The purpose of this study was to investigate the relationship between defence mechanisms and pathological personality traits.
Material and methodsWe analysed 320 participants aged from 18 to 64 years (70.6% women, 87.5% university students) who completed the Dimensional Clinical Personality Inventory (IDCP) and the Defence Style Questionnaire (DSQ-40). We conducted comparisons and correlations and a regression analysis.
ResultsThe results showed expressive differences (d>1.0) between mature, neurotic and immature defence mechanism groups, and it was observed that pathological personality traits are more typical in people who use less mature defence mechanisms (i.e., neurotic and immature), which comprises marked personality profiles for each group, according to the IDCP. We also found correlations between some of the 40 specific mechanisms of the DSQ-40 and the 12 dimensions of pathological personality traits from the IDCP (r ≥ 0.30 to r ≤ 0.43), partially supported by the literature. In addition, we used regression analysis to verify the potential of the IDCP dimension clusters (related to personality disorders) to predict defence mechanisms, revealing some minimally expressive predictive values (between 20% and 35%).
DiscussionThe results indicate that those who tend to use immature defence mechanisms are also those most likely to present pathological personality traits.
ConclusionsThe findings indicate the importance of investigating these correlations as a possible improvement to clinical assessment and intervention.
El objetivo de este estudio es investigar la relación entre los mecanismos de defensa y los rasgos patológicos de la personalidad.
Material y métodosSe analizó a 320 participantes de 18 a 64 años (el 70,6% mujeres y el 87,5% estudiantes universitarios) que respondieron al Inventario Dimensional Clínico de Personalidad (IDCP) y el Cuestionario de Estilo Defensivo (DSQ-40). Se hicieron comparaciones, correlaciones y análisis de regresión.
ResultadosAparecieron diferencias expresivas (d > 1,0) entre grupos de mecanismos de defensa maduros, neuróticos e inmaduros, y se observó que los rasgos de personalidad patológicos son más típicos de personas que usan mecanismos de defensa menos maduros (es decir, neuróticos e inmaduros), lo cual comprende perfiles de personalidad marcados para estos grupos, según el IDCP. También se hallaron correlaciones entre algunos de los 40 mecanismos específicos del DSQ-40 y las 12 dimensiones de los rasgos patológicos de la personalidad del IDCP (r ≥ 0,30 a r ≤ 0,43), parcialmente respaldados en la literatura. Además, se usó el análisis de regresión para buscar el potencial de los clusters de las dimensiones del IDCP (relacionados con los trastornos de personalidad) para predecir los mecanismos de defensa, lo cual reveló algunos valores predictivos mínimamente expresivos (entre el 20 y el 35%).
DiscusiónLos resultados indican que quienes tienden a utilizar mecanismos de defensa inmaduros son también los que tienen más probabilidades de presentar rasgos de personalidad patológicos.
ConclusionesLos hallazgos señalan la relevancia de investigar estas relaciones como una posible mejora en la evaluación y la intervención clínica.
Defense mechanisms can be understood as unconscious automatic psychological processes whose purpose is to create awareness of stressor events and consequently protect against anxiety.1-3 Originated in psychoanalysis, these ego (central axis) that organizes psychic processes and rationally controls conduct4 mechanisms indicate typical conflict resolution and personality organization modes.5
Defense mechanisms are processes that make possible to understanding the relationship between healthy and pathological personality functioning, the latter being this particular study's interest.6 Although there are several defense mechanism classification models,1,7-10 this study is based on a hierarchical model in which defense mechanisms are grouped according to their related maturity level, namely mature or adaptive, neurotic or immature defenses.9,10
According to this model, defenses may be construed as a continuum, ranging from mature to neurotic and immature defenses. Mature defenses are considered to be the healthiest ones, making conscious stressor-management possible in affective and ideational ways that extenuate conflicts. These defenses are related to maturity in development and can be found in healthily functioning adult individuals. When an individual presents with intermediary defenses (i.e., neurotic defenses), conflicts (ideas, feelings, desires, memories, and fears) are not clearly and consciously dealt with, resulting in typical displays of neurotic functioning, such as excessive concern and anxiety, and less control of the situation. These defenses are common in healthy developing individuals. In adults, they are commonly related to anxiety and neurotic disorders. Now, with immature defenses, conflicts are expressively and unconsciously dealt with in a way that the individual is unable to access unacceptable stressors, impulses, ideas, affects, or responsibilities. This leads to distortion of perception of self and others, as well as incorrect attribution of the antagonistic feelings to external causes. These defenses are commonly found in adults presenting with severe adaptive difficulties, which are frequently related to personality and/or mood disorders.9,11
Under evolutionary hypothesis, all ego defenses have an underlying base structure. Thus, each defense presents a set of related personality traits.11 Particularly, defense mechanisms may be understood as basic underlying personality functioning mechanisms.12 In pathological personality functioning, these mechanisms may aid in distinguishing personality disorders’ many functioning levels,13 and their similarities or comorbidities.14-16Table 1 shows defense mechanisms assessed by this study, as well as typical related personality disorders, according to literature.
Defense mechanisms as per mature, neurotic, and immature factors and IDCP dimensions.
| Defense mechanism | Description | PD | Dimension |
|---|---|---|---|
| Mature defenses | |||
| Sublimation | Transformation of socially frowned upon goal for obtaining gratification, allowing for instincts to be channeled | — | |
| Humor | Humorous expression of thoughts and feelings | — | |
| Anticipation | Realistic anticipation for future discomfort through careful planning | — | |
| Suppression | Conscious or unconscious decision to delay paying attention to an impulse or conflict in order to minimize level of discomfort | — | |
| Rationalization | Justification of one's unacceptable beliefs or behaviors through rational explanation | Narcissistic | 3, 7 |
| Neurotic defenses | |||
| Undoing | Managing conflicts by undoing through words or behavior or by symbolic correction of thoughts, feelings, or actions | Schizotypal; borderline* | 3, 4, 8; 1, 2, 3, 12 |
| Pseudo-altruism | Helping others for self-fulfillment | ||
| Idealization | Attribution of exaggerate positive qualities for conflict management | Anti-social* | 2, 3, 12 |
| Reaction formation | Conversion of unacceptable impulses or feelings into their opposites | Obsessive-compulsive* | 3, 11 |
| Immature defenses | |||
| Projection | Attribution of one's own unbearable and painful feelings and wishes to others | Paranoid*; borderline*; histrionic*; narcissistic* | 3, 6; 1, 2, 3, 12; 3, 7 |
| Passive aggression | Aggressiveness towards others indirectly expressed as passivity or masochism | Paranoid*; borderline* | 3, 6; 1, 2, 3, 12 |
| Acting out | Chronically giving in to unconscious wishes or impulses through action | borderline | 1, 2, 3, 12 |
| Isolation | Dissociation or separation of feelings from related ideas due to repression | ||
| Devaluation | Attribution of exaggerate negative qualities to self and others for conflict management | Anti-social*; borderline* | 2, 3, 12; 1, 2, 3, 12 |
| Fantasy | Excessive daydreaming as a replacement for human relationships, effective solutions, or problem solving as a means for conflict management | Avoidant | 3, 9 |
| Denial | Avoidance of perceiving painful aspects of reality through denial of information | Anti-social*; borderline* | 2, 3, 12; 1, 2, 3, 12 |
| Displacement | Shifting emotion or impulse cathexis from an idea or object to another object or idea that is similar to the original one and evokes less emotional distress | Paranoid* | 3, 6 |
| Dissociation | Temporary drastic modification of one's character or feelings of personal identity to avoid emotional distress | Histrionic | 3, 5 |
| Splitting | Conflict management by segregating opposed affects without integrating positive and negative qualities related to self or others | Borderline* | 1, 2, 3, 12 |
| Somatization | Transformation of psychic processes into physical symptoms | Borderline* | 1, 2, 3, 12 |
1: dependency; 2: aggressiveness; 3: mood instability; 4: eccentricity; 5: attention seeking; 6: mistrust; 7: grandiosity; 8: isolation; 9: avoidance of criticism; 10: self-sacrifice; 11: conscientiousness; 12: impulsiveness; PD: personality disorders.
In addition to mechanisms and related disorders, Table 1 also shows the dimension column, containing Dimensional Clinical Personality Inventory (Inventário Dimensional Clínico da Personalidade [IDCP]) dimension numbers, which was used in this study to assess pathological personality characteristics. This instrument assesses pathological personality functioning in 12 dimensions.25,26
Considering how pathological personality functioning and defense mechanisms relate to one another, Table 1 shows personality disorders and certain related mechanisms, as per literature information. There is also a significant increase in the number of related disorders in table cells containing immature defense mechanisms. Based on the current model, there were no specific defense mechanisms typically related to schizoid and dependent personality disorders. A study which correlates Defensive Style Questionnaire (DSQ-40) factors and Minnesota Multiphasic Personality Inventory (MMPI) scales,27 also supports data presented in Table 1. A significant positive association was observed between the immature defense mechanism factor and the Hypochondriasis and Psychopathic Deviate scales, corresponding to histrionic and anti-social disorders’ personality functioning, respectively.28 Paranoia, Psychasthenia, Schizophrenia, and Interest Scalesrespectively related to paranoid, obsessive compulsive, and schizotypal and schizoid personality disorders28— presented positive and significant correlations to DSQ-40 immature and neurotic factors.
Based on the fact that defense mechanisms are used for homeostasis maintenance —giving the individual their psychic maturity level7— and pathology development depends on a certain mechanism type's predominance and on the quantitative level it is employed,29,30 this research study aimed to investigate correlations between defense mechanisms and pathological personality characteristics. We initially expected to find the correlations between pathological personality characteristics and defense mechanisms presented in Table 1, considering the instrument (IDCP) dimensions used in this study.25 IDCP dimensions do not directly represent specific personality disorders, but each dimension seems to be more closely related to specific types of pathological functioning, as can be seen in the study25 (see Table 3 of referred citation) in which this study relies on. We also expected to find the same pattern presented in Table 1, i.e., a higher number of frequent and expressive correlations between immature mechanisms and IDCP dimensions than between mature mechanisms and IDCP dimensions, with neurotic mechanisms presenting with intermediary correlations.
Partial correlations between IDCP and DSQ-40.
| 1 | 2 | 4 | 5 | 6 | 7 | 8 | 9 | 10 | 11 | 12 | |
|---|---|---|---|---|---|---|---|---|---|---|---|
| Mature | |||||||||||
| Anticipation | .05 | .02 | .15 | .09 | .20 | .08 | .22 | .03 | .04 | .34 | .03 |
| Humor | .03 | .09 | .13 | .29 | .06 | .05 | –.02 | –.11 | .07 | .06 | .23 |
| Suppression | .01 | .23 | .23 | .16 | .14 | .16 | .13 | .07 | .00 | .12 | .22 |
| Sublimation | .11 | .05 | .19 | .12 | .10 | .11 | .08 | –.01 | .22 | .25 | –.03 |
| Rationalization | .04 | .10 | .13 | .28 | .12 | .21 | .10 | –.03 | .11 | .20 | .09 |
| Neurotic | |||||||||||
| Pseudo-altruism | .27 | –.02 | .10 | .09 | –.08 | .08 | –.01 | .08 | .43 | .17 | –.10 |
| Idealization | .07 | .13 | .03 | .26 | .07 | .25 | –.13 | –.05 | .07 | .02 | .12 |
| Reaction formation | .18 | –.10 | .16 | .09 | .01 | –.02 | .08 | .06 | .31 | .13 | –.04 |
| Undoing | .25 | .20 | .16 | .06 | .15 | .15 | –.01 | .14 | .17 | .08 | .11 |
| Immature | |||||||||||
| Projection | .18 | .19 | .26 | –.08 | .11 | .26 | .00 | .27 | .12 | –.06 | .06 |
| Passive aggression | .05 | .33 | .22 | –.03 | .08 | .21 | .07 | .09 | .03 | –.12 | .23 |
| Acting out | –.06 | .21 | .00 | .08 | –.03 | .04 | –.17 | –.02 | –.18 | –.16 | .24 |
| Isolation | .03 | .23 | .37 | –.10 | .13 | .16 | .32 | .13 | .06 | .06 | .29 |
| Devaluation | .07 | .21 | .23 | –.11 | .04 | .17 | .15 | .20 | .02 | .05 | .20 |
| Fantasy | .25 | .10 | .19 | .03 | .07 | .10 | .15 | .11 | .16 | .00 | .16 |
| Denial | .00 | .33 | .30 | .12 | –.04 | .13 | .14 | .05 | .09 | .03 | .33 |
| Displacement | .09 | –.03 | .07 | .02 | .07 | .04 | –.09 | .01 | .05 | –.06 | –.10 |
| Dissociation | –.01 | .34 | .28 | .26 | .08 | .26 | .08 | .03 | .04 | .06 | .34 |
| Splitting | –.01 | .18 | .11 | .15 | .14 | .23 | –.01 | .03 | .01 | .03 | .14 |
| Somatization | .11 | –.19 | –.08 | –.09 | –.06 | –.02 | –.06 | –.03 | .02 | .05 | –.24 |
| Mature | .08 | .16 | .27 | .31 | .20 | .20 | .17 | –.02 | .15 | .32 | .17 |
| Neurotic | .29 | .09 | .18 | .20 | .07 | .18 | –.03 | .09 | .37 | .16 | .04 |
| Immature | .13 | .33 | .35 | .05 | .11 | .28 | .12 | .15 | .08 | –.01 | .29 |
The .30 effect size was used as a cutoff34 with statistical power >.90 for the sample of this study.
Participants were 320 subjects aged between 18 and 64 years old (mean, 25.80 ± 7.67), and 226 were women (70.6%). Regarding schooling, 87.5% of the sample (n=280) consisted of college students and 78.1% (n=250) ethnically considered Caucasian. Additionally, 37 subjects (11.6%) reported to be currently undergoing or to have already undergone psychiatric treatment, 15 (4.7%) of whom were currently taking or had previously taken psychotropic prescription drugs, and 106 (33.4%) of whom were currently undergoing or had already undergone psychotherapy treatment.
InstrumentsThis study utilized 2 instruments: DSQ-40 and IDCP. DSQ-40 is a self-report instrument consisting of 40 items.31 This instrument aims to assess conscious derivations of 20 defense mechanisms divided into 3 factors: mature, neurotic, and immature. DSQ-40 must be answered with a 9-point Likert scale, where 1 indicates “Strongly Disagree” and 9 indicates “Strongly Agree.” Estimated time for instrument completion is 10 minutes. Regarding studies for verifying DSQ-40 psychometric properties, studies for researching validity evidence based on internal structure yielded results that were similar to the original version's.31,32 Another study showed alpha coefficients that varied from .52 to .77 and a test-retest reliability index of .61.27
IDCP is a self-report instrument for assessing pathological personality traits in adults.25 It consists of 163 items divided into 12 dimensions: Dependency, Aggressiveness, Mood Instability, Eccentricity, Attention Seeking, Mistrust, Grandiosity, Isolation, Avoidance of Criticism, Self-Sacrifice, Conscientiousness, and Impulsiveness. This instrument's psychometric properties were verified in several studies25,26 that have generally yielded favorable validity evidence and acceptable reliability indexes.
ProceduresThe project used as a basis for this study was approved by the local Ethics Committee and its approval can be verified through the following protocol number: CAAE 21992113.1.0000.5514. Instruments were collectively administered in the classrooms of two private universities located in the Brazilian states of São Paulo and Minas Gerais. Data collection was also done individually with graduate Psychology students from the State of São Paulo University. Regarding data analysis, the ANOVA (Analysis of Variance) statistical test was used to compare IDCP group averages, according to a defense mechanism expression trend (mature, neurotic, or immature). Cohen's d was calculated for comparison using combined (pooled) standard deviation, given that groups presented N discrepancy. Scores were standardized in Z, allowing for comparison among IDCP dimensions. Correlation analysis between instruments and weighing to partial correlation were also conducted, using the Mood Instability dimension as a co-variable. To supplement this research study's objectives, we have also verified IDCP dimension capacity of predicting defense mechanisms, grouped based in Table 1, according to PDs. Analysis were conducted using SPSS statistical software.
ResultsGiven this study's research goals, participants were divided into groups according to their score in the three sets of defense mechanisms (mature, neurotic, and immature). In Table 2, IDCP dimension group descriptive data are presented, as well as ANOVA test and effect measurement (d) information. Additionally, P was also calculated for the standardized z average for each group to check for a non-zero average.
ANOVA for group comparison in the IDCP dimensions.
| Dimension | Mature (n=237)M (DP) | Neurotic (n=54)M (DP) | Immature (n=8)M (DP) | Mature*Neuroticd | Mature* Immatured | Neurotic* Immatured | F (gl=2; p) |
|---|---|---|---|---|---|---|---|
| 1. Dependency | -0.16 (0.90)* | 0.62 (1.05)* | 1.03 (0.89)* | 0.84 | 1.32 | 0.40 | 21.005 (0.001) |
| 2. Aggressiveness | -0.88 (0.93) | 0.29 (1.19) | 0.96 (1.22) | 1.19 | 1.96 | 0.56 | 7.009 (0.001) |
| 3. Mood Instability | -0.14 (0.93)* | 0.54 (1.07)* | 0.92 (0.93)* | 0.71 | 1.14 | 0.36 | 14.916 (0.001) |
| 4. Eccentricity | -0.10 (0.95) | 0.34 (1.03)* | 0.94 (1.23)* | 0.46 | 1.08 | 0.57 | 8.507 (0.001) |
| 5. Attention Seeking | -0.01 (0.92) | 0.11 (1.13) | 0.14 (0.88) | 0.12 | 0.16 | 0.03 | 0.386 (0.68) |
| 6. Distrust | -0.01 (0.97) | 0.21 (1.12) | 0.08 (0.67) | 0.22 | 0.09 | 0.12 | 1.187 (0.31) |
| 7. Grandiosity | -0.10 (0.96) | 0.38 (1.11)* | 0.95 (0.92)* | 0.49 | 1.10 | 0.52 | 9.0006 (0.001) |
| 8. Isolation | -0.06 (0.98) | 0.17 (0.97) | 0.85 (0.86)* | 0.24 | 0.93 | 0.71 | 4.4501 (0.01) |
| 9. Critiscism Avoidance | -0.10 (0.97) | 0.27 (1.06)* | 0.90 (1.02)* | 0.37 | 1.03 | 0.60 | 6.578 (0.002) |
| 10. Self-sacrifice | -0.13 (0.90)* | 0.67 (1.08)* | 0.25 (1.24) | 0.85 | 0.42 | 0.38 | 16.118 (0.001) |
| 11. Conscientiousness | 0.01 (0.99) | 0.08 (0.93) | -0.40 (0.89) | 0.07 | 0.42 | 0.52 | 0.864 (0.42) |
| 12. Impulsiveness | -0.06 (0.93) | 0.07 (1.12) | 0.76 (0.83)* | 0.13 | 0.88 | 0.63 | 3.205 (0.04) |
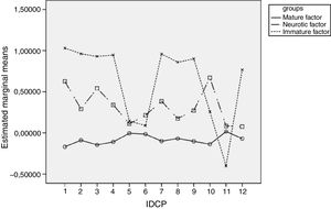
As seen in Table 2, individuals who scored higher in mature defense mechanisms tended to present lower averages on IDCP dimensions. Differently, individuals who scored higher in immature mechanisms also presented higher IDCP averages. Despite this trend, groups seemed to show no difference between the Attention Seeking and Mistrust dimensions; individuals scoring higher on neurotic mechanisms also presented a higher score in the Self-Sacrifice dimension; and individuals scoring higher in immature mechanisms —contrary to trends seen in other dimensions—presented the lowest Conscientiousness score. Figure 1 supplements this information, making it possible to visually assess participant profiles according to their groups.
It is worth pointing out that groups presented quantitative differences in terms of pathology in personality traits and qualitative differences. Quantitatively, individuals presenting with mature mechanisms scored the lowest in IDCP dimensions; individuals presenting with neurotic mechanisms scored between the other two groups; and individuals with immature mechanisms scored the highest in IDCP, except for the Conscientiousness dimension. From a qualitative standpoint, group profiles were quite diverse, i.e., subjects in different groups distinguished themselves other than on the level of pathological personality characteristics severity, and seem to differ on specific functioning modes.
Aimed at verifying validity of initial hypothesis, correlations were established between IDCP's 12 dimensions and DQS’ 40 defense mechanisms. Out of the 252 correlation possibilities, 74 correlations were numerically ≥.30 (between .30 and .55). Highest correlations were between Mood Instability and Acting Out (r=.55) and Aggressiveness and Passive Aggression (r=.51). We stress that some IDCP dimensions correlated to almost all of the immature mechanisms, namely: Dependency, Aggressiveness, Mood Instability, Eccentricity, Grandiosity, and Impulsiveness. Thus, an evident pattern was observed: an expressive number of expressive correlations of pathological dimensions to immature mechanisms; a less expressive number of correlations to neurotic mechanisms; and an even less expressive one to mature mechanisms. Given the amount of expressive correlations: a) considering the fact that Table 1 presents a priori correlation expectations between Mood Instability and all of the investigated defense mechanisms, and b) due to previous studies on this dimension,26,33 including its proximity to borderline functioning and how borderline functioning generally indicates a personality pathology;25,33 we have chosen to control this dimension's variance when verifying correlations (i.e., partial correlation) between mechanisms and the remaining dimensions. Results can be seen in Table 3.
Values expressively decrease (from 74 to 16 correlations) when numbers are ≥.30 and Mood Instability variance is controlled. Regardless of this decrease, an expected pattern was seen in non-partial correlation, i.e., a higher number of expressive correlations to immature mechanisms, followed by neurotic, and lastly, mature mechanisms. Lastly, linear regression analyses were run utilizing IDCP dimensions as independent variables and defense mechanisms as dependent variables. Predictive dimensions were chosen according to Table 1, i.e., depending on the personality disorder related to each defense mechanism. Table 4 shows Cluster A personality disorder-related predictions.
Mechanisms prediction from IDCP dimensions related to personality disorders (cluster A).
| PD | Mechanism | % (r2 adjusted) | β (P) | Dimension |
|---|---|---|---|---|
| Schizotypal | Projection | 17% (.001) | 0,26 (<.01) | Mood instability |
| .27 (<.01) | Eccentricity | |||
| –.09 (.20) | Isolation | |||
| Paranoid | Projection | 22% (.001) | .19 (<.01) | AggressivenessMood instabilityDistrust |
| .28 (<.01) | ||||
| .07 (.24) | ||||
| Passive agression | 28% (.001) | .40 (<.01) | ||
| .18 (<.01) | ||||
| –.02 (.79) | ||||
| Displacement | 14% (.001) | –.06 (.37) | ||
| .34 (<.01) | ||||
| .11 (.09) |
r2≥.20 considered as a minimun predictive power.
Predictive power was shown to be higher for paranoid PD, specifically when related to the Passive Aggression mechanism; on the contrary, the Displacement mechanism presented the least amount of explained variance for this same PD, as explained by predictive dimensions. Regression analyses for Cluster B PDs are presented in Table 5.
Mechanisms prediction from IDCP dimensions related to personality disorders (cluster B).
| PD | Mechanism | % (r2 adjusted) | β (P) | Dimension |
|---|---|---|---|---|
| Narcissist | Rationalization | 3% (.001) | –.20(<.01) | Mood instability |
| .26 (<.01) | Grandiosity | |||
| Projection | 24% (.001) | .26 (<.01) | ||
| .28 (<.01) | ||||
| Borderline | Undoing | 22% (.001) | .28 (<.01) | Dependency |
| .27 (<.01) | Aggressiveness | |||
| .03 (.67) | Mood instability | |||
| –.2 (.73) | Impulsiveness | |||
| Projection | 24% (.001) | .19 (<.01) | ||
| .27 (<.01) | ||||
| .18 (.02) | ||||
| –.08 (.23) | ||||
| Passive agression | 28% (.001) | .10 (.10) | ||
| .35 (<.01) | ||||
| .11 (.13) | ||||
| .06 (.36) | ||||
| Acting-out | 35% (.001) | –.05 (.37) | ||
| .11 (.16) | ||||
| .43 (<.01) | ||||
| .19 (<.01) | ||||
| Devaluation | 12% (.001) | .09 (.17) | ||
| .17 (.05) | ||||
| .09 (.26) | ||||
| .09 (.24) | ||||
| Denial | 14% (.001) | .01 (.95) | ||
| .32 (<.01) | ||||
| –.20 (.01) | ||||
| .19 (.01) | ||||
| Dissociation | 18% (.001) | –.01 (.97) | ||
| .13 (.12) | ||||
| .25 (<.01) | ||||
| .11 (p-.12) | ||||
| Somatization | 19% (.001) | .13 (.06) | ||
| –.07 (.41).43 (<.01) | ||||
| –.20 (<.01) | ||||
| Antisocial | Idealization | 7% (.001) | .12 (.17) | Agressiveness |
| .13 (.06) | Mood instability | |||
| .07 (.33) | Impulsiveness | |||
| Devaluation | 12% (.001) | .18 (.04) | ||
| .15 (.03) | ||||
| .08 (.30) | ||||
| Denial | 14% (.001) | .32 (<.01) | ||
| –.20 (<.01) | ||||
| .19 (.01) | ||||
| Histrionic | Projection | 20% (.001) | .46 (<.01) | Mood instability |
| –.09 (.07) | Attention seeking | |||
| Dissociation | 7% (.001) | .01 (.79) | ||
| .27 (<.01) |
r2≥.20 considered as a minimun predictive power.
This table presents a higher number of predictions, as Borderline PD was generally more correlated to defense mechanisms in literature, as seen in Table 1. For this PD and the overall table, the most well predicted mechanism by IDCP dimensions was Acting Out, which contrasted with the Rationalization mechanism in the Narcissistic PD, whose dimensions presented less predictive capacity. Lastly, Table 6 shows Cluster C PD predictions.
Mechanisms prediction from IDCP dimensions related to personality disorders (cluster C).
| PD | Mechanism | % (r2 adjusted) | β (P) | Dimenson |
|---|---|---|---|---|
| Obsessive compulsive | Reaction formation | 1% (.001) | .01 (.87) | Mood instability |
| .14 (.01) | Conscientiousness | |||
| Avoidant | Fantasy | 22% (.001) | .39 (<.01) | Mood instability |
| 0,13 (.03) | Criticism avoidance |
r2≥.20 considered as a minimun predictive power.
For Cluster C, two set of dimensions’ predictive capacities were verified. One set presented only 1% predictive power for the Reaction Formation mechanism and the other set showed a more expressive 22% predictive power for the Fantasy mechanism.
DiscussionResults yielded relevant information on defense mechanisms and personality functions and relations in 3 different axis, namely: profile differences between patients with pathological personality functioning in the three different defensive mechanism groups (mature, neurotic, and immature); which specific mechanisms relate to each of the 12 IDCP corresponding personality dimensions; and how assessing personality may make identifying specific defense mechanisms possible. All axes relate to relevant information for clinical management of patients diagnosed with personality disorders. Analyses have thus been conducted based on initial hypothesis (see Table 1).
According to the healthy to pathological continuum seen in defense mechanisms ranging from mature and neurotic to immature, IDCP score was expected to be a numerically increasing sequence from low (mature) to high (immature) scores, as this instrument is aimed at assessing pathological personality displays.25 On Table 2 and figure 1, this continuum can be clearly observed. In the group presenting with mature defenses, most dimensions showed a low score (flat effect in figure 1). The neurotic group that follows showed high to average scores (please see intermediary dotted trend in figure 1). Lastly, the group with mostly immature defense mechanisms showed high scores for almost all dimensions. These findings support this study's broader hypothesis that IDCP shows an expressive number of correlations between its dimensions and immature mechanisms, a less expressive number of correlations to neurotic mechanisms; and an even less expressive one to mature mechanisms. As previously presented in literature,5,9,27,35 this study supports the relationship between subject defense mechanism maturity level and personality trait adaptability level. Thus, individuals with less adaptive personality functioning tend to use more immature mechanisms.
Similarly, difference numbers between groups presented in Table 2 and figure 1 clearly show that subjects who reported using more typically immature mechanisms scored higher. There was a strong distinction for 10 dimensions in this group and in the neurotic mechanism group and for 12 dimensions in the mature mechanism group. Particularly, the highest mature-mechanism-scoring group's profile strongly differed from the other two profiles, suggesting that individuals using mature mechanisms are clearly different from individuals predominantly using defense mechanisms from the other 2 groups.35 In other words, data suggest that individuals who tend to predominantly use immature mechanisms most expressively differ from those who use other defense mechanisms. This is due to their personality functioning level and pathological personality levels.
This expected line, however, proved to have an exception: from immature to mature mechanisms, some IDCP dimension scores presented a distinguished pattern, which did not support evidence from previous studies.27 Attention Seeking scores showed no differences among groups, and Conscientiousness seemed to be more closely related to mature mechanisms. These data are consistent with other data previously presented in literature, in which these dimensions are related to a less pathological —and eventually healthy— personality functioning, differently from other IDCP dimensions.25,36 Additionally, literature also poses considerations on typical Attention Seeking personality functioning, raising questions on its stability as a pathological functioning20,37-41 and on assessing typical Conscientiousness pathological characteristics.42-45 Mistrust was another dimension to not show any distinction between mature/immature and neurotic/immature. It only showed low correlation results (d=.22) between mature and neurotic, with higher score in the neurotic group. Given this dimension's characteristic excessive concern with others’ intentions and possible harm they may cause the individual,25,33 a higher correlation to the neurotic defense group may be hypothesized, given it relates to an excessive concern and tendency to express anxiety.9,35 Similarly, Self-Sacrifice scored higher in the neurotic group, probably due to its intimate relation to the Pseudo-Altruism mechanism, as seen in Table 3.
Based on these data, the group of individuals who tend to use mature defense mechanisms seems to present lower or average levels in dimensions assessing pathological personality traits, supporting literature on the relationship between a greater adaptive capacity for better conflict resolution strategies and healthy personality characteristics.35 As noted in previous studies,11 there seems to be a strong link between personality traits typically displayed by individuals and mechanisms that are more often used by them. We stress that due to this study being directed to pathological personality levels, the establishment of a clear profile for the healthy functioning group of individuals was impaired by IDCP's floor effect, which may be explored in the future in studies focused on healthy personality functioning—a functioning type related to mature mechanisms.
Differently, the group that scored higher in neurotic mechanisms presented a personality profile related to a tendency of displaying personal negligence behavior in favor of others (Self-Sacrifice), insecurity and submission (Dependency), low resilience and sensitivity towards depression and anxiety symptoms (Mood Instability). It also showed a less expressive tendency to present difficulty in trusting others and persecution (Mistrust). Particularly regarding Mood Instability, assessed traits have been typically related to a less healthy functioning.26,33 This information is supported by this study, as less mature groups scored higher in these dimensions. It also suggests that scoring higher in this dimension is characteristic of less mature mechanisms typical profile (as is the case with neurotic mechanisms), but is also a general component of less healthy functioning. Thus, the neurotic profile seems to be best represented by a pattern comprised of submission, insecurity, and a tendency to privilege others instead of oneself, which is consistent with specific neurotic defense mechanisms. This is particularly true regarding pseudo-altruism and its tendency of helping others; idealization and its exaggerate attribution of positive qualities to others; reaction formation, its tendency to convert socially unacceptable impulses and desires into socially acceptable needs.5,9,35 We point out that higher scores for the Mistrust dimension support previous findings.27
We have also sought to determine a typical profile for the group using immature mechanisms, which presented similar high scores for seven dimensions (Dependency, Aggressiveness, Mood Instability, Eccentricity, Grandiosity, Isolation, and Avoidance of Criticism) and a less expressive score for an eighth dimension (Impulsiveness). Particularly, it seems that this group is characterized by a general tendency to present maladaptive characteristics, which suggests its profile can be qualified by self-devaluation, insecurity, hostility and aggression towards others, dominance and superiority behavior, thoughts and behavior idiosyncrasy, intimacy avoidance (due to less intimacy interest, for criticism avoidance), and an impulsive and inconsequent behavior. This set of traits also includes less control and responsibility based on dimension definitions.25 This group's maladaptive traits are stressed by its low scores for Attention Seeking and mostly Conscientiousness, previously mentioned as the two most selected dimensions by the healthy sample. It is worth noting that high Eccentricity, Isolation, and Impulsiveness scores are supported by previously empirical data, such as DSQ-40.27 We also point out that the low Mistrust score was unexpected—which should be further investigated in future studies. We expected to find expressive scores for these dimensions, considering that immature mechanisms include Projection and Passive Aggression, which may reflect aggression and mistrust tendencies towards others, typical of the Mistrust dimension.25 However, this group's remaining mechanisms do not seem to point towards this dimension having a high score trend, which may explain its low score.
Correlations between specific defense mechanisms and IDCP dimensions were investigated to supplement profile analyses. Knowing correlations between specific mechanisms and different personality functioning may provide the clinician with relevant information for managing patients, including developing interventions. Focusing on partial correlations (Table 3), 7 IDCP dimensions presented numbers that reached the criterion used β≥.90,34 6 of them for specific mechanisms, 2 for the mature group, 1 for the neurotic group, and 2 for the immature group. There is an expressive increase in correlations with expressive numbers, according to mechanism maturity level. In other words, mature mechanisms presented a fewer expressive numbers (only 1) and immature mechanisms presented a higher number (8). This finding supports previously discussed results and previous data in literature,9,35 which suggest an evident relationship between maladaptive functioning and immature mechanisms.
Differently from the other dimensions, Attention Seeking and Conscientiousness were correlated to mature defense mechanisms, which, as previously discussed, is consistent with the healthy sample's IDCP dimension characteristic selection possibilities.25,33 Despite it not being initially expected, the correlation between Conscientiousness and Anticipation seems to be consistent, as it suggests that perfectionist individuals and those who concern themselves with planning and organization (Conscientiousness)25 also tend to plan to avoid harmful situations.5,9,35 Literature does not present data supporting or contradicting these findings. Thus, future studies must try and replicate this previously evidenced correlation.
Regarding the remaining dimensions, whose evident pattern was correlation to less mature mechanisms, Self-Sacrifice was the only dimension to show expressive correlation to the neurotic group, namely to Pseudo-Altruism and Reaction Formation mechanisms. Although nothing has been found in literature to support these findings, numbers are consistent with pathological level altruistic displays in this dimension.25 However, differently from IDCP authors’ predictions, this correlation suggests that the altruism implied in characteristics assessed by the Self-Sacrifice dimension serves as a means to camouflage personal gains of individuals scoring high in this dimension. Literature on masochist functioning, intimately related to Self-Sacrifice-assessed aspects, supports this perspective. It points out that this form of functioning may be related to personal gains in helping others more than oneself.46 We suggest further research on aspects assessed by this instrument dimension to better clinically understand its subjacent functioning. Probably due to the submissive aspect also assessed by the Self-Sacrifice dimension —which also belongs to masochist functioning21— Reaction Formation (tendency to not express socially unacceptable impulses and desires) correlation5,9,35 is consistent. This indicates that individuals scoring high in this dimension tend to avoid conflict with people around them through not fulfilling personal desires that may be socially unacceptable.
Regarding the immature mechanism group, it expressively correlated to Eccentricity and Aggressiveness dimensions. The former dimension shows expressive correlations that were not previously pointed out by literature between Isolation and Denial mechanisms, which are related to dissociation/separation between thoughts and affect and a tendency to no take reality into account when making decisions. Both of them can be explained by schizoid specter functioning (i.e., schizoid and schizotypal), are related to Eccentricity characteristics25 and pointed out by Millon21 as a dissociation trend and reality interpretation idiosyncrasy.
Regarding Aggressiveness, one of the expected correlations among expressive numbers was Passive Aggression, given that this IDCP dimension relates to aggressive and eventually violent behavior and this mechanism also suggest tendency to use aggressiveness to solve conflicts. Differently from certain mechanisms, this correlation seems to suggest that displays of aggressive behavior by individuals scoring high in this mechanism tend to be more explicit than implicit, an important aspect to be observed in clinical practice. We suggest that future research aims to specifically investigate individual profiles scoring high in Aggressiveness and in the Passive Aggression mechanism. This profile may represent typical aspects of Passive Aggression (1) or negative (21) functioning. Correlations to Denial and Dissociation mechanisms are harder to be interpreted. Even still, an individual who is constantly and frequently in Denial can become irritable when confronted by people around them. However, this is just an interpretative rough draft not supported by previous literature that must be further investigated in future studies.
It is also worth pointing out that the Impulsiveness dimension also presented expressive correlation numbers with these mechanisms (Denial and Dissociation), which may aid in comprehending observed correlations. Despite being different, Aggressiveness and Impulsiveness present common aspects related to reckless behavior. Both dimensions seem to present a tendency to harm others without caring about implied consequences25. Given the data currently observed in this study, this common dimension background seems to be related to the individual presenting a tendency of not dealing with an aversive reality and painful situations through their (temporarily) modifying own functioning. These data seem to suggest that individuals presenting with an aggressive tendency towards others and displaying reckless behavior that frequently has aversive consequences for those around them. These individuals also commonly use mechanisms to not deal with the product of their own aggressive and reckless behavior. This aspect should be investigated and identified in individuals with personality the functioning presently described. Such investigation is relevant because knowledge of these mechanisms can be paramount for developing assessment and intervention modes for these individuals.
Regarding the remaining dimensions, a correlation between Isolation dimension and the Isolation mechanism was observed. Literature seems not to foresee this correlation, and a direct association between mechanism and dimension is also unlikely to exist. However, we must consider that distancing between affect and ideation is part of an idiosyncratic condition.21,28 It is also an underlying aspect of the Isolation defense mechanism, along with a tendency to isolate—an aspect that is directly assessed by the IDCP dimension. Thus, when analyzed along with a third variable (namely, presence of an idiosyncratic functioning), correlation between the Isolation mechanism and dimension seems to be somewhat coherent, despite there still being a need for it to be confirmed in further studies to provide more evidence on the matter.
To refine presented data, predictive analyses were run (Tables 4 and 6) using IDCP dimension groups according to personality disorders. It is necessary to point out that due to an uneven number of dimensions having been used, predictive capacity might have been directly impaired, as a higher number of predictive variables increases probability of shared variance with the predicted variable. Thus, cases presenting with more dimensions (3 to 4) tended to have higher predictive capacity. There were also cases with less dimensions (2) that presented a minimally expressive predictive capacity (i.e., r2≥20%). Nine predictions presented values ≥20%, suggesting that there is a minimal correlation between defense mechanisms set forth in literature19,23,24 and different types of pathological personality functioning represented by IDCP's set of dimensions, also set forth in previous literature.25,33 The Projection mechanism must be specifically discussed, as it was found in five of six different types of pathological functioning presenting with a minimally expressive prediction. It is possible that mechanism is one of the most studied mechanisms in literature. It also seems to be one of the broader ones in the immature defense mechanism group, which may explain its intimate relation to several types of pathological personality functioning.2,13. We stress that these are incipient data that suggest using several pathological functioning-representative variables (i.e., IDCP dimensions) is an acceptable method for investigating correlations between these types of functioning and typically employed defense mechanisms.
Given this study's objective (namely, investigating correlations between defense mechanisms and pathological personality characteristics), part of the initial hypothesis was supported and we were able to come to certain conclusions, despite the fact that future research should try and replicate these findings. Analyzing profiles, pathological personality traits were observed to be more typical in individuals using less mature (neurotic and immature) defense mechanisms. Particularly, individuals majorly using neurotic defense mechanisms present a clearer personality profile. This may be explained by several factors, including: a) this mechanism group contains a lower and more homogeneous number of defense mechanisms, making it possible for a typical profile to emerge, and/or b) this mechanism group is less extreme than the other two, such that only the most prominent characteristics become apparent.
Regarding correlations found, most hypothesis presented in Table 1 were not supported, partly because expressive correlation numbers were low. However, most of correlations found between defense mechanisms and dimensions of pathological personality characteristics were consistent, both from a macro (defense group) and a micro (individual defense mechanisms) standpoint. Despite this consistence, some interpretations set forth need to be investigated in future studies, as they have not been found in previous literature. A higher number of expressive correlations were also found using variable groups (i.e., dimensions) rather than defense mechanisms. Thus, in an attempt to contribute to the empirical overview of defense mechanisms and their relationship to different types of pathological personality functioning, we suggest that future studies favor the use of variable sets over isolated personality variables to verify correlations to less and more mature mechanisms.
These conclusions must be weighed according to this research's main limitations, including a reasonably small sample, which directly affected the number of individuals majorly selecting immature defenses. Additionally, only instruments of similar assessment nature (self-report) were used for assessing personality and defense mechanisms. We also raise the question of whether specific defense mechanisms can be accurately represented by only two items. Additionally, we must consider the possibility of IDCP not representing all dimensions relevant for different types of pathological personality functioning.
Future studies must seek to amount empirical evidence on investigated correlations, both in trying to replicate this research and applying other assessment measures to other population samples. We also stress the need for further investigating some of the questions raised by this study, including relevance of understanding the correlation between difficulty to trust others and persecution (typical aspects of Mistrust dimension) and DSQ-40-assessed defense mechanisms. Data also point towards a need to investigate groups of individuals with high scores for aspects assessed by Aggressiveness dimension and Passive Aggression mechanism, given that this profile may be related to a personality profile that is not widely discussed in literature.
Conflicts of interestsThe authors do not present a conflict of interests.
This work was supported by a grant from the Fundação de Amparo a Pesquisa do Estado de São Paulo [(FAPESP); São Paulo Research Fundation] and Conselho Nacional de Desenvolvimento Científico e Tecnológico [(CNPq); National Council of Technological and Scientific Development].










