INTRODUCCIÓN
Las enfermedades cardiovasculares son la principal causa de muerte en el ámbito mundial1. Hay varios factores de riesgo como el tabaquismo, el alcoholismo, la diabetes y las altas concentraciones de lípidos, entre otros, que incrementan la progresión de estos desordenes cardiovasculares2. Aunado a esto, se ha observado que la hipertensión (HTA) es uno de los principales factores de riesgo involucrados en el desarrollo de enfermedades cardiovasculares3-5. Varios estudios indican que esta patología clínica es menor en mujeres que en varones6,7, sin embargo, la HTA se incrementa después de la menopausia8,9. Por lo tanto, hay una situación distinta que constituye el hecho diferencial de la HTA en la mujer con respecto al varón; en este contexto, hay datos que indican que se debe al déficit hormonal después de la menopausia10. Los hechos anteriormente descritos sugieren que los estrógenos tienen un papel muy importante en la HTA. En apoyo a lo anterior, hay evidencias que muestran que la terapia de reemplazo estrogénico disminuye la HTA, y que este efecto puede ser mediado por efectos directos de los estrógenos sobre las paredes vasculares11,12 y por efectos indirectos sobre el metabolismo de lipoproteínas de alta y baja densidad13. Por otro lado hay evidencias epidemiológicas que sugieren que los andrógenos tienen efectos contrarios a los reportados para los estrógenos sobre la HTA14,15. Ejemplo de esto son los estudios donde se señala que, en los varones, al aumentar las concentraciones de testosterona aumenta la presión sanguínea16. Sin embargo, otros estudios epidemiológicos sugieren que este andrógeno está inversamente relacionado con la presión sanguínea en varones17,18, estos datos están sustentados por estudios de metaanálisis19 y otros estudios que muestran que con la edad disminuyen los valores de la hormona y se incrementa el estado de hipertensión20.
Todos estos datos indican que hay divergencias acerca de los efectos que induce la testosterona sobre la presión sanguínea. Esto se puede deber a la dificultad en la interpretación de los resultados de estos efectos o a la capacidad de acción de este andrógeno sobre células blanco a distintos niveles y a través de diversos mecanismos. Se ha sugerido que los efectos que induce la testosterona pueden ser mediante el mecanismo de acción clásico de las hormonas esteroidales sexuales, que involucra la interacción de este andrógeno sobre receptores intracelulares21. Esta interacción involucra a los grupos funcionales en C-3 (carbonilo) y en C-17 (hidroxilo) contenidos en la estructura química de la testosterona, así como la interacción del sistema anular (ciclopentanoperhidrofenantreno) de la hormona con su receptor22. Por lo tanto, en este trabajo se evaluó la actividad de la testosterona sobre la presión de perfusión en un modelo de corazón aislado de rata y perfundido a flujo constante (Langendorff)23 usando 3 análogos de testosterona como herramienta farmacológica, para establecer si modificaciones en los grupos funcionales conducen a cambios en el efecto de la testosterona sobre la presión de perfusión.
MÉTODOS
El hemisuccinato de testosterona-etilendiamina se preparó mediante las técnicas reportadas por Figueroa et al24. Los otros reactivos se obtuvieron de Sigma-Aldrich Chemical Co. Todos los protocolos fueron aprobados por el comité de ética de la Universidad Autónoma de Campeche; su aprobación se basó en la guía para cuidados y uso de animales de laboratorio, publicado por la Academia Nacional de Ciencias, Washington D.C., 1996. Lo animales se obtuvieron del Instituto de Investigaciones de la Universidad de Yucatán. La cepa que se utilizo fue ratas Wistar (machos), antes de su experimentación se mantuvieron a una temperatura de 22 oC y se alimentaron con una dieta balanceada (purina) y agua para mantenerlas en condiciones deseables.
Método de Langerdoff
Se usaron ratas macho Wistar (200-250 g) (n = 6) para cada uno de los diferentes experimentos realizados, las cuales fueron anestesiadas con pentobarbital por vía intraperitoneal (50 mg/kg de peso). Se extrajo el corazón del animal por medio de una laparatomía toracoabdominal y se depositó en un vaso de precipitados que contenía solución de Krebs-Henseleit (H-K), que estaba compuesta de: NaCl (127 mM); KCl (6 mM); CaCl2 (1,8 mM); NaH2PO4 (1,2 mM); MgSO4 (1,2 mM); NaHCO3 (25 mM); dextrosa (5 mM), y ácido pirúvico (2 mM). En este método el corazón se perfundió retrógradamente a través de una cánula insertada en la aorta. El corazón se prefundió con la solución de H-K. Esta solución se ajustó a un pH de 7,4 (con NaHCO3), y se burbujeó con una mezcla de gases (5% de CO2 y 95% de O2), a una temperatura de 35,5 oC, regulada por un termostato.
Presión de perfusión
Se obtuvo mediante una derivación de la cánula, que se conecta a un transductor de presión (Statham), que a su vez está acoplado a un sistema de captura de datos computarizado (Biopac).
Evaluación de los efectos farmacológicos
Caracterización del efecto de la testosterona libre sobre la presión de perfusión a través del tiempo
Se registró la variación en los valores de presión de perfusión en condiciones control y en presencia de testosterona (1 3 109 M) en lapsos de 3 a 15 min. La testosterona se disolvió en metanol 1 mg/ml y la concentración de trabajo (1 3 109 M) se obtuvo diluyendo esta solución concentrada con solución de K-H (0,01%, v/v).
Evaluación del efecto inducido por testosterona y el derivado OTBDS-testosterona (17-([tert-Butyl(dimethyl)silyl]oxy)an-drost-4-en-3-one) sobre la presión de perfusión
Se registraron los valores de presión de perfusión en presencia de testosterona y el derivado OTBDS-testosterona a diferentes dosis (1 3 109 a 1 3 105 M) en tiempos no mayores de 1 h. La hormona y el derivado de testosterona se disolvieron en metanol 1 mg/ml y las diferentes concentraciones de trabajo se obtienen diluyendo esta solución concentrada con solución de K-H (0,01%, v/v).
Cuantificación del efecto inducido por la testosterona y el conjugado hemisuccinato de testosterona-etilendiamina sobre la presión de perfusión
Se registraron los valores de presión de perfusión en presencia de testosterona y el hemisuccinato de testosterona-etilendiamina a diferentes dosis (1 3 109 a 1 3 105 M) en tiempos no mayores de 1 h. El derivado de testosterona y la hormona se disolvieron en metanol 1 mg/ml y las diferentes concentraciones de trabajo se obtienen diluyendo esta solución concentrada con solución de K-H (0,01%, v/v).
Determinación del efecto ejercido por la testosterona y la 3-oxima-testosterone sobre la presión de perfusión
El efecto inducido por la hormona y la oxima de testosterona sobre la presión de perfusión se registraron por la aplicación de diferentes concentraciones (1 3 109 a 1 3 105 M) en tiempos no mayores de 1 h. Los compuestos se disolvieron en metanol 1 mg/ml y las diferentes concentraciones de trabajo se obtuvieron diluyendo esta solución concentrada con solución de K-H (0,01%, v/v).
Estadística
Los valores obtenidos se expresan como media ± EEM, cada corazón fue su propio testigo. Los datos obtenidos se sometieron a una prueba t de Studen y análisis de varianza (ANOVA) con factor de corrección de Bonferroni25. Las diferencias se consideraron significativas cuando p tiene un valor # 0,05.
RESULTADOS
En este trabajo se evaluó la actividad biológica ejercida por la testosterona sobre la presión de perfusión en un modelo de corazón aislado de rata y perfundido a flujo constante (Langendorff), usando 3 análogos de testosterona (fig. 1) como herramienta farmacológica para establecer si modificaciones en los grupos funcionales conducen a cambios en el efecto de la testosterona sobre la presión de perfusión. Para llevar a cabo esto, en primer lugar se caracterizó el efecto de la testosterona libre sobre la presión de perfusión a través del tiempo. Los resultados señalan que con cambios en el tiempo (3-15 min) en condiciones control (fig. 2) la presión de perfusión no presenta cambios significativos; sin embargo, en presencia de testosterona (1 3 109 M] la presión de perfusión se incrementa significativamente (p = 0,001).
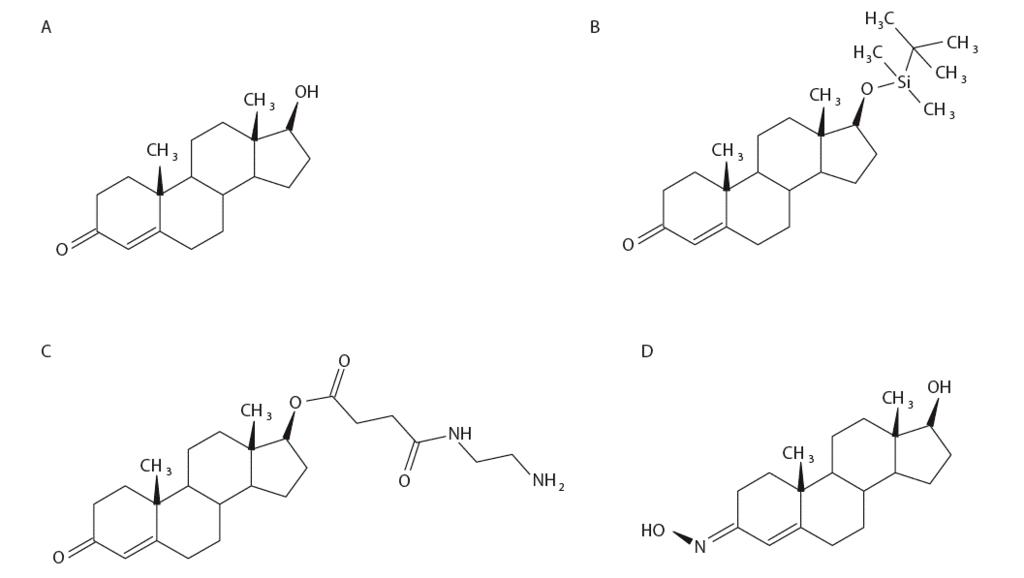
Figura 1. Estructura química de los esteroides estudiados. A) Testosterona. B) OTBDS-testosterona. C) Hemisuccinato de testosterona-etilendiamina. D) 3-oxima de testosterona.
Figura 2. Registro del efecto de la testosterona sobre la presión de perfusión a través del tiempo. Se registró la variación en los valores de presión de perfusión en condiciones control y en presencia de testosterona (109 M) en lapsos de 3 a 15 min. Los resultados señalan que variaciones en el tiempo no aumentan la presión de perfusión; sin embargo, en comparación con la testosterona este efecto se incrementa significativamente (p = 0,001).
Por otro lado, se realizaron experimentos donde se evaluó el efecto inducido por testosterona y el derivado OTBDS-testosterona sobre la presión de perfusión (fig. 3). Los datos encontrados de la evaluación del efecto ejercido por la aplicación de testosterona (1 3 109 a 1 3 105 M) muestran un aumento en la presión de perfusión, sin embargo en comparación con el efecto ejercido por el OTBDS-testosterona este efecto se incrementa significativamente (p = 0,005).
Figura 3. Efecto inducido por testosterona y el derivado OTBDS-testosterona sobre la presión de perfusión. En la gráfica se muestran los registros de los cambios de presión de perfusión en presencia de testosterona y el derivado OTBDS-testosterona a diferentes dosis (1 3 109 a 1 3 105 M), en tiempos no mayores de 1 h. Los resultados señalan que incrementos en la concentración de testosterona inducen un aumento en la presión de perfusión; sin embargo, este efecto es mayor en presencia del derivado de testosterona (p = 0,005).
Además, en experimentos alternativos de la evaluación del efecto inducido por la testosterona (1 3 109 M) en comparación con el efecto ejercido por el hemisuccinato de testosterona-etilendiamina a la misma concentración (fig. 4), los resultados muestran que incrementos en la dosis de testosterona ejercen aumentos en la presión de perfusión, sin embargo, en comparación con el efecto del hemisuccinato de testosterona-etilendiamina este fenómeno disminuye significativamente (p = 0,001).
Figura 4. Determinación del efecto inducido por la testosterona y el conjugado hemisuccinato de testosterona-etilendiamina sobre la presión de perfusión. En la gráfica se muestran los registros de los cambios de presión de perfusión en presencia de testosterona y el hemisuccinato de testosterona-etilendiamina a diferentes dosis (1 3 109 a 1 3 105 M). Los datos encontrados señalan que la testosterona induce un aumento significativo (p = 0,001) en la presión de perfusión en comparación con el efecto ejercido por el derivado de testosterona.
Por último, los resultados obtenidos del registro de la evaluación del efecto ejercido por la testosterona y la 3-oxima-testosterona sobre la presión de perfusión (fig. 5), señalan que incrementos en la concentración de la oxima de testosterona inducen aumento en presión de perfusión, sin embargo en presencia de la testosterona este efecto aumenta significativamente (p = 0,001).
Figura 5. Cuantificación del efecto ejercido por la testosterona y la oxima de testosterona sobre la presión de perfusión. En la gráfica se muestran los registros de los cambios de presión de perfusión en presencia de testosterona y la oxima de testosterona a diferentes dosis (1 3 109 a 1 3 105 M), en tiempos no mayores de 1 h. Los resultados señalan que incrementos en la concentración de testosterona inducen un aumento en la presión de perfusión; sin embargo, este efecto es menor en presencia del derivado de testosterona (p = 0,001).
DISCUSION
En este trabajo se evaluó el efecto inducido por la testosterona sobre la presión de perfusión, los resultados indican que variaciones en el tiempo (3-15 min) en condiciones control (fig. 2) la presión de perfusión no presenta cambios significativos; sin embargo, en presencia de testosterona (1 3 109 M] la presión de perfusión se incrementa significativamente (p = 0,001). Estos datos señalan que la testosterona ejerce un efecto directo sobre la presión de perfusión y que este efecto podría ser dependiente de los grupos funcionales involucrados en su estructura química, como lo señalan algunos investigadores26. Para evaluar esta premisa, en este trabajo se determinó la actividad biológica ejercida por la testosterona sobre la presión de perfusión en un modelo de corazón aislado de rata y perfundido a flujo constante (Langendorff) usando 3 análogos de testosterona (fig. 1) como herramienta farmacológica, para establecer si modificaciones en los grupos funcionales conducen a cambios en el efecto de la testosterona sobre la presión de perfusión.
En este sentido, en primer lugar se evaluó el efecto inducido por la testosterona; los datos registrados indican que incrementos en la dosis de este andrógeno (1 3 109 a 1 3 105 M) ejercen aumentos en la presión de perfusión (fig. 3), sin embargo este efecto se potencia significativamente (p = 0,005) en presencia del compuesto OTBDS-testosterona a las mismas concentraciones. Aquí es importante mencionar que este derivado de testosterona involucra al grupo funcional tert-butildimetilsilano en lugar del 17b-hidroxilo enlazado al anillo D de la testosterona. Es así, que los resultados señalan que el grupo hidroxilo de la testosterona pareciera que no es específico para el efecto que ejerce la testosterona. Estos datos parecen ser similares a los reportados por otros investigadores27, donde se muestra que modificaciones en el grupo funcional 17b-hidroxilo de la testosterona ejercen el mismo efecto que la hormona; sin embargo, es importante mencionar que estos trabajos involucran macromoléculas ligadas a la testosterona, lo que podría ser un factor de diferencia en el efecto ejercido por la hormona. Por lo tanto, en este trabajo, pensando que tal vez el tamaño del sustituyente tert-butildimetilsilano en la posición 17b podría, de alguna manera, inducir un impedimento estérico, lo que podría traer como consecuencia diferencias en el efecto de la hormona y el derivado hormonal (OTBDS-testosterona). Para evaluar esta premisa, se realizaron experimentos alternativos donde se evaluó el efecto del hemisuccinato de testosterona-etilendiamina sobre la presión de perfusión. Aquí cabe señalar que este derivado de testosterona tenía una cadena hidrocarbonada en su estructura química que involucra grupos funcionales específicos en la posición 17b, como un éster y un grupo amino libre (fig. 1). Los resultados encontrados señalan que el efecto de este análogo hormonal fue menor que el efecto inducido por la testosterona (fig. 4). Todos estos datos señalan, por un lado: a) modificaciones en el grupo hidroxilo traen como consecuencia diferencias en el efecto inducido por la testosterona sobre la presión de perfusión; b) incrementos en el volumen molecular en la posición 17b de la hormona induce aumentos en la presión de perfusión; y, por otro, pensando que también el grupo carbonilo enlazado al anillo A de la testosterona podría tener influencia sobre la presión de perfusión, se realizaron experimentos alternativos usando como herramienta la 3-oxima de testosterona. Aquí es importante mencionar que en estos experimentos se modificó el grupo carbonilo y no se modificó el hidroxilo. Los resultados encontrados muestran que la oxima de testosterona induce un menor efecto significativo (p = 0,001) en comparación con el efecto ejercido por la testosterona (fig. 5). Estos datos señalan que el grupo carbonilo enlazado al anillo A de la testosterona es más específico para el efecto que induce la testosterona sobre la presión de perfusión. Esta premisa es avalada por los trabajos de Marhefka et al21, que señalan que el grupo carbonilo de la testosterona parece ser de mayor importancia para el efecto ejercido por este andrógeno.
CONCLUSIONES
En este trabajo se observó que el efecto ejercido por la testosterona sobre la presión de perfusión es diferente al inducido por los análogos hormonales, lo que parece que depende de los grupos funcionales enlazados al anillo A (carbonilo, C-3) y al anillo D (hidroxilo, C-17b). Sin embargo, habría que señalar que la funcionalidad del doble enlace involucrado en el anillo A de la hormona podría contribuir a variaciones en la presión de perfusión. Por otro lado, cabe señalar que los grupos funcionales en los análogos de testosterona son completamente diferentes, lo que puede traer como consecuencia diferencias en el efecto sobre la presión de perfusión.
AGRADECIMIENTOS
A la Dra. Elizabeth Langley, Gloria Velázquez Z, Enriqueta Valverde A, Galfira Valverde A por su valiosa colaboración.






