnmente en personas con insulinorresistencia. Es por ello que se suele considerar que la hipertensión arterial es un factor de riesgo metabólico, y aunque algunos investigadores consideran que la hipertensión es menos metabólica que otros componentes del SM, se ha decidido su inclusión como un componente de éste12. Parece ser el factor menos relacionado con la RI y los demás componentes del SM, que están sometidos a múltiples influencias. Meigs et al20 han comprobado en análisis factorial de los componentes del SM como éstos se agrupan en varios clusters, encontrándose la hipertensión en asociación simple con la obesidad. Existe una alta prevalencia de RI entre los individuos hipertensos. Incluso los familiares de primer grado de pacientes hipertensos esenciales son relativamente insulinorresistentes, al compararlos con un grupo control. De todas formas, no más del 50% de los individuos hipertensos esenciales tienen RI, pero son estos últimos los que se encuentran en la categoría superior de riesgo de enfermedad cardiovascular13.
Dislipemia aterogénica
Incluye diversas alteraciones, entre las que cabe destacar el aumento de triglicéridos, la disminución de partículas de cHDL (en particular HDL2), la presencia de lipoproteínas de baja densidad (LDL) pequeñas y densas, la elevación de apolipoproteína B e hiperlipemia posprandial21. La dislipemia aterogénica del SM es probablemente el factor más estrechamente relacionado con la RI y el riesgo cardiovascular. Es característica la presencia de cHDL bajo e hipertrigliceridemia. Estas alteraciones se asocian fuertemente con el aumento de partículas LDL pequeñas y densas y la acumulación posprandial de lipoproteínas remanentes ricas en triglicéridos, hechos que se han relacionado con incremento en el riesgo cardiovascular13.
Estado inflamatorio
El estado proinflamatorio de estos pacientes se puede detectar por la elevación de citocinas, como el factor de necrosis tumoral alfa (TNFa) y la interleucina (IL) 6, así como reactantes de fase aguda, como la PCR y el fibrinógeno. De los múltiples mecanismos que elevan la PCR, uno de ellos, la obesidad, se debe a que el exceso de tejido adiposo libera citocinas inflamatorias que pueden originar mayores concentraciones de PCR12,22.
Parece comprobada la frecuente asociación de marcadores inflamatorios con la presencia de SM. Se han descrito, entre otras, las siguientes alteraciones: incremento plasmático de PCR, citocinas proinflamatorias (IL-6 y TNFa), amiloide sérico A y moléculas de adhesión, junto con disminución de la adiponectina y la IL-1023. Ridker et al24, en el seguimiento de una cohorte de 14.179 mujeres durante 8 años, constatan una relación directa entre el número de componentes del SM y la tasa de PCR, la cual se convierte a su vez en un importante predictor de la incidencia de complicaciones cardiovasculares. Se ha propuesto modificar los criterios diagnósticos para el SM incluyendo entre ellos los valores de PCR altos23. No obstante, esta elevación se presenta con frecuencia en pacientes que tienen 3 o más criterios diagnósticos en los cuales es habitual la presencia de RI, y por tanto la PCR elevada pudiera no ser independiente de ésta25.
Estado protrombótico
El estado protrombótico se caracteriza por determinadas alteraciones que, por una parte, disminuyen el proceso fibrinolítico y, por otra, favorecen la coagulación24. Así, la fibrinólisis parece estar inhibida por un aumento del PAI-1 y la coagulación se ve favorecida por un incremento de fibrinógeno, de la actividad del factor de von Willebrand y del factor VIII coagulante. En circunstancias de hipertrigliceridemia posprandial, también es posible hallar un aumento de actividad del factor VII. Los pacientes con SM tienen concentraciones significativamente más altas de PAI-1 y fibrinógeno que la población sin este síndrome, y esta fibrinólisis alterada conlleva un aumento de la enfermedad cardiovascular26. El fibrinógeno, reactante de fase aguda semejante a la PCR, aumenta en respuesta a un estado de citocinas elevadas. De este modo, el estado protrombótico y proinflamatorio pueden estar metabólicamente interconectados.
Criterios diagnósticos de síndrome metabólico
Criterios para el diagnóstico
Al perfilar el diagnóstico de SM han surgido diversos criterios. Los más conocidos son los propuestos por la Organización Mundial de la Salud (OMS)27 (tabla 3) y por el (EGIR)28 (tabla 4), ambos en 1999, y por el ATP III del National Cholesterol Education Program en 200129 (tabla 5). Con posterioridad, en 2003, han surgido las recomendaciones de la American Association of Clinical Endocrinologists30, con el fin de tratar de identificar los factores o circunstancias propicias para detectar la RI (tabla 6). Más recientemente, en 2005, la International Diabetes Federation ha establecido unos criterios en los que la obesidad visceral es una condición sine qua non para el diagnóstico31 (tabla 7).
Organización Mundial de la Salud
La OMS32 señala como principal objetivo identificar el riesgo cardiovascular. La RI fue el primer criterio descrito y para su medición se empleó el clamp euglucémico hiperinsulémico y la sobrecarga oral de glucosa. El concepto de obesidad fue definido por un IMC >= 30 o un índice cintura/cadera > 0,9 en varones y > 0,85 en mujeres. Aunque el índice cintura/cadera puede aportar una información independiente del IMC, se sabe que el perímetro de la cintura se correlaciona mejor con la grasa visceral. Esta clasificación es sensible en la detección de la RI, aunque no parece que haya diferencias significativas con otros criterios en cuanto a su especificidad33.
Grupo Europeo para el Estudio de la Resistencia a la Insulina
El principal objetivo fue valorar la existencia de la RI. Los criterios del EGIR34 suponen una modificación de los de la OMS. El clamp hiperinsulinémico indicado por la OMS fue considerado poco práctico para estudios epidemiológicos y se recomendó el uso de un índice indirecto de RI, el HOMA, que utiliza sólo valores de glucemia e insulinemia basales. Se recomienda un valor de triglicéridos de 175 mg/dl, más elevado que el señalado por el ATPIII, pero más sensible para la predicción de diabetes.
Adult Treatment Panel III
El principal objetivo del ATPIII29 fue identificar el riesgo de enfermedad cardiovascular en los individuos con SM, y sus criterios son aplicables con facilidad en la clínica diaria y están basados en la evidencia. Esto lo diferencia de las anteriores clasificaciones, que tienen en cuenta criterios más fisiopatológicos. La obesidad abdominal es el primer criterio incluido, y su presencia refleja la prioridad dada a ésta como contribuyente al desarrollo del SM. No se requiere para el diagnóstico la demostración explícita de RI, aunque la mayoría de los pacientes que reúnen los criterios del ATPIII van a ser insulinorresistentes. Por otro lado, los criterios diagnósticos que se establecen en esta clasificación no son útiles para identificar a los individuos con RI, dada su baja sensibilidad. Esta menor sensibilidad podría deberse, al menos en parte, a la utilización de valores de glucemia basal en lugar de una sobrecarga oral de glucosa, hecho que incrementaría la prevalencia del SM en un 5%12. Esta prueba no está incluida como diagnóstica de la alteración del metabolismo de la glucosa por su coste e inconvenientes en la práctica clínica.
La obesidad generalizada definida por el IMC se asocia al SM y a la RI, pero es la grasa abdominal definida por el perímetro de la cintura lo que se correlaciona más estrechamente con los componentes del SM12. A pesar de esto, hay controversia sobre cuál de las dos determinaciones, el IMC o el perímetro de la cintura, es más útil en la práctica clínica13.
El peso y la talla son medidas habituales en la práctica asistencial, fáciles de determinar, así como el cálculo del IMC por tablas simples. En contraste, la medida del perímetro de la cintura abdominal exige unas pautas que hacen difícil su reproducibilidad y precisión en los diferentes centros. Por ello es preciso proporcionar una evidencia firme de que el perímetro de la cintura abdominal es más sensible que el IMC para identificar a los individuos con RI o con riesgo incrementado de enfermedad cardiovascular13. Ambas medidas tienen una alta correlación entre los 20.000 participantes del National Health and Nutrition Examination Survey35, sin diferenciarse en distintos subgrupos, atendiendo al sexo, la edad o la raza.
En cualquier caso, el nivel de exceso de adiposidad a partir del cual se desarrollan estas consecuencias metabólicas es mucho menor en grupos étnicos no caucásicos, como ocurre en las poblaciones asiáticas36. Esto significa que se deberían ajustar los puntos de corte para el perímetro de la cintura propuestos por el ATPIII a los distintos grupos étnicos, aspecto que conlleva una gran dificultad13.
No se incluye la microalbuminuria como en la clasificación de la OMS, ya que en personas no diabéticas es poco frecuente.
Algunas peculiaridades derivadas del estudio comparativo de los diversos criterios han justificado, al menos en parte, la mayor frecuencia de uso hasta la actualidad de los criterios propuestos en el ATPIII:
El criterio del ATPIII es más sencillo de valorar, al no precisar la realización de técnicas o mediciones analíticas no habituales: criterio de la OMS (sobrecarga oral de glucosa/clamp euglicémico hiperinsulinémico/determinación de microalbuminuria) o criterio EGIR (insulinemia).
Según el criterio EGIR, no se incluiría en el SM a los pacientes diabéticos.
Conforme al criterio del ATPIII, para calificar a un individuo como afectado de SM no es necesario que presente alteración del metabolismo hidrocarbonado, datos de RI (OMS) o hiperinsulinismo (EGIR). Comparados los criterios de la OMS y del ATPIII, en sujetos no diabéticos en los que se ha valorado la insulinosensibilidad, se ha observado que las personas diagnosticadas según el segundo criterio muestran menor frecuencia de RI, factor primario en la patogenia del SM.
En el criterio del ATPIII se hace especial hincapié en la importancia de la dislipemia, al considerar factores de riesgo independientes la hipertrigliceridemia y la disminución de los valores de cHDL (en los criterios de la OMS y del EGIR, la concomitancia de estas dos alteraciones constituye un factor único).
En los criterios del EGIR y del ATPIII no se considera el IMC, sino exclusivamente la distribución abdominal del depósito graso (medición del perímetro de la cintura), dato este último en la línea de adjudicar importancia a la presencia del binomio "cintura hipertrigliceridémica" como factor expresivo del potencial aterogénico.
No obstante, también se debe señalar determinadas críticas que se han formulado a la hora de analizar los criterios propuestos por el ATPIII:
La medición del perímetro de la cintura abdominal puede presentar dificultades metodológicas, y a veces es difícil reproducirla.
Los puntos de corte para considerar que hay obesidad abdominal mediante la medida de la circunferencia abdominal deben adaptarse a cada grupo étnico, y no se puede universalizar las propuestas por el ATPIII: 102 cm (varón) y 88 cm (mujer).
La consideración exclusiva de la valoración de la glucemia basal, prescindiendo de la sobrecarga oral de glucosa, puede dejar a un lado a individuos con RI, ya que parece comprobado como la glucemia basal alterada muestra una menor sensibilidad que la intolerancia a la sobrecarga oral de glucosa a la hora de identificar la RI19.
No se hace referencia explícita (para su inclusión) de los sujetos que teniendo cifras normales de presión arterial y/o de parámetros lipídicos están sometidos, en su caso, a la correspondiente medicación antihipertensiva y/o hipolipemiante, respectivamente.
En comparación con otros criterios diagnósticos, entre los sujetos con SM según criterio del ATPIII es menos frecuente la RI que cuando se aplican los criterios de la OMS.
Sociedad Americana de Endocrinología Clínica
Los criterios de la Sociedad Americana de Endocrinología Clínica (AACE)37 recogen aspectos incluidos en las otras clasificaciones previamente expuestas, y se basan sobre todo en criterios clínicos. Por lo tanto, no se define el número de factores necesarios para el diagnóstico, que se deja al juicio del clínico. Con respecto al ATPIII introduce, además de la glucemia basal alterada, la glucosa a las 2 h de la sobrecarga oral, por ser un parámetro más sensible de riesgo y más precoz en predecir la aparición de diabetes. Tienen en cuenta una serie de factores de riesgo relacionados con la RI, como la vida sedentaria, un IMC > 25, la edad superior a los 40 años, la raza no caucásica, la historia familiar de diabetes tipo 2, la hipertensión arterial o la enfermedad cardiovascular.
Federación Internacional de Diabetes
Recientemente, la International Diabetes Federation (IDF) ha propuesto unos nuevos criterios para la catalogación del SM31. Con respecto a los criterios anteriores, éstos muestran las siguientes particularidades:
Teniendo en cuenta el papel patogénico de la obesidad central o abdominal en el desarrollo de los diferentes componentes del SM y su asociación independiente, su presencia se considera inexcusable e imprescindible para el diagnóstico38,39.
Se adapta el valor de corte de la medida de la cintura abdominal en función de la etnia a la que se aplique, situación no considerada en los criterios diagnósticos previos. Los valores propuestos para la población europea coinciden con los expresados con anterioridad por el EGIR.
Se toma como valor anómalo de glucemia basal el actualmente admitido por la ADA como diagnóstico de glucemia basal alterada40, esto es, 100 mg/dl.
Se incluye la situación de que el individuo, independientemente del valor de los parámetros analizados, se encuentre previamente diagnosticado y/o tratado de dislipemia o hipertensión arterial.
Por las consideraciones ya expresadas, parece adaptarse mejor que los criterios anteriores a la rea lidad clínica y los conocimientos patogénicos actuales del SM. El posible inconveniente puede radicar en el no desde&ntit, Lung and Blood Institute (AHA/NHBLI), en respuesta a los criterios propuestos por la IDF, propone que se deben seguir manteniendo los adoptados por el ATPIII, con algunos matices. A este respecto, considera anómala toda glucemia basal >= 100 mg/dl, y admite asimismo la existencia de anormalidad en los diferentes parámetros de glucemia, triglicéridos plasmáticos, cHDL y cifras tensionales cuando, independientemente de los hallazgos, el sujeto ha recibido el correspondiente tratamiento específico para normalizarlos41.
¿Qué criterio diagnóstico se relaciona mejor con el desarrollo de complicaciones cardiovasculares?
El criterio del ATPIII parece predecir peor la aparición de complicaciones cardiovasculares que el criterio de la OMS42. Así, Lakka et al4, en varones finlandeses con el diagnóstico de SM (según cri terios de la OMS o del ATPIII), seguidos durante 11 años, observó que el riesgo relativo de mortalidad cardiovascular y de mortalidad total fue superior a partir del diagnóstico de SM por el criterio de la OMS. Este hecho podría relacionarse con la circunstancia de que el criterio del ATPIII muestra una sensibilidad para identificar a los individuos con RI menor que el de la OMS. No obstante, los datos están muy lejos de ser concluyentes. Así, Bonora et al43, en un estudio prospectivo de 303 sujetos con SM (criterios de la OMS) y 158 con SM (criterios del ATPIII), comprueba al cabo de 2 años que no hay diferencias significativas en cuanto a progresión de la aterosclerosis carotídea, desarrollo de estenosis carotídea y aparición de coronariopatía. En otro orden de cosas y valorando parámetros estructurales lesionales, Takamiya et al44 objetivan que, en varones de 40 a 49 años, el diagnóstico de SM de acuerdo con el criterio de la OMS es un mejor predictor de calcificaciones coronarias por tomografía computarizada como marcador de lesión aterosclerótica que cuando el diagnóstico se efectúa con el criterio del ATPIII. Otro estudio, por el contrario, comprueba una mayor relación entre calcificaciones coronarias arteriales y el criterio del ATPIII que con el de la OMS45.
Recientemente, Ford, revisando estudios prospectivos correspondientes al período 1998-2004, analiza el riesgo relativo de mortalidad total, mortalidad cardiovascular y desarrollo de diabetes, en individuos diagnosticados de SM por criterios exactos del ATPIII (15 estudios) o por criterios exactos o modificados de la OMS (8 estudios). Estos riesgos son, para el primer criterio, 1,27 (0,9-1,78), 1,65 (1,38-1,99) y 2,99 (1,96-4,57), respectivamente, y para el segundo criterio, 1,37 (1,09-1,74), 1,93 (1,39-2,67) y 6,08 (4,76-7,76), lo cual viene a corroborar los datos anteriores46.
Especificaciones para la población infantil
Los componentes del SM están presentes en niños y adolescentes al igual que en los adultos47, pero no hay acuerdo en la definición del SM en esta población especial. Se ha utilizado las definiciones del ATPIII comparándolas con las de la OMS sin obtener diferencias entre ambas, salvo en algún grupo étnico determinado48. La dificultad en definir el SM en la población infantil está en los cambios que acontecen durante el crecimiento y el desarrollo de los niños y de los adolescentes, lo que complica la elección de puntos de corte para diversos factores de riesgo.
Así, el sobrepeso se define de modo diferente en niños que en adultos, ya que al estar creciendo cambia la somatometría con el tiempo, y no se puede proporcionar un simple punto de corte para definir sobrepeso y obesidad como en los adultos49.
Con respecto a la obesidad abdominal, no hay valores aceptados de perímetro de cintura en los niños. Algunos investigadores50 han utilizado el IMC z-score, una medida de sobrepeso total, más que un indicador más específico de sobrepeso central como el perímetro de la cintura abdominal. Valores de 2-2,5 indicarían obesidad moderada y > 2,5, obesidad severa.
En la pubertad se incrementa la RI y la sensibilidad a la insulina se reduce en niños tanto diabéticos como no diabéticos49. Esta RI se compensa por aumento en la secreción de insulina. En la juventud, el sobrepeso se asocia con aumento de insulina, así como dislipemia, especialmente cHDL bajo y triglicéridos elevados51.
La hipertensión arterial es reconocida como un importante componente del SM en adultos, pero su papel en el SM de niños y adolescentes no está esclarecido. Pocos estudios han examinado la relación entre la presión arterial y los valores de insulina, y además los resultados son contradictorios49.
Con respecto a la alteración del metabolismo de la glucosa, las definiciones del SM a menudo incluyen tolerancia a la glucosa alterada o glucosa en ayunas alta. Sin embargo, en diversos estudios50,51 el sobrepeso en los niños se acompaña de cifras normales de glucosa, lo que indica que la intolerancia a la glucosa puede desarrollarse con posterioridad a otras anomalías características del síndrome. Por ello, puede ser importante manejar valores de insulina y de glucosa en los niños, ya que muchos con factores del SM tienen cifras normales de glucosa49.
Weiss et al50 establecieron unos criterios diagnósticos modificados de las clasificaciones del ATPIII y la OMS. Al igual que en los adultos, el diagnóstico de SM se estableció si tenían 3 o más de los siguientes criterios: IMC > percentil 97, triglicéridos > percentil 95, cHDL < percentil 5, presión arterial sistólica o diastólica > percentil 95, y tolerancia a la glucosa alterada. La RI se determinó mediante el HOMA, que utiliza sólo valores de glucosa e insulina en ayunas.
En una revisión del Third National Health Nutrition Examination Survey (NHANES III)52, el SM requirió los siguientes criterios: triglicéridos >= 110 mg/dl, cHDL >= 40 mg/dl, obesidad abdominal definida como perímetro de cintura > percentil 90, presión arterial > percentil 90 y glucosa en ayunas > 110 mg/dl.
De Ferranti et al53, partiendo del criterio del ATPIII para adultos y basados en los resultados del estudio epidemiológico NHANES III, han propuesto los siguientes puntos de corte para los 5 factores en el diagnóstico de SM: triglicéridos >= 1,1 mmol/l (97 mg/dl), cHDL < 1,3 mmol/l (50 mg/dl) (niños y adolescentes, < 1,17 mmol/l o 45 mg/dl), glucemia basal >= 6,1 mmol/l (110 mg/dl), perímetro de la cintura abdominal > percentil 75 para edad y sexo, y presión arterial > percentil 90 para edad, sexo y talla.
Prevalencia del síndrome metabólico y de los factores de riesgo asociados al síndrome
La prevalencia del SM en la población general de Estados Unidos mayor de 20 años se sitúa en torno al 20-25%48,54. Dicha prevalencia parece ser algo menor en la población europea, próxima al 15%, como ha confirmado el estudio DECODE, basado en 11 estudios de cohortes europeos. Ese estudio fue diseñado para conocer la prevalencia de SM en pacientes no diabéticos y para estimar, mediante metaanálisis, el valor predictivo del síndrome sobre la mortalidad por todas las causas y por enfermedad cardiovascular55.
En España disponemos de escasos estudios, y oscila entre el 19,3% según la definición de la OMS, el 15,5% según la definición del EGIR y el 14,2% según la del ATPIII56. Aun así es difícil establecer su frecuencia definitiva por la escasez de estudios y las diferencias metodológicas existentes, en especial en edad y sexo. Los datos más recientes apuntan a que la frecuencia podría ser superior a la antes indicada e incluso que habría variaciones regionales. Así, con la definición del ATPIII, se encontró una prevalencia del 24,4% en un estudio realizado en población Canaria, considerando edades entre 6 y 75 años6, mientras que fue del 23,5% en un reciente trabajo realizado en Oviedo57. En este último, con una población entre 40 y 74 años, la prevalencia fue más baja con criterios de la OMS (17,9%), con una coincidencia entre ambos métodos del 80%, similar a otros estudios. Finalmente, en una población de Valencia se encontró un 29% de casos de SM con criterios de la OMS, en edades entre 25 y 65 años. Es de resaltar que las diferencias en prevalencia encontradas con criterios del ATPIII y de la OMS se van igualando con la edad. El hecho de que Oviedo tuviera la misma prevalencia que Canarias, siendo los de esta última de más edad, coincide con las diferencias regionales en cardiopatía isquémica e indica que hay una gran diferencia entre comunidades, superior para Canarias. De hecho, en ésta el grupo entre 45 y 74 años tuvo una prevalencia del 38,5%.
Factores que influyen en la prevalencia del síndrome metabólico
La RI es causa del variado conjunto de alteraciones metabólicas que se acompañan de un elevado riesgo cardiovascular y que han ido definiendo el SM. La expresividad clínica del SM está relacionada con factores exógenos agravantes de IR, como la obesidad abdominal y la inactividad física, por ejemplo. Esto explica que el SM aparezca años después que la IR y que su prevalencia sea proporcional a la edad de la población y a la prevalencia en esta población de los factores agravantes.
Hay diferencias raciales que conllevan diferente expresividad clínica de los componentes del SM, lo que explica la gran variabilidad de la prevalencia de IR y SM entre diferentes poblaciones del 0,8 al 35,3%, aunque esta amplia diferencia en la prevalencia puede explicarse también, al menos en parte, por los diferentes criterios empleados en la definición del SM28. Mientras que en Japón la prevalencia del SM es del 1,6%58, en otros países puede llegar al 44% de la población adulta59, y en nuestro medio oscila en torno al 30%60.
Los factores exógenos o ambientales que inducen IR son causa del desarrollo y agravamiento de este síndrome y de su expresión. Los principales factores exógenos son la obesidad abdominal, la inactividad física, la dieta hipercalórica y el consumo de cigarrillos61. Junto con ellos, los ácidos grasos libres y los triglicéridos plasmáticos tienen un importante papel en el desarrollo de la IR, y hay una relación dependiente de la dosis entre ácidos grasos libres e IR62. Otros factores que inducen IR son el TNFa y la activación de los receptores activados para proliferación peroxisomal (PPAR).
La edad
Comienza a incrementarse entre la tercera y la quinta décadas de la vida, de forma paralela al aumento de prevalencia de obesidad, y alcanza su máximo en la sexta década en los varones y en la séptima en las mujeres54,55. En población española la prevalencia es del 10,1% en edades entre 18 y 44 años y del 38,5% entre 45 y 74 años6.
El sexo
En la mayoría de los estudios es similar en ambos sexos54,55. En nuestro país, el 24,5% en varones y el 24,3% en mujeres de la población canaria6. También fue similar en varones y mujeres en Oviedo57.
El sobrepeso y la obesidad
Ambas situaciones tienen una estrecha relación con el SM, ya que sólo el 6% de los individuos con normopeso cumplen criterios diagnósticos ("normopesos metabólicamente obesos"), hasta el 20% de los pacientes con sobrepeso (IMC entre 25 y 29) y el 60% de los que presentan un IMC >= 35.
Enfermedad cardiovascular previa
En el estudio realizado en Valencia63 se encontró que el grupo control tenía una prevalencia de SM del 4,32%, mientras que en el grupo con cardiopatía isquémica la prevalencia era del 41% en las edades comprendidas entre 35 y 79 años. Sin embargo, no es un estudio aleatorizado, sino de casos y controles, en el que destaca la baja prevalencia de SM en los controles, seleccionados como sujetos sin factores de riesgo y sin antecedentes familiares de cardiopatía isquémica.
La definición utilizada de síndrome metabólico
En general, la prevalencia de SM es similar según las dos definiciones más utilizadas, ATPIII y OMS, aunque difiere bastante en determinados subgrupos. Este hecho se comprueba muy bien en el estudio de Oviedo, donde hay una gran diferencia entre ambos métodos entre 40-50 años (el 10% según la OMS y el 20% según el ATPIII a los 40 años, y el 25% con ambos a los 75 años). En conjunto, se ha demostrado que en general ambos concuerdan en el diagnóstico de SM en el 80-85% de los casos48,54,55. Tal coincidencia se puede explicar por el hecho de que, aunque la definición de la OMS incluye explícitamente la RI y la definición del ATPIII no la incluye, los 5 criterios de esta última están íntimamente relacionados con dicho fenómeno patogénico.
En resumen, el envejecimiento de la población, el aumento de prevalencia de la obesidad y quizá un aumento de individuos de otras razas en nuestro país contribuirán probablemente a un incremento en la prevalencia del SM en los próximos años.
Prevalencia de síndrome metabólico en relación con el criterio diagnóstico utilizado
Cuando se valora la prevalencia del SM es preciso tener en cuenta la influencia de múltiples factores si queremos comparar los resultados obtenidos. Entre los principales cabe citar la edad, la etnia, criterios diagnósticos más o menos homologados, métodos antropométricos y técnicas analíticas empleadas. Se han llevado a cabo numerosos estudios epidemiológicos, empleando fundamentalmente los criterios de la OMS y del ATPIII, al tiempo que, especialmente en Europa, existen asimismo diversos estudios con el uso del criterio del EGIR.
En múltiples estudios llevados a cabo en Estados Unidos64, la prevalencia general de SM es variable, si bien muy similar con el empleo de ambos criterios de la OMS y del ATPIII. En el estudio NHANES III, la prevalencia fue del 23,9% con la definición del ATPIII y el 25,1% con la de la OMS, si bien había algunas variaciones en relación con el sexo y la etnia48. En el Framingham Offspring Study, la frecuencia de SM en varones fue superior con el criterio de la OMS (30,3%) que con el ATPIII (26,9%), al tiempo que fue inferior en mujeres (el 18,1 y el 21,4%, respectivamente)65. Por otra parte, en el Insulin Resistance Atherosclerosis Study, llevado a cabo en sujetos no diabéticos, la tasa de SM con criterios del ATPIII fue del 26,9% y con criterios de la OMS, del 34,1%34.
En los pocos estudios llevados a cabo a escala mundial para comparar los 3 criterios diagnósticos (OMS, EGIR y ATPIII), parece haberse hallado frecuencias más elevadas con la definición de la OMS que con las del EGIR y el ATPIII66, especialmente por lo que se refiere a varones. Así, Cameron et al67, en islas Mauricio, encuentran las siguientes cifras: OMS: total, 19,1%; varones, 20,9%; mujeres, 17,6%; ATPIII: total, 12,8%; varones, 10,6%; mujeres, 14,7%; y EGIR: total, 9,6%; varones, 9%; mujeres, 10,2%.
Prevalencia de las manifestaciones del síndrome metabólico en España
Hipertensión
Uno de los mejores estudios realizados en población española entre 35-64 años indica que, con un punto de corte >= 140/90 mmHg o considerando a los individuos con tratamiento farmacológico, un 45% de la población es hipertensa, el 30% con cifras tensionales > 160/95 mmHg. Las cifras de presión arterial sistólica aumentan con la edad, pero no tanto las diastólicas, siendo mayores en los varones que en las mujeres68. Otro estudio en 1996 demostró que un 44,4% de personas entre 35-64 años tenía hipertensión arterial (>= 140/90 mmHg) y el 25,9% con cifras superiores a 160/95 mmHg69.
Sobrepeso y obesidad
De cada 2 adultos españoles, 1 tiene exceso de peso, (son obesos el 14,5% y tiene sobrepeso el 38,5%). Estos datos son especialmente desfavorables en personas de edad y en mujeres (el 15,7 frente al 13,4% en varones)70. Pero aun así, el principal motivo de alarma es lo que sucede en la población infantil/juvenil, como ha indicado el estudio Enkid. Según sus datos, hay un 13,9% de obesos y un 26,3% de personas con sobrepeso en la población infantojuvenil (2-20 años), y es superior en la población masculina (15,6%) que en la femenina (12%)71. Un hecho importante es que las tasas de sobrepeso son superiores en las autonomías con mayor incidencia de cardiopatía isquémica, como Andalucía, Murcia y las Islas Canarias.
Diabetes mellitus y resistencia a la insulina
Sobre la prevalencia de RI, no tenemos información poblacional en España, aunque se puede deducir de alguno de los estudios de prevalencia de SM. En el estudio de la comunidad Canaria6 la glucemia > 110 mg/dl estuvo presente en el 10,6% de su población (el 12% de varones y el 9,5% de mujeres), con un 4,2% del total en tratamiento con antidiabéticos, lo que supone el 11,8% con ambos criterios. Ahora bien, utilizando un criterio más sensible, como el HOMA, se detectó RI en el 39% de una población valenciana entre 25 y 65 años6. Con respecto a la prevalencia de diabetes tipo 2 en España, los datos existentes oscilan mucho según los distintos criterios. En un estudio nacional, realizado con métodos de encuesta, declaró ser diabético un 17% de los encuestados en el año 2001, con edades de más de 60 años72. En el estudio DRECE II, con criterios bioquímicos, el 8,3% de los españoles entre 35 y 64 años tenían criterios de diabetes en 1996. En resumen, en España se calcula que su prevalencia es del 6,2% en los grupos de edad de 30 a 65 años y del 10% en los de 30-89 años, el 90% con diabetes tipo 273.
HDL bajo e incremento de triglicéridos
En el estudio DRECE se demostró que la población española tiene una concentración media de cHDL relativamente alta (55,1 mg/dl), el colesterol de las lipoproteínas de baja densidad (cLDL) está en 115,6 mg/dl y los triglicéridos, en 104,6 mg/dl74. El seguimiento a 5 años del estudio DRECE (DRECE II), realizado en edades entre 35 y 64 años en 1996, un 39% de los varones y un 19% de las mujeres tenían una trigliceridemia > 150 mg/dl. Se encontraron concentraciones de cHDL < 35 mg/dl en el 12% de los varones y el 3,4% de las mujeres69.
Asociación entre los parámetros antropométricos y los factores de riesgo en España
IMC y perímetro de cintura abdominal en relación con los factores de riesgo
Mediante la aplicación de algunos criterios diagnósticos de SM, se trata de identificar a los individuos que tienen elevado riesgo cardiovascular como consecuencia de un síndrome en el que coinciden distintos factores de riesgo interrelacionados. La adiposidad visceral íntimamente ligada a una RI es un elemento patogénico común. Sin embargo, las descripciones iniciales del síndrome plurimetabólico de riesgo no incluían parámetros antropométricos indicadores de tal situación, como el perímetro de la cintura abdominal. No obstante, a día de hoy, los marcadores antropométricos de adiposidad visceral se consideran un elemento clave para el diagnóstico. Por otra parte, desde el punto de vista práctico, parece más sencillo detectar un perfil antropométrico característico de la agrupación de factores de riesgo que una RI que no siempre resulta mensurable de forma operativa y habitual. Adicionalmente, se ha podido comprobar que algún indicador sencillo como el de "cintura hipertrigliceridémica", defendido inicialmente por Després, suele ser un buen reflejo de una RI, y comúnmente asociada a factores metabólicos aterogénicos. No obstante, la sensibilidad y la especificidad de los criterios del ATPIII se sitúan en sólo un 80%75.
La utilización de parámetros antropométricos como método sencillo y fiable de detectar la agrupación de factores de riesgo metabólicos que configuran el SM ha ofrecido resultados fiables. En efecto, los indicadores antropométricos de adiposidad visceral, como el IMC y más específicamente del perímetro de la cintura abdominal se ha correlacionado tanto con los factores de riesgo tradicionales como con los emergentes. En este sentido, cabe señalar la asociación del perímetro de la cintura específicamente con la glucemia, la insulina, los triglicéridos y la ya referida RI valorada por HOMA76 y también con la presión arterial, y de forma negativa con las concentraciones plasmáticas de cHDL77.
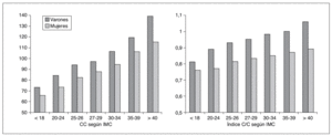
Por otra parte, en la población española, el IMC, el perímetro de la cintura y el índice cintura/cadera se encuentran relacionados entre sí (fig. 1) y varían en función del grupo etario (fig. 2). A su vez, estos parámetros antropométricos están relacionados con los diferentes factores de riesgo asociados al SM (tablas 8 y 9)78. Estos hechos siempre deberían ser tenidos en consideración al valorar en una población concreta la agrupación de factores de riesgo característica del síndrome y sus elementos diagnósticos.
Figura 1. Relación entre parámetros antropométricos en la población española. Estudio DORICA. IMC: índice de masa corporal; CC: circunferencia de la cintura; C/C: índice cintura/cadera.
Figura 2. Relación entre parámetros antropométricos en la población española por grupos de edad. Estudio DORICA. IMC: índice de masa corporal; CC: circunferencia de la cintura; C/C: índice cintura/cadera.
Cuando se comprueba la eventual presencia de criterios diagnósticos de SM, cabe señalar que, integrando todos los posibles modelos, el criterio antropométrico basado en el perímetro de la cintura abdominal es el más sensible en la población española, si bien en los varones el índice cintura/cadera se comporta de forma similar. La presión arterial sistólica es otro parámetro indicador para la población española.
Diagnóstico de síndrome metabólico según factores de riesgo
De acuerdo con los distintos criterios utilizados para el diagnóstico de SM, es posible que un mismo individuo lo tenga o no dependiendo de los criterios que se apliquen. En otras palabras, el diagnóstico de SM no es el mismo para todos. De hecho, un estudio de concordancia y discordancia entre los diferentes criterios utilizados puede poner de manifiesto que sólo una tercera parte de los individuos tienen una concordancia total sean cuales fueren los criterios utilizados. Por otra parte, y aun cuando el criterio "obesidad visceral" se considera como "guía diagnóstica", no todos los obesos viscerales reúnen criterios de SM. Adicionalmente, es posible encontrar SM sin RI y viceversa, la RI no tiene por qué ser sinónimo de SM. Por tanto, el perfil metabólico del SM es cambiante, aunque se considere que tiene elementos etiopatogénicos comunes. Este hecho condiciona que, según los factores de riesgo considerados, el individuo pueda ser diagnosticado o no de SM. Incluso este fenómeno dependerá del "nivel del factor de riesgo considerado". Buena prueba de ello es el criterio utilizado con respecto a la glucemia, que ha sido cambiante hasta la última propuesta de la IDF (100 mg/dl).
Así, para la población española, con una determinada prevalencia de factores de riesgo, el diagnóstico de SM dependerá de los criterios utilizados, tanto por los factores de riesgo que se considere como por el umbral de cada uno de ellos según el modelo que se aplique. Las tablas 10 y 11 muestran las distintas posibilidades diagnósticas de SM en la población española, de acuerdo con valores medios de factores de riesgo y según los distintos modelos diagnósticos más utilizados.
Del análisis de los datos se desprende que para la población española carece de significación el criterio de un cHDL bajo, probablemente por las elevadas concentraciones medias en nuestro ámbito. La hipertrigliceridemia suele intervenir en el diagnóstico en el caso de los varones, pero no así en el de las mujeres. La hipertensión arterial es un criterio válido para varones y mujeres, tanto si se aplican los criterios del ATPIII como los de la IDF. Finalmente, y para la población española, los parámetros antropométricos son los que tienen un mayor impacto en el diagnóstico de SM, y de todos ellos, el perímetro de la cintura abdominal parece ser el más determinante. Ello obliga a considerar la necesidad de definir para cada población los criterios antropométricos que más y mejor puedan relacionarse con el concurso del resto de los factores de riesgo considerados.
Puntos de corte para la asociación de síndrome metabólico
La asociación de factores de riesgo que define el SM tiene algunos aspectos poblacionales, por lo que es preciso armonizar los criterios. De otra manera, la diferente prevalencia de factores de riesgo desde el punto de vista demográfico, así como los diferentes puntos de corte para la asociación de los factores de riesgo, podría condicionar una estimación de la prevalencia de SM superior o inferior a la real. Este hecho ha sido enfatizado muy particularmente en lo relativo al perímetro de la cintura como indicador antropométrico a partir del cual se puede realizar el diagnóstico. En la práctica esto ha supuesto que los puntos de corte para el perímetro de la cintura propuestos en Estados Unidos por el ATPIII (102 cm en el varón y 88 cm en la mujer) sean distintos de los propuestos por el EGIR y la IDF para la población europea (94 cm para el varón y 80 cm para la mujer).
El problema se plantea sobre cómo establecer tales puntos de corte en una población concreta. Un buen indicador puede ser encontrar el punto de corte para el perímetro de la cintura abdominal que en la población determinada se acompañe de otros factores de riesgo metabólicos relacionados con la adiposidad visceral y el consiguiente SM. De forma similar, se puede establecer un punto de corte para el IMC. No obstante, éstos son métodos observacionales y transversales con menor validez que los datos que se podría extraer de estudios longitudinales de cohortes.
En el estudio realizado en población española78, los puntos de corte del IMC que se encuentran asociados a uno o más factores de riesgo cardiovascular resultaron ser 27 para la mujer y 30 para el varón (OR = 2) (fig. 3). Para el perímetro de la cintura abdominal, los puntos de corte fueron 80 cm para la mujer y 98 cm para el varón (OR = 2) (fig. 4), cifras en consonancia con las propuestas para la población europea.
Figura 3. Puntos de corte del índice de masa corporal (IMC) asociado a otros factores de riesgo. Población española (modificado del estudio DORICA).
Recomendaciones finales
Aunque en la descripción inicial del síndrome plurimetabólico de riesgo cardiovascular no estaba incluida la obesidad, las sucesivas definiciones de criterios diagnósticos han ido poniendo de relieve el protagonismo que puede tener la adiposidad visceral para el desarrollo de las alteraciones metabólicas, y por lo tanto una evaluación clínica siempre requiere la determinación de parámetros antropométricos señalizadores de obesidad visceral. Este hecho no se ha dado con respecto a la RI, situación fisiopatológica asociada estrechamente con la obesidad visceral y el SM, y cuyo diagnóstico per se cada vez se exige menos para su inclusión entre los criterios diagnósticos. Esto es así porque se considera que la gran mayoría de las consecuencias metabólicas de la obesidad visceral son un fiel reflejo de la RI, muy especialmente la asociación hipertrigliceridemia con aumento del perímetro de la cintura abdominal.
Los diferentes criterios diagnósticos, aun con disparidad en lo relativo a los niveles "umbral" de los diferentes factores de riesgo, señalan la asociación de una dislipemia caracterizada por hipertrigliceridemia y síndrome de HDL bajo junto con la hipertensión arterial y la obesidad visceral como los protagonistas del problema clínico a la hora del diagnóstico y el tratamiento. El papel del trastorno del metabolismo hidrocarbonado está más frecuentemente sometido a revisión constante, aunque una glucemia basal anómala puede ser suficiente indicio de dicho trastorno. Con todo, y aun teniendo en cuenta que el grupo de datos indicadores de SM es común entre los diferentes criterios propuestos, la concordancia diagnóstica para todos ellos no alcanza a más de la tercera parte de los individuos.
Como marcador antropométrico de obesidad visceral, la medida del perímetro de la cintura abdominal, junto con el índice cintura/cadera y el IMC, pero fundamentalmente la primera, está bien relacionada con los factores de riesgo metabólicos característicos del SM, incluida muy especialmente la hipertensión arterial.
El problema que plantea la valoración de la obesidad visceral mediante el perímetro de la cintura radica en las diferencias étnicas, hecho que obliga a la unificación de criterios según parámetros poblacionales específicos. Ello se debe a que hay variaciones poblacionales en la asociación entre los factores de riesgo metabólicos y los parámetros antropométricos. Este hecho puede condicionar la mayor o menor prevalencia de SM, en atención a distintos criterios diagnósticos utilizados. Los datos procedentes de estudios realizados en España señalan que los criterios propuestos para Europa con respecto al perímetro de la cintura abdominal (varón, > 94 cm; mujer, > 80 cm) pueden ser válidos, quizá con algún matiz derivado de las variaciones interpoblacionales.
Otros elementos, como el estado protrombótico o proinflamatorio mediante, por ejemplo, la determinación de PCR o la misma microalbuminuria, propuesta como criterio diagnóstico en algún momento, no parecen aportar ventajas sobre la detección de la agregación cHDL bajo, hipertrigliceridemia, hipertensión arterial, obesidad visceral e hiperglucemia/intolerancia a carbohidratos.
El auténtico interés de la detección del síndrome, como situación de elevado riesgo cardiovascular, debido a la agregación de factores de riesgo metabólicos con claro potencial aterogénico, radica en la identificación de pacientes de alto riesgo más que en la detección de la RI. Ello con independencia del potente papel predictor de desarrollo de la diabetes mellitus tipo 2 que tiene el SM.
Estos hechos que afectan al reconocimiento y al diagnóstico del SM tienen una enorme trascendencia para identificar a los pacientes a los que se puede plantear medidas terapéuticas tanto de estilo de vida como farmacológicas contra los factores de riesgo que contribuyen a su exceso de riesgo cardiovascular. Esto obliga a realizar un esfuerzo en señalar los criterios diagnósticos que mejor se adapten a la detección de un riesgo cardiovascular elevado en nuestra población, al objeto de aumentar la sensibilidad y la especificidad diagnóstica.

















