*Los integrantes del Grupo Periférico del ECEMC y el Grupo de trabajo de REpIER se detallan al final del artículo.
INTRODUCCION
La fuerte relación entre la edad materna y el incremento del riesgo para hijos con síndrome de Down (SD), establecida mediante estudios epidemiológicos, condiciona que el grupo de madres con más de 34 años (entre un 9 y un 14% del total) tenga globalmente 10 veces más riesgo que el grupo con menos de 35 años (un 86-91% del total). El conocimiento de esa relación dio lugar a que las madres con 35 años o más constituyera la población diana para las acciones sanitarias encaminadas al diagnóstico prenatal (mediante técnicas invasivas) del SD o trisomía 21, porque siendo un grupo de alto riesgo no era muy grande poblacionalmente. Es decir, había un buen equilibrio coste-efectividad. Como consecuencia de esas acciones, la frecuencia del SD en hijos del grupo de madres con edades superiores a 34 años ha ido disminuyendo drásticamente con el tiempo en la mayoría de los países, incluido el nuestro1,2.
Por otra parte, la frecuencia de niños con SD hijos de madres menores de 35 años se iba manteniendo sin cambios temporoespaciales, porque en esta población no se podía ejercer un diagnóstico prenatal de certeza. Sin embargo, el establecimiento de test bioquímicos cada vez más precisos, junto con el gran avance que ha tenido la ecografía prenatal, han dado lugar a un eficaz sistema de cribado para la identificación de mujeres jóvenes que tienen un alto riesgo de que el feto presente SD. A estas madres se les ofrece el diagnóstico prenatal de certeza (mediante amniocentesis o biopsia de vellosidades coriales). La incorporación de estas técnicas dentro de las prestaciones de nuestro Sistema Nacional de Salud, junto con la posibilidad legal de interrumpir el embarazo, son razones para suponer que ya debe estar variando la frecuencia al nacimiento de niños con SD, también en el grupo de madres con menos de 35 años.
En este trabajo analizamos cómo ha evolucionado la frecuencia de recién nacidos con SD hijos de madres de menos de 35 años en España, durante los últimos 28 años y por comunidades autónomas.
MATERIAL Y MÉTODOS
Hemos utilizado los datos del Estudio Colaborativo Español de Malformaciones Congénitas (ECEMC). Éste es un programa de investigación clínico-epidemiológica sobre las causas de los defectos congénitos, que está estructurado como un estudio con diseño de tipo de casos y controles y de base hospitalaria. El ECEMC constituye desde sus inicios, en abril de 1976, una red temática de investigación multidisciplinaria y translacional sobre los defectos y las malformaciones congénitas, cuya organización se basa en 2 grupos, el periférico y el coordinador. El grupo periférico está constituido por pediatras, neonatólogos y ginecólogos de 85 hospitales, distribuidos por todas las comunidades autónomas. Este grupo es el encargado de identificar a los recién nacidos con defectos (los casos) y seleccionar como control de cada caso el siguiente recién nacido en el mismo hospital, que sea del mismo sexo que el caso y no presente defectos congénitos. Tanto para los casos como para los controles se recogen alrededor de 311 datos, utilizando unos protocolos que son comunes para todos y siguiendo una estricta metodología, que incluye también la recogida del total de nacimientos mensuales en cada hospital distribuidos por sexo. El total de nacimientos constituye el denominador para el cálculo de las frecuencias. El grupo coordinador está localizado en Madrid, y lo integra un equipo multidisciplinario de expertos en dismorfología, genética clínica y citogenética, epidemiología y teratología clínica, que cuenta con el soporte logístico de informáticos y bioestadísticos. El personal de este grupo verifica, codifica y procesa la información, la analiza desde un punto de vista epidemiológico, estudia los casos desde un enfoque tanto clínico como citogenético y teratológico; junto con el grupo periférico, realiza el diagnóstico de los niños malformados2-5.
Para el cálculo de los denominadores correspondientes a los nacimientos de madres con menos de 35 años, se utilizó la distribución de los controles de cada año y comunidad autónoma, para hacer una extrapolación a los nacimientos totales controlados en cada comunidad y año. Esto es posible porque, en su momento, hicimos una validación de los datos de la muestra de controles, para determinar si era representativa de la población general. Para ello, durante un cierto tiempo, se recogieron algunos datos (edad materna, peso del recién nacido, edad gestacional), para el total de los nacimientos de los hospitales del ECEMC. Es decir, para el total de nacimientos que se controlaban. Posteriormente, comparamos los resultados con los que disponíamos para esas variables en los controles, y no mostraron diferencias significativas. Por ello, podemos utilizar la muestra de las madres de los controles para hacer la extrapolación de las edades, y obtener la frecuencia de SD en hijos de madres con menos de 35 años, sobre el total de nacimientos de madres de esa edad en cada período de tiempo y comunidad.
En la tabla 1 se indica el tamaño de la muestra de madres jóvenes (con menos de 35 años) y el número de ellas que tuvieron un niño con SD, distribuidas por las comunidades autónomas de las que proceden y a lo largo del tiempo. Para el análisis temporal se han establecido períodos quinquenales desde el año 1976 hasta 2000, y luego por años hasta 2003, ya que la disminución de las frecuencias, si se detecta, debe ser esencialmente la producida en los últimos tiempos. Es importante recordar que durante los 2 primeros quinquenios estudiados, en España no había posibilidad legal de realizar una interrupción voluntaria del embarazo (IVE).
Para los análisis estadísticos, se ha utilizado la prueba de tendencia lineal (χ2 con un grado de libertad) para el análisis de las tendencias temporales. La hipótesis nula de esta prueba establece que no hay diferencias de incremento o descenso entre los valores observados a lo largo del tiempo. También se ha evaluado si hay una desviación de la linealidad mediante la prueba de la χ2 con K-2 grados de libertad, donde K indica el número de períodos estudiados. La hipótesis nula de esta prueba establece que no hay diferencias entre los distintos valores de cada período. El resultado de esta prueba indica, independientemente de que los valores de la tendencia tengan o no significación estadística, si se producen desviaciones de la linealidad. Cuando las diferencias entre los valores de los distintos períodos son significativas, esa desviación del ajuste a la linealidad puede producirse porque hay diferencias reales entre los distintos períodos, o bien porque el total de nacimientos controlados en ciertos momentos es menor. Dado que en este trabajo tratamos de analizar las tendencias seculares como consecuencia del impacto del diagnóstico prenatal, no vamos a analizar si hay diferencias entre los años cuando no se observen tendencias.
Con objeto de poder visualizar fácilmente las diferencias entre las comunidades autónomas, se ha utilizado la misma escala en todas las gráficas. En cada una de las gráficas se incluyen los valores del análisis de regresión lineal (χ21), el valor de la prueba de hipótesis (p), y el sentido y el valor promedio de la pendiente de la recta a la que se ajusta la distribución (representado por b). El valor absoluto de b informa sobre la verticalidad de la tendencia: la recta es más vertical cuanto mayor es el valor absoluto de b. Además, si este valor es negativo, indica que la tendencia es decreciente con el tiempo, y si es positivo que se está produciendo un incremento secular. Cuando la tendencia de descenso o de incremento muestre una desviación de su ajuste lineal, se incluirá el resultado de su análisis (χ2k-2).
RESULTADOS
En la figura 1 se muestra la distribución secular por quinquenios de la frecuencia al nacimiento de SD en hijos de madres con menos de 35 años en el total del ECEMC. La distribución global muestra una tendencia de descenso estadísticamente significativa (χ21 = 4,79; p = 0,03), aunque hay una desviación significativa de la linealidad (χ26 = 19,48; p = 0,003). Es decir, el descenso no es continuo y constante desde el principio, aunque globalmente sí es significativo. La desviación observada de la linealidad se produce en función de las oscilaciones de los primeros 5 quinquenios, cuyas variaciones son estadísticamente significativas (χ24 = 12,52; p = 0,01), mientras que el descenso progresivo se observa a partir del quinquenio 1996-2000; es decir, en los 3 últimos años. De hecho, si los 5 primeros quinquenios los agrupamos en un solo punto, el descenso de los 3 últimos años es lineal y significativo (p = 0,001).
Figura 1. Distribución secular de la frecuencia de síndrome de Down al nacimiento en hijos de madres con menos de 35 años en el total de la base de datos del ECEMC.
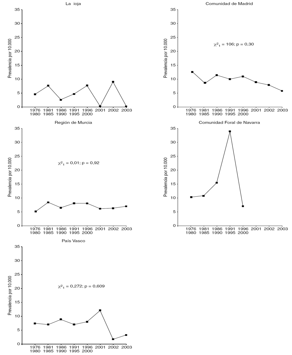
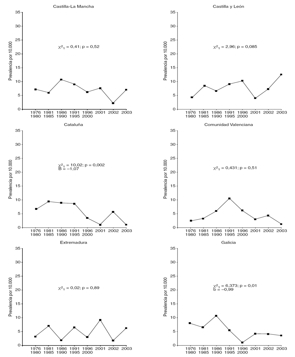
En la figura 2 A-C se muestra la misma distribución secular por quinquenios en cada una de las comunidades autónomas. Como se puede apreciar por los valores de la prueba de inferencia (p), las únicas comunidades en que ya se aprecia una tendencia de descenso significativo (fig. 2B) son Cataluña (p = 0,002, cuyo valor de b es de 1,07 por 10.000 nacimientos de madres jóvenes) y Galicia (p = 0,01, b = 0,99). En el Principado de Asturias (fig. 2A) la tendencia es también estadísticamente significativa (p = 0,01), pero se observa un incremento a lo largo del tiempo, con un valor de b = +2,74. En el resto de las comunidades no hay tendencias significativas. Por otra parte, en la Comunidad Valenciana (fig. 2B) se observa un incremento de la frecuencia hasta el quinquenio 1991-1995, seguido de un descenso lineal. Es más, las variaciones observadas entre el resto de años no difieren significativamente entre ellas, mientras que el valor conjunto de todos los períodos difiere de forma estadísticamente significativa del valor del quinquenio 1991-1995 (p = 0,003). Sin embargo, la gran reducción de la frecuencia de niños recién nacidos con SD, que se observa en esta comunidad en los últimos años, podría estar reflejando ya el inicio del impacto del diagnóstico prenatal seguido de la IVE.
Figura 2.A) Análisis secular de la frecuencia de síndrome de Down al nacimiento en hijos de madres con menos de 35 años, por comunidades autónomas.
Figura 2.B) Análisis secular de la frecuencia de síndrome de Down al nacimiento en hijos de madres con menos de 35 años, por comunidades autónomas.
Figura 2.C) Análisis secular de la frecuencia de síndrome de Down al nacimiento en hijos de madres con menos de 35 años, por comunidades autónomas.
Además de los descensos globales significativos que hemos comentado, en varias comunidades (Andalucía, Islas Baleares, Madrid, País Vasco) se aprecia un descenso de la frecuencia en los últimos años, sin que hayamos podido evaluar la tendencia más reciente en la Comunidad Foral de Navarra (fig. 2C), y en la de La Rioja (fig. 2C), por haber interrumpido su colaboración, temporalmente durante algunos períodos. No obstante, en el año 2003 no hemos registrado casos de SD en hijos de madres jóvenes en estas 2 comunidades, por lo que es probable que también se hayan incorporado a la tendencia general de descenso. Por otro lado, los valores de la frecuencia observados en los 5 primeros quinquenios en la Comunidad de Madrid (fig. 2C) no varían entre sí pero, si los comparamos como un solo valor con los de los 3 últimos años, muestran una tendencia lineal de descenso que se aproxima al límite de la significación estadística (χ21 = 3,00; p = 0,08; b = 1,52).
Con objeto de confirmar la hipótesis de que las tendencias de disminución podrían ser reales y debidas esencialmente a la detección prenatal del SD en las madres jóvenes, analizamos los datos del ECEMC correspondientes a un hospital de Girona (Dr. Trueta), que no sólo recoge los 311 datos de los protocolos del ECEMC para los recién nacidos malformados y sus controles, sino para todas las interrupciones voluntarias del embarazo del hospital realizadas por defectos fetales, incluidas las técnicas de diagnóstico y el resultado del cariotipo fetal. En la figura 3 se muestran 2 gráficas de distribución de las frecuencias de SD en hijos de madres con menos de 35 años en dicho hospital: una para los recién nacidos con SD, y otra en la que a los recién nacidos con SD se les han sumado los abortos realizados porque el feto tenía trisomía 21. Al añadir los abortos por trisomía 21 a los recién nacidos, la gráfica se eleva a los valores del período basal del ECEMC (entre 5 y 10 por 10.000), e incluso los superan.
Figura 3. Distribución secular de la frecuencia de síndrome de Down, incluidas o no las IVE por trisomía 21, en madres con menos de 35 años, en el Hospital Dr. Trueta de Girona. IVE: interrupción voluntaria del embarazo.
Con objeto de analizar si se están produciendo las previsibles implicaciones poblacionales derivadas del impacto del diagnóstico prenatal sobre la frecuencia al nacimiento de SD en hijos de madres «añosas», y también en las jóvenes, hemos estudiado los siguientes aspectos. En la tabla 2 se muestra la distribución en 2 grupos de edades y por períodos de las madres de todos los niños controles (recién nacidos sin defectos congénitos) de la base de datos del ECEMC, con el dato sobre la edad materna especificado. En esta tabla se observa que durante los 4 primeros quinquenios, la población de mujeres con 35 años o más que tuvieron hijos sanos se encuentra entre los valores promedios tradicionales del 9 y el 14%. Sin embargo, desde el quinquenio 1996-2000, se produce un incremento lineal que, en el año 2003, alcanza el 20,54% de la población. Realizamos este análisis para los últimos 10 años por comunidades aunque, para no dispersar los datos, se utilizó el total de los nacimientos sin separar en períodos (tabla 3); los resultados globales indican que sólo en 3 comunidades la frecuencia de nacimientos en mujeres con 35 años o más sigue siendo inferior al 14%.
En la tabla 4 se muestra la distribución secular de los niños con SD en función de la edad de sus madres sobre el total de los datos del ECEMC. Durante los 2 primeros quinquenios, en los que no había posibilidad legal de realizar una IVE, la proporción de niños con SD que nacían del grupo de madres con 35 años o más era numéricamente superior a los que nacían de madres con menos de 35 años. Dicho de otra forma, una población de madres que suponía sólo el 9-14% del total de madres daba lugar a más del 50% de los niños con SD. Sin embargo, desde que se pudieron realizar IVE por defectos fetales (a partir del año 1985), el número (y porcentaje) de niños con SD que nacieron de madres mayores de 34 años empezó a ser menor que los que nacieron de madres con menos de 35 años. Analizando estos mismos datos por comunidades y 2 períodos de tiempo (tabla 5), los resultados muestran que en 10 comunidades la proporción de niños con SD es ya mayor en las madres jóvenes.
DISCUSION
Es un hecho ampliamente documentado y aceptado que el riesgo de SD en los niños es 10 veces superior en el grupo de madres con 35 años o más que en el de edades menores de 35 años. Esto implica que en el grupo de madres con estas edades (que tradicionalmente ha representado un porcentaje muy bajo del total), se observa más del 50% de los niños con SD. Este hecho es aplicable también en nuestra población1,2,6, y se ha constatado en los resultados de este trabajo, ya que se ha podido observar que antes de que existiera la posibilidad legal de realizar una IVE de los fetos afectados, la población de madres más añosas, que representaba menos del 14% de la población total de madres (tabla 2), daba lugar a más del 50% de los casos de niños con SD (tabla 4).
Sin embargo, con los años también se han producido en nuestro país cambios sociales y avances técnicos, que han dado lugar a un progresivo incremento del acceso de la población a las técnicas de diagnóstico prenatal. Otro de los cambios sociales importantes ha sido la aceptación cada vez más generalizada de la IVE, sobre todo por problemas fetales7,8. Además, se debe considerar también el incremento de la edad a que las mujeres tienen su primer hijo, que en los años 2001-2002 ha alcanzado una media poblacional de 31 años, tras un incremento progresivo en todas las comunidades, como demostramos en un reciente trabajo9. La consecuencia de ese incremento es que ha aumentado la demanda social del diagnóstico prenatal no sólo en las edades de riesgo, sino también en las mujeres en edades cercanas a las de riesgo. Todo esto indica que, desde el momento en que se pudo realizar la IVE, la proporción de niños recién nacidos con SD se invierte, de modo que más del 50% de los niños con SD son ya hijos de madres con menos de 35 años, a las que tradicionalmente no se dirigían las técnicas de diagnóstico prenatal de este síndrome. Aunque este porcentaje puede oscilar según el número de mujeres con edades cercanas a los 35 años que demanden un diagnóstico prenatal invasivo. Al mismo tiempo, se va produciendo un incremento de la población de mujeres que tienen hijos a la edad de 35 años o más, sin SD, precisamente por el diagnóstico prenatal y la subsiguiente IVE de muchos de los fetos afectados.
Sin embargo, los avances tecnológicos obtenidos en el cribado bioquímico y las técnicas ecográficas, así como el establecimiento de la pauta de realizar una ecografía de alta resolución (entre las 18 y las 20 semanas de gestación), dirigida a la detección de malformaciones fetales, junto con la mayor experiencia en estas técnicas, han dado lugar a 2 tipos de posibilidades para el diagnóstico de SD en madres jóvenes. En primer lugar, el desarrollo de indicadores ecográficos de alta sensibilidad para identificar a los fetos con riesgo de SD en mujeres embarazadas jóvenes, a las que se les ofrece la posibilidad de realizar un diagnóstico de certeza mediante técnicas invasivas. En segundo lugar, el perfeccionamiento de ciertos tipos de pruebas bioquímicas para poder efectuar un cribado lo más precoz posible en la población de embarazadas jóvenes, incluso durante el primer trimestre. De hecho, en el hospital Dr. Trueta, de Girona, se realiza no sólo un buen cribado ecográfico sino un programa de detección bioquímica en el primer trimestre, y se ha podido constatar en este trabajo que la frecuencia de SD en madres jóvenes, al incluir el número de abortos por trisomía 21, aumenta hasta valores que son, incluso, superiores a los que se habrían esperado si no se hubieran realizado las IVE. La razón para esa mayor frecuencia es que algunos de los fetos detectados prenatalmente (en especial cuanto más precoz es esa detección) habrían sido abortos espontáneos si no se hubiera hecho un diagnóstico prenatal y su gestación no se hubiera interrumpido, como ya comentamos en un trabajo previo10.
Estos aspectos nos explican los hallazgos epidemiológicos de la lenta, pero constante, disminución secular de la frecuencia al nacimiento de SD en hijos de madres con menos de 35 años (fig. 1). También nos ofrecen una información que permite explicar algunas de las diferencias encontradas entre las comunidades, ya que en función del momento del embarazo en el que se realiza el cribado, y el tipo de técnicas que se utilicen para la detección de la trisomía 21, se van a identificar prenatalmente más o menos fetos afectados, lo que influirá en las frecuencias al nacimiento que se observan en las distintas comunidades con el tiempo. De hecho, se ha podido constatar que en algunas de las comunidades se observa una tendencia decreciente en los últimos años, incluso con valores que alcanzan la significación estadística. Sin embargo, en otras no sólo no se advierte un descenso en la frecuencia de niños con SD en madres con menos de 35 años, sino que se aprecia un incremento que, en alguna de ellas, es muy significativo. Éste puede interpretarse como una consecuencia del incremento de la edad a la que las mujeres tienen su primer hijo, que se va produciendo en los estratos próximos a los 35 años. El resultado es un incremento de madres con edades cercanas a los 34 años, y el consiguiente aumento del número de niños con SD.
Todo ello muestra, una vez más, que determinadas acciones sanitarias derivadas de los nuevos conocimientos y de las nuevas tecnologías, como el diagnóstico prenatal de SD en madres jóvenes, no llegan al mismo tiempo a todas las poblaciones. Por tanto, las consecuencias de esas acciones no tienen la misma cobertura ni el mismo impacto en todas las comunidades autónomas. En general, las comunidades con mayor nivel económico y social también tienen un mayor nivel sociosanitario y, por ello, suelen ser las primeras en las que se miden los efectos de las actividades sanitarias, a través de campañas de información, mediante ofertas de servicios sanitarios o por planes de acciones concretos.
Creemos, pues, que este tipo de estudios tiene interés no sólo para los profesionales sanitarios sino, especialmente, para que las distintas autoridades sanitarias conozcan la situación en sus respectivas poblaciones y la relativa al resto de circunscripciones autonómicas. No obstante, queremos también realizar una llamada de atención sobre la necesidad de potenciar la investigación de las causas últimas que dan lugar a estas enfermedades. No podemos conformarnos ni considerar que ofreciendo la posibilidad del diagnóstico prenatal y la IVE se soluciona el problema. Porque, aunque no cabe duda de que realizar un diagnóstico prenatal de certeza posibilita a las parejas decidir sobre el curso de su embarazo, no es menos cierto que esa acción no evita el sufrimiento de los padres, ni tampoco el alto coste económico, sanitario y familiar, tanto si se decide una IVE como si se continúa con el embarazo. Por tanto, es necesario seguir investigando las causas para ejercer la prevención primaria, que es la única totalmente rentable, ya sea desde el punto de vista puramente económico o porque evita el sufrimiento.
AGRADECIMIENTOS
Este trabajo ha sido financiado por el Instituto de Salud Carlos III, en su programa Redes Temáticas de Investigación Cooperativa (Exp. G03/123). Red Epidemiológica de Investigación en Enfermedades Raras (REpIER), y C03/05 de la Red Instituto Nacional de Enfermedades Raras de Base Genética (INERGEN).
El Grupo Periférico del Estudio Colaborativo Español de Malformaciones Congénitas (ECEMC) es el correspondiente al año 2003.
Andalucía: Barcia JM (Cabra), Cózar JA (Huércal Overa), Fernández E (Antequera), Gomar JL (La Línea), Lara A (Úbeda), Rodríguez A (Motril), Tapia JM (Puerto Real).
Aragón: Calvo MJ (Barbastro), Muñoz MS (Teruel), Oliván del Cacho MJ (Huesca).
Baleares: Azúa de Brea B (Manacor), Gómez F (Mahón).
Canarias: López S (Tenerife).
Cantabria: Canduela V (Laredo), Gómez-Ullate J (Santander).
Castilla-La Mancha: Félix V (Toledo), García A (Guadalajara), García MJ (Cuenca), Huertas H (Valdepeñas), López JM (Manzanares), Rosa A (Ciudad Real), Sánchez C (Puertollano), Suay M (Cuenca), Vázquez MS (Albacete).
Castilla y León: Aparicio P (Burgos), Burón E (Valladolid), Centeno F (Valladolid), Mousallem AG (Medina del Campo), Nieto C (Segovia).
Cataluña: Balaguer JA (Reus), Barranco F (La Seu d'Urgell), Caubet I (Vielha), Foguet A (Olot), García MM (Figueres), Martí JJ (Sta C. De Gramanet), Marco JJ (Lleida), Martínez S (Girona), Puig I (Girona), Rosal J (Tortosa), Serrana A (Mora d'Ebre), Vázquez M (Palamós).
Comunidad de Madrid: Ayala A (Madrid), Colombo A (Madrid), Conde JF (Madrid), García M (Boadilla del Monte), Leal A (Madrid), Martín F (Madrid), Martínez MN (Leganés), Robles P (El Escorial).
Comunidad Valenciana: Andrés M (Valencia), Beseler B (Denia), Climent S (Xàtiva, y Ontinyent), García C (Valencia), González de Dios J (Alicante), Güemes I (Valencia), Jovani C (Vila-Real), Martínez A (Requena), Sanchís A (Valencia).
Extremadura: Arroyo I (Cáceres), Galán E (Badajoz), Contreras J (Coria), Gómez H (Llerena), Rota L (Navalmoral de la Mata).
Galicia: Blanco M (Vigo), Castro S (El Ferrol), Martínez MA (Vilagarcía de Arousa), Silveira M (Burela).
La Rioja: Cucalón F (Logroño), Garijo C (Calahorra).
Navarra: Egüés J (Pamplona), Martínez Olorón P (Pamplona).
País Vasco: Lertxundi MM (Zumárraga), Paisán L (San Sebastián), Pérez JL (Basurto).
Principado de Asturias: Espinosa MJ (Riaño), Ramos A (Coaña), Riaño I (Cangas del Narcea), Suárez ME (Avilés).
Región de Murcia: Contessotto C (Santiago de la Ribera), Hernández F (Murcia), López JA (Lorca), Martín JM (Murcia), Peñas A (Yecla), Rubio MJ (Murcia).
Grupo de Trabajo de REpIER:
Posada de la Paz M (Coordinador de la Red), Guillén Enríquez FJ, Durán Pla E (Nodo de Andalucía), Iglesias Gozalo MJ (Nodo de Aragón), Margolles Martins M (Nodo de Asturias), Serrano-Aguilar PG (Nodo de Canarias), Ruiz Ceballos LM (Nodo de Cantabria), Cardeñosa Marín N, Fernández L (Nodo de Cataluña), Gutiérrez Ávila G, Sardón Rodríguez AC (Nodo de Castilla-La Mancha), Ramos Aceitero JM, Galán E (Nodo de Extremadura), Ramalle Gomara E, Perucha González M, Lezaun Larrumbe ME (Nodo de La Rioja), Robustillo Rodela A, Zorrilla Torras B (Nodo de Madrid).
Correspondencia:
Dra. M.L. Martínez Frías
Centro de Investigación sobre Anomalías Congénitas. Instituto de Salud Carlos III.
Sinesio Delgado, 6. 28029 Madrid. España.
Correo electrónico: mlmartinez.frias@isciii.es
Fecha de recepción: 20/7/2005. Aceptado para su publicación: 18/5/2006.











