Introducción
La Atención Primaria de Salud (APS) es el nivel asistencial clave de los sistemas sanitarios y que de alguna forma se responsabiliza del buen funcionamiento de los mismos, así como del nivel de salud global de la población, puesto que entre sus funciones se destaca no solamente la atención curativa de los problemas de salud, sino también la promoción de la salud y prevención de la enfermedad, dentro de un entorno familiar y comunitario, desarrollándose todo ello en un contexto de adecuada coordinación con el nivel de atención especializada.
Para poder comprobar si se cumple adecuadamente con todos estos objetivos se hace necesaria la evaluación de la APS con el fin de identificar áreas de mejora.
Hasta el momento los métodos utilizados para la evaluación en APS se han centrado en el proceso. En la actualidad se está produciendo cada vez un consenso más amplio respecto a la necesidad de desarrollar metodologías que permitan poner más énfasis en la valoración de los resultados y van surgiendo diferentes iniciativas en este sentido1.
Para poder abordar con garantías esta problemática es preciso disponer de indicadores válidos, fiables, contrastados, relevantes y accesibles que midiendo los resultados permitan realizar comparaciones espaciales y temporales.
Últimamente se están tratando de desarrollar y validar algunos indicadores de resultado con carácter "centinela", como es el caso de la mortalidad evitable o la hospitalización evitable. Según Rutstein se considerarán eventos centinela aquellos que tienen una baja probabilidad de ocurrir y/o alta probabilidad de ser consecuencia de deficiencias en la asistencia prestada o a la inexistencia de esa asistencia.
LasAmbulatory Care Sensitive Conditions (ACSC) se han definido como aquellos casos en los que la prestación de los cuidados ambulatorios efectivos (extrahospitalarios) y en el momento adecuado pueden reducir de una forma significativa el riesgo de precisar un ingreso hospitalario2.
Conceptualmente y haciendo una aproximación intuitiva al concepto, se trataría de situaciones en las que pudiera evitarse la hospitalización por:
Prevención de la aparición de una enfermedad.
Tratamiento adecuado del episodio agudo de un problema de salud.
Control correcto de una enfermedad crónica establecida.
Si esta hipótesis se confirma, las ACSC pueden servir como instrumento útil para valorar, de una forma indirecta, la efectividad o los resultados de la Atención Primaria (AP).
La hospitalización evitable por ACSC sería, para algunos autores, un indicador de actividad hospitalaria que resultaría de utilidad como medida indirecta del funcionamiento de la APS. Diversos estudios apoyan la hipótesis de que tasas elevadas de hospitalización por ACSC en un grupo de población son indice de una APS subóptima, que la definiría como una atención inadecuada en tipo, localización, intensidad u oportunidad para el problema de salud que está siendo considerado3.
Este indicador fue desarrollado en los Estados Unidos a mediados de la década de los ochenta con el fin de analizar la accesibilidad de la población indigente (Medicaid) a la atención sanitaria. En la segunda mitad de los años noventa es propuesto por elNational Health Service para el análisis de la calidad de la AP. En la actualidad son numerosos los organismos e instituciones que monitorizan este indicador para evaluar servicios de salud.
En nuestro sistema sanitario es necesario tener en cuenta que no existe, en general, un único dispositivo asistencial que gestione la prestación de cuidados en régimen ambulatorio; con esta salvedad, ha sido utilizada como una aproximación a la capacidad resolutiva de la APS.
Como es sobradamente conocido, para poder atribuir cualquier resultado en salud al efecto de los servicios sanitarios prestados, es preciso descartar que pueda ser debido a otro factor externo ajeno a los mismos. De ahí la necesidad de desarrollar sistemas de ajuste.
Tras una revisión sistemática de la literatura en relación con este tema podemos resumir que el indicador hospitalizaciones evitables por ACSC (HE-ACSC) puede presentar una serie de limitaciones.
Limitaciones atribuibles a la validez interna del indicador
La revisión bibliográfica evidencia una considerable variabilidad de los códigos de diagnóstico que constituyen los listados de ACSC que se han venido utilizando en las diferentes partes del mundo. Nuestro país no es una excepción. Caminal et al han validado un listado de códigos de diagnósticos para España4.
Otro tema en discusión hace referencia a cuál sería la fracción realmente evitable de hospitalizaciones en cada una de las categorías diagnósticas seleccionadas.
Limitaciones relacionadas con las fuentes de datos necesarias para su elaboración
Para la construcción del indicador HE-ACSC es preciso conocer el diagnóstico principal que motivó el ingreso hospitalario. En nuestro medio este diagnóstico se registra en el conjunto mínimo de datos básicos al alta hospitalaria (CMBD-AH) que es una base de datos clinicoadministrativa que resume los episodios de hospitalización. Las limitaciones inherentes a la base de datos son fundamentalmente las derivadas de la posible inexactitud del diagnóstico principal, de la inexistencia de ciertos datos en el CMBD-AH o a su escasa cumplimentación.
Por otro lado los profesionales de la APS han expresado su resistencia a que la calidad de su práctica clínica sea evaluada mediante un indicador de actividad hospitalaria. El razonamiento que se hace para ello es que existen factores determinantes de la hospitalización (como las características del paciente, la variabilidad de la práctica clínica hospitalaria o las políticas de admisión de los centros) que caen fuera del control de los profesionales de la APS 5,6.
Variabilidad en el comportamiento del indicador debida a la influencia en el resultado de múltiples factores
Se han constatado diferencias entre ámbitos geográficos. En EE.UU. en el año 1996 las tasas de hospitalización fueron especialmente altas en los estados del sudeste del país7. Esta variabilidad geográfica también se ha constatado en nuestro medio entre las tres provincias que componen la Comunidad Valenciana8, las distintas áreas básicas de salud de Cataluña9 o entre áreas sanitarias en la Comunidad de Madrid10.
Esta variabilidad se ha correlacionado con diferentes variables sociodemográficas, de nivel de salud o de capacidad de los servicios sanitarios.
Los distintos estudios publicados parecen demostrar que, al menos en EE.UU., la edad (superior a 55 años), el sexo (femenino), el nivel económico (bajos ingresos), la etnia (no blancos) y el lugar de residencia (medio rural) se asocian con mayores tasas de HE-ACSC11.
El no disponer de seguro médico o pertenecer al Medicare o Medicaid marca diferencias en cuanto al mayor riesgo de hospitalización por condiciones evitables que el disponer de seguros privados12. Este riesgo es menor cuando se dispone de un médico de AP de referencia.
En España los resultados obtenidos hasta la fecha en este sentido resultan contradictorios. La mayoría de los trabajos no encuentran asociación entre condiciones socioeconómicas desfavorables y un mayor riesgo de hospitalización por ACSC, explicándose esta circunstancia porque la cobertura universal que ofrece nuestro sistema sanitario condiciona un acceso más equitativo13,14. No obstante, en otros casos sí se ha producido esta asociación10,15. Estos resultados deberían confirmarse con otras investigaciones, pues corresponden básicamente a estudios desarrollados sobre población pediátrica.
La relación con el número disponible de médicos generales o especialistas no está clara. Algunos autores han encontrado correlación inversa entre el mayor número de médicos generales o pediatras y una menor tasa de HE-ACSC16, mientras que otros no lo hacen. Sí parece existir correlación positiva con la disponibilidad de camas o el volumen total de actividad del hospital de referencia7.
A tenor de lo reseñado hasta el momento nos planteamos la necesidad de comprobar cuál es el comportamiento del indicador HE-ACSC en nuestro medio e identificar posibles factores que interfieran en los resultados. Este trabajo se enmarca en un proyecto mucho más amplio.
Objetivo
Estudiar si existen diferencias en el riesgo de HE-ACSC entre los diferentes ámbitos territoriales sanitarios en que se divide la Comunidad de Madrid; de darse esas diferencias explorar aquellos factores que puedan explicar esa variabilidad a partir de lo descrito en la bibliografía.
Material y método
Planteamos un estudio transversal, observacional, analítico de tipo ecológico.
Las variables manejadas en este trabajo son:
Tasas crudas (TCHE) y ajustadas (TAHE) de hospitalización evitable por ACSC.
Como estimadores de las características socioeconómicas de la población, renta media disponible (RMD) medida en euros per cápita; nivel educativo (EDUC) como proporción de personas sin estudios en la población mayor de 16 años; desempleo (PARO) o proporción de personas desempleadas en la población activa también de más de 16 años y tipo de entorno, urbano o rural, medido como porcentaje de población ubicada en ámbitos considerados estrictamente rurales (RURAL).
Como estimadores de la disponibilidad de servicios sanitarios de AP, ratios de médicos de AP (MEDAP) considerando en conjunto a médicos de familia y pediatras, de enfermeras (ENFERAP) y del conjunto de profesionales sanitarios en AP (PERSAP), todos ellos expresados por 1.000 habitantes.
Como estimadores del nivel de salud, tasa ajustada de mortalidad general (TEM) y tasa ajustada de años potenciales de vida perdidos (TEapvp), indicador este último que pondera las muertes prematuras.
La unidad inicial de análisis fue el distrito sanitario.
Posteriormente, estas unidades territoriales se han agrupado siguiendo dos criterios diferentes. Uno geográfico que se corresponde con las áreas sanitarias según la ordenación sanitaria del territorio vigente17, y otro en estratos sociales homogéneos en función de la RMD.
Se analizan todos los episodios de hospitalización, declarados y aceptados como válidos, de pacientes residentes en la Comunidad de Madrid y atendidos en hospitales ubicados en la misma durante el año 2001.
Las fuentes de datos utilizadas para los episodios de hospitalización, han sido datos agregados obtenidos del CMBD-AH y cirugía ambulatoria de la Comunidad de Madrid correspondiente al año 2001 completo. A este registro declaran todos los establecimientos sanitarios en régimen de internado tanto públicos como de carácter privado. Estos datos fueron facilitados por el Servicio de Información Sanitaria de la Dirección de Planificación Sanitaria, Innovación Tecnológica y Sistemas de Información Sanitaria de la Consejería de Sanidad de la Comunidad de Madrid (DPSITSIS). También se obtuvo de esta misma Dirección General toda la información relativa a recursos humanos de AP, así como la correspondiente al tipo de entorno.
Los datos relativos a las defunciones se obtuvieron del Movimiento natural de la población de la Comunidad de Madrid18. Las poblaciones necesarias para el cálculo de tasas se corresponden con las del padrón continuo municipal de habitantes del año 200119. La renta media disponible es la correspondiente al año 1999 (última disponible al efectuarse el estudio)20. Los datos necesarios para elaborar los indicadores de desempleo y nivel educativo son los provisionales del censo de población y vivienda del 200121. Todos estos datos son elaborados por el Instituto de Estadística de la Comunidad de Madrid.
La zonificación sanitaria considerada para la agrupación y posterior análisis se corresponde con la establecida en el Decreto 187/1998 vigente en la Comunidad de Madrid en la fecha del estudio.
A partir del CMBD-AH se seleccionaron aquellos episodios de hospitalización en cuyo diagnóstico principal figurase alguno de los códigos considerados como hospitalizaciones evitables por ACSC según el listado completo de categorías de la CIE-9 que se ha utilizado en la literatura sobre el tema2,4,9 y que figura en el Anexo. Estos episodios se distribuyeron según distritos sanitarios de residencia de los pacientes.
Posteriormente, estas hospitalizaciones se agruparon de dos formas diferentes utilizando un criterio económico, el nivel de RMD, identificando estratos sociales homogéneos buscando incrementar la coherencia social interna de los conglomerados de población considerados, y un criterio de distribución geográfica en áreas de salud. Para cada uno de estos agregados poblacionales se calcularon las correspondientes tasas de hospitalización evitable que se ajustaron por edad mediante el método indirecto y utilizando como estándar las tasas específicas por edad de hospitalización evitable observadas para el conjunto de la Comunidad de Madrid.
Con toda la información disponible y para el ámbito de áreas de salud, en una primera fase se procedió a su análisis bivariante con el fin de identificar las posibles correlaciones existente ente ellas.
Posteriormente, considerando como variable dependiente la TAHE de cada una de las áreas de salud y mediante la utilización de modelos de análisis multivariante estableciendo estrategias de regresión hacia delante(stepwise) y hacia atrás(bakward) se procedió a la selección de las variables explicativas del riesgo de hospitalización evitable utilizando como variables independientes el resto. Para valorar la bondad de los mismos se establecieron los correspondientes controles y diagnósticos de colinealidad.
Resultados
La Comunidad de Madrid está dividida en 11 áreas de salud que agrupan a 34 distritos sanitarios y contaba en el año 2001 con 5.423.384 habitantes.
Durante el año de estudio se registraron en el CMBD-AH de la Comunidad de Madrid 537.574 episodios de hospitalización lo que arroja una frecuentación hospitalaria de 99,12 por 1.000 habitantes. Del volumen total de hospitalizaciones fueron considerados como evitables por ACSC un total de 80.737, lo que supone una proporción del 15,02 % sobre el total de altas y una tasa de hospitalización evitable por ACSC de 14,89 por 1.000 habitantes para el global de la Comunidad. Estas tasas se aumentan de manera exponencial con el incremento de edad a partir de los 55 años (Fig. 1).
Figura 1.Tasa de hospitalización evitable por ACSC y grupos de edad. Comunidad de Madrid. 2001.
Las tasas crudas y ajustadas de hospitalización evitable por distritos sanitarios y áreas de salud se presentan en las Tablas 1 y 2.
Se observa una gran variabilidad, tanto entre distritos como entre áreas (Figs. 2 y 3), en el comportamiento del indicador tasa de hospitalización evitable por ACSC. Las tasas ajustadas por edad presentan importantes diferencias con rangos que van desde las 8,15 hospitalizaciones evitables por 1.000 habitantes en el distrito de Hortaleza a las 26,02 en el de Centro, lo que arroja un índice comparativo de hospitalización evitable (ICHE) de 3,35. Si nos ceñimos a las áreas sanitarias el rango oscila entre las 12,08 por 1000 habitantes del área 2 y las 20,42 por 1.000 del área 3 (ICHE = 1,69). Las diferencias observadas son estadísticamente significativas.
Figura 2.Tasas ajustadas de hospitalización evitable por distrito sanitario. Comunidad de Madrid. Año 2001.
Figura 3.Tasas ajustadas de hospitalización evitable por área de salud. Comunidad de Madrid. Año 2001.
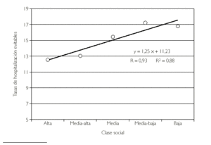
Si se utilizan criterios de agrupación en estratos sociales siguiendo el criterio de RMD, también se objetiva una variabilidad estadísticamente significativa en el riesgo de hospitalización evitable en función del nivel de renta (Tabla 3). El ICHE entre las rentas más bajas y las más altas resultó de 1,34. El ajuste de regresión lineal demostró una muy fuerte correlación entre RMD y las tasa de hospitalización evitable por ACSC (Fig. 4).
El análisis bivariante permitió identificar, como era de esperar, una muy fuerte y significativa correlación intragrupo entre las variables consideradas como relativas al nivel socioeconómico y de recursos de la AP (Tabla 4), por lo que se eliminaron algunas de ellas del modelo tratando de evitar problemas de colinealidad. No se observó correlación entre las variables relativas al nivel de salud.
Figura 4.Tasas ajustadas de hospitalización evitable por estrato social según renta. Comunidad de Madrid. Año 2001.
El modelo de regresión multivariante quedó constituido de la siguiente forma: como variable dependiente la TAHE, como independientes la TEM y TEapvp como estimadores del nivel de salud. La RMD, el tipo de entorno (RURAL) y PERSAP como "proxy" del nivel socioeconómico y de la disponibilidad de recursos de AP respectivamente.
La descripción y estadísticos de las variables se muestran en la Tabla 5 y el resumen de los resultados obtenidos de este modelo se presentan en la Tabla 6.
De todas las variables incluidas únicamente se consideró discriminante la RMD que llegaría a explicar prácticamente el 50 % de la variabilidad observada en el comportamiento del indicador entre las áreas sanitarias de Madrid. Ninguna de las variables consideradas como relativas a la oferta o capacidad de los recursos sanitarios ni de nivel de salud resultó explicativa.
Por otra parte la correlación entre RMD y TAHE resulta mucho más potente cuanto mayor es la coherencia social interna de los agregados de población como puede comprobarse en la Tabla 7.
Conclusiones
Nuestro estudio demuestra la existencia de diferencias significativas en el riesgo de hospitalización evitable entre diferentes grupos de población en la Comunidad de Madrid.
De entre las variables consideradas en nuestra experiencia parecen apuntarse como más explicativas de esta variabilidad a las circunstancias socioeconómicas de la población (RMD).
Este trabajo no está exento de limitaciones, comenzando por las propias de los estudios ecológicos sujetos a posibles sesgos de agregación (falacia ecológica) y que se han tratado de minimizar respecto a la variable RMD estableciendo agregados de población con mayor coherencia social interna, por ejemplo.
Otras posibles limitaciones del trabajo son las derivadas de la validez interna del propio indicador. Es preciso establecer unos criterios homogéneos para la construcción del mismo y que pasan por definir y validar las categorías diagnósticas a considerar en el listado de ACSC, que posiblemente deban ser diferentes para la edad pediátrica que para la población adulta. Se ha establecido un listado de condiciones válidas para España4 y se está trabajando en la elaboración de uno para la edad pediátrica.
Otras limitaciones, las derivadas de las fuentes de información utilizadas para su elaboración, en particular las inherentes al CMBD-AH y relativas a la validez del diagnóstico principal del alta y al grado de cumplimentación de algunas de las variables relevantes (como el domicilio) que limitan o impiden la georreferenciación de un importante volumen de casos o la necesidad de incluir nuevas variables que permitan identificar a los proveedores de servicios de AP, o de carácter sociosanitario que permitieran abandonar los diseños ecológicos.
También se debe tener en cuenta el relativamente escaso número de observaciones (se refiere a un solo año, a 11 áreas sanitarias y a 34 distritos sanitarios) y la no inclusión, por falta de datos, de algunas variables que pudieran ser de interés en el modelo.
Los resultados obtenidos en el presente estudio confirman la existencia de variabilidad en la Comunidad de Madrid en el riesgo de hospitalización por ACSC entre diferentes estratos de población y ésta parece ligada a diferencias en la renta media disponible. No se confirma, por tanto, lo que se venía aceptando hasta el momento en nuestro medio en cuanto a la escasa influencia que los factores socioeconómicos tienen sobre la hospitalización evitable por la accesibilidad y cobertura del sistema sanitario.
Por otro lado falta explorar otros factores que pueden determinar diferencias en las hospitalizaciones por ACSC y sus mecanismos de acción. Todo ello hace necesario seguir profundizando en el comportamiento del indicador hospitalizaciones evitables por ACSC en nuestro entorno y en los factores asociados al mismo con el fin de evitar posibles sesgos y establecer los ajustes pertinentes para el uso de este indicador como medida de la efectividad y la capacidad resolutiva de nuestra APS.
Agradecimientos
Agradecemos a la Dirección General de Planificación Sanitaria, Innovación Tecnológica y Sistemas de Información, y en especial a Dña. Azucena Sendagorta y Dña. Dolores Ledesma su aportación de información de estructura de la Atención Primaria y especializada en la Comunidad de Madrid.
















