El Registro Español de Cirugía Cardíaca (RECC) constituye una herramienta esencial para la monitorización y el análisis de la práctica quirúrgica cardiovascular en España. Desde su implementación en 2021 hasta finales de 2024, se han incluido un total de 16.631 procedimientos, de los cuales 14.048 fueron cirugías cardíacas mayores. El análisis actual incluye datos de 23 centros con al menos 40 procedimientos registrados, lo que representa una muestra significativa, aunque no exhaustiva, de la actividad nacional. Durante 2024 se incrementó en un 81,7% el número de intervenciones incluidas en el RECC respecto al año previo. El EuroSCORE II, con una media del 5,4%, fue empleado como herramienta de estratificación del riesgo quirúrgico. Globalmente, mostró una buena capacidad discriminativa (área bajo la curva [AUC]: 0,787) en los pacientes de bajo riesgo, aunque su rendimiento fue limitado en subgrupos específicos como cirugía coronaria, sustitución valvular mitral, tricúspide y afección de la aorta. En términos de distribución, la cirugía valvular fue la más frecuente (53,0%), seguida de la coronaria aislada (25,4%) y la cirugía de la aorta (15,4%). La mortalidad global observada fue del 5,1% (índice de mortalidad ajustada al riesgo [IMAR]: 0,94), aunque se mantuvo por debajo de la estimada por EuroSCORE II en la mayoría de las categorías.
The Spanish Cardiac Surgery Registry (RECC) is an essential tool for monitoring and analyzing cardiovascular surgical practice in Spain. Since its implementation in 2021 through the end of 2024, a total of 16631 procedures have been recorded, of which 14048 were major cardiac surgeries. The current analysis includes data from 23 centers that reported at least 40 procedures, representing a significant —though not exhaustive— sample of national activity. During 2024, the number of interventions included in the RECC increased by 81,7% compared to the previous year. The EuroSCORE II, with a mean of 5,4%, was used as a tool for preoperative risk stratification. Overall, it demonstrated good discriminative ability (AUC 0,787) in low-risk patients, although its performance was limited in specific subgroups such as coronary surgery, mitral valve replacement, tricuspid valve surgery, and aortic pathology. In terms of procedure distribution, valve surgery was the most common (53,0%), followed by isolated coronary surgery (25,4%) and aortic surgery (15,4%). The overall observed mortality was 5,1% (risk-adjusted mortality ratio, IMAR 0,94), rising slightly to 5,5% in 2024 (IMAR 1,08), although it remained below the mortality predicted by EuroSCORE II in most categories.
El presente artículo resume los datos introducidos en el Registro Español de Cirugía Cardíaca (RECC)1 desde su implementación en 2021 hasta finales de 2024. Este registro representa una iniciativa fundamental para el análisis detallado de la actividad quirúrgica en nuestro país, permitiendo la evaluación de indicadores clave en términos de seguridad, efectividad y calidad asistencial.
Desde hace más de 34 años, la Sociedad Española de Cirugía Cardiovascular y Endovascular ha llevado a cabo un registro de intervenciones quirúrgicas, proporcionando datos valiosos sobre la actividad a nivel nacional2. No obstante, es importante destacar que dicho registro se basa en datos agregados de hospitales de toda España de manera anónima y voluntaria.
El RECC representa un avance sustancial al proporcionar una plataforma moderna y accesible, sustentada en la recopilación de datos a nivel individual por el paciente, en lugar de datos agregados. Esta característica permite mejorar notablemente la calidad de la información recopilada, así como ampliar las posibilidades de análisis y explotación de los datos para investigación y mejora asistencial. Actualmente, más de 40 hospitales disponen de acceso a esta herramienta, facilitando el seguimiento y la comparación de resultados en cirugía cardíaca.
El valor de estos registros radica en su capacidad para identificar tendencias, mejorar la calidad asistencial y establecer estrategias basadas en la evidencia para optimizar la práctica quirúrgica. Es fundamental que más centros hospitalarios se unan a esta iniciativa, fortaleciendo así el análisis de la cirugía cardíaca en España y contribuyendo al desarrollo de una especialidad cada vez más segura y eficiente.
El RECC se presenta, por tanto, como un recurso indispensable para la comunidad quirúrgica, promoviendo una mayor transparencia, aprendizaje y mejora continua en beneficio de nuestros pacientes. Desde su implementación en el 2021, se ha realizado un informe anual con el análisis de los datos obtenidos3,4.
Material y métodosSe ha realizado un análisis de los datos de RECC en el periodo comprendido entre el 8 de febrero del 2021 y el 31 de diciembre del 2024 de todos los centros participantes que han aportado datos, de al menos 40 intervenciones (23 centros incluidos).
Consideraciones éticasLos datos extraídos fueron totalmente anonimizados a nivel de paciente, hospital, provincia y comunidad autónoma. La solicitud de información del RECC fue aprobado por la Comisión del Registro y ha seguido la política de gestión de datos expuesta en las bases del registro (https://secce.es/recc-bases/).
Análisis de los datosPara el análisis global de los datos se utilizaron los datos de las cirugías cardiacas mayores. Se evaluó el perfil de riesgo de los pacientes según el EuroSCORE II5. La muerte de los pacientes se definió como mortalidad hospitalaria. Se analizó la mortalidad observada y la mortalidad ajustada al riesgo empleando el índice de mortalidad ajustada al riesgo (IMAR), como el cociente entre la mortalidad observada y la estimada por EuroSCORE II. Una cifra inferior a uno de este índice representa resultados mejores de los esperados por el EuroSCORE II.
Se analizó la incidencia de las principales complicaciones perioperatorias como son la reintervención por sangrado, el accidente cerebrovascular mayor, el infarto agudo de miocardio, fibrilación auricular postquirúrgica, sangrado postquirúrgico, mediastinitis, endocarditis y el daño renal AKIN III. Todas estas definiciones están incluidas en el RECC siguiendo las definiciones VARC6,7.
Se realizó un análisis global de los procedimientos cardiacos mayores y otro estratificado por tipo de intervención, además de un análisis de tendencias por año desde el 2021 al 2024. La estratificación por tipo de intervención se realizó en los siguientes subgrupos:
- •
Cirugía de revascularización miocárdica (CABG, de «coronary artery bypass grafting»): con y sin CEC.
- •
Cirugía valvular: todo procedimiento valvular aislado, así como cirugía combinada o mixta en la que se asocia cirugía valvular y coronaria.
- •
Cirugía de aorta: toda cirugía que implique la intervención en algún segmento de la aorta torácica.
- •
Otros procedimientos: tumores cardiacos benignos y malignos, miectomía ventricular, cirugía de las complicaciones del infarto agudo de miocardio, implante de dispositivos de soporte circulatorio mecánico, trasplante cardiaco y otros procedimientos ni incluidos en las categorías previas.
En cada subgrupo de afecciones se indicó el recuento de procedimientos y la mortalidad. La mortalidad observada en cada subgrupo de afecciones se calculó como el porcentaje de fallecimientos respecto al total del subgrupo. Las variables categóricas se representan como frecuencias absolutas y porcentajes, y las variables cuantitativas mediante medias y desviaciones estándar/medianas e IQR. Para el análisis de tendencia se utilizó Chi-cuadrado de tendencia. La mortalidad esperada se calculó mediante el riesgo estimado preoperatorio a través de la escala EuroSCORE II. Este valor se obtuvo en cada subgrupo a través de la media de los valores aportados en el grupo analizado. Se ha calculado el IMAR como reflejo de la mortalidad observada en relación con la esperada. Se realizó un análisis del rendimiento del EuroSCORE II, evaluando la discriminación mediante el cálculo del área bajo la curva y la calibración mediante la evaluación de la pendiente de calibración y punto de corte de calibración. El análisis estadístico se realizó empleando el programa STATA®/BE v.17.0 (StataCorp LP, College Station, TX, EE. UU.).
ResultadosDesde el 8 de febrero del 2021 al 31 de diciembre del 2024 se incluyeron en el RECC un total de 16.631 procedimientos, de los cuales 14.048 fueron cirugías cardíacas mayores. En el año 2024 se introdujeron un total de 6.337 procedimientos, de los cuáles, 5.054 se trataban de cirugías cardiacas mayores (fig. 1).
Análisis global de los datosLa mediana de edad de los procedimientos mayores fue de 68,1 años (IQR: 59,5-75,2) y el 75,7% eran varones (tabla 1). La figura 2 representa la edad y el sexo por tipo de intervención.
Características basales de los pacientes
| N=14.048 | |
|---|---|
| Edad (años) | 68,1 (IQR: 59,5-75,2) |
| Sexo masculino | 75,7% (10.635) |
| Hipertensión | 51,0% (7.163) |
| Dislipemia | 46,5% (6.527) |
| Diabetes | 29,6% (4.159) |
| Fumador activo | 13,1% (1.847) |
| EPOC | 10,7% (1.497) |
| ACV previo | 7,3% (1.028) |
| NYHA III-IV | 30,0% (4.213) |
| Enfermedad renal crónica | |
| KIDGO 3 | 9,5% (1.329) |
| KIDGO 4 | 1,4% (199) |
| KIDGO 5 | 1,8% (247) |
| Arteriopatía periférica | 9,7% (1.367) |
| Cirugía cardiaca previa | 9,7% (1.362) |
| Fibrilación auricular preoperatoria | 13,6% (1.907) |
| FEVI % | |
| Disfunción leve (51-60%) | 6,3% (887) |
| Disfunción moderada (31-50%) | 10,1% (1413) |
| Disfunción severa (<30%) | 4,5% (637) |
ACV: accidente cerebrovascular; EPOC: enfermedad pulmonar obstructiva crónica; FEVI: fracción de eyección del ventrículo izquierdo; IQR: rango intercuartílico.
La media del EuroSCORE II fue del 5,4% (DE: 8,5) y la del EuroSCORE I del 8,9% (DE: 11,7) (fig. 3). De los procedimientos mayores, el 53,0% (n=7.447) fueron cirugías valvulares, el 25,4% (n=3.563) cirugía coronaria aislada, el 15,4% (n=2.169) cirugías de aorta y el 6,2% (n=869) otros procedimientos (fig. 4).
El 69,1% (n=9.711) se realizaron de manera electiva, el 25,0% (n=3.508) urgente, el 5,6% (n=767) emergente y en el 0,3% (n=42) en parada cardiorrespiratoria. La figura 5 representa la prioridad por procedimiento mayor realizado por año de intervención.
De las cirugías cardiacas mayores, 536 (3,8%) se realizaron por miniesternotomía media, 416 (3,0%) por minitoracotomía, y en 187 (1,3%) se utilizó un acceso periférico o percutáneo. En un 8,3% (n=1.170) se realizó una extubación precoz en el propio quirófano.
La mediana de estancia en la UCI global fue de 2 días (IRQ: 2-4) y la de estancia global postoperatoria de 8 días (IQR: 6-13).
La mortalidad global observada fue del 5,1% con un IMAR global del 0,94. La tabla 2 resume los principales procedimientos realizados, con la mortalidad observada y el IMAR asociado. En el 2024, la mortalidad global observada fue del 5,5 con un IMAR del 1,08 (tabla 3).
Resumen de las intervenciones de cirugía cardiaca mayor, mortalidad observada, e IMAR
| Casos (n) | Mortalidad observada (%) | ES II (%) | ES I (%) | IMAR | |
|---|---|---|---|---|---|
| Procedimientos globales mayores | 14.048 | 5,1 | 5,4 | 8,9 | 0,94 |
| Cirugía valvular | 7.447 | 4,8 | 5,0 | 8,4 | 0,96 |
| SVAo | 3.224 | 2,5 | 3,6 | 6,8 | 0,69 |
| TAVI | 293 | 3,6 | 5,3 | 13,3 | 0,68 |
| SVMi | 1.243 | 7,4 | 5,7 | 10,7 | 1,30 |
| RVMi | 683 | 2,4 | 4,4 | 2,1 | 0,88 |
| Cirugía tricúspide aislada | 190 | 6,8 | 5,2 | 7,3 | 1,30 |
| Polivalvular | 1.606 | 8,0 | 8,5 | 11,0 | 0,94 |
| Cirugía coronaria aislada | 3.563 | 2,8 | 3,0 | 4,1 | 0,93 |
| Cirugía de aorta | 2.169 | 8,5 | 9,2 | 17,8 | 0,92 |
| Sin SAA | 1.734 | 5,7 | 8,4 | 16,2 | 0,68 |
| Con SAA | 435 | 20,0 | 12,4 | 23,8 | 1,65 |
ES: EuroSCORE; IMAR: índice de mortalidad ajustada al riesgo; RVMi: reparación valvular mitral; SAA: síndrome aórtico agudo; SVAo: sustitución valvular aórtica; SVMi: sustitución valvular mitral; TAVI: prótesis aórtica transcatéter.
Resumen de las intervenciones de cirugía cardiaca mayor, mortalidad observada, e IMAR en 2024
| Casos (n) | Mortalidad observada (%) | ES II (%) | IMAR | |
|---|---|---|---|---|
| Procedimientos globales mayores | 6.337 | 5,5 | 5,1 | 1,08 |
| Cirugía valvular | 2.552 | 5,2 | 4,9 | 1,06 |
| SVAo | 1.053 | 3,1 | 3,3 | 0,94 |
| TAVI | 120 | 3,3 | 4,8 | 0,69 |
| SVMi | 448 | 9,4 | 5,9 | 1,42 |
| RVMi | 260 | 1,2 | 2,5 | 0,48 |
| Cirugía tricúspide aislada | 60 | 3,3 | 4,5 | 0,73 |
| Polivalvular | 589 | 8,8 | 8,5 | 1,05 |
| Cirugía coronaria aislada | 1.251 | 2,8 | 3,0 | 0,93 |
| Cirugía de aorta | 811 | 7,8 | 8,5 | 0,91 |
| Sin SAA | 661 | 6,0 | 7,8 | 0,76 |
| Con SAA | 150 | 15,3 | 11,5 | 1,33 |
ES: EuroSCORE; IMAR: índice de mortalidad ajustada al riesgo; RVMi: reparación valvular mitral; SAA: síndrome aórtico agudo; SVAo: sustitución valvular aórtica; SVMi: sustitución valvular mitral; TAVI: prótesis aórtica transcatéter.
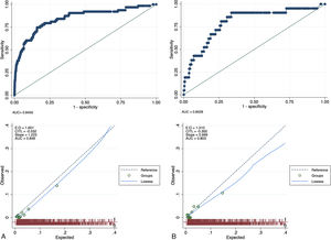
En el análisis de discriminación y calibración del EuroSCORE II de la cohorte global (fig. 6) el área bajo la curva (AUC) fue del 0,787 (IQR: 0,77-0,80) y se observó una buena calibración de los pacientes de bajo riesgo.
Cirugía de revascularización miocárdica 2021-2024Del 2021 al 2024 se incluyeron un total de 3.563 cirugías de revascularización miocárdica (fig. 7). La mediana de edad fueron los 67,2 años (IQR: 60,2-73,7) y el 84,9% (n=3.027) fueron varones.
El 50,9% de las intervenciones se realizaron de manera electiva, el 45,7% urgente, el 3,4% emergente y el 0,1% en parada cardiorrespiratoria. La figura 8 representa la prioridad por año de intervención. Se observó un aumento de la cirugía electiva a lo largo de los años (pTL<0,001).
Del total de intervenciones el 37,9% (n=1.350) se realizaron sin circulación extracorpórea (fig. 9).
En 37 pacientes se realizó una revascularización coronaria mínimamente invasiva por minitoracotomía anterolateral izquierda (MIDCAB). Se realizó una revascularización completa en un 76,9% de los pacientes, con una tendencia creciente en los últimos años (pTL=0,002) (fig. 10).
En el 98,4% (n=3.506) se utilizó al menos un injerto arterial, y en el 52,3% (n=1862) un doble injerto arterial (56,2% cirugía coronaria sin CEC vs. 49,8% cirugía coronaria con CEC; p<0,001). Se observó una disminución de la utilización de un doble injerto arterial en los últimos años (pT<0,001). En un 60,3% (n=2.147) se realizaron 3 o más injertos coronarios. Se utilizó la arteria radial en un 15,6% de los pacientes y la arteria mamaria interna derecha en un 39,0% (fig. 10).
La mediana de estancia en la UCI fue de 2 días (IQR: 1-3) y la de estancia global postoperatoria de 7 días (IQR: 6-10). La media del EuroSCORE II fue del 3,0% (DE: 4,4) y la del EuroSCORE I del 4,1% (DE: 6,3). La mortalidad observada global de los pacientes coronarios fue del 2,8% con un IMAR del 0,93. La mortalidad observada de los pacientes sometidos a cirugía coronaria ha ido aumentando a lo largo de los últimos 4 años (pTL=0,013) (fig. 11).
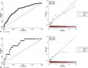
En el análisis de calibración y discriminación del EuroSCORE II de la muestra global de coronarios aislados el AUC fue de 0,74 (IC 95%: 0,68-0,80). El EuroSCORE II presentó una buena calibración de los pacientes de riesgo medio y bajo, y sobreestimó la mortalidad de los pacientes de alto riesgo. En el 2024, el EuroSCORE II no calibró bien e infraestimó a los pacientes de riesgo medio/alto (fig. 12).
Se realizó también un análisis estratificando la cirugía de revascularización miocárdica en cirugía con o sin circulación extracorpórea. La media del EuroSCORE II de los pacientes sometidos a cirugía coronaria con circulación extracorpórea fue del 3,2% (DE: 5,1) y del 2,7% (DE: 3,2) en los pacientes sin circulación extracorpórea. La mortalidad observada para el grupo con CEC fue del 3,7% con un IMAR del 1,15 y la del grupo sin CEC del 1,3% con un IMAR del 0,48.
Cirugía valvular 2021-2024Del 2021 al 2024 se incluyeron un total de 7.447 cirugías valvulares. La mediana de edad fue de 69,3 años (IQR: 61,0-75,3) y un 60,4% (n=4.495) fueron varones. La media del EuroSCORE II fue del 5,0% (DE: 7,7) y la del EuroSCORE I del 8,4% (DE: 10,4). El 80,2% de las intervenciones se realizaron de manera electiva, y en 17,6% de manera urgente (fig. 13).
La mediana de estancia en la UCI fue de 2 días (IQR: 2-4) y la de estancia global postoperatoria de 8 días (6-13).
De manera global, en el 48,3% (n=3.595) se realizó una cirugía valvular aórtica aislada, en el 27,0% (n=2.010) cirugía mitral aislada, en el 21,6% (n=1.606) cirugía polivalvular, en el 2,6% (n=190) cirugía tricúspide aislada y en un 0,6% (n=46) cirugía pulmonar aislada (fig. 14). En un 24,3% (n=1.200) se realizó cirugía de revascularización miocárdica concomitante.
Cirugía valvular aórticaEn 3.595 pacientes se realizó un procedimiento aislado sobre la válvula aórtica con un incremento del número de pacientes en el último año (fig. 15). En un 89,7% (n=3.224) se realizó una sustitución valvular aórtica, en un 8,3% (n=293) se realizó un implante de una prótesis transcatéter, y en un 1,5% (n=52) una plastia aórtica. Ciento noventa y cinco pacientes presentaban una cirugía válvula aórtica previa, y en un 20,7% (n=743) se realizó una revascularización coronaria concomitante.
Sustitución valvular aórticaLa mediana de edad de los pacientes a los que se les realizó una sustitución valvular aórtica quirúrgica fue de 69,1 años (IQR: 61,2-74,4) y el 69,9% eran mujeres. La media del EuroSCORE II fue del 3,6% (DE: 5,9) y la del EuroSCORE I del 6,8% (DE: 8,9). En un 75,3% se implantó una prótesis biológica (fig. 16) con una tendencia en aumento del uso de prótesis mecánicas en los últimos años (pT<0,001)
La mortalidad global observada en este grupo fue del 2,5% con un IMAR global del 0,69 (fig. 17). El EuroSCORE II sobreestimó el riesgo global de este grupo de pacientes (fig. 18).
Los pacientes a los que se les implantó una TAVI fueron mayores, con una mediana de edad de 79,4 años (74,8-83,4%), el 69% (n=209) fueron mujeres, y presentaban un mayor riesgo quirúrgico (media del EuroSCORE II del 5,3% (DE: 6,7) y del EuroSCORE I del 13,3% (DE: 10,8). Todas fueron implantadas por vía transaxilar.
La mortalidad observada fue del 3,6%, con un IMAR del 0,68 (fig. 19).
En 2.010 pacientes se realizó una cirugía valvular mitral aislada. La mediana de edad fue de 67,4 años (IQR: 58,8-74,6) y el 55,3% (n=1.112) fueron varones. La media del EuroSCORE II fue del 4,6% (DE: 6,6) y del EuroSCORE I del 8,5% (DE: 10,7). Se realizó sustitución valvular mitral en un 61,8% (n=1.243), reparación valvular mitral en un 34,0% (n=683) e implante percutáneo de la válvula mitral (TMVR) en un 0,9% (n=19). La figura 20 representa los diferentes procedimientos por año de intervención. Se observa un aumento de la reparación valvular mitral desde el 2021 (pTL=0,007).
En un 12,5% (n=252) se realizó un procedimiento de ablación de la fibrilación auricular asociado, en un 11,8% (n=238) se realizó una exclusión de la orejuela izquierda y en un 14,5% (n=292) una revascularización coronaria concomitante.
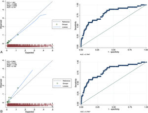
Sustitución valvular mitralLa mediana de edad fue de 69,5 años (IQR: 61,3-75,8) y el 52,7% eran mujeres. La media del EuroSCORE II fue del 5,7% (DE: 7,6%) y del EuroSCORE I del 10,7% (DE: 12,2). En el 15,8% (n=196) se trataban de reintervenciones sobre la válvula mitral y en un 50,5% se implantó una prótesis biológica. La mortalidad observada fue del 7,4% con un IMAR global del 1,30. La figura 21 representa el IMAR por año de intervención. El EuroSCORE II discrimina y calibra mal en este grupo (fig. 22A).
Analizamos los pacientes a los que se les realizó una cirugía mixta de sustitución valvular mitral y de revascularización coronaria. La media del EuroSCORE II en el 2024 fue del 7,0% (DE: 8,0), con una mortalidad observada del 20,6% (IMAR: 2,9) frente a aquellos pacientes a los que no se les realizó un procedimiento coronario concomitante que presentaron una media del EuroSCORE II del 5,7% (DE: 8,3), con una mortalidad observada del 6,4% (IMAR: 1,12).
Reparación valvular mitralLa mediana de edad fue de 63,5 años (IQR: 54,5-70,6) y la mayoría eran varones (68,8%). La media del EuroSCORE II fue del 2,4% (DE: 2,8) y la del EuroSCORE I del 4,4% (DE: 4,5). En un 89,0% (n=608) se realizó una reparación mitral con anillo, en un 54,6% (n=373) implante de neocuerdas, y en un 23,6% (n=161) una resección del velo posterior. En 27 pacientes se realizó una reparación valvular mitral por minitoracotomía anterolateral izquierda sin circulación extracorpórea (TOP-MINI), de los cuáles 4 de ellos se realizaron en el 2024. La mortalidad observada fue del 2,1% y el IMAR del 0,88. La figura 23 representa el IMAR por año de intervención. El EuroSCORE II en este caso tampoco discrimina ni calibra bien (fig. 22B).
En este grupo también se analizaron los pacientes a los que se les realizó una cirugía mixta de reparación valvular mitral y de revascularización coronaria. La media del EuroSCORE II en el 2024 fue del 6,4% (DE 5,7), con una mortalidad observada del 5,7% (IMAR: 0,89) frente a aquellos pacientes a los que no se les realizó un procedimiento coronario concomitante que presentaron una media del EuroSCORE II del 1,9% (DE 2,4), con una mortalidad observada del 0,5% (IMAR: 0,26).
TMVRLos pacientes sometidos a TMVR fueron mayores, con una mediana de edad de 79,2 años (IQR: 74,5-81,1), y el 57,9% (n=11) fueron mujeres. La media el EuroSCORE II fue del 5,8% (DE: 3,3) y del EuroSCORE I del 14,6% (DE: 8,7). La mortalidad observada de este grupo fue del 10,5%, con un IMAR del 1,81.
Cirugía valvular tricúspide aisladaSe realizó un procedimiento aislado sobre la válvula tricúspide en 190 pacientes. La mediana de edad fue de 63,5 años (IQR: 50,5-69,9) y el 54,2% (n=103) eran mujeres. La media del EuroSCORE II fue del 5,2% (DE: 7,8) y del EuroSCORE I del 7,3% (DE: 7,9). En un 53,2% (n=101) se realizó una sustitución de la válvula tricúspide, en un 46,3% (n=88) una reparación de la valvular, y en un paciente una reparación de una fuga periprotésica. En 77 pacientes se realizó una anuloplastia con anillo y en 3 pacientes una anuloplastia con sutura. La mortalidad observada fue del 6,8% con un IMAR del 1,3.
Cirugía polivalvularEn 1.606 pacientes se realizó una cirugía polivalvular. La mediana de edad de estos pacientes fue del 71,6% años (IQR: 64,3-76,3) y el 54,9% (n=881) eran mujeres. La media del EuroSCORE II fue del 8,5% (DE: 10,7) y la del EuroSCORE I del 11,0% (DE: 12,4). En un 9,8% (n=157) se realizó una revascularización coronaria concomitante. El procedimiento más realizado fue el mitro-tricúspide en un 42,0% (n=673), seguido del mitro-aórtico en un 39,2% (n=628) (fig. 24). La mortalidad observada fue del 8,0% con un IMAR del 0,94 (fig. 25). El AUC fue de 0,657 (IC 95%: 0,60-0,72) presentando en este grupo el EuroSCORE II una mala calibración y discriminación (fig. 26).
Se realizaron un total de 2.169 intervenciones sobre la aorta. La mediana de edad fue de 65,0 años (IQR: 54,7-73,1) y el 59,4% (n=1.288) eran mujeres. La mediana del EuroSCORE II fue del 9,2% (DE: 11,6) y la del EuroSCORE I del 17,8% (DE: 15,9). El 67,6% de las intervenciones se realizaron de manera electiva (fig. 27).
En un 20,1% (n=435) presentaban algún tipo de síndrome aórtico (14,1% disección aguda tipo A, 2,8% disección crónica tipo A, 0,9% disección aguda tipo B, 1,9% disección crónica tipo B y 0,4% disección no A no B). En la raíz y aorta ascendente la afección más frecuente es la afección aneurismática sin ruptura (61,5 y 65,3%, respectivamente), mientras que en el cayado y aorta descendente es el síndrome aórtico agudo (48,0 y 28,8%, respectivamente) (fig. 28).
La figura 29 resume los principales procedimientos realizados por año de intervención. Se realizó una cirugía compleja del arco aórtico con implante de prótesis híbrida trompa de elefante en 173 pacientes, de las cuáles, 65 se realizaron en 2024.
La media del EuroSCORE II de los pacientes con algún tipo de síndrome aórtico fue del 12,1% (DE: 12,4), mientras que para el resto de los pacientes fue del 8,4% (DE: 11,2). La mediana de estancia en la UCI para los pacientes sin síndrome aórtico agudo fue de 3 días (IQR: 2-5) y la de estancia global de 8 días (IQR: 6-14). La mediana de estancia en la UCI para los pacientes con síndrome aórtico agudo fue de 5 días (IQR: 2-12) y la de estancia global de 13 días (IQR: 7-26).
La mortalidad global observada de este grupo fue del 8,5% (n=185) con un IMAR del 0,92. La mortalidad de los pacientes con síndrome aórtico agudo fue del 20% (n=87), con un IMAR del 1,65, y para el resto de los pacientes la mortalidad fue del 5,7%, con un IMAR del 0,68 (fig. 30). El AUC para los pacientes con procedimientos sobre la aorta (excluidos los pacientes con SAA) fue de 0,725 (IC 95%: 0,66-0,79). El EuroSCORE II en este grupo sobreestima a los pacientes de alto riesgo (fig. 31).
La tabla 4 resume otros procedimientos realizados de manera global y en el 2024. En la tabla 5 se incluyen los trasplantes realizados por año de intervención y mortalidad. En total se han incluido 143 trasplantes cardiacos y un cardiopulmonar. La mortalidad global observada en los pacientes trasplantados fue del 6,3%.
Otros procedimientos
| Casos global (n) | Mortalidad observada global (%) | Casos en 2024 (n) | Mortalidad observada en 2024 (%) | |
|---|---|---|---|---|
| Tumor cardiaco benigno | 152 | 0,0 | 52 | 0,0 |
| Tumor cardiaco maligno | 15 | 6,7 | 5 | 0,0 |
| Miectomía | 108 | 5,6 | 41 | 4,9 |
| Reconstrucción ventricular | 15 | 40,0 | 6 | 66,7 |
| Asistencia ventricular izquierda | 156 | 25,6 | 84 | 25 |
| Asistencia ventricular derecha | 35 | 54,3 | 11 | 63,6 |
| ECMO | 211 | 40,3 | 125 | 37,6 |
| Rotura de la pared libre del VI (sin CEC) | 22 | 45,5 | 11 | 36,4 |
| Rotura de la pared libre del VI (con CEC) | 11 | 45,5 | 5 | 60,0 |
| Aneurisma ventricular postinfarto | 16 | 12,5 | 4 | 25,0 |
| CIV postinfarto | 29 | 44,8 | 8 | 62,5 |
| Cirugía asilada de ablación de la FA | 33 | 3,0 | 13 | 0,0 |
| Pericardiectomías | 53 | 5,7 | 14 | 0,0 |
CEC: circulación extracorpórea; CIV: comunicación interventricular; ECMO: oxigenación por membrana extracorpórea; FA: fibrilación auricular; VI: ventrículo izquierdo.
Trasplante cardiaco
| Casos global (n) | Mortalidad observada global (%) | Casos en 2024 (n) | Mortalidad observada en 2024 (%) | |
|---|---|---|---|---|
| Trasplante cardiaco ortotópico, técnica biatrial | 30 | 13,3 | 11 | 9,1 |
| Trasplante cardiaco ortotópico, técnica bicava | 104 | 4,8 | 54 | 5,5 |
| Trasplante cardiopulmonar | 1 | 0,0 | 1 | 0,0 |
| Otras configuraciones | 9 | 0,0 | 8 | 0,0 |
La figura 32 resume las principales complicaciones postoperatorias por tipo de intervención. La cirugía de aorta se asocia a una mayor incidencia de ACV mayor, sangrado postquirúrgico y fibrilación auricular postquirúrgica. El IAM perioperatorio es más frecuente en los pacientes sometidos a cirugía de revascularización miocárdica.
DiscusiónLos resultados presentados por el Registro Español de Cirugía Cardíaca (RECC) entre los años 2021 y 2024 constituyen una fuente de información de alto valor para la evaluación sistemática de la actividad quirúrgica y los resultados en el ámbito de nuestra especialidad en España. Desde su creación en el 2021, el RECC se ha consolidado como una herramienta fundamental para el análisis de tendencias, la caracterización de perfiles de riesgo y la monitorización de resultados asistenciales.
Un aspecto especialmente relevante es el crecimiento sostenido en la participación de centros quirúrgicos, lo cual ha contribuido a aumentar la representatividad y robustez de los datos. Actualmente, más de 40 centros disponen de acceso al RECC; no obstante, el análisis actual se centra en los 23 centros que han aportado más de 40 procedimientos, una cifra inferior a los 59 centros incluidos en el último Registro de intervenciones de la SECCE, lo que limita parcialmente la generalización de los hallazgos2. Pese a ello, el aumento del volumen de procedimientos incluidos en 2024 refleja un compromiso creciente por parte de los servicios de cirugía cardíaca en la mejora de la calidad asistencial y la transparencia de resultados.
Durante el periodo analizado, se registraron 16.631 procedimientos, de los cuales 14.048 fueron cirugías cardiacas mayores. En 2024 se observó un incremento del 81,7% respecto al año anterior, con aumentos significativos en la cirugía de aorta (+75,9%), cirugía valvular (+57,5%) y cirugía de revascularización miocárdica (+55,8%).
La población intervenida presenta una edad media elevada (68,1 años), con una alta prevalencia de factores de riesgo cardiovascular. Los pacientes de mayor edad fueron aquellos sometidos a procedimientos transcatéter (TAVI y TMVR), mientras que los más jóvenes correspondieron a intervenciones sobre la válvula tricúspide y reparación mitral. Predominó el sexo masculino (75,7%), especialmente en la cirugía coronaria (85%) y reparación mitral (68,8%).
La utilización del EuroSCORE II ha permitido ajustar los resultados en función del riesgo, con una media del 5,4% (DE: 8,5). A nivel global, el índice mostró una adecuada discriminación (AUC: 0,787 [IQR: 0,77-0,80]) y calibración en los pacientes de bajo riesgo; sin embargo, su rendimiento fue subóptimo al analizar subgrupos específicos, tendiendo a sobreestimar la mortalidad en cirugía coronaria, sustitución valvular aórtica, cirugía polivalvular y cirugía de aorta.
En cuanto al tipo de intervenciones, la cirugía valvular fue la más frecuente (53,0%), seguida de la cirugía de revascularización coronaria aislada en un tercio de los pacientes. Estos datos son consistentes con los reportados por la SECCE2. La mayoría de los procedimientos fueron programados (69,1%), y solo el 5,9% correspondió a situaciones emergentes o en parada cardiorrespiratoria.
En cirugía de revascularización miocárdica, se evidenció una mayor proporción de casos electivos en los últimos años, representando hasta la mitad de los procedimientos de cirugía de revascularización miocárdica aislada. Se realizó una revascularización sin circulación extracorpórea (CEC) en el 37,9% de los pacientes y se observó una tendencia creciente hacia la revascularización completa (79,8% en 2024). El uso de doble injerto arterial fue mayor en la cirugía sin CEC (56,2%) que con CEC (49,8%), con diferencias estadísticamente significativas (p<0,001). Predomina el uso de la arteria mamaria interna derecha en un 39,0% frente a la arteria radial en un 15,6%. La mortalidad observada para los pacientes sometidos a revascularización miocárdica con CEC fue mayor a la esperada por el EuroSCORE II, mientras que para los pacientes sometidos a cirugía de revascularización sin circulación extracorpórea fue menor con un IMAR del 0,48.
La cirugía valvular aórtica fue la más prevalente dentro de la afección valvular (48,3%), con una revascularización miocárdica concomitante en casi un tercio de los casos. A pesar del predominio de prótesis biológicas, se observó un aumento progresivo del uso de prótesis mecánicas (del 20,5% en 2021 al 28,8% en 2024). Esto puede ser debido a la disminución de la edad de los pacientes sometidos a cirugía de sustitución valvular aórtica por el incremento del implante de TAVI, como se puede ver reflejado en el último año donde se introdujeron 120 procedimientos tipo TAVI frente a los 59 en el 2023, con preferencia por el acceso transaxilar desde 2022.
La reparación mitral ha ganado protagonismo (del 28,8% en 2021 al 36,7% en 2024). Sin embargo, la ablación concomitante de fibrilación auricular se aplicó en solo el 12,5% de los casos, a pesar de las recomendaciones actuales de las últimas guías clínicas8. En la sustitución valvular mitral, la distribución entre prótesis biológicas y mecánicas fue casi equitativa (50,5% biológicas vs. 49,5% mecánicas). En cirugía tricúspide aislada, se realizó sustitución en el 53,2% y reparación en el 46,3%. Entre las cirugías polivalvulares, predominaron las combinaciones mitro-tricúspide (42,0%) y mitro-aórtica (39,2%).
En el tratamiento de la afección aórtica, se diferenciaron claramente los pacientes con síndrome aórtico agudo (SAA), quienes presentaron mayor riesgo y mortalidad (IMAR: 1,65) respecto al otro subgrupo sin afección aórtica aguda (IMAR: 0,68). Destaca el aumento en el uso de prótesis híbridas tipo «trompa de elefante» para la afección compleja del cayado aórtico (65 implantes en 2024).
Las intervenciones asociadas a complicaciones mecánicas del infarto y a dispositivos de soporte circulatorio mostraron una mortalidad especialmente elevada, lo que subraya la gravedad de estos escenarios clínicos. En 33 pacientes se realizó una ablación aislada de la fibrilación auricular, de los cuáles, 13 fueron en el 2024.
La mortalidad observada en la cohorte global fue del 5,1%, disminuyendo al 3,4% en el 2024. Globalmente, el IMAR fue inferior a 1 en la mayoría de las afecciones, excepto en la sustitución mitral (IMAR: 1,30), cirugía tricúspide aislada (IMAR: 1,30) y SAA (IMAR: 1,65). Estos hallazgos se mantienen al analizar los datos de 2024, donde el IMAR global fue de 1,08. Resultados similares se reflejan en el registro nacional de la SECCE2.
Otro valor diferencial del RECC es su capacidad para el seguimiento longitudinal, permitiendo evaluar la supervivencia y la efectividad de los tratamientos a largo plazo. La integración con registros poblacionales como el INDEF facilita el acceso a datos de mortalidad y abre nuevas oportunidades para el análisis de resultados clínicos sostenidos en el tiempo.
En términos generales, los datos del RECC confirman que la cirugía cardíaca en España mantiene estándares de calidad comparables a los de otros países europeos. No obstante, persisten desafíos relevantes como el relevo generacional, la creciente presión asistencial, la optimización de recursos y la incorporación progresiva de tecnologías emergentes como la cirugía robótica o la inteligencia artificial en la toma de decisiones clínicas.
En conclusión, el RECC constituye una herramienta esencial para el análisis y la mejora de la cirugía cardíaca en España. La consolidación de este registro, su ampliación en términos de cobertura y variables recogidas, y su utilización sistemática como instrumento de evaluación y planificación sanitaria son pasos fundamentales para garantizar una atención de calidad, eficiente y equitativa a los pacientes con afección cardiovascular.
FinanciaciónLos autores de este artículo declaran no haber recibido financiación para la elaboración del mismo.
Consideraciones éticasEl presente trabajo no comporta experimentación en animales, no se trata de un ensayo clínico, y los datos mostrados en las tablas y figuras se recogen en el apartado de resultados y conclusiones.
Conflicto de interesesLos autores declaran no tener ningún conflicto de interés relacionados con el contenido del manuscrito.
El presente artículo ha sido realizado por el comité científico del RECC y validado por la SECCE para su publicación.








































