INTRODUCCIÓN
La osteoporosis es considerada una de las enfermedades que más impacto socioeconómico va a tener en los próximos años en la sociedad, principalmente por las fracturas provocadas por la alteración de la masa ósea y de la microarquitectura de ésta; para muchos expertos es la enfermedad silente del siglo XXI, ya que permanece asintomática durante mucho tiempo. El riesgo de fractura es lineal con la masa ósea existente, siendo este uno de los factores más importantes en su génesis, aunque no el único. El diagnóstico de osteoporosis se basa en la clasificación que realizó la Organización Mundial de la Salud (OMS) en el año 1994, basándose en la densitometría ósea, definiendo la normalidad por encima de 1 desviaciones estándar (DE) sobre el T-score considerado normal, osteopenia entre 1 y 2,5 DE, osteoporosis por debajo de 2,5 DE T-score y osteoporosis establecida por debajo de 2,5 DE T-score más una complicación que suele ser una fractura1, siendo esta clasificación válida solo, siendo estrictos, para mujeres postmenopáusicas.
El tiempo transcurrido tras la menopausia es importante para la masa ósea, habiendo controversia sobre si existe una primera fase de mayor pérdida de hueso, que dura aproximadamente los primeros 8-10 años y principalmente en los primeros 5, en los que se puede perder hasta un 5% de masa ósea al año; con todo esto algunos expertos consideran esta variable temporal más importante que la propia edad del paciente para el riesgo de desarrollar osteoporosis.
En resumen la menopausia es una época crítica para la masa ósea de la mujer, donde está descrita una gran pérdida, principalmente al inicio la misma2,3.
El presente estudio trata de analizar la pérdida de masa ósea que se produce tanto en la columna lumbar como en la cadera durante los años previos a la aparición de la menopausia y durante la misma, intentando apreciar cómo se modifica la masa ósea en estos años claves para el hueso de la mujer, buscando fases más activas de pérdida, principalmente entre la época perimenopáusica y la postmenopáusica temprana y tardía.
MATERIAL Y MÉTODOS
Se estudiaron mujeres de raza blanca, con edades comprendidas entre 31 y 86 años, sin medicación previa para la osteoporosis, derivadas durante el período 1999-2002 al centro de diagnóstico por imagen Gómez Pereda de Zaragoza. El tamaño muestral no fue determinado a priori, sino que vino dado por el número de pacientes que se detectaron durante el período de estudio y que cumplían todos los requisitos de inclusión y ninguno de exclusión. Se les realizó de manera prospectiva una entrevista personalizada, recogiendo variables sociodemográficas, asistenciales y sanitarias (antecedentes médicos) y una densitometría ósea al nivel de la columna anteroposterior (L2, L3, L4 y L2-4) y de cadera derecha (trocánter, cuello femoral y triángulo de Ward), expresando los resultados en g/cm2, calculándose también el T-score de cada localización y el porcentaje de pérdida de masa ósea acumulada; se ha usado como población de referencia la procedente del documento final de la Conferencia de Consenso de Amsterdam4.
Fueron excluidos los varones y las mujeres que habían tomado medicación antirresortiva como tratamiento previo; se consideró que la mujer estaba en el período de menopausia si presentaba una amenorrea de más de un año. A todas las mujeres se les realizó una densitometría ósea con el mismo aparato, un Eclipse Compact DXA System, basado en la absorciometría dual por rayos-X (DXA) y efectuada por el mismo equipo de radiólogos entrenados a fin de evitar errores en la medición de la masa ósea. El coeficiente de variación del aparato para la columna lumbar fue del 1% y del 1,2% para la cadera.
A todos los sujetos se les recogió también una medida del peso y de la altura. Se distribuyeron los casos en mujeres premenopáusicas y postmenopáusicas, analizándolas de manera separada, y fueron clasificadas en grupos cada 5 años de evolución, valorando de forma especial la densidad mineral ósea (DMO) en mujeres mayores de 45 años premenopáusicas y durante los 5 primeros años posteriores a ésta.
Para la estadística descriptiva se ha usado la media y la DE en las variables cuantitativas, y porcentajes en las variables cualitativas, también curvas de regresión lineal para estudiar la posible relación entre las variables cuantitativas y las diferentes localizaciones. Para el cálculo del porcentaje de pérdida de hueso acumulada se ha usado la media de la DMO de cada grupo menos la media de la DMO del pico de masa ósea de cada localización, dividido entre la media del pico masa ósea multiplicado por 100. El grado de significación estadística considerado ha sido de 0,05.
Se ha usado para los análisis el paquete estadístico SPSS v11.
RESULTADOS
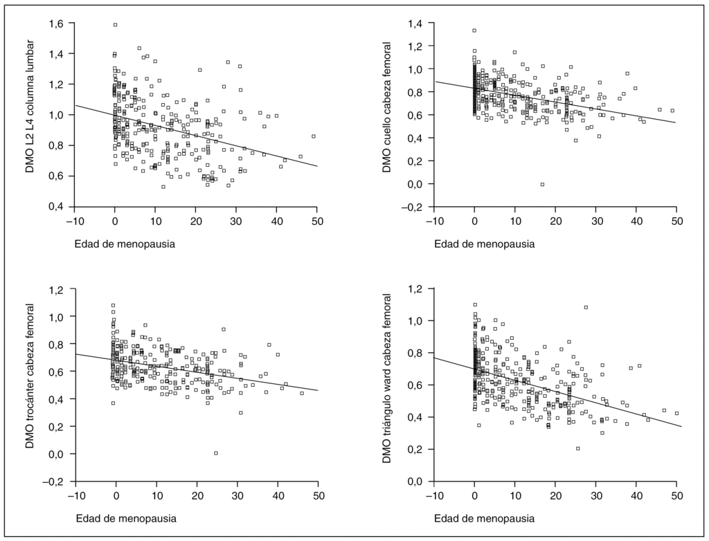
Se estudiaron 316 mujeres, de las cuales 258 (81,6%) se encontraban en la menopausia y 58 presentaban aún reglas (18,4%). Los datos generales de las pacientes se detallan en la tabla 1. Al comparar los años de menopausia con la DMO en las diferentes localizaciones de la columna lumbar se aprecia relación lineal negativa tanto al nivel de L2, L3, L4 y L2-4 y en la cadera, al nivel del cuello, trocánter y triángulo de Ward de forma estadísticamente significativa (tabla 2). La fuerza de la relación es relativamente homogénea en todas las localizaciones de la columna lumbar, disminuyendo 0,0066 unidades de la DMO por cada año de menopausia, en el cuello femoral por cada año de menopausia se reduce la DMO 0,0058 unidades, siendo 0,0044 al nivel del trocánter y 0,0072 en el triángulo de Ward, siendo este último el sitio donde más fuerte es la relación entre la DMO y los años de menopausia. La relación es más intensa en la cadera en todas sus localizaciones que la encontrada en la columna lumbar. La figura 1 representa las curvas de regresión lineal que comparan la DMO con los años de menopausia en la columna lumbar y en la cadera. Los datos resultantes del ajuste por el estatus menopáusico se recogen en la tabla 3.
Fig. 1. Regresiones lineales de la densidad mineral ósea (DMO) con los años de menopausia en la columna lumbar y la cadera.
Del análisis de los años de menopausia clasificados en intervalos de 5 años de evolución (tabla 4) al nivel lumbar se aprecia disminución en todos los tramos de menopausia, siendo más rápida esta pérdida en los 10 primeros años y enlenteciéndose después, con una pérdida global de hueso de 17,6%, mientras que en la cadera la localización donde más masa ósea se pierde durante la menopausia es el triángulo de Ward (-35,88%), existiendo una disminución de la DMO en todas las ubicaciones durante todos los tramos (fig. 2), aunque el porcentaje de pérdida no es uniforme. En el trocánter y el cuello no se aprecia pérdida durante los 5 primeros años y sí en el triángulo de Ward, existiendo en las tres localizaciones a partir de los 5 años una aceleración en la pérdida de hueso con posterior enlentecimiento a partir de los 15 años de evolución; existe una discrepancia al nivel del triángulo de Ward, en el que la pérdida se mantiene de forma importante también en menopausias muy evolucionadas (tabla 4).
Fig. 2. Porcentaje de pérdida ósea en columna lumbar y cadera a lo largo de la menopausia.
Al analizar los valores obtenidos durante los primeros 5 años de la menopausia comparados con los de las mujeres premenopáusicas mayores de 45 años (tabla 5) se aprecia, en la columna lumbar, una disminución de la DMO mayor durante los primeros 5 años de la menopausia que la encontrada en las mujeres premenopáusicas mayores de 45 años, mientras que en la cadera ocurre esto en el cuello y trocánter, pero no en el triángulo de Ward. Analizando más a fondo los resultados es en el trocánter donde más diferencia de masa ósea se encuentra, seguido del cuello femoral y de la columna lumbar. Esta relación entre los años y la masa ósea es mucho más intensa después de la retirada de las reglas, siendo mayor en el triángulo de Ward seguido del cuello, el trocánter y por último de la columna lumbar. En la época premenopáusica se encuentra este mismo hecho, aunque en menor grado; en la columna lumbar se observa una intensidad de pérdida menor durante la premenopausia que la observada en la época postmenopáusica, al igual que al nivel de cuello femoral, trocánter y triángulo de Ward.
Los datos obtenidos del análisis de las pacientes premenopáusicas se recogen en la tabla 6.
Si se tiene en cuenta la edad biológica se aprecia también una regresión lineal negativa en todas las localizaciones con los años (tabla 7).
DISCUSIÓN
Existe una clara pérdida de masa ósea con la menopausia en todas las localizaciones, concordante con la mayoría de los trabajos existentes5-12.
Hemos encontrado una mayor pérdida al nivel del triángulo de Ward seguido del cuello, el trocánter y por último de la columna lumbar. Esto mismo, aunque con menor intensidad, se aprecia en la época premenopáusica. Si esta comparación se efectúa solamente analizando las pacientes mayores de 45 años no menopáusicas y mujeres menopáusicas en los 5 primeros años de este período, se obtiene una mayor pérdida de masa ósea en las menopáusicas que la que sería esperable sólo por la edad, principalmente en el trocánter y el cuello femoral, y algo menos en la columna lumbar. Sorprende, sin embargo, que en el triángulo de Ward no sea así, apreciándose incluso un leve aumento de la masa ósea. Al analizar la bibliografía existente los resultados son bastante dispares, aunque parece que predominan los resultados concordantes con el nuestro, como los de Aloia en columna lumbar en mujeres premenopáusicas y con menor intensidad en la época postmenopáusica, aunque no al nivel de la cadera13; parecidos resultados son los de Hedlund en época postmenopáusica en cadera8, Elders14 o Reginster3.
Analizando la pérdida de masa ósea con los años de menopausia se aprecia una aceleración en los 5 primeros años, enlenteciéndose después, con una nueva aceleración entre los 10 y 15 años de evolución para ya volver a enlentecerse en los años siguientes en columna lumbar, mientras que en la cadera se aprecia una pérdida de masa ósea más importante, pero también más progresiva primero en los 5 años de inicio de la menopausia y después lentamente desde los 10 años en adelante; los resultados de otros investigadores son dispares. Datos parecidos han sido descritos por Kalla en la cadera, aunque no en la columna lumbar15, por Aloia, tanto en época postmenopáusica como perimenopáusica13 y por Guthrie16 y Elders en la época perimenopáusica y durante los 2 primeros años de la menopausia14. Sin embargo Bonnick sólo lo ha encontrado en la cadera17; otros resultados parecidos fueron encontrados por Ahlborg en los primeros 5 años11 y por otros autores2,18-24. Hansson25, Riggs25,26 y Truscott27no constataron incremento en la aceleración de la pérdida de masa ósea lumbar durante la menopausia.
Sorprende la disparidad de resultados de los estudios, y aunque la pérdida de masa ósea durante la menopausia está asociada a la disminución de los estrógenos que se produce durante este príodo26,27, otros autores además han asociado estas variaciones en los resultados a las diferentes formas de definir perimenopausia a la hora de incluir a las mujeres en los estudios8,14,21. Sin embargo, una de las teorías más extendidas para explicar estas diferencias es la posible existencia de mujeres clasificadas como perdedoras rápidas, en las que el hueso disminuye de forma más intensa que en otras10,25.
De todas maneras debemos recordar que la pérdida de masa ósea en mujeres postmenopáusicas no sólo se debe, aunque sí de manera principal, a la disminución de los estrógenos, también influyen el descenso de los niveles de vitamina D por disminución de la producción cutánea, menor aportación de calcio procedente de la dieta, la posible existencia de somatopausia y al envejecimiento de las células óseas.
La predominancia de los diferentes tipos de hueso en cada lugar marca los distintos niveles de pérdida que se producen en ellos, ya que el hueso trabecular y el cortical funcionan como compartimentos separados, diferenciándose en la forma de perder hueso, y probablemente también en la regulación homeostática26.
El triángulo de Ward es el lugar donde más masa ósea se pierde con la menopausia, seguido del cuello, trocánter y por último de la columna lumbar, aunque por volumen final no sean todos los sitios de igual importancia, ni por repercusiones clínicas (la fractura de cadera es más importante que la vertebral). Resultados de pérdida de masa ósea parecidos a los nuestros en el triángulo de Ward fueron encontrados por Truscott27 y Ertungealp7.
Los resultados parecen sugerir que los estrógenos mantienen aceptablemente el hueso cortical durante la premenopausia, existiendo una pérdida de hueso trabecular 10-15 años antes de la menopausia. Coincidentes con este hecho se encontrarían también los estudios de Liao28, Burger5 y Arlot24.
Por tanto, algunos autores proponen ajustar la masa ósea por años desde la menopausia más que por años puros de edad27, ya que la menopausia puede ser mayor predictor de baja masa ósea que la edad biológica3,15,29.
Se puede concluir que la pérdida de masa ósea en las mujeres menopáusicas recientes es mayor que la esperada por la edad solamente, existiendo más relación entre la DMO y los años de menopausia al nivel de la cadera que en la columna lumbar15, aunque quizás las mediciones a este nivel se encuentren sobrevaloradas por la existencia de artefactos como la artrosis, y que el avance de la menopausia es un factor muy importante que actúa sobre la masa ósea. Se debe prestar especial atención en nuestras consultas a la mujer en los primeros años desde la retirada de la regla debido a la aceleración en la pérdida de masa ósea que se produce, sobre todo si existen otros factores de riesgo añadidos, ya que no se debe olvidar que para la correcta valoración del riesgo de sufrir una fractura no se debe valorar tan sólo la masa ósea, sino que siempre se deberá analizar ésta junto con los demás factores de riesgo de la paciente a la hora de tomar una decisión correcta.
Correspondencia: A. Pérez Martín.
Centro de Salud Los Valles.
C/ Gran Cinema, 1.
39410 Mataporquera. Cantabria. España.
Correo electrónico: alvaroperezma@yahoo.es










