La enfermedad ósea de Paget es una alteración del esqueleto adulto que se caracteriza por un aumento del remodelado óseo en áreas localizadas. Afecta aproximadamente al 2%-3% de la población mayor de 60 años, normalmente es asintomática aunque en ocasiones (5%-10%) puede producir síntomas (dolor, deformidad, fractura, sordera, síntomas neurológicos, degeneración sarcomatosa). A escala celular es el osteoclasto el que se afecta en primer lugar, encontrándose en las lesiones pagéticas un mayor número de osteoclastos, de mayor tamaño y con una gran cantidad de núcleos. Como resultado se produce un aumento de la actividad osteoclástica a la que le sigue un incremento de la actividad osteoblástica que conducen a la formación de un tejido aberrante y desorganizado en el que se observa un mosaico de hueso laminar (propio del hueso maduro normal) junto a hueso plexiforme (propio del hueso embrionario inmaduro). Ello condiciona que el hueso pagético sea más grande, esté más vascularizado y sea más susceptible a la deformación y a la fractura que el hueso normal. La afectación ósea en la enfermedad de Paget puede ocurrir en uno o más huesos, siendo la pelvis, vértebras y fémur las localizaciones más frecuentes1.
El diagnóstico de la enfermedad se realiza mediante gammagrafía ósea y radiología. Así, la gammagrafía ósea convencional permite evaluar la distribución, extensión y actividad de la enfermedad, mientras que la radiología establece el diagnóstico del proceso. La valoración de la actividad gammagráfica puede realizarse mediante inspección visual, pero recientemente se han desarrollado métodos cuantitativos2-4 que eliminan el análisis subjetivo y aumentan la sensibilidad de la exploración.
El aumento del remodelado óseo da lugar a un aumento de los marcadores bioquímicos de formación y reabsorción ósea que presentan, además, una buena correlación con la actividad gammagráfica5. De hecho, se los considera uno de los mejores parámetros para valorar la actividad de la enfermedad y monitorizar la respuesta al tratamiento.
VALORACIÓN DE LA ACTIVIDAD DE LA ENFERMEDAD
Diversos estudios han demostrado que los marcadores bioquímicos del remodelado óseo son útiles para valorar la actividad de la enfermedad. Tradicionalmente la determinación de la actividad sérica de la fosfatasa alcalina total (FAT) ha sido el marcador más frecuentemente utilizado. Este marcador suele estar aumentado en pacientes con enfermedad de Paget activa. Sin embargo, también se ha indicado que alrededor del 15% de los pacientes pueden tener valores normales de FAT; habitualmente se trata de pacientes con enfermedad de Paget monostótica o que presentan una actividad de la enfermedad baja. En la última década se han desarrollado numerosos marcadores bioquímicos del remodelado óseo con el fin de aumentar la sensibilidad y especificidad en el diagnóstico de las enfermedades metabólicas óseas. Los estudios de eficiencia diagnóstica, que se han realizado en pacientes con enfermedad de Paget clasificados en función de la extensión y actividad gammagráfica de la enfermedad, han demostrado que la eficiencia depende del marcador utilizado. Así, la isoenzima ósea de la fosfatasa alcalina (FAO), el propéptido aminoterminal del procolágeno tipo I (PINP) en suero y el telopéptido aminoterminal del colágeno tipo I (NTX) en orina son los que proporcionan la mayor eficiencia diagnóstica, especialmente en los pacientes con afectación monostótica o con una actividad de la enfermedad baja1 (tabla 1). Sin embargo, cuando la enfermedad es severa o muy activa la FAT muestra una sensibilidad diagnóstica similar a la de los nuevos marcadores. La determinación de marcadores del remodelado óseo tales como FAO, PINP o NTX se consideran buenos indicadores de la actividad de la enfermedad. Así, los pacientes con afectación poliostótica y los que tienen una mayor actividad y extensión de la enfermedad muestran valores más elevados de estos marcadores con una buena correlación con los índices de actividad gammagráfica.
Otros marcadores séricos como la osteocalcina (BGP), fosfatasa ácida resistente al tartrato (FART), propéptido carboxiterminal del procolágeno tipo I (PICP) o telopéptido carboxiterminal del colágeno tipo I (ICTP) y beta-crosslaps (ß-CTX) en suero y orina han mostrado una eficiencia diagnóstica baja, por lo que su utilidad clínica en la valoración de la enfermedad de Paget es baja. Se han descrito diferentes razones para explicar la menor sensibilidad de estos marcadores. Así, para la osteocalcina Delmas et al6 postularon que la fracción de osteocalcina recién sintetizada que se incorpora a la matriz ósea estaría aumentada debido al alto contenido mineral del hueso plexiforme, lo que conduciría a una disminución de la fracción de osteocalcina que se libera a la circulación. Otra posibilidad que no ha sido demostrada es la mala regulación de la síntesis de osteocalcina por los osteoblastos pagéticos. También merece la pena destacar la diferente eficacia diagnóstica de los marcadores deriva-
dos de la molécula de procolágeno, el PINP y el PICP. La razón de esta diferencia no está aclarada, pero se ha sugerido que las diferencias que existen en la liberación de los propéptidos desde la molécula de procolágeno en los tejidos, o en su metabolismo hepático, podrían ser la causa de esta discrepancia7. Otro marcador derivado de la molécula de colágeno (ICTP) también ha mostrado ser muy poco sensible en este proceso; este hecho se ha atribuido a anomalías en la estructura del colágeno en el hueso pagético que en su degradación daría lugar a moléculas que no son reconocidas por los anticuerpos que se utilizan en la técnica.
También es de destacar la diferente eficiencia diagnóstica que muestran las formas libres de piridinolinas (PIR) y deoxipiridinolinas (DPIR) y las formas conjugadas que las contienen (NTX). Randall et al8 propusieron que la proporción de péptidos unidos a puentes de piridinolina como el NTX puede estar incrementada en las situaciones de remodelado aumentado debido, en parte, a una etapa limitante renal en su degradación a las formas libres. Esta hipótesis también se confirmaría con los resultados que Blumshon et al9 describieron al hallar que la determinación de PIR y DPIR totales (formas libres y unidas a péptidos) mostraban una mayor sensibilidad que la determinación de las formas libres de PIR y DPIR.
El CTX es un marcador de reabsorción que proviene de la región telopeptídica carboxiterminal del colágeno, uno de los aminoácidos que contiene este péptido es susceptible de isomerización (forma ß-CTX). En los adultos sanos alrededor del 70% de las moléculas están isomerizadas y se cree que este proceso está asociado al envejecimiento del hueso. Recientemente se ha demostrado que en el hueso pagético predomina el CTX no isomerizado (*- CTX) frente a la forma isomerizada (ß-CTX), de modo que el cociente *-CTX/ß-CTX en los pacientes con enfermedad de Paget está aumentado cuando se compara con la población sana. Este hecho sugiere que los marcadores del remodelado óseo podrían permitir valorar no sólo los cambios en la actividad de la enfermedad, sino también la restauración del tejido óseo laminar. Así, Peris et al10 observaron un marcado aumento de *-CTX (16 veces) en los pacientes pagéticos, mientras que ß-CTX estaba aumentado en menor grado (3 veces) respecto a los controles, lo que conducía a un aumento del índice *-CTX/ß-CTX en los pacientes pagéticos. Resultados similares han sido reportados por Garnero et al11 que de forma adicional demostraron, mediante estudios inmunohistoquímicos, un mayor contenido de *-CTX en el hueso inmaduro pagético cuando se comparaba con el hueso maduro laminar. Además, los autores describieron una disminución de la proporción *-CTX/ß-CTX tras el tratamiento con bisfosfonatos, sugiriendo que el control de esta proporción podría ser de utilidad para evaluar el efecto del tratamiento en la restauración del hueso laminar12. Las modificaciones en la isomerización del CTX que se dan en la enfermedad de Paget explican la baja sensibilidad que se obtiene con este marcador cuando se pretende valorar la actividad de la enfermedad.
Los pacientes con afectación de la calota craneal suelen mostrar valores más altos de todos los marcadores. Aunque no están claras las razones de este diferente comportamiento, este hecho podría estar relacionado con un aumento de la actividad osteoblástica más marcado en la calota craneal, tal vez en relación con su origen intramembranoso.
MONITORIZAR LA RESPUESTA AL TRATAMIENTO
Una de los problemas que presentan los marcadores bioquímicos del remodelado óseo, y por lo que han sido muy cuestionados para su uso en la práctica clínica, ha sido el de su variabilidad, especialmente entre los marcadores que se determinan en orina. Sin embargo, el estudio de la variabilidad de los marcadores de remodelado óseo realizado en pacientes con enfermedad ósea de Paget estable muestra que, si bien éstos no son útiles para realizar el diagnóstico de la enfermedad sí que permiten su monitorización. Mediante este tipo de estudios se obtienen los valores de las diferencias críticas para cada marcador, que indican el cambio mínimo necesario que se debe producir entre dos determinaciones sucesivas para que sea indicativo de un cambio real en la actividad de la enfermedad. En la tabla 2 se muestran los valores de la variación biológica intra e intersujeto, el coeficiente de variación interensayo y los valores de las diferencias críticas para varios marcadores de remodelado óseo en la enfermedad ósea de Paget.
Como se observa en la tabla 2 los valores de las diferencias críticas, obtenidos a partir de los valores de la variación biológica intrasujeto y de la variación analítica interensayo, son menores en los marcadores que se determinan en suero que en los que se determinan en orina, lo que confirma la menor sensibilidad de estos últimos para la detección de cambios significativos. De esta forma la FAO, y en menor grado la FAT y PINP, son los marcadores mas adecuados para la monitorización de la enfermedad de Paget13. Según estos datos sería preciso una variación mayor del 35% en el valor de la FAT, o bien del 25% en el valor de la FAO, para considerar un cambio en la actividad de la enfermedad. Otros autores consideran que un cambio mayor del 25% en el valor de la FAT ya es suficiente para considerar un cambio en la actividad de la enfermedad14.
Debido a que la alteración primaria de la enfermedad es el aumento de la reabsorción ósea, actualmente el tratamiento de elección de ésta es la administración de bisfosfonatos, potentes inhibidores de la reabsorción ósea14 entre los que destacan el tiludronato y risedronato por vía oral y el pamidronato por vía intravenosa14.
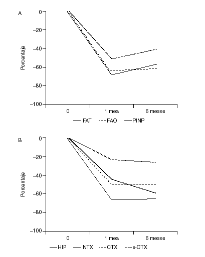
Tras el tratamiento con bisfosfonatos (tiludronato), marcadores como la FAO, el PINP y el NTX (fig. 1)15 son los que presentan un mayor porcentaje de disminución (> 60%) que ya es evidente al mes de finalizado el tratamiento. La disminución de la FAT en ese momento es del orden del 55%.
Fig. 1. Porcentaje de variación de los marcadores de formación y reabsorción en pacientes con enfermedad de Paget al mes y a los 6 meses tras finalizar el tratamiento con tiludronato15. A: marcadores de formación; B: marcadores de reabsorción. FAT: fosfatasa alcalina total; FAO: isoenzima ósea de la fosfatasa alcalina; PINP: propéptido aminoterminal del procolágeno tipo I; NTX: telopéptido aminoterminal de colágeno tipo I; CTX: crosslaps.
Asimismo, la FAO y el PINP son los marcadores que presentan un mayor porcentaje de variación tras tratamiento que cuando se corrige por el valor de la diferencia crítica, que es cuando presentan los mejores índices de seguimiento (fig. 2)15, lo que indica que estos dos marcadores son los más sensibles para la monitorización de la enfermedad, especialmente en los pacientes con enfermedad monostótica.
Fig. 2. Índice de monitorización de la enfermedad de Paget: porcentaje de variación del marcador tras tratamiento/valor de la diferencia crítica del marcador al mes y a los 6 meses del tratamiento con tiludronato15.
El objetivo del tratamiento es la mejora de la sintomatología y la disminución de la actividad de la enfermedad. Si bien actualmente se desconoce el grado de disminución del remodelado óseo que debe obtenerse con el tratamiento en estos pacientes, se considera que es recomendable alcanzar la normalización de los valores de los marcadores del remodelado óseo, concretamente de la FAT, tras el tratamiento. Este hecho se ha observado en el 63%, 73% y 57% de los pacientes tratados con alendronato16, risedronato17 y tiludronato18, respectivamente; el nadir de la respuesta suele observarse a los 6 meses de finalizar el tratamiento. Los pacientes con afectación de la calota craneal parecen mostrar una menor respuesta al tratamiento; este hecho podría indicar que estos pacientes requerirían dosis mayores, o bien, bisfosfonatos más potentes para su tratamiento.
Recientemente la Guía Inglesa de práctica clínica sobre la enfermedad de Paget ha recomendado el uso de los marcadores del remodelado óseo en la monitorización de la enfermedad, con una periodicidad trimestral en los primeros 6 meses de tratamiento y posteriormente cada 6 meses. Recomiendan el uso de la FAT para el seguimiento, y de la FAO en los casos que presenten valores normales de la FAT.
Estudios a largo plazo, en pacientes tratados con tiludronato, observan una reactivación de la enfermedad, valorada mediante el cambio de la actividad gammagráfica en el 43% de los pacientes a los dos años de finalizar el tratamiento18. Los autores indican que la reactivación de la enfermedad depende de la actividad basal de la enfermedad y del marcador utilizado en la monitorización. Así, aquellos pacientes con mayor actividad basal de la enfermedad (FAO > 60 ng/ml o FAT > 600 U/l) tienen una mayor probabilidad (10,5 veces) de presentar una reactivación de la misma a los dos años que los pacientes con valores mas bajos18. Del mismo modo, la evaluación de la reactivación de la enfermedad dependía del marcador que se utilizaba: cuando se empleaban marcadores más sensibles, como la FAO y el PINP, dicha reactivación se detectaba de forma más precoz, mientras que si se utilizaba la FAT, un marcador menos sensible, la reactivación era más tardía. En relación a los resultados obtenidos en este estudio se recomendaba determinar un marcador del remodelado óseo a los 6 meses de finalizar el tratamiento (ya que es cuando se observó el nadir de respuesta en todos los marcadores estudiados en todos los pacientes) y a partir de entonces cada 6 meses en los pacientes más activos basalmente (los que mostraban un valor basal de FAO > 60 ng/ml o FAT > 600 U/l), o bien de forma anual en el resto de los pacientes si sólo se determina FAT. Si se utilizaba un marcador más sensible, como la FAO o el PINP, recomendaban monitorizar el tratamiento cad a 6 meses, independientemente del valor basal del marcador.
BIBLIOGRAFÍA RECOMENDADA
Burckardt P. Biochemical and scintigraphic assessment of Paget's disease. Semin Arthritis Theum 1994;23:237-239
Delmas PD. Biochemical markers of bone turnover in Paget's disease of bone. J Bone Miner Res 1999;14 (Suppl 2):66-69





