Colorectal cancer (CRC) is the third most diagnosed cancer worldwide. Preoperative anaemia is common in CRC patients undergoing surgery.
ObjectiveThis study assesses the prevalence of preoperative anaemia and its impact on postoperative outcomes, and aims to establish a cut-off point for increased morbidity and mortality in a large prospective single centre cohort.
MethodsWe conducted a retrospective cohort study of 1105 CRC patients (2014–2021). Anaemia was defined as per WHO criteria. Multivariate logistic regression and Kaplan-Meier survival analyses were used. The statistical significance level was set at <0.05.
ResultsPreoperative anaemia was present in 45.3% of patients, and was associated with a higher incidence of perioperative complications (OR 2.76, p = 0.011) and lower 5-year survival (73% vs 87%, p < 0.001.
Discussion/conclusionsPreoperative anaemia, even when mild, is associated with a higher rate of complications, longer hospital stay, and a greater risk of 5-year mortality.
El cáncer colorrectal (CCR) es el tercer tipo de cáncer más diagnosticado, a nivel mundial. La anemia preoperatoria es común en los pacientes de CCR sometidos a cirugía.
ObjetivoEste estudio evalúa la prevalencia de la anemia preoperatoria y su impacto en los resultados postoperatorios, y trata de establecer un punto de corte para el incremento de la morbilidad y mortalidad en una gran cohorte prospectiva unicéntrica.
MétodosRealizamos un estudio de cohorte retrospectivo de 1.105 pacientes de CCR (2014-2021). Se definió la anemia en virtud de los criterios de la OMS. Se utilizaron análisis de regresión logística multivariante y de supervivencia de Kaplan-Meier, estableciéndose la significación estadística en <0,05.
ResultadosLa anemia preoperatoria estuvo presente en el 45,3% de los pacientes, y estuvo asociada a una mayor incidencia de complicaciones perioperatorias (OR 2,76, p = 0,011) y a una menor supervivencia a 5 años (73% frente a 87%, p < 0,001.
Discusión/conclusionesLa anemia preoperatoria, aun siendo leve, está asociada a una mayor tasa de complicaciones, una mayor estancia hospitalaria, y un riesgo mayor de mortalidad a 5 años.
Background. Cancer is a leading cause of death and a major barrier to improving quality of life and life expectancy around the world. Colorectal cancer (CRC), with a prevalence of 9.6%, is the third most diagnosed cancer and the second leading cause of cancer-related mortality worldwide.1 Most cases of CRC are diagnosed after the onset of symptoms. Haematochezia2 and anaemia3 have the highest positive predictive value (PPV) for detecting CRC. In cancer patients undergoing tumour resection surgery, preoperative anaemia is the most common condition. Its prevalence varies according to the disease and how it is treated.4 The lowest haemoglobin levels are seen in tumours of the digestive tract.5 The relationship between blood transfusion and a poorer prognosis in patients undergoing surgery for colorectal cancer has been extensively studied.6 This evidence, combined with the widespread incidence of preoperative anaemia,7 has led to the development of specific Patient Blood Management (PBM) protocols to reduce the need for transfusion and improve the short and long-term outcomes of patients undergoing CRC surgery.8,9 PBM is a multidisciplinary patient-centred approach that brings together all the available scientific evidence.10 Identifying and managing perioperative anaemia is one of the most important goals, as even certain levels of anaemia have been shown to be independently associated with increased morbidity and operative mortality.8,9
Preoperative anaemia is the primary predictor of the need for allogeneic transfusion to treat moderate-to-severe blood loss during surgery, and is a known cause of postoperative anaemia.11 In CRC, perioperative transfusion rates range from 21.6% to 65.1%.12 Allogeneic blood transfusion has been associated with an increased incidence of postoperative complications. Perioperative anaemia and perioperative allogeneic blood transfusion are considered risk factors associated with adverse outcomes.13,14
Higher preoperative haemoglobin (Hb) levels are associated with a lower probability of perioperative transfusion. Some studies have shown an association between baseline haemoglobin levels and the incidence of postoperative complications and mortality in patients undergoing surgery.15 The preoperative Hb cut-off level to predict increased morbidity and mortality in patients undergoing colorectal surgery remains unclear.
The aim of this study is to assess the prevalence of preoperative anaemia and its impact on patients undergoing colorectal surgery, and to attempt to establish a cut-off point for increased perioperative morbidity and mortality in a large prospective single centre cohort.
MethodsStudy designWe conducted a retrospective cohort study at Hospital Universitario Río Hortega between first of January 2014 to 31 December 2021 that included 1105 CRC patients. Ethical approval was obtained from the Valladolid Oeste ethics committee (PI-24-351-H). STROBE standard for observational studies was followed. All clinical data were collected in accordance with the Declaration of Helsinki. To safeguard patient privacy, all patients were anonymised to everyone but the principal investigator once the database had been closed.
Inclusion criteriaAdults aged ≥ 18 years who underwent surgery for colorectal cancer between 1 January 2014 and 31 December 2021 were included in this study.
Exclusion criteriaThe patient was excluded if anaemia, morbidity, and mortality data were missing.
Variables collectedData collected included patient characteristics (age, sex, toxic exposure, body mass index [BMI], American Society of Anaesthesia [ASA] risk classification, and anaesthesia comorbidities), surgical procedure and approach, tumour location, preoperative haemoglobin, immediate and 30-day postoperative complications, need for intraoperative and postoperative red blood cell (RBC) transfusion, reoperation during hospital stay, ICU readmission during hospital stay, and in-hospital and 30 day mortality. Patient survival was followed up for 5 years. Thirty-day postoperative complications were defined according to the European Perioperative Clinical Outcome definitions (EPCO)16 (Supplementary Material Table 1)
Anaemia definitionAnaemia was defined according to the 1968 WHO criteria, based on Hb levels according to sex: ≤ 12 g/dL in women and ≤ 13 g/dL in men. Severity of anaemia was graded according to WHO criteria, as follows17:
Mild anaemia: Hb 11.0 to 11.9 g/dL in women and 11.0 to 12.9 g/dL in men.
Moderate anaemia: 8.0 to 10.9 g/dL in both sexes.
Severe anaemia < 8 g/dL in both sexes.
The analysis included the right colon from the cecum to the transverse colon, the left colon from the splenic angle to the sigmoid, and the rectum.
Statistical analysisData, including clinical and demographic characteristics, were analysed using descriptive statistics. Categorical variables are presented as frequencies and percentages, and differences between independent groups were assessed using the chi-squared test/Fisher’s exact test for categorical variables. Continuous variables are presented as median and interquartile range (IQR), and differences were assessed using the Mann-Whitney U test.
We used multivariate logistic regression to assess the impact of preoperative anaemia on perioperative complications, adjusting for potential confounders identified in the univariate analysis (p < 0.1). Multivariate logistic regression analysis was performed using the enter method. Adjustment variables were defined as factors that were independently associated with each clinical outcome in a univariate logistic regression model at a significance level of p < 0.1. This may mean that a different set of adjustment variables is included in the model for each clinical outcome.
For statistical analysis, patients in the severe anaemia group were included in the moderate anaemia group.
The following variables were considered possible adjustment variables:
Intraoperative transfusion: age, sex, comorbidities (hypertension, diabetes mellitus, dyslipidaemia, smoking, alcoholism, body mass index, heart disease, COPD/asthma, coagulopathy, melena, haematochezia), previous treatments (anticoagulants, antiplatelet agents), previous abdominal surgery, (leukocytes, albumin, platelets), antibiotic prophylaxis, approach (open/assisted), tumour location (left colon, right colon, rectum, multiple), ASA (I, II, III and IV), and preoperative transfusion.
Postoperative transfusion/complications: age, sex, comorbidities (arterial hypertension, diabetes mellitus, dyslipidaemia, smoking, alcoholism, body mass index, heart disease, COPD/asthma, coagulopathy, melena, haematochezia), previous treatments (anticoagulants, antiplatelets), previous abdominal surgery, analytical variables related to the time of anaemia calculation (leucocytes, albumin, platelets), antibiotic prophylaxis, approach (open/assisted), tumour location (left colon, right colon, rectum, multiple), ASA (I, II, III and IV), and intraoperative transfusion.
Odds ratios (OR) with 95% confidence intervals (CI) were calculated in a multivariate regression analysis to determine the quantitative effect of each covariate.
Survival curves were generated using the Kaplan-Meier method, with comparisons via the log-rank test. The statistical significance level was set at 0.05. IBM SPSS Statistics 25.0 (SPSS INC, Armonk, NY, USA) was used for statistical analysis.
ResultsFrom our initial sample of 1171 patients, 66 were excluded due to missing data or failure to meet the inclusion criteria, leaving a final cohort of 1105 patients (Fig. 1 Supplementary Material Flowchart).
Patient characteristicsMedian age was 70 (± 17.0) (median [IQR]) years, predominantly male (62.4%). The mean Hb was 12.7 (± 2.7) g/dL (mean Hb in men was 13.2 [± 2.8] g/dL and in women 12.1 [± 2.3] g/dL).
Regarding the oncological diagnosis, 993 (89.96%) patients were diagnosed with adenocarcinoma, 95 (8.60%) with other neoplasms, and 27 (1.54%) underwent Hartmann-type procedures with subsequent oncological diagnosis.
The surgical approach was open in 497 (44.98%) patients and assisted (laparoscopic or robotic) in 608 (55.02%). Emergency surgery was performed in 96 (8.69%) cases.
Anaemia prevalence: 501 (45.3%) patients were anaemic according to WHO criteria. In the anaemic group, mean Hb was 10.8 (± 1.9) g/dL in women and 11.4 (± 1.8) g/dL in men; 26.2% had mild anaemia, 18.6% had moderate anaemia, and 0.7% had severe anaemia. Among anaemic patients, there was a higher prevalence of comorbidities (particularly hypertension, heart disease and diabetes), elderly men, and right colon cancer. Table 1 describes other baseline patient characteristics.
Baseline characteristics of the cohort.
| Clinical features | Total | No anaemia | Anaemia | p |
|---|---|---|---|---|
| 1105 | 604 (54.7) | 501 (45.3) | ||
| Age (years) (median (IQR)] | 70 (17.0) | 67 (15.0) | 74 (14.0) | < 0.001 |
| Men (n [%]) | 690 (62.4) | 379 (62.7) | 311 (62.1) | 0.818 |
| Background (n [%]) | ||||
| Hypertension | 570 (51.6) | 278 (46.0) | 292 (58.3) | < 0.001 |
| Diabetes Mellitus | 204 (18.5) | 85 (14.1) | 119 (23.8) | < 0.001 |
| Dyslipidaemia | 273 (24.7) | 142 (23.5) | 131 (26.1) | 0.312 |
| Heart disease | 197 (17.8) | 84 (13.9) | 113 (22.6) | < 0.001 |
| Chronic obstructive pulmonary disease (COPD)/Asthma | 116 (10.5) | 51 (8.4) | 65 (13.0) | 0.014 |
| Immunosuppression | 14 (1.3) | 3 (0.5) | 11 (2.2) | 0.012 |
| Coagulopathy | 6 (0.5) | 4 (0.7) | 2 (0.4) | 0.554 |
| Smoking habit | 167 (15.1) | 110 (18.2) | 57 (11.4) | 0.002 |
| Alcoholism | 75 (6.8) | 45 (7.5) | 30 (6.0) | 0.336 |
| Haematochezia | 278 (25.2) | 161 (26.7) | 117 (23.4) | 0.208 |
| Prior anticoagulant treatment | 87 (7.9) | 33 (5.5) | 54 (10.8) | 0.001 |
| Prior antiplatelet treatment | 130 (11.8) | 57 (9.4) | 73 (14.6) | 0.008 |
| Prior abdominal surgery | 420 (38.0) | 211 (34.9) | 209 (41.7) | 0.021 |
| Manes | 24 (2.2) | 12 (2.0) | 12 (2.4) | 0.643 |
| Preoperative measures (median [IQR]) | ||||
| Preoperative haemoglobin (g/dL) | 12.7 (2.7) | 13.9 (1.4) | 11.1 (1.5) | < 0.001 |
| Women | 12.1 (2.3) | 13.3 (1.3) | 10.8 (1.9) | < 0.001 |
| Males | 13.2 (2.8) | 14.3 (1.6) | 11.4 (1.8) | < 0.001 |
| White blood cells (cells/mm3) | 5800 (2400) | 5900 (2175) | 5800 (2900) | 0.792 |
| Prothrombin time | 96.0 (15.0) | 98.0 (15.0) | 93.0 (15.00) | < 0.001 |
| Platelets (cells x103/μl) | 208.0 (93.0) | 201.0 (76.75) | 225.0 (119.0) | < 0.001 |
| Albumin | 3.7 (0.60) | 3.9 (0.5) | 3.5 (0.7) | < 0.001 |
| Prealbumin | 22.0 (8.0) | 23.0 (7.0) | 20.0 (7.0) | < 0.001 |
| ASA score (n [%]) | < 0.001 | |||
| I | 59 (5.3) | 37 (6.1) | 22 (4.4) | |
| II | 566 (51.2) | 362 (59.9) | 204 (40.7) | |
| III | 446 (40.4) | 194 (32.1) | 252 (50.3) | |
| IV | 34 (3.1) | 11 (1.8) | 23 (4.6) | |
| Tumour location (n [%]) | < 0.001 | |||
| Right colon | 403 (36.6) | 162 (27.0) | 241 (48.1) | |
| Left colon | 397 (36.0) | 236 (39.3) | 161 (32.1) | |
| Rectum | 302 (27.4) | 203 (33.8) | 99 (19.8) |
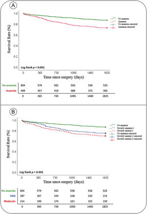
Complications and survival: Preoperative anaemia was associated with higher complication rates (OR 2.76, 95% CI 1.26-6.04, p = 0.011) (Supplementary Material Table 2), particularly cardiorespiratory and kidney failure, longer stay in the post-anaesthesia care unit (PACU) and hospital, and higher in-hospital and all-cause mortality (Table 2 Cohort complications). Five-year survival was significantly lower among anaemic patients (73% vs 87%, p < 0.001)
Complications and outcomes.
| Complications | Total | No anaemia | Anaemia | p |
|---|---|---|---|---|
| Number (n [%]) | 1105 | 604 (54.7) | 501 (45.3) | |
| Heart failure | 30 (2.7) | 9 (1.5) | 21 (4.2) | 0.006 |
| Respiratory failure | 32 (2.9) | 10 (1.7) | 22 (4.4) | 0.007 |
| Renal failure | 29 (2.6) | 9 (1.5) | 20 (4.0) | 0.010 |
| Secondary infection | 176 (15.9) | 91 (15.1) | 85 (17.0) | 0.390 |
| Respiratory infection | 20 (1.8) | 10 (1.7) | 10 (2.0) | 0.673 |
| Urinary tract infection | 13 (1.2) | 7 (1.2) | 6 (1.2) | 0.953 |
| Vascular infection | 10 (0.9) | 6 (1.0) | 4 (0.8) | 0.695 |
| Surgical wound infection | 145 (13.1) | 72 (11.9) | 73 (14.6) | 0.194 |
| Sepsis | 15 (1.4) | 5 (0.8) | 10 (2.0) | 0.096 |
| Prolonged ileus | 113 (10.2) | 52 (8.6) | 61 (12.2) | 0.051 |
| Seroma | 38 (3.4) | 14 (2.3) | 24 (4.8) | 0.025 |
| Surgical wound dehiscence | 38 (3.4) | 17 (2.8) | 21 (4.2) | 0.211 |
| Evisceration | 20 (1.8) | 11 (1.8) | 9 (1.8) | 0.975 |
| Intra-abdominal collection | 44 (4.0) | 29 (4.8) | 15 (3.0) | 0.126 |
| Abdominal bleeding | 26 (2.4) | 15 (2.5) | 11 (2.2) | 0.753 |
| Pleural effusion with evacuation | 7 (0.6) | 3 (0.5) | 4 (0.8) | 0.529 |
| Anastomotic leak | 58 (5.2) | 31 (5.1) | 27 (5.4) | 0.849 |
| Urinary fistula | 1 (0.1) | 1 (0.2) | 0 (0.0) | 0.362 |
| Urethral injury | 2 (0.2) | 2 (0.3) | 0 (0.0) | 0.197 |
| Reintervention | 69 (6.2) | 33 (5.5) | 36 (7.2) | 0.239 |
| Outcome | ||||
| Days stay PACU (median [IQR]) | 1 (0.0) | 1 (0.0) | 1 (0.0) | < 0.001 |
| Postoperative length of stay(median [IQR]) | 8 (4.0) | 8 (4.0) | 8 (4.0) | 0.003 |
| Morbidity (n [%]) | 381 (34.5) | 190 (31.5) | 191 (38.1) | 0.020 |
| In-hospital mortality (n [%]) | 19 (1.7) | 6 (1.0) | 13 (2.6) | 0.041 |
| Post-discharge mortality (n [%]) | 222 (20.1) | 84 (13.9) | 138 (27.5) | < 0.001 |
| One-year mortality(n [%]) | 68 (6.2) | 25 (4.1) | 43 (8.6) | 0.002 |
| Three-year mortality (n [%]) | 122 (11.0) | 41 (6.8) | 81 (16.2) | < 0.001 |
| Five-year mortality (n [%]) | 213 (19.3) | 78 (12.9) | 135 (26.9) | < 0.001 |
Intraoperative and postoperative transfusion rates increased significantly as anaemia severity increased, as did post-discharge mortality and long-term morbidity and mortality (Table 3 Anaemia severity).
Anaemia severity.
| No anaemia | Mild anaemia | Moderate anaemia | p | |
|---|---|---|---|---|
| Number (n [%]) | 604 (54.5) | 287 (26.2) | 214 (18.6) | |
| Intraoperative blood transfusion | 9 (1.5) | 16 (5.6) | 29 (13.6) | < 0.001 |
| Postoperative blood transfusion | 44 (7.3) | 56 (19.5) | 83 (38.8) | < 0.001 |
| Complications | 19 (3.1) | 24 (8.4) | 20 (9.3) | < 0.001 |
| Comorbidity | 190 (31.5) | 102 (35.5) | 89 (41.6) | 0.025 |
| In-hospital mortality | 6 (1.0) | 7 (2.4) | 6 (2.8) | 0.119 |
| Post-discharge mortality | 84 (13.9) | 73 (25.4) | 65 (30.4) | < 0.001 |
| One-year mortality | 25 (4.1) | 19 (6.6) | 24 (11.2) | 0.001 |
| Three-year mortality | 53 (8.8) | 58 (20.2) | 53 (24.8) | < 0.001 |
| Five-year mortality | 78 (12.9) | 71 (24.7) | 64 (29.9) | < 0.001 |
| Tumour location (n [%]) | < 0.001 | |||
| Right colon | 163 (27.0) | 115 (40.1) | 126 (58.9) | |
| Left colon | 237 (39.2) | 100 (34.8) | 61 (28.5) | |
| Rectum | 204 (33.8) | 72 (25.1) | 27 (12.6) |
The Kaplan Meier analysis showed that the probability of survival was significantly lower in the group with preoperative anaemia compared to those without anaemia (73% vs 87%, p < 0.001) (Fig. 1, Panel A). Using the WHO strata for anaemia severity, we observed that those with moderate preoperative anaemia had significantly worse odds ratios (70%) compared with those with mild or no preoperative anaemia (75% vs 87%, p < 0.001; respectively) (Fig. 1, Panel B).
Furthermore, in long-term survival analysis, the odds of survival 2 years after surgery were significantly lower in the group that required blood transfusion than in patients that did not (91% vs 78%, p < 0.001) (Fig. 2, Panel A). Similarly, non-transfused patients had significantly better 5-year survival odds ratios than transfused patients (84% vs 68%, respectively; p < 0.001) (Fig. 2, Panel B).
DiscussionOur study shows that preoperative anaemia, which is found in 45.3% of patients undergoing CRC surgery, is a significant predictor of increased perioperative complications, especially in the group of patients with moderate-to-severe anaemia, and lower long-term survival. These results suggest that the presence of anaemia is an independent risk factor and could be used as a simple modifiable biomarker that may have a significant impact on overall survival in these patients
The impact of preoperative anaemia and the importance of optimization in colorectal cancer patients remains a subject of controversy. Identifying the cause of anaemia and choosing the best treatment is fundamental, though challenging, in patients with CRC. as in many cases the cause may be multifactorial.18
Results reported in various studies analysing the prevalence of intraoperative anaemia have been inconsistent, partly due to differences sample size and the cut-off point used.18 Using the WHO cut-off points17 will help harmonise results.
In 2002, Dunne et al.19 studied the incidence of and risk factors for preoperative anaemia in CRC. In their series of 311 patients, preoperative anaemia was found in 46.1% of patients with right-sided colon cancer, an incidence that increases with age and the stage of the tumour. Preoperative anaemia was found to be an independent risk factor for increased morbidity and mortality and a predictive factor for poor prognosis in patients with CRC.19
A 2017 systematic review by Wilson et al.20 found an anaemia prevalence of 38%–59% in CRC patients and 18%–50% in rectal cancer patients. Preoperative anaemia was significantly associated with worse overall survival (RR = 1.56; 95% CI = 1.30–1.88; p < 0.001) and disease-free survival (RR = 1.34; 95% CI = 1.11–1.61; p < 0.01) in 12 studies involving 3,588 patients undergoing colorectal surgery. The authors conclude that there needs to be greater awareness of the impact of perioperative anaemia on long-term overall survival in these patients.
Deng et al.,21 in a retrospective cohort of 7436 patients recruited between January 2008 and December 2014, concluded that preoperative anaemia is an independent risk factor for survival in patients undergoing surgery for CRC, and advise clinicians to implement strategies to reduce the prevalence of anaemia in patients with colorectal cancer.
In a study performed in 2006, Berardi et al.22 noted that anaemia prior to neoadjuvant chemotherapy appeared to be a modifiable prognostic factor for rectal cancer patients and recommended taking steps to correct blood levels. Anaemia prior to neoadjuvant chemotherapy is a biomarker of disease deterioration, as it is associated with larger and more advanced tumours, and anaemia-related tumour hypoxia results in more aggressive tumour phenotypes with higher levels of circulating angiogenic factors. Khan et al.23 suggest that pre-treatment Hb could be used as a biomarker of rectal tumour morphology, response to neoadjuvant chemoradiation, and risk of local recurrence.
Low Hb concentration is associated with the need for both intra- and postoperative blood transfusion. When our sample was analysed according to whether or not they had been transfused, lower 2- and 5-year survival was observed in transfused patients, showing that the use of blood products carries an associated risk.12 Perioperative blood transfusion is associated with shorter survival after resection of colorectal cancer. One possible strategy to reduce sepsis rates and improve survival after CRC surgery may be to restrict perioperative transfusion practices.6
Our study shows that preoperative Hb levels are associated with short- and long-term mortality, and even mild anaemia is associated with a higher incidence of morbidity and mortality. Anaemia may contribute to poor outcomes through mechanisms such as impaired oxygen delivery and immune function.
Our analysis may therefore highlight the need to optimise perioperative care in CRC patients and to bear in mind that even seemingly insignificantly low Hb levels can increase the risk of adverse events.
Increased adherence to Enhanced Recovery After Surgery (ERAS) programmes is associated with a significant reduction in postoperative complications, decreased risk of moderate to severe complications, shorter hospital stays, and lower 30-day mortality.9,10 The patient blood management (PBM) protocols included in these programmes should be used to optimise preoperative anaemia.24–27
Although preoperative anaemia protocols have been available for some time, they have not been fully implemented in clinical practice.8,9 This explains why the percentage of anaemic CRC patients has not changed significantly since 2002, and shows that there is still considerable room for improvement. Many published series make no mention of the use of ERAS programmes or PBM, and despite the proliferation of written protocols, they are rarely followed in routine clinical practice. The very existence of such studies illustrates the overall poor compliance with ERAS recommendations and PBM protocols in clinical practice, a situation that was further confirmed by a recent survey of researchers involved in the POWER 2 study.28 This study raises awareness of the importance of implementing educational programmes focusing on strategies to improve the first pillar of PBM, which is the optimise erythropoiesis, including red cell mass and iron stores.
The strength of our study lies in the large sample size and long follow-up. This has allowed us to modify our routine practice and adapt to the latest developments in medicine.
Our study also has some weaknesses and limitations. It is a single-centre, retrospective, long-term, observational study in which some important data may have been lost during follow-up. The fact that this is an observational study means that perioperative anaemia was managed per protocol, but at the discretion of the treating physician. Moreover, in our cohort, there is no record of the use of PBM programmes. This is probably due to the lack of adequate infrastructure and time for proper preoperative optimisation. Finally, we did not perform a separate analysis by type of surgery. Given the growing use of minimally invasive, laparoscopic or robotic procedures, the absence of such an analysis may have biased the effect of anaemia on clinical outcomes in colorectal surgery patients.
Another important limitation is that anaemia may also be a marker of disease severity in more advanced tumours, which may be a confounding factor. Regarding perioperative transfusion, previous liberal transfusion strategies have now given way to more restrictive criteria to avoid unnecessary blood transfusions. Future studies should explore interventions to correct preoperative anaemia and their impact on outcomes.
ConclusionsIn our analysis of the Hb threshold for complications in a large cohort of colorectal cancer patients, we found that an Hb level of less than 11.65 g/dL was associated with an increase in in-hospital mortality, and a level of 12.05 g/dL or less, which is not considered anaemia in women of childbearing age, was associated with an increase in 5-year mortality. In other words, anaemia, even mild, is associated with a higher rate of complications, longer hospital stays, and a greater risk of and long-term mortality. Our study shows that the optimal preoperative Hb threshold should be at least 13 g/dL, without excluding gender, particularly in men, the elderly, and in anticoagulated and anti-aggregated patients. This is a modifiable biomarker that increases morbidity and mortality in cancer patients. However, there is no evidence that simply correcting anaemia automatically improves outcomes and survival, and this needs to be explored in future research.
The authors declares that they have no conflict of interest.








