Cada día se dispone de mayores evidencias científicas sobre el papel protector de la dieta mediterránea en la prevención primaria de estas enfermedades. Los últimos resultados del estudio PREDIMED (PREvención con DIeta MEDiterránea), que ha incluido 7.447participantes con alto riesgo vascular seguidos una media de 5años, confirman que una intervención con dieta mediterránea suplementada con aceite de oliva virgen extra o frutos secos reduce en un 30% el riesgo de padecer una complicación cardiovascular (infarto de miocardio, ictus o muerte cardiovascular). Este efecto protector se atribuye a que la dieta mediterránea mejora el metabolismo de la glucosa, reduce la presión arterial, mejora el perfil lipídico y disminuye los marcadores de oxidación e inflamación relacionados con la arteriosclerosis. Estos efectos son independientes de los polimorfismos de los principales genes implicados en los cambios lipídicos o la respuesta inflamatoria, lo que confirma la eficacia de la dieta mediterránea en la prevención de las enfermedades cardiovasculares y los principales factores de riesgo vascular, incluida la diabetes.
Several observational cohort studies and a secondary prevention trial have shown a protective effect of a Mediterranean diet on cardiovascular disease. The latest results of the PREDIMED study (PREvención con DIeta MEDiterránea), which included 7,447high cardiovascular risk participants followed up for a mean of 5years, have confirmed that a Mediterranean diet supplemented with extra-virgin olive oil or nuts reduced the incidence of cardiovascular events by 30%. This protective effect of the Mediterranean diet has been attributed to their actions on insulin sensitivity, blood pressure, lipid profile, oxidative stress, and inflammatory biomarkers related to atherosclerosis. These effects are independent of polymorphisms related to lipid changes or inflammatory response, a fact that confirms that Mediterranean diet is a useful tool in the prevention of cardiovascular disease and its main risk factors, including diabetes.
La primera causa de morbimortalidad en el siglo xxi continúa siendo la enfermedad cardiovascular, y según las previsiones de la Organización Mundial de la Salud, la enfermedad coronaria y los accidentes vasculares cerebrales continuarán siendo la principal causa de muerte en el año 20301. Sin embargo, esta epidemia podría limitarse con un retorno de la sociedad a un estilo de vida y una alimentación más sanos, como, por ejemplo la dieta mediterránea2. En este contexto merece destacarse el creciente interés por este tipo de patrón de alimentación en la literatura médica. De hecho, el número anual de publicaciones sobre el tema ha aumentado de menos de 10 en 1985 a cerca de 300 en 2012. No obstante, la mayoría de estos artículos científicos se basan en estudios observacionales (ecológicos, transversales o caso-control), cuando el mayor grado de evidencia científica se logra con estudios aleatorizados de intervención. Asimismo, numerosos ensayos clínicos han estudiado los efectos de esta dieta o de sus principales componentes sobre variables intermedias de riesgo vascular, como presión arterial, perfil lipídico, resistencia a la insulina o función endotelial2, hecho que ha añadido plausibilidad a los resultados de los estudios epidemiológicos al poner de manifiesto los posibles mecanismos de protección cardiovascular de la dieta mediterránea. No obstante, en la era de la medicina basada en la evidencia las recomendaciones nutricionales deberían basarse en resultados de grandes estudios aleatorizados de intervención en los que se hayan valorado variables finales del máximo peso específico, como mortalidad de causa cardiovascular, infarto de miocardio o accidentes vasculares cerebrales, con lo que se conseguiría que las recomendaciones que se deriven tengan el mayor grado de evidencia científica y, por lo tanto, menor probabilidad de error.
Definición de dieta mediterráneaLa dieta mediterránea se define como el patrón de alimentación propio de los países del área mediterránea donde crecen los olivos (Grecia, sur de Italia y España) de finales de la década de los cincuenta y principios de los sesenta. Aunque no existe una dieta mediterránea única, se considera que sus principales características son las siguientes: a)un alto consumo de grasas (incluso superior al 40% de la energía total), principalmente en forma de aceite de oliva (más del 20% de la energía total); b)un consumo elevado de cereales no refinados, fruta, verdura, legumbres y frutos secos;c) un consumo moderado-alto de pescado;d) un consumo moderado-bajo de carne blanca (aves y conejo) y productos lácteos, principalmente en forma de yogur o queso fresco; e)un bajo consumo de carne roja y productos derivados de la carne, y f)un consumo moderado de vino con las comidas2,3. Este patrón alimentario y las proporciones de los distintos alimentos que lo componen se muestra gráficamente en forma de una «pirámide alimentaria» que se va actualizando (fig. 1)4. Este patrón dietético proporciona un perfil nutricional que reúne alimentos ricos en polifenoles, ácido alfa-linolénico, fibra y vitaminas (p.ej., ácido fólico y antioxidantes naturales), una relación alta entre grasa monoinsaturada y saturada, un consumo moderado de alcohol en forma de vino o cerveza, y un aporte bajo de proteínas de origen animal. Merece también destacarse que esta pirámide de alimentación incluye otros aspectos relacionados con hábitos de vida, como el ejercicio físico, la sociabilidad y el compartir la mesa con familiares y amigos.
Pirámide de la dieta mediterránea confeccionada por la Fundación de la Dieta Mediterránea de Barcelona (2010)4.
Se estima que las enfermedades crónicas son responsables de más del 40% de las muertes en los países desarrollados5. Este grupo de enfermedades incluyen principalmente patologías como la enfermedad coronaria, los accidentes vasculares cerebrales, la diabetes mellitus y los cánceres de pulmón, colorrectal, de mama y de estómago. Existen numerosas evidencias científicas que sugieren que todas estas enfermedades son, en gran medida, prevenibles con medidas higiénicas y dietéticas6-23, de ahí las recomendaciones de numerosas sociedades científicas y organismos oficiales dirigidas a lograr y mantener una dieta saludable y un estilo de vida sano. Este tipo de medidas deberían ser siempre la base de toda prevención y el primer escalón del tratamiento de muchas de estas enfermedades. Aunque esto parezca evidente, la realidad española es muy distinta, puesto que en la práctica tales medidas se posponen o se obvian frecuentemente24,25. En concreto, tanto en el ámbito de la atención primaria como en el de la medicina especializada, los tratamientos preventivos más utilizados son los basados en fármacos, como hipolipemiantes, antihipertensivos u otros, en vez de dar prioridad a la educación para modificar los estilos de vida poco saludables. Sin negar la eficacia de estos fármacos, la postergación de la prevención primaria con medidas higiénico-dietéticas, además de incrementar enormemente el gasto farmacéutico, no alcanza la efectividad deseada porque se suele llegar tarde24. Un uso más extenso de medidas higiénico-dietéticas no solo disminuiría el gasto sanitario, sino que también lograría la reducción de comorbilidades y efectos adversos que se derivan del amplio uso que se da a los fármacos.
A pesar de que sabemos que las recomendaciones oficiales deberían basarse en los resultados positivos de ensayos clínicos de gran envergadura que hayan evaluado episodios «duros» (hard end-points) como variable final, casi no existen ensayos de este tipo basados en los efectos sobre episodios clínicos como casos incidentes de enfermedad cardiovascular, cáncer o diabetes, para la medida higiénico-dietética más importante: el seguimiento de una dieta saludable.
Afortunadamente en España, gracias a las estructuras de investigación cooperativa del gobierno español, se pudo poner en marcha un gran ensayo aleatorizado de intervención nutricional, el estudio PREDIMED (PREvención con DIeta MEDiterránea)26. Se trata de un gran ensayo de campo aleatorizado que pretendía demostrar con la evidencia científica de la máxima calidad que una dieta saludable como es la dieta mediterránea previene realmente las enfermedades más prevalentes en nuestro entorno como son las enfermedades cardiovasculares y sus principales factores de riesgo, incluida la diabetes mellitus.
Dieta y enfermedad cardiovascularA pesar de estar nuestra época marcada por la «medicina basada en la evidencia», resulta paradójico que tanto en las guías alimentarias y recomendaciones poblacionales generales, como en la práctica clínica habitual, se haya abogado por el objetivo de disminuir el consumo de grasas totales como paradigma de dieta saludable27. Sin embargo, actualmente no existe suficiente evidencia científica como para recomendar la reducción de todas las grasas como realiza el National Cholesterol Education Program (NCEP) de Estados Unidos. Además, se trata de una estrategia que resulta mucho más difícil de mantener en el tiempo. Resulta asimismo sorprendente que todavía algunas sociedades científicas defiendan este tipo de dieta a pesar de los resultados del ensayo más importante jamás realizado, el Women's Health Initiative Dietary Modification Trial28. Se trata de un ensayo clínico de gran envergadura en el que se incluyeron 48.835mujeres que fueron asignadas aleatoriamente a una dieta baja en grasas o a un grupo control, y que fueron seguidas durante una media de 8,1años. La intervención se enfocó a la utilización de patrones alimentarios completos como medida de intervención, una dieta baja en todo tipo de grasa. Su resultado no fue el esperado. Tras observar 3.445episodios cardiovasculares mayores, no se evidenció que esta dieta redujese ni el riesgo de enfermedad coronaria, ni el de ictus, ni el de enfermedad cardiovascular total. Estos resultados son consistentes con los datos obtenidos de estudios observacionales previos4,5. Así pues, se deduce que la clave para la reducción del riesgo cardiovascular no radica en una reducción de la ingesta total de grasas.
En cambio, un patrón alimentario tipo mediterráneo, rico en grasas de origen vegetal, constituye un modelo excelente de dieta saludable y, como resulta mucho más apetecible, es más fácil de mantener en el tiempo. Además, no hay que olvidar que una dieta baja en todo tipo de grasa puede llegar a ser, incluso, contraproducente. Si se reduce excesivamente la ingesta de grasa, la fuente principal de energía pasan a ser los hidratos de carbono y, dada la abundante disponibilidad de alimentos ricos en hidratos de carbono refinados en nuestro medio, con una alta carga glucémica, las dietas ricas en hidratos de carbono29 conllevan un aumento del riesgo de desarrollo de resistencia a la insulina y de diabetes, 2 factores muy importantes de riesgo vascular.
En muchas revisiones sobre dieta y riesgo de enfermedad cardiovascular3,6 se resaltan, por encima de cualquier medida dirigida a reducir la ingesta total de grasa, los patrones ricos en grasas monoinsaturadas como fuente principal de lípidos, abundantes en cereales integrales como fuente principal de hidratos de carbono, y que incluyan una ingesta elevada de frutas, verduras, y alimentos ricos en ácidos grasos omega-3 (pescado), como la dieta mediterránea, ya que el consumo de estos alimentos y nutrientes parece ejercer un mayor efecto protector frente a la cardiopatía isquémica y los accidentes vasculares cerebrales, que otros patrones como una dieta baja en grasa. Sin embargo, estas conclusiones se basan en los resultados de estudios observacionales y no en los resultados de grandes ensayos de prevención primaria con «episodios duros» (hard end-points) como variable final de análisis principal.
En Grecia, país que tradicionalmente ha consumido una dieta rica en grasas monoinsaturadas, frutas y verduras pero baja en cárnicos, similar a lo que es tradicional en la cocina española, un estudio de una gran cohorte10 observó un papel protector de la dieta mediterránea frente a mortalidad total, enfermedad cardiovascular y cáncer. Este hallazgo también ha sido observado en otros estudios de cohortes, que se han integrado en 2 metaanálisis publicados en 20103,30, y confirma el papel protector de la dieta mediterránea sobre mortalidad total, mortalidad cardiovascular y por cáncer referido en varios estudios observacionales.
En nuestro país, un estudio de casos y controles encontró que el seguimiento de un patrón alimentario rico en aceite de oliva, fibra, frutas, verduras, legumbres, pescado y alcohol pero pobre en productos cárnicos y alimentos con elevada carga glucémica prevenía la ocurrencia de infarto agudo de miocardio11. Posteriormente, 2 estudios de cohortes observacionales han confirmado la asociación inversa entre adherencia a la dieta mediterránea y reducción del riesgo cardiovascular también en España31,32.
No obstante, como estos resultados se han obtenido de estudios observacionales, el siguiente paso en la medicina basada en la evidencia es la realización de estudios aleatorizados de intervención, ya que aportan un mayor grado de evidencia científica. A este respecto, merece destacarse el ensayo francés Lyon Diet Heart Study14, que demostró la eficacia de este patrón alimentario en la prevención secundaria de la enfermedad cardiovascular. Sin embargo, a pesar de tratarse de un ensayo aleatorizado abundantemente referenciado, presenta graves limitaciones metodológicas33 que limitan su utilidad como base de las recomendaciones en salud pública. Estas limitaciones se refieren a que: a)solo es aplicable para prevención secundaria, pues analizó los re-infartos y muertes coronarias en pacientes que ya habían sufrido un episodio coronario; b)la fuente de grasa que se empleó (ácido linolénico administrado en forma de una margarina a base de aceite de canola) es peculiar y no se encuentra comercializada ni disponible para el público; c)la dieta del grupo control era más rica en grasa que la del grupo de intervención; d)el tamaño muestral era reducido y, en consecuencia, el número de episodios fue relativamente bajo (14episodios en un grupo y 44 en otro), y e)la valoración dietética durante el seguimiento no fue completa.
Era necesario, por tanto, ensayar otro tipo de intervenciones con dieta mediterránea para cubrir esta importante laguna de conocimientos.
El estudio PREDIMEDEl ensayo clínico PREDIMED se diseñó para demostrar con el máximo nivel de evidencia científica los efectos de una dieta mediterránea tradicional en la prevención primaria de la enfermedad cardiovascular26,34. En total se incluyeron 7.447participantes, de edad entre 55 y 80años (varones) o 60 y 80años (mujeres) y sin manifestaciones clínicas de enfermedad cardiovascular en el momento de la inclusión, pero con una alta probabilidad de presentarlas, ya que se trataba de sujetos con alto riesgo vascular. Aproximadamente la mitad presentaban diabetes mellitus, y la otra mitad, 3 o más factores de riesgo vascular (tabaquismo, hipertensión arterial, dislipidemia —colesterol LDL elevado y/o colesterol HDL bajo—, sobrepeso u obesidad, o historia familiar de cardiopatía isquémica precoz). Estos participantes se asignaron de forma aleatoria a 3 grupos de intervención dietética: una dieta mediterránea suplementada con aceite de oliva virgen (2.487participantes), una dieta mediterránea suplementada con frutos secos (2.396participantes) o una dieta baja en todo tipo de grasa (2.349participantes). A todos ellos se les convocó a una sesión individual y grupal con una dietista cada 3meses y fueron evaluados anualmente. El estudio se inició en el año 2003 y finalizó a finales de 2011, con lo que se consiguió un seguimiento medio de los participantes de 6años.
Tras la visita basal, todos los participantes fueron entrevistados por una dietista del PREDIMED, entrevista que incluyó: a)una valoración simplificada de la adherencia al patrón tradicional de dieta mediterránea con una escala validada de 14puntos; b)administración de recomendaciones para seguir una dieta mediterránea o una dieta baja en grasa (guías de la American Heart Association [AHA] y del NCEP, Adult Treatment Panel III [ATP III]); c)entrega de folletos con recomendaciones escritas para el seguimiento de la dieta correspondiente, que incluía un listado de la cesta de la compra adaptado a la estación del año y 14menús que sirvieran de ejemplo de la dieta que se recomendaba, y d)intervención individual en función de los resultados del cuestionario de 14puntos en la que el participante recibía consejos personalizados de los cambios que debía introducir en su alimentación dirigidos a la adquisición de un patrón de dieta mediterránea tradicional o de dieta baja en grasa. Los participantes asignados al grupo de dieta mediterránea suplementada con aceite de oliva virgen extra recibían un folleto adicional con los beneficios para la salud, el uso y conservación del aceite, mientras que los asignados al grupo dieta mediterránea suplementada con frutos secos recibían información sobre los 3 tipos de frutos secos usados en el ensayo (ver www.predimed.org).
En el grupo dieta mediterránea y aceite de oliva el objetivo era consumir >40g/día de aceite de oliva virgen extra, porque este es el consumo medio que se ha visto protector en países con una incidencia baja de enfermedad cardiovascular35,36. Los participantes pertenecientes al grupo dieta mediterránea y frutos secos recibieron nueces, avellanas y almendras. Como se dispone de evidencia acerca de un efecto cardioprotector de alimentos ricos en ácido alfa-linolénico, especialmente presente en las nueces, el aporte de nueces es mayor37. A pesar de que los ensayos de campo nutricionales a corto plazo38 empleen dosis de 50g/día o aun mayores, una ingesta media de 30g/día parece ser más aceptable para un consumo a largo plazo durante 4 a 6años. Los efectos beneficiosos añadidos de una ingesta a largo plazo a dosis similares o menores probablemente sean el origen de la protección frente a cardiopatía isquémica que se observa en estudios epidemiológicos39-42.
Los participantes incluidos en el PREDIMED fueron evaluados anualmente, momento en el que se les repetían las mismas mediciones y exploraciones realizadas en la visita inicial. El objetivo principal del estudio era la valoración de la eficacia de la dieta mediterránea en la prevención de un agregado que incluía como variables primarias la mortalidad cardiovascular, el infarto de miocardio y el accidente vascular cerebral. Otras variables que se consideran como resultados con carácter secundario (secondary end-points) son la incidencia de cáncer (de mama, colorrectal, de pulmón y gástrico), diabetes y mortalidad global. También se valoraron los efectos sobre la presión arterial, la adiposidad, la glucemia, el perfil lipídico y los marcadores sistémicos de enfermedad cardiovascular.
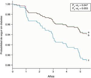
Dieta mediterránea y diabetesComo la diabetes es una de las epidemias del siglo xxi, se planteó valorar los efectos de la dieta mediterránea en la prevención de esta enfermedad. Así, se planteó el estudio de 418participantes no diabéticos. A los 5años, la incidencia de diabetes en los 3grupos (dieta mediterránea más aceite, dieta mediterránea más frutos secos y dieta baja en grasa) fue del 10,1% (IC: 5,1-15,1), del 11,0% (5,9-16,1) y del 17,9% (11,4-24,4), respectivamente. Las razones de riesgo (hazard ratios [HR]) ajustadas fueron de 0,49 (0,25-0,97) y 0,48 (0,24-0,96) para los 2 grupos de dieta mediterránea más aceite y frutos secos, respectivamente, comparado con el grupo control. En otras palabras, la incidencia de diabetes en los 2 grupos de dieta mediterránea se redujo en un 52% (27-86) comparado con el grupo de dieta baja en grasa (fig. 2). Estos cambios se observaron en ausencia de variaciones en el peso corporal y sin cambios significativos en la actividad física. Así pues, parece que una intervención con dieta mediterránea es un instrumento altamente eficaz en la prevención de diabetes en sujetos con alto riesgo vascular43.
Diferencias en el periodo libre de enfermedad (incidencia de diabetes) en los 3grupos de intervención del estudio PREDIMED (modelo de regresión de Cox). Obsérvese que la incidencia de nuevos casos de diabetes es mucho menor (mayor periodo libre de enfermedad) en el grupo del dieta mediterránea suplementada con aceite de oliva virgen extra (a) (línea verde) y en el grupo de dieta mediterránea suplementado con frutos secos (b) (línea marrón) que en el grupo control (c) (línea azul).
Asimismo, al inicio se realizó un estudio piloto con 772participantes y pudo comprobarse que una intervención con una dieta mediterránea más aceite y frutos secos a los 3meses reducía la presión arterial, mejoraba el perfil lipídico (con aumento del colesterol HDL y reducción del colesterol LDL) y disminuía los marcadores de inflamación relacionados con la arteriosclerosis26. También se observó un incremento de la ApoA-1 y una reducción de la ApoB y de la relación ApoB/ApoA-1. En estudios posteriores se comprobó, además, que esta intervención también reducía la concentración plasmática de colesterol LDL oxidada44 y otros marcadores sistémicos de oxidación, así como los parámetros inflamatorios celulares y séricos relacionados con la aparición y la progresión de la arteriosclerosis45. Al año de intervención se comprobó que una dieta mediterránea más aceite o frutos secos, además de reducir la presión arterial en los sujetos hipertensos, provoca cambios en la composición lipídica y propiedades estructurales de las membranas de los eritrocitos. Paralelamente también se observó una reducción en la incidencia de nuevos casos de síndrome metabólico, junto con una regresión de este síndrome en ambos grupos de dieta mediterránea, pero en este caso el efecto fue mayor en el grupo suplementado con frutos secos46. Estos efectos eran independientes de los polimorfismos de los principales genes implicados en los cambios lipídicos o la respuesta inflamatoria47.
Dieta mediterránea e incidencia de complicaciones cardiovascularesVistos los efectos de la intervención con dieta mediterránea sobre todos los factores de riesgo vascular, comparado con los observados con una dieta baja en grasa, cabía esperar también un efecto protector sobe la incidencia de complicaciones cardiovasculares. Y así fue. Los grupos que siguieron una dieta mediterránea más aceite o frutos secos presentaron una reducción del riesgo absoluto de aproximadamente 3complicaciones cardiovasculares mayores por 1.000personas-año, lo que supone una reducción del riesgo relativo de aproximadamente un 30%. En concreto, las HR ajustadas fueron de 0,70 (IC: 0,54-0,92) y 0,72 (IC: 0,54-0,96) para el grupo asignado a dieta mediterránea más aceite y el grupo asignado a dieta mediterránea más frutos secos, respectivamente, versus el grupo control (fig. 3). Se concluyó que los resultados de este estudio demuestran de forma concluyente que la dieta mediterránea es muy eficaz en la prevención de la enfermedad cardiovascular48. Hasta ahora el único ensayo aleatorizado que ha estudiado el efecto a largo plazo de un programa de estilo de vida, dirigido a la reducción de peso en adultos obesos usando como desenlace los episodios clínicos de enfermedad cardiovascular y la mortalidad, es el ensayo Look AHEAD49. Este ensayo, que incluyó a 5.145participantes50, concluyó prematuramente en octubre de 2012 por falta de eficacia. A diferencia del PREDIMED, el ensayo Look AHEAD incluyó solo a sujetos diabéticos y se basaba en el paradigma de «dieta baja en grasa» (<30% de la ingesta energética total, <10% de grasa saturada), que es en cierto modo opuesto al paradigma que se ha usado en el ensayo PREDIMED48, basado en alimentos beneficiosos ricos en grasa (aceite de oliva virgen y frutos secos).
Incidencia de complicaciones cardiovasculares en los 7.447 participantes en el estudio PREDIMED según análisis de estimaciones de Kaplan-Meier. La variable final analizada es un agregado de complicaciones cardiovasculares que incluye muerte de causa cardiovascular, infarto de miocardio y/o accidente vascular cerebral.
Hazard ratios estratificados por centro (modelo de Cox).
MeDiet indica dieta mediterránea; EVOO, aceite de oliva virgen extra; nuts, frutos secos, y control diet, dieta control.
Hazard ratios (IC95%): EVOO, 0,70 (0,53-0,91); p=0,009. Nuts: 0,70 (0,53-0,94); p=0,016.
Modificado de Estruch et al.48
Demostrada la eficacia de un patrón de dieta mediterránea en la prevención de la enfermedad cardiovascular y sus principales factores de riesgo, tal vez debería dedicarse mayor atención las medidas higiénico-dietéticas en nuestra práctica clínica. Son pocos los fármacos capaces de conseguir reducciones cercanas al 30% en la incidencia de complicaciones cardiovasculares mayores como la conseguida con una intervención con dieta mediterránea. Cabría, pues, plantearse la aplicación de un programa de prevención cardiovascular con una intervención dietética similar a la utilizada en el estudio PREDIMED en nuestras consultas médicas. En este programa podría contarse con la ayuda de dietistas y/o enfermeras que educaran a los pacientes a seguir una dieta mediterránea tradicional, complementada con una intervención activa dirigida a incrementar su actividad física. Puede que un uso más extenso de estas medidas higiénico-dietéticas no solo disminuyera el gasto sanitario, sino que también lograra la reducción de comorbilidades y efectos adversos que se derivan del amplio uso que se da a los fármacos.




