INTRODUCCION
Un conocimiento creciente de la osteoporosis combinado con el desarrollo de tratamientos con eficacia comprobada aumentaría la demanda para el manejo más eficaz de pacientes con osteoporosis. Esto, a su vez, exigiría amplias instalaciones para el diagnóstico y tratamiento de la osteoporosis. Las medidas del mineral óseo son un componente central de cualquier condición que surge de la definición de la osteoporosis acordada internacionalmente, es decir, una enfermedad sistemática del esqueleto caracterizada por baja masa ósea (BMO) y deterioro de la microarquitectura del tejido óseo, con un aumento consiguiente de fragilidad ósea y susceptibilidad a fractura1,2. La diagnosis de la osteoporosis, por lo tanto, se centra en la evaluación de la masa y calidad ósea. Ya que no hay herramientas clínicas satisfactorias disponibles para evaluar la calidad ósea, la diagnosis de la osteoporosis depende, en la actualidad, de la medida de la masa esquelética3.
El significado clínico de la osteoporosis se encuentra en las fracturas que surgen, con su concomitante morbilidad y mortalidad. Una baja masa ósea es un componente importante del riesgo de fractura, aunque otras anormalidades del esqueleto contribuyen a la fragilidad ósea. Asimismo, una variedad de factores no esqueléticos contribuyen al riesgo de fractura, especialmente aquellos relacionados con caídas. Por lo tanto, idealmente la evaluación del riesgo de fractura debe incluir todos estos aspectos de riesgo. Por esta razón hay que distinguir entre la diagnosis de osteoporosis y la evaluación del riesgo. Esto, a su vez, implica una distinción entre umbrales de diagnosis y de intervención. Aunque se han definido los umbrales de diagnosis3, este trabajo resume el enfoque que se puede utilizar para definir los umbrales de intervención para propósitos clínicos.
ANTECEDENTES
Desde hace pocos años, se han formulado muchos enfoques para la evaluación de la osteoporosis basada en una estrategia de búsqueda de casos. En Europa, el enfoque recomendado por la Fundación Europea de Osteoporosis (ahora la Fundación Internacional de Osteoporosis FIO) fue identificar individuos en función de fuertes factores de riesgo como fracturas previas por fragilidad, uso de corticoides, antecedente familiar y bajo índice de masa corporal4-7. Posteriormente, se evalúan individuos con esos factores de riesgo midiendo la densidad mineral ósea (DMO) y se ofrece un tratamiento ante la presencia de osteoporosis según los criterios definidos por la Organización Mundial de la Salud (OMS)3. Existen ventajas e inconvenientes con este enfoque. Una ventaja es que las pautas son intuitivas para la práctica de la medicina en la que la secuencia de la práctica clínica es despertar sospecha, hacer un diagnóstico y entonces establecer un tratamiento. Una ventaja adicional es que son conservadoras ya que todos los individuos identificados tienen alto riesgo de fractura. En esto, también existe un inconveniente debido a que muchos individuos con alto riesgo pasan desapercibidos. Una desventaja adicional es que el umbral de intervención se establece en el umbral de diagnosis - una puntuación T de 2,5 DE o menos. En la actualidad, es obvio que la puntuación T tiene un significado de prognosis diferente en distintas edades8,9 (fig. 1). Asimismo, además de la edad existen muchos factores de peligro que proporcionan datos sobre el riesgo de fractura más allá de la información proporcionada sólo por la DMO. Por lo tanto, los umbrales diagnósticos no son equivalentes a umbrales de intervención ya que el rango de riesgo varía tan notablemente en cualquier DMO dada.
Fig. 1. Probabilidad a diez años (%) de una fractura de cadera en mujeres suecas según edad y puntuación T para la densidad mineral ósea en el cuello femoral9.
En 1995, un comité de desarrollo de la Fundación Nacional de Osteoporosis (FNO) inició una evaluación detallada de los elementos necesarios para desarrollar pautas10,11. Un concepto importante desarrollado fue la visión de que umbrales de intervención deben modularse según el riesgo. Por ejemplo, una fractura previa por fragilidad aumenta el riesgo de una fractura adicional aun después de ajustar por DMO. El argumento señala que si está dotado de una buena relación coste-eficacia es conveniente tratar a todos los individuos con una puntuación T de -2,5 DE, entonces vale la pena tratar a los pacientes con historia previa de fracturas y una puntuación T algo menos estricta que 2,5 DE.
La FNO proporcionó estrategias detalladas de evaluación y de intervención basadas en la modulación de la puntuación T (o puntuación Z) en presencia de diferentes factores de riesgo. Sin embargo, se definieron los umbrales de intervención por medio de un análisis coste-eficacia de dudosa relación a otros países12. Del mismo modo que en el enfoque de la FIO, también es evidente que el uso de las puntuaciones T o puntuaciones Z es problemático en la práctica general. Los médicos de Atención Primaria no los entienden o utilizan fácilmente. Además, ha habido un aumento importante en el número de técnicas de evaluación validadas, cada una con diferentes características de rendimiento. Por lo tanto, la puntuación T derivada de un lugar tiene un significado de prognosis diferente que la misma puntuación T en otro lugar, o en el mismo lugar pero con diferente metodología13,14. También es problemático el uso de riesgos relativos. Por ejemplo, el riesgo relativo de fractura para un DMO disminuye con la edad15, mientras que la incidencia de fractura aumenta (fig. 2), hecho que confunde a los clínicos.
Fig. 2. Los riesgos relativos de la población para fractura de cadera durante 10 años en mujeres suecas con osteoporosis según la edad. Se demuestra el riesgo para las mujeres en el valor umbral de osteoporosis (T0-2,5 DE) o por debajo del umbral (T<-2,5 DE). Se supone que el riesgo de una fractura de la cadera aumenta 2,6 veces por un cambio de 1 DE en la DMO ± el índice de confianza a 95% del gradiente15
Estas consideraciones han llevado a la visión de que los umbrales de intervención deben basarse en riesgo absoluto, o sea, probabilidad de fractura14,16. Se debe derivar esta probabilidad no sólo de la edad y el sexo, sino también de herramientas validadas de evaluación de riesgo, incluyendo, aunque no limitados, a las medidas de la masa ósea. El uso del riesgo absoluto de fractura tiene el potencial de ser aplicable a ambos sexos, todas las edades, todas las razas y todos los países, aunque la incidencia de fracturas osteoporóticas varía ampliamente según la edad, sexo, etnia y geografía. Se usan semejantes enfoques en estos momentos en el manejo de enfermedades cardiovasculares17-21. En la enfermedad cardiovascular la consideración simultánea de tabaquismo, tensión arterial, diabetes y colesterol en suero permite la identificación de pacientes con alto riesgo (> 20% riesgo de 5 años) mientras que el uso de colesterol en suero sólo tiene un gradiente bajo de riesgo, significativamente peor que la evaluación de DMO por sí solo para predecir fractura de cadera3,22.
RIESGO ABSOLUTO DE FRACTURA
El riesgo absoluto, o más exactamente «probabilidad a largo plazo», se suele calcular en el contexto de los riesgos de fractura durante la vida. Estas probabilidades refieren no sólo a la incidencia de fractura a diferentes edades, sino también de la probabilidad de que sobrevivirán los individuos con ciertas características en el momento de la evaluación. Para predicciones a largo plazo es necesario considerar las tendencias seculares en la mortalidad23, la cual está mejorando en todas las regiones del mundo24. Tales cálculos de la probabilidad de fractura durante la vida tienen valor al considerar la carga futura de enfermedad en la comunidad, y los efectos probables de las estrategias de intervención sobre la población. Tienen menos importancia en la evaluación del riesgo en individuos en que el tratamiento pueda ser previsto. Esto es porque los tratamientos no se dan en la actualidad para toda la vida, debido variablemente a efectos secundarios, bajo cumplimiento y coste. Para tratamientos a más corto plazo las probabilidades durante toda la vida no son adecuadas, ya que el riesgo para muchas fracturas a lo largo de la vida disminuye progresivamente con la edad (fig. 3), sin embargo el riesgo durante el tratamiento, es decir, el riesgo a corto plazo (por ejemplo, probabilidad a 10 años) aumenta con la edad25. Además, no se ha probado nunca la viabilidad de intervenciones clásicas con estrategias de alto riesgo o de salud pública global6.
Fig. 3. El valor medio de las probabilidades de fractura a largo plazo en hombres y mujeres de Malmo, Suecia para sólo fractura de la cadera y para fracturas combinadas de cadera, vertebral clínica, humeral proximal y antebrazo distal25.
Para la evaluación de las estrategias de intervención, es adecuado un marco de tiempo más corto, en concordancia con la práctica clínica. La duración óptima de los tratamientos no está bien evaluada, sin embargo, intervenciones de alrededor de 3-5 años corresponden con la información disponible de ensayos y modelos de coste-eficacia del tratamiento. Para muchos tratamientos parece que los efectos de la DMO persisten cuando se interrumpe el tratamiento y hay evidencia de que esto puede cumplirse también para el riesgo de fractura26. La evidencia de que persiste el efecto durante varios años después de interrumpir el tratamiento es mayor para la terapia de sustitución hormonal (TSH), hormona paratiroidea y bifosfonatos que para el calcio o la vitamina D26. Un intervalo de tiempo de 10 años adapta un tratamiento durante los primeros 5 años con una compensación del efecto durante los 5 años subsiguientes. Pueden ser engañosos los intervalos de tiempo que superan los 10 años para aquellos pacientes que consideran tratarse cuando el período de mayor riesgo de fractura tendrá lugar en un futuro lejano cuando se haya interrumpido el tratamiento. Los períodos de tiempo largo también suponen problemas para evaluar el valor predictivo (razón de posibilidades o riesgo relativo) de los factores de riesgo que puedan disminuir con el tiempo. Por lo tanto, las estimaciones teóricas indican que el valor predictivo a largo plazo de la DMO para fracturas disminuye en el tiempo debido a las variaciones en las tasas de pérdida ósea, lo que es demostrado por observación empírica27,28. Este hecho también puede cumplirse en otros indicadores de riesgo, por ejemplo, la tasa de carboxilado a osteocalcina total en suero29. Comparado con este fondo, las probabilidades a 10 años parecen adecuadas. Las probabilidades de fracturas osteoporóticas corrientes a diez años para hombres y mujeres suecas de diferentes edades se presentan en la tabla 125.
LA ELECCION DE DETERMINANTES DE LA FRACTURA
La fractura de cadera es la consecuencia más importante de la osteoporosis según se deduce de la mortalidad y morbilidad sufridas por los pacientes y los costes para los proveedores de cuidados médicos. Sin embargo, los umbrales de intervención determinados sobre la probabilidad del riesgo de fractura de cadera por sí solo omitiría las muchas otras fracturas que ocurren, especialmente en los grupos de edad más joven en quienes predominan los otros tipos de fractura. Incluso por encima de la edad de 80 años, la fractura de cadera representa menos del 50% de todas las fracturas30,31. Además, la consideración de otras fracturas exige una evaluación no sólo del patrón específico del lugar de la incidencia de la fractura con edad, sino también de su morbilidad. Aunque menos devastadora que las fracturas de la cadera, las fracturas distales del antebrazo y fracturas vertebrales, por ejemplo, causan sustancial deterioro en las actividades de la vida diaria32. Por lo tanto, una intervención que prevenga 5 fracturas por 100 pacientes tratados (número necesario a tratar: NNT=20) tendría un significado diferente en personas de 50 años, cuando las fracturas de la cadera son raras, que en personas de 70 años, cuando existe una proporción mucho más alta de fracturas.
Una consideración adicional es que no todas las fracturas se deben a la osteoporosis, como por ejemplo las fracturas de cara y cráneo. Puede que los tratamientos no afecten al riesgo de este tipo de fractura. Por lo tanto, en el ensayo FIT el tratamiento con alendronato tuvo menos eficacia en las fracturas apendiculares en mujeres sin osteoporosis33. Un ejemplo más reciente es la falta de efecto de risedronato en mujeres de tercera edad escogidas por su riesgo de caídas comparado con las escogidas por tener una DMO baja34. Por lo tanto, al determinar los umbrales de riesgo para intervenciones farmacológicas, hay que considerar las fracturas debido a la osteoporosis.
Las fracturas osteoporóticas se caracterizan de manera diferente en función de un traumatismo de baja-energía, baja DMO, incidencia que crece con la edad o asociaciones con otras fracturas osteoporóticas, sin embargo, ningún enfoque es perfecto35,36-39. Un enfoque que se ha utilizado recientemente consiste en caracterizar las fracturas debido a la osteoporosis como aquellas asociadas con baja DMO (a) y donde la incidencia aumenta con la edad (b)40. Una alternativa sería que un panel de expertos asignara la proporción de fracturas en un lugar dado del cuerpo que estén causadas por la osteoporosis38,41,42, pero esto depende de muchas suposiciones. La sensibilidad del riesgo de fractura a una intervención puede ser otro enfoque útil cuando se dispone de más datos.
Las muchas fracturas causadas por la osteoporosis suponen problemas para simplificar la evaluación de riesgo debido a los resultados múltiples (cadera, vertebral, fractura de Colles, etc.) y las consecuencias de estas fracturas varían según el lugar de la fractura. Un enfoque para resolver el problema es ponderar diferentes fracturas según la inutilidad que produce cada tipo de fractura. Los años de vida ajustado por calidad (AVAC) es el parámetro aceptado en la evaluación económica de la salud de las intervenciones43 y puede usarse para calcular la inutilidad. Para calcular AVAC se valora cada año de vida según su utilidad, que va desde 0 (igual a la muerte) a 1 (salud perfecta). La inutilidad asociada con cada fractura es la pérdida acumulada de utilidad con el tiempo. Dicha inutilidad disminuye con la edad debido a una mortalidad mayor. Como es de esperar, la pérdida de utilidad de diferentes fracturas varía, correspondiendo la mayor pérdida a la fractura de cadera. La «tasa de cambio» es aproximadamente 1 fractura de cadera para 4 fracturas vertebrales o 20 para fracturas menos graves como la fractura de Colles40.
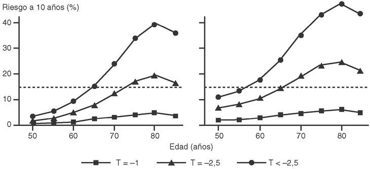
Añadiendo todas las fracturas osteoporóticas ponderadas por inutilidad tienen un efecto marcado en los umbrales de intervención (fig. 4). El panel de la izquierda en la figura 4 demuestra la probabilidad a 10 años de fractura de cadera según la puntuación T en la cadera y edad en mujeres suecas9. Si por ejemplo se establece un umbral de intervención en una probabilidad a 10 años del 15%, entonces las mujeres con osteoporosis (puntuación T < -2,5 DE) se encontrarán dentro del riesgo umbral desde la edad de 65 años y más. El panel a la derecha incluye las probabilidades calculadas, considerando otras fracturas osteoporóticas40. El mismo riesgo umbral se obtiene en mujeres a partir de 57 años de edad. Por lo tanto, este tipo de enfoque reduce las fracturas y sus consecuencias a una moneda común y permite el desarrollo de umbrales de intervención que consideran los múltiples resultados de osteoporosis.
Fig. 4. Probabilidad a diez años de fractura según edad y puntuación T en la cadera en mujeres de Suecia. El panel a la izquierda demuestra las probabilidades de fractura de cadera. El panel a la derecha demuestra las probabilidades ajustadas para considerar tanto fracturas como fractura de cadera. La línea de puntos horizontal muestra un umbral hipotético de intervención.
APLICABILIDAD GEOGRAFICA Y ÉTNICA
La validez de este enfoque para otros países depende de la concepción común en el patrón de incidencia de fractura en diferentes países. Un reto es tener en cuenta la gran variación de riesgos de fractura en todo el mundo, los cuales están mejor documentados en el caso de la fractura de cadera. La incidencia de la fractura de cadera en el mundo varía en más de diez veces44,45. Muchos de estos estudios vienen de registros, sin embargo estudios prospectivos también demuestran una variación similar en el riesgo46. También hay variaciones en el riesgo de otras fracturas osteoporóticas, aunque esos se han estudiado peor. En general, los datos disponibles sugieren que el patrón de la fractura es similar, es decir, en aquellos países en que el riesgo de la fractura de cadera es alto, así es también el riesgo de fracturas del antebrazo, vertebral y otras fracturas osteoporóticas31,36,40,47-49. De este modo, para cualquier edad en cuestión, la tasa de fracturas de la cadera con otras es relativamente constante entre países, por lo menos en el mundo occidental (fig. 5), y donde se conoce la tasa de fractura de cadera se pueden calcular los riesgos y consecuencias para otras fracturas osteoporóticas.
Fig. 5. Patrón de fracturas osteoporóticas comunes expresado como una proporción (%) del total en EE.UU., Suecia y el Reino Unido. Datos de los EE.UU. son de Melton et al31, Suecia del Kanis e al40 y del Reino Unido del Singer et al47.
A largo plazo la probabilidad de fractura depende no sólo de los peligros de la fractura sino también de la mortalidad, y ésta también varía de país a país. Sin embargo, donde se conocen los riesgos de mortalidad y de fractura de cadera se pueden calcular las probabilidades a 10 años de la fractura de ésta, algunos ejemplos se muestran en la tabla 2. En general, cuando la probabilidad es alta en hombres lo es también en mujeres, haciendo posible estandarizar las probabilidades de una fractura de cadera a un país de referencia, por ejemplo, Suecia50. Basado en la suposición de que otras fracturas puedan calcularse conociendo las tasas de la fractura de la cadera se puede ajustar las probabilidades según el lugar geográfico.
FACTORES DE RIESGO
Las medidas de la DMO por sí solas no son suficientes para proporcionar un solo instrumento en la selección de la población, aunque hay muchos otros factores de riesgo que se asocian en compatibilidad con el riesgo de fractura. Además de la edad, el sexo y la situación geográfica incluyen fracturas previas, uso de corticoides, bajo índice de masa corporal, marcadores bioquímicos de reabsorción ósea y ciertas enfermedades asociadas con la osteoporosis. Hace falta validar más otros factores de riesgo estimados, como una historia familiar de fractura y tabaquismo. La importancia de estos factores de riesgo es distinta. Algunas son más o menos independientes en que predicen fracturas significativamente cuando se ajusta uno al otro. Por ejemplo, un antecedente familiar materno de fractura de cadera aumenta el riesgo de una fractura de la misma dos veces51, y el riesgo relativo sólo baja a 1,9 cuando se ajusta por DMO. Por lo tanto, este factor de riesgo puede utilizarse para aumentar la evaluación de riesgo conjuntamente con la DMO. Otros factores de riesgo son más o menos dependientes, por ejemplo el índice de masa corporal (IMC) y la DMO en personas de la tercera edad52,53. Así, se puede utilizar tanto el IMC o la DMO para caracterizar el riesgo, pero su uso puede ser mutuamente excluyente. Una tercera categoría de factores de riesgo es parcialmente dependiente como por ejemplo el de fumar cigarrillos y la DMO. Entre las mujeres de la tercera edad en el estudio de fracturas osteoporóticas el riesgo de fractura de cadera aumentó 1,9 veces cuando se fumaba, pero sólo por 1,3 veces cuando se ajustó por la DMO10. El riesgo combinado es, por lo tanto, no mucho mayor que el riesgo asociado con cualquiera de los factores por sí solo. De esta manera, los factores de riesgo diferentes de la edad o la DMO pueden usarse para identificar los pacientes en quienes se indica una densitometría o para aumentar el valor de la DMO.
Sin embargo, hay varias consideraciones en la selección de los factores de riesgo para usar en la predicción de fracturas. En primer lugar, diferentes factores de riesgo tienen diferente incidencia según las edades. Por ejemplo, una menopausia precoz es un factor de riesgo significativo para cualquier fractura osteoporótica en mujeres perimenopáusicas54, pero tiene un significado relativo para la fractura en la tercera edad. Por el contrario, parece que una historia familiar de fractura de cadera es un factor de riesgo en los mayores aunque no es un factor de riesgo consecuente en la menopausia. Puede que otros factores de riesgo tengan también relevancia para la localización de las fracturas. Pueden ser debidos, parcialmente, al patrón diferente de la fractura con la edad (por ejemplo, las fracturas de la cadera son comunes en los mayores). Por ejemplo, un IMC alto y tabaquismo son factores en el riesgo para fracturas del tobillo, sin embargo, estos factores no contribuyen significativamente al riesgo de fracturas del antebrazo en la misma edad54. Un bajo IMC y menopausia precoz son factores que pueden potenciar las fracturas del antebrazo. Por lo tanto, es obvio que las pautas basadas en la evaluación del factor de riesgo deben tener en cuenta la edad y la distribución de los tipos de fractura que varían con la edad. Además, la edad por sí sola es un factor de riesgo dominante, y por lo tanto, hay que clasificar el riesgo por la edad, que está presente en todas las evaluaciones.
Hay que seleccionar con cuidado los factores de riesgo clínicos que han de usarse para la predicción de fracturas. Deben ser:
1. Validados en múltiples poblaciones.
2. Ajustado por edad, sexo y tipo de fractura.
3. Contribuir a un riesgo que es susceptible a la manipulación terapéutica planeada.
4. Que sea intuitiva en vez de contraintuitiva al cuidado médico.
Un ejemplo de este último punto es la demencia, que conlleva un riesgo muy alto de una fractura de la cadera en hombres y mujeres. Sin embargo, los médicos pueden ser reacios a dirigir tratamientos de osteoporosis con la diagnosis de demencia.
Estas consideraciones son importantes porque las pautas deben tener utilidad incluso cuando sólo existen factores de riesgo clínicos para la evaluación. En otros entornos, las medidas de mineral óseo contribuyen de manera importante a la predicción de riesgo de fractura. Hasta ahora, se ha hecho hincapié sobre las medidas por absorciometría dual de rayos x (DXA) en la cadera, sin embargo, las pautas deben adaptar las medidas con dispositivos periféricos que incluyen tecnologías de ultrasonido validadas, ya que son reembolsados en muchos países como en EE.UU. De manera similar, deben incorporar otros factores de riesgo derivados del laboratorio como pruebas bioquímicas y otras medidas del esqueleto cuando se conoce que contribuyen significativamente al riesgo de la fractura. Una consideración final en el contexto de los umbrales de intervención es la de asegurar que el riesgo identificado puede modificarse con la intervención planeada, así que el enfoque debe dirigirse a la evaluación de «riesgo evitable».
EVALUACION DE RIESGO
Aunque la DMO en la cadera predice fracturas de la misma del mismo modo que la tensión arterial nos predice enfermedades cardiovasculares22,55 ninguna de las dos técnicas es adecuada para una selección de población. Por ejemplo, si se deseara seleccionar para un tratamiento el 15% de la población femenina con mayor riesgo en la menopausia (tabla 3), el uso de la DMO de cadera tendría una especificidad del 85%, pero sólo una sensibilidad del 45%15. La baja sensibilidad indica que la mayoría de las fracturas (55%) ocurrirían en aquellas mujeres clasificadas de bajo riesgo. Con una técnica que tiene un gradiente peor de riesgo, por ejemplo 1,5 por cambio de 1 DE, la sensibilidad desciende a 27%. No obstante, el 73% de las fracturas son pasadas por alto para una especificidad comparable. Afortunadamente, la combinación de una variable continua (por ejemplo DMO) y una variable dicotómica (por ejemplo antecedente de fractura por fragilidad) da como resultado una variable continua con un gradiente de riesgo más alto que con una variable continua sola. Esto tiene un impacto marcado sobre la tasa de detección (tabla 3). Los gradientes de riesgo que excedan el 3,0 por DE tienen sensibilidades de > 50% en el ejemplo arriba utilizado.
Estas consideraciones indican que la evaluación del riesgo debería basarse en una estimación de probabilidad de fractura derivada de un panel de factores de riesgo, la ponderación de cada uno estando clasificada por la edad (por ejemplo la edad y patrón de la fractura), fuerza del valor predictivo e independencia. La ponderación puede basarse en los riesgos relativos combinados ajustados a la población por edad. El uso del riesgo de población como una referencia es adecuado ya que el objetivo de la evaluación del riesgo es identificar individuos con alto riesgo comparado con la población general. De este modo, el ajuste del riesgo relativo se aplica tanto a variables continuas como dicotómicas. Por ejemplo, una puntuación Z de - J para DMO en la cadera tiene un riesgo relativo para fractura de cadera de 2,6 comparado con individuos con una DMO media para la edad pero con riesgo relativo de 1,87 comparado con la población general15. De modo similar, un factor de riesgo dicotómico debería ser ajustado a la población de riesgo de acuerdo a su prevalencia en cada banda de edad. Un ejemplo que se proporciona es la agudeza visual pobre. En el estudio EPIDOS, pobre agudeza visual (< 2/10), encontrado en el 7,3% de la población, estuvo asociada a un riesgo dos veces superior de riesgo de fractura de cadera que la existencia de mejor agudeza visual (OR= 2,0)56. El incremento en riesgo comparado con la población general es:
OR/P (OR+ (1-P)) =1,86
Donde P es la prevalencia y OR es la razón de probabilidades. Así, en este ejemplo el riesgo combinado de baja DMO (Z= -1 DE) y agudeza visual pobre es 1,86 x 1,87= 3,06 comparado con el riesgo para la población general15. Otros ejemplos de combinaciones de factores de riesgo del estudio EPIDOS57,58 se detallan en la tabla 4 junto con las probabilidades de fractura de cadera a diez años aplicada a la población sueca59.
La selección de pacientes con factores de riesgo que proporcionan un alto gradiente de riesgo aumenta la sensibilidad, por ejemplo la tasa de detección de la prueba, sin reducir la especificidad en un gran rango de suposiciones. Esto no solamente mejora la tasa de detección, sino que además aumenta la población que puede ser seleccionada con un umbral dado de riesgo relativo. Al contrario, un grado de riesgo más bajo se corresponde con un menor número de pacientes identificados por encima de cualquier umbral de riesgo. Si por ejemplo se tratase de identificar individuos de la población general con un riesgo 3 o más veces mayor que la media, y una prueba con un gradiente de 2,0 por DE se identificaría un 2,7% de la población; mientras una prueba de gradiente de riesgo 3 por DE detectaría el 6,1% de la población general. Otros ejemplos se muestran en la tabla 560. La relación general entre el riesgo relativo y la probabilidad de fractura se muestra en la figura 661.
Fig. 6. Probabilidad a diez años (%) de una fractura osteoporótica (fractura de cadera, antebrazo distal, humeral proximal o vertebral clínico) en hombres y mujeres de Suecia según edad y riesgo relativo61.
UMBRALES DE INTERVENCION
El objetivo de la evaluación es el de proporcionar información que pueda utilizarse en la toma de decisión en el manejo de los pacientes. En términos generales, existen tres decisiones que pueden basarse en la probabilidad de fractura. Las tres decisiones son:
1. No requiere ulterior evaluación o tratamiento.
2. Evaluaciones adicionales indicadas, como por ejemplo evaluación de diagnóstico.
3. Tratamiento indicado con independencia de cualquier evaluación de diagnóstico.
Hay que observar que la DXA de la cadera se considera la prueba diagnóstica para la osteoporosis. Sin embargo, el umbral de DMO para la intervención variará de acuerdo con el perfil del factor de riesgo, incluido el riesgo contribuido por la edad. En este sentido, se utiliza la DMO como una evaluación de riesgo ya que en muchas instancias los umbrales de intervención serán menos rigurosos que el umbral de diagnosis.
La elección de un umbral de probabilidad para cada punto de decisión es compleja y depende no sólo del riesgo absoluto, sino también de la eficacia de las intervenciones y de sus costes. Las justificaciones económicas de salud basadas en la relación de coste-eficacia conllevan un umbral para cada intervención debido a que variarán de acuerdo a los costes y eficacia10. Sin embargo, existen argumentos obvios para no proporcionar umbrales separados para cada tratamiento disponible en cada país y cada coste. No sólo es esto una complejidad inabarcable, sino que los médicos deciden primero a quién tratar y sólo después consideraron el método de tratamiento, y no viceversa. Aunque es probable que la eficacia y los efectos secundarios de las intervenciones difieran, no hay evidencia adecuada para facilitar una jerarquía de tratamiento basada en la eficacia6. Se considera, por tanto, que las pautas deberían centrarse en desarrollar una intervención y umbral de evaluación estándar sin importar la intervención planeada. Un enfoque es determinar la utilidad del coste con una cesta de tratamientos de costes medios y de eficiencia. Este enfoque no se adecua a los agentes que tienen beneficios extraesqueléticos y riesgos tales como TSH o los moduladores selectivos de los receptores de estrógenos (MSRE). El argumento para no proporcionar diferentes umbrales es que ellos desarrollan pautas hacia la especificidad del producto. El argumento para su provisión es que la relación coste-eficacia depende críticamente de esos riesgos y beneficios extraesqueléticos. Por ejemplo, una reducción significativa del riesgo de cáncer de mama con tratamiento en mujeres que sufren osteoporosis significaría que la relación coste-eficacia sería buena para tratar a las mujeres con un umbral de probabilidad inferior (menos riguroso) que con un tratamiento sin este efecto.
RESUMEN Y CONCLUSIONES
El diagnóstico de la osteoporosis se basa en la medida la DMO. La DXA en la cadera es el sitio de diagnóstico adecuado. Las pautas clínicas actuales siguen el principio de que la medidas de la DMO están indicadas en individuos con factores de riesgo para fractura y que el tratamiento se recomienda en aquéllos con un DMO por debajo de un valor crítico. En algunos países los reembolsos para los costes del tratamiento dependen de tales umbrales para la DMO. En Europa los valores críticos corresponden a una puntuación T de -2,5 DE, al contrario que en los EE.UU. donde se usan criterios menos rigurosos. Es evidente, sin embargo, que el riesgo de fractura para cualquier puntuación T dada varía de forma destacada en función de la edad y de otros factores de riesgo. Este aspecto ha llevado a la visión de que las intervenciones deberían tener por objetivo aquéllos con alto riesgo con independencia del umbral de la DMO fijado. En este sentido la DMO se utiliza como una evaluación de riesgo, ya que en muchos casos los umbrales de intervención serán menos rigurosos que el umbral diagnóstico. De este modo los umbrales de intervención necesitan diferenciarse de los umbrales de diagnóstico y basarse en las probabilidades de fractura. Una probabilidad de fractura a 10 años parece ser un marco de tiempo adecuado.
Hay que superar muchos problemas en el desarrollo de las pautas de evaluación. Se necesita tener en cuenta no solamente el riesgo de fractura de cadera, sino también el de otras fracturas que contribuyen significativamente a la morbilidad, especialmente en individuos más jóvenes. Un enfoque prometedor es ponderar las probabilidades de fractura de acuerdo con la inutilidad que conlleva en comparación con la probabilidad de fractura de cadera. Es necesario, asimismo, tomar en consideración la gran variedad geográfica de las probabilidades de fractura en todo el mundo. El desafío adicional de futuro será el de identificar los factores de riesgo que predicen fracturas con alta validez en diferentes regiones del mundo y de sus aportaciones independientes, para poder construir y finalmente validar modelos en cohortes independientes.












