Desde el 8 de febrero de 2021, la Sociedad Española de Cirugía Cardiovascular y Endovascular (SECCE) puso en marcha el Registro Español de Cirugía Cardiaca (RECC) que está disponible para las diferentes unidades de cirujanos cardiovasculares de nuestro país. Es una herramienta que permite recopilar datos de pacientes sometidos a cirugía cardiaca, vascular o endovascular. Tras dos años de desarrollo, hemos llevado a cabo un análisis de la calidad de la información obtenida para adquirir una visión general de su contenido.
MétodosLa información ha sido analizada de forma anónima a nivel de paciente, hospital y provincia. Para la estimación de la mortalidad ajustada por riesgo se utilizó la escala de estimación de riesgo preoperatorio EuroSCORE II.
ResultadosSe han incluido en el RECC un total de 7.087 intervenciones, de las cuales 6.267 se trataban de cirugías cardiacas mayores. Del total de intervenciones mayores, 53,9% eran cirugías valvulares, 25,2% de revascularización miocárdica y 14,9% de aorta. La mortalidad global de la serie fue de 5,0% y el índice de mortalidad ajustada al riesgo (IMAR) de 0,88. La calibración del EuroSCORE II en la muestra global fue buena en los pacientes de riesgo más bajo, aunque sobreestimó la mortalidad en los de alto riesgo.
ConclusionesEl RECC se trata de una base de datos clínica nacional que permite el análisis de datos de pacientes con el fin de evaluar de forma precisa el volumen de la actividad, riesgo y resultados. A nivel local, podría utilizarse como una herramienta para mejorar la calidad de la atención y el desarrollo de programas correctivos.
Since February 8, 2021, the Spanish Society of Cardiovascular and Endovascular Surgery got under way the Spanish Registry of Cardiac Surgery (RECC), which is available for the different units of cardiovascular surgeons in our country. It is a tool that allows collect patient-level data of patients undergoing cardiac, vascular or endovascular surgery. After two years of development, we have carried out an analysis of the quality of the information obtained in order to acquire an overview of its content.
MethodsThe information has been analyzed anonymously at patient, hospital and province level. For risk-adjusted mortality estimation, the EuroSCORE II preoperative risk estimation scale was used.
ResultsA total of 7087 interventions have been included. Six thousand two hundred and sixty-seven were major cardiac surgeries: 53.9% valvular, 25.2% coronary artery bypass grafting, and 14.9% aortic procedures. The overall mortality was 5.0% and the risk-adjusted mortality rate was 0.88. The EuroSCORE II calibration in the overall sample was good in the lowest-risk patients, although it overestimated mortality in high-risk patients.
ConclusionsRECC is a nationally defined clinical database in the field of cardiovascular surgery. RECC allows a patient-level data analysis in order to perform an accurate analysis of the volumen of activity, risk adjustment and results. Locally, it could be used as a tool to improve the quality of care and development of corrective programs.
En febrero de 2021, la Sociedad Española de Cirugía Cardiovascular y Endovascular (SECCE) puso en marcha el Registro Español de Cirugía Cardiaca (RECC), con el fin de ofrecer a los distintos servicios y unidades de nuestra especialidad una herramienta que permitiese recoger información a nivel de paciente de enfermos intervenidos de una cirugía cardiaca, vascular o endovascular.
Tras dos años de funcionamiento, 15 centros aportan datos al RECC (Anexo 1) y se han activado licencias para otros siete hospitales. Con los datos existentes, dos años después de su inicio, hemos realizado un análisis de la calidad de la información obtenida y de los resultados con el objetivo de obtener una visión general de su contenido.
Material y métodosSe ha realizado un análisis de los datos de RECC en el periodo comprendido entre el 8 de febrero de 2021 y el 10 de febrero de 2023 para evaluar la calidad de la información, el volumen de intervenciones, el perfil de riesgo de los pacientes y la mortalidad perioperatoria de aquellos sometidos a una cirugía cardiaca mayor. Además, se ha hecho un análisis estratificado por tipo de intervenciones.
Análisis de calidad de los datosAnalizamos el volumen de datos perdidos de variables clave como mortalidad, estancias y la escala de estimación de riesgo preoperatorio EuroSCORE II. En el RECC están habilitadas distintas maneras de registrar las variables para el cálculo del EuroSCORE II: en forma de campos obligatorios (como la edad o el sexo) o de formularios redundantes (como la presión sistólica de la arteria pulmonar o la fracción de eyección del ventrículo izquierdo). De hecho, existe un formulario denominado «Exploración básica» que permite recoger de manera rápida todas las variables hemodinámicas y analíticas del EuroSCORE sin tener que completar formularios adicionales. Se puede encontrar más información al respecto en la página de Internet del RECC1 en la sección «Videos de interés». Consideramos que, habida cuenta de los datos fundamentales registrados en ese formulario, era necesario evaluar su cumplimentación para valorar la calidad del registro.
Análisis del perfil de riesgo y la mortalidadEvaluamos la comorbilidad y el perfil de riesgo según EuroSCORE II2. Además de analizar la mortalidad bruta, también medimos la ajustada al riesgo. Para esto último se empleó el índice de mortalidad ajustada al riesgo (IMAR), como el cociente de la mortalidad observada y la estimada por EuroSCORE II. De manera que, una cifra inferior a 1 representará resultados mejores de los esperados.
Análisis de otros eventos y estanciasComo eventos ocurridos en el posoperatorio se analizó la incidencia de reintervención por sangrado, accidente cerebrovascular (ACV), infarto agudo de miocardio (IAM) y daño renal según la escala de insuficiencia renal aguda (AKIN) estadio III. Todas estas están incluidas en el RECC siguiendo las definiciones de los criterios del Valve Academic Research Consortium (VARC)3,4.
Además de lo anterior, se hizo un análisis de tendencias por trimestres desde febrero de 2021 hasta febrero de 2023, y estratificado por los siguientes tipos de cirugía:
- •
Cirugía de revascularización miocárdica (cirugía de bypass coronario [CABG]): con y sin circulación extracorpórea (CEC).
- •
Valvular: se consideró dentro de este grupo todo procedimiento valvular aislado, así como cirugía combinada o mixta en la que se asocia intervención valvular y coronaria.
- •
Aorta: toda cirugía que implique la intervención en algún fragmento de la aorta torácica. Además, esta se dividió por segmentos (raíz, aorta ascendente, cayado aórtico y aorta descendente).
- •
Otras con CEC: cualquier procedimiento cardiaco con CEC no incluido en las categorías anteriores.
- •
Otras sin CEC: cualquier procedimiento cardiaco sin CEC no incluido en las categorías anteriores.
El análisis estadístico se realizó empleando el programa STATA/ BE 17.0 (StataCorp LP, College Station, TX, EE. UU.). En cada subgrupo de patologías se indicó el recuento de procedimientos y la mortalidad. Esta última observada en cada subgrupo de enfermedades se calculó como el porcentaje de fallecimientos respecto al total del subgrupo. Las variables categóricas se representan como frecuencias absolutas y porcentajes, y las variables cuantitativas mediante medias y desviaciones estándar (DE) o medianas y rango intercuatílico (IQR) si no seguían una distribución normal. Para el análisis de tendencia se utilizó X2. La mortalidad esperada se calculó mediante el riesgo estimado preoperatorio a través de la escala EuroSCORE II. Este valor se obtuvo en cada subgrupo a través de la media de los valores aportados en el grupo analizado. Se ha calculado el IMAR como reflejo de la mortalidad observada en relación con la esperada. Se efectuó un análisis del rendimiento del EuroSCORE II, evaluando la discriminación mediante el cálculo del área bajo la curva (AUC) y la calibración por medio de la evaluación de la pendiente de calibración y punto de corte de esta última.
ResultadosDatos generales del RECC 2021-2022Del 8 de febrero de 2021 al 10 de febrero de 2023 se han incluido en el RECC un total de 7.087 intervenciones. La figura 1 representa la distribución de las intervenciones por trimestres. Del total de estas, 6.267 se trataban de cirugías cardiacas mayores.
Calidad de los datosCon respecto de la calidad de los datos, se observó 11,6% de errores en una o más de las variables de EuroSCORE II de los pacientes sometidos a cirugías cardiacas mayores. La figura 2 muestra la distribución del porcentaje del EuroSCORE II calculado válido por trimestres (pTL = 0,10).
De los pacientes, 18,9% presentaba una estancia en Unidad de Cuidados Intensivos (UCI) desconocida (pTL = 0,02). Se ignoraba la estancia total de 9,6% (n = 601) y 11,5% mostraba una estancia al alta desconocida (pTL < 0,001) (fig. 3). La mortalidad no estaba recogida en 9,2% de los sujetos (pTL = 0,12).
Análisis global de los datosCon respecto al perfil de riesgo de los pacientes, la media de edad fue de 65,6 años (DE 12,4). La figura 4 representa la distribución de la edad por rangos. De los sujetos, 41,9% era mayor de 70 años y 67,5% eran varones (fig. 5).
La mayoría de los pacientes se intervinieron de manera electiva (67,0%). La figura 6 muestra la prioridad de la operación.
En la figura 7 se observa el perfil de riesgo global de los pacientes. De estos, 11,7% tenía antecedente de una cirugía cardiaca previa, 32,5% presentaba una clase funcional según la clasificación de la New York Heart Association (NYHA) clase III/IV preoperatoria, y 6,7% de los sujetos requería de soporte vasoactivo (SVA) preoperatorio. Manifestaba enfermedad renal crónica (ERC) preoperatoria 25,9% y 1,9% requería de terapia renal sustitutiva con diálisis. Como ejemplo de la evaluación de la dependencia y fragilidad de los pacientes, observamos que 65,5% presentaba un apoyo social adecuado.
La media del EuroSCORE II fue de 5,6% (DE 8,5). La figura 8 representa la distribución del EuroSCORE II.
Del total de intervenciones mayores, 53,9% eran cirugías valvulares, 25,2% de revascularización miocárdica, 14,9% de aorta, 4,2% otros procedimientos con CEC y 1,8% otros procedimientos sin CEC (fig. 9). La figura 10 muestra la distribución del EuroSCORE II por tipo de procedimiento (p < 0,001) y la figura 11 la distribución de la edad por tipo de procedimiento (p < 0,001). Del total de intervenciones, 11,6% se realizaron por un acceso mínimamente invasivo. En 11,8% de los procedimientos se efectuó una extubación posoperatoria precoz en el propio quirófano.
Se observaron diferencias estadísticamente significativas entre la prioridad por tipo de procedimiento (p < 0,001) (fig. 12). La mayoría de los pacientes sometidos a revascularización miocárdica se intervinieron de manera urgente o emergente (53,3%). En el grupo de patología de la aorta, se registró la proporción más alta de intervenciones emergentes o en parada (18,7%).
La mediana de estancia total fue de 11 días (IQR 8 – 19) y la mediana de estancia posoperatoria de ocho días (IQR 6-13). En la figura 13 se observa la mediana de estancia posoperatoria por tipo de intervención. La mediana de estancia en UCI fue de dos días (IQR 1- 4). La mortalidad global de la serie fue de 5,0% y el IMAR de 0,88.
Se realizó un análisis de la discriminación y calibración del EuroSCORE II de la cohorte global (fig. 14). El AUC fue de 0,78 (intervalo de confianza [IC] 95% 0,75-0,81). La calibración del EuroSCORE II en la muestra global fue buena en los pacientes de riesgo menor, aunque sobreestimó la mortalidad en aquellos de alto riesgo.
Análisis de la cirugía coronaria aislada en el registro 2021-2022Se registraron 1.578 cirugías de revascularización coronaria aislada. La mediana de edad fue de 66,8 años (IQR 59,5-72,3), y la media del EuroSCORE II de 3,1% (DE 4,6). De los pacientes, 50% eran diabéticos, 22,1% presentaba ERC, 3,7% necesidad de diálisis preoperatoria y 26,8% antecedente de IAM.
Según la clasificación de la severidad de la angina estable de la Canadian Cardiovascular Society (CCS), 41,8% presentaba una clase III/IV. De los pacientes, 35% mostraron un síndrome coronario agudo sin elevación del ST (SCASEST) preoperatorio y 6,8% un síndrome coronario agudo con elevación del ST (SCACEST). De las cirugías de revascularización miocárdica, 48,3% se intervinieron de manera urgente y 46,7% de forma electiva (fig. 15).
Del total de sujetos, 56,8% se intervinieron sin CEC (fig. 16). De ellos, 25 fueron reconvertidos a cirugía con CEC y 16 requirieron de soporte con oxigenación por membrana extracorpórea (ECMO) o asistencia circulatoria mecánica.
Un total de 27,3% presentaba enfermedad coronaria severa del tronco coronario izquierdo (TCI). De los pacientes con esta patología, 63% manifestaba enfermedad coronaria severa de tres vasos y de aquellos sin enfermedad severa del TCI, 66% presentaba enfermedad multivaso (fig. 17).
En 12 pacientes se realizó cirugía de revascularización miocárdica mediante bypass de arteria mamaria interna izquierda a descendente anterior por minitoracotomía anterolateral izquierda (revascularización coronaria quirúrgica mínimamente invasiva [MIDCAB]). En 60,1% de los procedimientos se efectuó una revascularización miocárdica con tres o más injertos coronarios. Al analizar por tipo de procedimiento, en 59,1% de las intervenciones realizadas sin CEC y en 60,9% de la cirugía de revascularización miocárdica llevada a cabo con CEC, se utilizaron tres o más injertos coronarios (p = 0,83) (fig. 18). Se hizo una revascularización miocárdica completa en 74,2% de los pacientes.
En 53,2% de los pacientes sometidos a cirugía de revascularización miocárdica aislada se utilizó al menos un doble injerto arterial (fig. 19).
La mediana de estancia en UCI fue de dos días (IQR 1-3) y de estancia posoperatoria de siete días (IQR 6-10). La mortalidad global de los pacientes con revascularización miocárdica aislada fue de 2,1% y el IMAR de 0,67. El IMAR en cirugía de revascularización miocárdica sin CEC fue de 0,27 y con CEC de 0,98. Se analizó la mortalidad global y ajustada por EuroSCORE II por grupos de edad, observándose una mortalidad global menor a la esperada por EuroSCORE II (fig. 20). Se analizaron las curvas Receiver-Operating-Characteristic (ROC) del EuroSCORE II. El AUC fue de 0,71 (IC 95% 0,60-0,81) (fig. 21). La calibración del EuroSCORE II fue muy mala y sobreestimó la mortalidad, salvo en los pacientes de muy bajo riesgo.
Análisis de la cirugía valvular en el registro 2021-2022Un total de 3.376 pacientes fueron sometidos a cirugía valvular. La mediana de edad fue de 69,8 años (IQR: 61,7-75,7). La media del EuroSCORE II fue de 5,2% (DE 7,6). De los pacientes, 78,6% se intervinieron de manera electiva (fig. 22).
Más de 50% de las intervenciones valvulares se trataban de cirugía valvular aórtica aislada, y en 21,3% se realizó una intervención sobre dos o más válvulas (fig. 23). En 15,6% se efectuó cirugía coronaria concomitante.
Cirugía valvular aórticaUn total de 1.666 pacientes se intervinieron de cirugía valvular aórtica aislada. La mediana de edad fue de 70,6 años (IQR 62,9-75,6) y la media del EuroSCORE II del 4,1% (DE 6,5). La principal etiología fue la degenerativa en 67,4%, seguido de la congénita en 13,2%, endocarditis nativa en 5,7%, funcional en 4,2%, disfunción protésica/reparación previa en 3,2%, endocarditis protésica en 2,4% y otra causa en 1,8%. Se realizó una revascularización coronaria concomitante en 20,4% de los pacientes.
En la tabla 1 podemos observar los diferentes tipos de procedimientos valvulares aórticos. La sustitución valvular aórtica aislada se efectuó en 87% de los pacientes, y en 7,3% se implantó una prótesis aórtica transcatéter (TAVI). La mediana de edad de los pacientes a los que se les realizó una sustitución valvular aórtica quirúrgica fue de 70,6 años (IQR 62,9-75,9) y la media del EuroSCORE II de 3,9% (DE 6,3).
De las prótesis implantadas para la sustitución valvular aórtica, 77,6% fueron prótesis biológicas. Se analizó la distribución del tipo de prótesis por rango de edad, observándose que, en menores de 50 años, 72,1% de las prótesis implantadas fueron mecánicas, mientras en mayores de 80 años, 100% fueron biológicas (fig. 24).
En los pacientes a los que se les implantó una TAVI, la mediana de edad fue de 79,3 años (IQR 74,1-83,2) y la media del EuroSCORE II del 6,0 (DE 8,6). En 73,9% se utilizó un acceso transaxilar, en 13,9% transapical y en 12,2% transaórtico.
La mortalidad observada en la sustitución valvular aórtica quirúrgica fue de 1,7% (IMAR 0,42), y en el implante de TAVI de 4,3% (IMAR 0,71). La mortalidad de los pacientes a los que se les realizó un procedimiento mixto de sustitución valvular aórtica con revascularización miocárdica concomitante fue de 3,3% (IMAR 0,61).
La mediana de estancia global en UCI de los pacientes sometidos a intervención valvular aórtica aislada fue de dos días (IQR 1-3) y la de estancia posoperatoria de siete días (IQR 6-10).
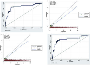
Se analizaron las curvas ROC del EuroSCORE II en la sustitución valvular aórtica y en la TAVI. El AUC fue de 0,85 (IC 95% 0,7-1) para la sustitución y de 0,86 (IQR 95% 0,8-0,9) para la TAVI (fig. 25). De nuevo, se observa que la calibración del EuroSCORE II fue muy mala pues sobreestimó la mortalidad en cirugía valvular aórtica en todo el espectro del riesgo.
Curvas ROC SVAO y TAVI.
25.1 Curvas ROC para pacientes a los que se les implantó una TAVI. 25.2 Curvas ROC para pacientes a los que se les realizó una sustitución valvular aórtica.
ROC: Receiver-Operating-Characteristic; SVAo: sustitución valvular aórtica; TAVI: prótesis aórtica transcatéter.
Del total de pacientes, 25,2% (n = 840) fueron sometidos a intervención aislada de la válvula mitral. La mediana de edad fue de 69,2 años (IQR 59,1-74,7) y la media del EuroSCORE II del 4,7% (DE 6,5). La fracción de eyección del ventrículo izquierdo (FEVI) estaba preservada en 77,2% de los sujetos, y 38,7% presentaba fibrilación auricular. Se realizó un procedimiento de revascularización miocárdica concomitante en 14,1%, y en 9,4% se llevó a cabo una exclusión de la orejuela izquierda.
La tabla 2 recoge los principales procedimientos realizados sobre la válvula mitral. En 57,5% de los pacientes se efectuó una sustitución valvular mitral nativa y en casi 30% se llevó a cabo una reparación valvular mitral. En 1,3% de los sujetos se hizo un procedimiento percutáneo. En la sustitución valvular mitral, 50,4% de las prótesis utilizadas fueron mecánicas. Por rango de edad, en mayores de 80 años, 87,8% fueron biológicas y en menores de 50 años, 83,3% fueron mecánicas (fig. 26).
Tipos de procedimientos válvula mitral
| Procedimiento | Frecuencia (n) | % |
|---|---|---|
| Sustitución quirúrgica | 483 | 57,5 |
| Reintervención protésica | 80 | 9,5 |
| Plastia quirúrgica | 248 | 29,5 |
| TVMR | 11 | 1,3 |
| TOP MINI | 18 | 2,1 |
TVMR: remplazo de la válvula mitral transcatéter; TOP-MINI: reparación valvular mitral transapical sin circulación extracorpórea con implante de neocuerdas.
La causa más frecuente de valvulopatía mitral en pacientes sometidos a plastia mitral fue el prolapso mitral, mientras que en aquellos sometidos a sustitución protésica lo más común fue la enfermedad reumática, seguida del prolapso y la enfermedad degenerativa calcificada (fig. 27).
La mediana de estancia en UCI fue de tres días (IQR 2-4). La mortalidad observada en la sustitución valvular mitral fue de 6,6% (IMAR 1,1) y de la plastia mitral de 2,6% (IMAR 1,0). La mortalidad observada en la sustitución y en los procedimientos transcatéter fue mayor a la esperada por EuroSCORE II (IMAR 1,6) (fig. 28). La mortalidad de los pacientes sometidos a procedimientos sobre la válvula mitral y cirugía coronaria concomitante fue de 6,8% (IMAR 0,82). El AUC de la curva ROC del EuroSCORE II en procedimientos mitrales fue de 0,73 (IQR 0,7-0,8) (fig. 29). En este caso, el EuroSCORE II infraestimó la mortalidad en personas de un perfil de riesgo bajo y sobreestimó la mortalidad en aquellas con perfil de riesgo alto.
Se realizó un procedimiento polivalvular en 759 pacientes. La mediana de edad fue de 71,3 años (IQR 64,3-76,9) y la media del EuroSCORE II del 8,8% (DE 9,9). La mortalidad observada fue de 7,7% (IMAR 0,87).
Análisis de la cirugía de la aorta en el registro 2021-2022En un total de 933 (13,2%) pacientes se realizó un procedimiento sobre la aorta torácica. La mediana de edad fue de 64,8 años (IQR 55,0-73,1), y la media del EuroSCORE II del 9,9% (DE 11,9).
Del total de pacientes, 66,4% se intervinieron de manera electiva, y 33,7% de forma urgente. Presentaba un síndrome aórtico 22%. En 16,9% se trataba de una disección aguda tipo A, en 2,8% de una disección crónica tipo A, en 1% de una disección aguda tipo B y en 1,3% de una disección crónica tipo B. Por segmento analizado, en la raíz aórtica y aorta ascendente, la patología más frecuente fue la enfermedad aneurismática, mientras que en el arco y aorta descendente fue el síndrome aórtico agudo (fig. 30).
En la raíz aórtica, la técnica más empleada fue el conducto valvulado mecánico (31,8%) y el conducto valvulado biológico (23,2%). Se realizó una cirugía de preservación valvular aórtica según la técnica de David en 18,7%. A nivel del arco aórtico, se efectuó un hemiarco en 43,1% y una técnica trompa de elefante (FET) en 34,1% (tabla 3).
Técnica quirúrgica por segmento de la aorta
| Técnica | n | % |
|---|---|---|
| Raíz aórtica | ||
| Conducto valvulado mecánico | 129 | 31,8 |
| Conducto valvulado biológico | 94 | 23,2 |
| Xenoinjerto | 11 | 2,7 |
| Homoinjerto | 6 | 1,5 |
| David | 76 | 18,7 |
| Yacoub | 14 | 3,5 |
| Reparación seno con parche | 41 | 10,1 |
| Otras | 35 | 8,6 |
| Aorta ascendente | ||
| Conducto supracoronario | 650 | 97,6 |
| Aortoplastia | 6 | 0,9 |
| Wraping AA | 2 | 0,3 |
| Endovascular | 2 | 0,3 |
| Otras | 6 | 0,9 |
| Arco | ||
| Hemiarco | 91 | 43,1 |
| Arco completo | 21 | 10,0 |
| TE convencional | 14 | 6,4 |
| FET | 72 | 34,1 |
| Reparación | 2 | 1,0 |
| Endovascular | 11 | 5,2 |
| Aorta descendente | ||
| Conducto | 20 | 18,7 |
| Sutura termino-terminal | 1 | 0,9 |
| Bypass Ao-Ao | 1 | 0,9 |
| Endoprótesis libre | 1 | 0,9 |
| FET | 72 | 69,9 |
| Endovascular | 12 | 11,7 |
AA: aorta ascendente; Ao-Ao: aorto-aórtico; FET: técnica trompa de elefante; TE: trompa de elefante.
La mortalidad de la cirugía de aorta en pacientes que no presentaban un síndrome aórtico fue de 4,8% (IMAR 0,54) y la de aquellos con síndrome aórtico, de 23,3% (IMAR 1,76) (fig. 31).
El AUC de la curva ROC del EuroSCORE II en la patología de aorta fue de 0,71 (IQR 0,6-0,8) (fig. 32). De nuevo, en este grupo la calibración del EuroSCORE II fue mala.
Análisis de los eventos y complicaciones en el registro 2021-2022La incidencia global de daño renal agudo según la escala AKIN en estadio III fue de 2,8%, la de ACV mayor de 1,2%, la de IAM perioperatorio de 0,8% y la de reintervención por sangrado de 4,2%.
Por tipo de procedimiento, la reoperación por sangrado fue más frecuente en pacientes sometidos a cirugía de aorta, al igual que los ACV y el daño renal agudo (fig. 33).
DiscusiónDesde hace más de 25 años, la SECCE publica los resultados anuales de la actividad de la especialidad a nivel nacional5,6. El principal valor de este registro es que ofrece una perspectiva histórica de la especialidad en nuestro país, pero tiene importantes limitaciones, puesto que la información obtenida proviene de un registro con datos agregados no auditables y aportados de manera voluntaria por los centros participantes.
Como evolución de este registro, la SECCE puso en marcha en 2020 el diseño del RECC, una herramienta de acceso gratuito para los miembros de la SECCE que permitiría capturar datos a nivel de paciente e intervención de cualquier cirugía en nuestro país. En febrero de 2021 se abrió el registro al uso para todos los centros españoles con cirugía cardiaca.
El RECC se trata de un registro nacional realizado a nivel de paciente, que permite recopilar más de 1.300 variables distintas. Es capaz de capturar información clínica, quirúrgica y de diferentes exploraciones diagnósticas utilizando definiciones estandarizadas y dando soporte a todo el proceso asistencial (la valoración preoperatoria, el procedimiento quirúrgico, el curso posoperatorio y el seguimiento a largo plazo). Inicialmente, se puso en marcha el módulo de cirugía cardiaca del adulto, en 2022 se incluyeron los procedimientos endovasculares y transcatéter, y en el futuro está prevista la integración de las cardiopatías congénitas. El RECC funciona como un sistema de información de uso diario que permite combinar el registro de información con tareas asistenciales (generación de informes, gestión de lista de espera, etc.), realizar un análisis del rendimiento del proceso e implementar medidas correctivas o de mejora. La homogeneización de la información en el RECC mediante definiciones estandarizadas, normas lógicas y reglas jerárquicas facilita su posterior comparación entre centros y el «benchmarking». Además, el acceso al RECC cuenta con robustas medidas de seguridad que permiten un acceso remoto a la información de manera segura.
Tras dos años de crecimiento y desarrollo del programa, se ha realizado un análisis de los resultados con el fin de dar visibilidad al potencial de la herramienta y animar a otros centros a participar en él. El presente trabajo que comprende registros de 2021 y 2022, y recoge un total de 7.087 intervenciones introducidas, de las cuales 6.267 se trataban de cirugías cardiacas mayores. Por ello, debemos tener en cuenta que la muestra no es representativa de la actividad global del país, ya que aborda menos de 25% de la actividad global anual de la misma6.
Con respecto a la calidad de los datos integrados en el RECC, hemos observado una mejoría progresiva con una disminución del número de variables fundamentales no introducidas. En 88,4% de los registros estaban plasmadas todas las variables necesarias para el cálculo del EuroSCORE II.
Si comparamos los resultados obtenidos con el último registro de intervenciones publicado en 20216, podemos observar que la cirugía valvular es el procedimiento más frecuentemente realizado en más de 50%, seguida de la cirugía de revascularización miocárdica en torno a 25%. Al revisar el perfil de riesgo de los pacientes, en ambas series es evidente cómo los sujetos con patología de la aorta presentan un EuroSCORE II más elevado, seguido de aquellos sometidos a cirugía valvular y de revascularización miocárdica.
La mortalidad global de la serie fue de 5,0%. El IMAR global, como reflejo de la mortalidad observada en relación con la esperada, fue de 0,88. En el análisis por procedimientos, el IMAR fue menor a 1 en la cirugía coronaria, valvular aórtica, polivalvular y cirugía de la aorta torácica, por lo que los resultados son mejores a los pronosticados. Otro hallazgo notable es el pobre rendimiento de EuroSCORE II en los pacientes del registro, con mala discriminación y calibración. La integración de información de otros centros debería animar a crear una escala propia para la predicción del riesgo.
La idea del RECC no es nueva. El registro de información a nivel nacional ya está ampliamente establecido en países de nuestro entorno como Reino Unido, Países Bajos, Suecia o EE. UU. Una de las bases de datos clínica de referencia por su alto nivel de calidad y cantidad de datos fuera del ámbito de nuestro país, es la Base de Datos Nacional de la Sociedad de Cirujanos Torácicos Estadounidense (STS7). Esta se inició en 1989 con la intención de crear una herramienta adecuada para la comparación de resultados, así como para mejorar la calidad de los procedimientos quirúrgicos. En la actualidad, la Base de Datos Nacional de la STS integrada por más de 1.073 grupos participantes y representando más de 90% de los programas de cirugía cardiaca de EE. UU. es uno de los registros clínicos más completos disponibles.
La Auditoría Nacional de Cirugía Cardiaca para Adultos (NACSA)8, que forma parte del programa nacional de auditoría cardiaca, recopila datos sobre las principales intervenciones cardiacas realizadas en Reino Unido. Esta base de datos auditada, que lleva registrando datos e información desde 1977, permite efectuar un análisis seguro anual de la cirugía cardiaca en Reino Unido. El proyecto tiene como objetivo mejorar los resultados clínicos de los pacientes al poner a disposición del público comparaciones de los hallazgos personales de un consultor local con los puntos de referencia nacionales.
Hasta ahora, la evaluación de la actividad de la cirugía cardiovascular y endovascular en España dependía del análisis de datos administrativos del conjunto mínimo básico de datos (CMBD), o del registro de intervenciones de la Sociedad Española Cirugía Torácica y Cardiovascular (SETCV)/SECCE antes mencionado. El análisis del CMBD para medir indicadores de proceso o resultado de la cirugía cardiaca ya ha sido objeto de polémica como el referente a la cirugía coronaria9 o a la combinada valvular y coronaria10. La ausencia de un registro clínico nacional a nivel de paciente ha sido una debilidad que no nos ha permitido hacer frente a la publicación de datos administrativos ni implementar herramientas de «benchmarking» ni programas de mejora asistencial como especialidad. La SECCE puso en marcha el RECC para dar respuesta a esta necesidad, pero su éxito y su validez como herramienta para reivindicar y mejorar la especialidad solo serán posibles si es adoptado mayoritariamente por los cirujanos en nuestro país.
Recientemente, en mayo de 2023 la SECCE recibió el premio Avedis Donabedian de mejora de la Calidad en una Sociedad Científica por la implantación del RECC. Más allá de la satisfacción que esto ha de suponer para los miembros de nuestra sociedad, este premio no es más que un reconocimiento externo y objetivo por parte de expertos en calidad de la utilidad del registro; y una llamada a los cirujanos cardiacos a reflexionar sobre la necesidad de integrarse.
ConclusionesEl RECC se trata de una base de datos clínica nacional que permite el análisis de datos a nivel de paciente con el fin de evaluar de forma precisa el volumen de la actividad, riesgo y resultados; y que puede ser utilizada como herramienta para mejorar la calidad asistencial y el desarrollo de programas de mejora asistencial a nivel local y nacional.
LimitacionesActualmente, un total de 15 centros aportan datos de manera activa en el RECC, y el total de procedimientos importados representa en torno a 25% de la actividad global del ámbito de la cirugía cardiovascular en nuestro país por lo que los resultados obtenidos pueden diferir de la actividad global real.
Consideraciones éticasLa información de RECC ha sido anonimizada a nivel de paciente, hospital, provincia y comunidad autónoma. Este estudio y la solicitud de información del RECC han sido aprobados por el Comité Científico del RECC y han seguido la política de gestión de datos expuesta en las bases del registro, que se pueden consultar en la página de Internet del RECC1.
El presente trabajo no comporta experimentación en animales, no se trata de un ensayo clínico y los datos mostrados en las tablas y figuras se recogen en el apartado de resultados y conclusiones.
FinanciaciónEste trabajo no ha recibido ningún tipo de financiación.
Conflicto de interesesLos autores declaran no tener ningún conflicto de intereses.
El presente artículo ha sido realizado por el comité científico del RECC y validado por la SECCE para su publicación.







































