El sueño y el funcionamiento neuropsicológico están relacionados. Al contrario que en los adultos, se sabe poco de estas asociaciones en los niños (véase una revisión1). Este hecho es sorprendente porque la infancia es un período sensible respecto al desarrollo de patrones y problemas del sueño2 y para el desarrollo cognitivo y la maduración cerebral (véase una revisión3). Para aumentar la escasa bibliografía sobre el sueño y el funcionamiento neuropsicológico en la infancia, nos centramos en una medición global de los problemas del sueño durante la infancia y examinamos las relaciones con el funcionamiento neuropsicológico evaluado durante la adolescencia.
La investigación anterior centrada en los niños había establecido relaciones entre el sueño y el funcionamiento neuropsicológico mediante 1) la manipulación experimental (como la restricción o la privación) del sueño y 2) la comparación de personas con y sin problemas del sueño. En el primer tipo de estudio los resultados han sido contradictorios, aunque se han publicado asociaciones entre la restricción del sueño y áreas del funcionamiento neuropsicológico, incluyendo aspectos de la memoria, las habilidades verbales y el aprendizaje4,5. El segundo tipo de estudio se ha centrado casi exclusivamente en los niños con dificultades respiratorias relacionadas con el sueño. Pese a lo contradictorio de los resultados (véase una revisión6), los niños que padecen estos problemas han mostrado una serie de dificultades, incluyendo los problemas con la atención y el funcionamiento ejecutivo7-10, las habilidades del lenguaje11-13, los aspectos de la memoria y el aprendizaje13,14 y la percepción visual y la construcción10,12. Es indudable que las dificultades respiratorias relacionadas con el sueño ofrecen un modelo clínico importante para examinar los efectos de la alteración del sueño15 y han sido informativas para comprender las asociaciones con el funcionamiento neuropsicológico. Sin embargo, otros problemas del sueño más habituales, como la dificultad para iniciar y mantener el sueño11,16, pueden estar relacionados con el funcionamiento neuropsicológico (véase una revisión17). Además, tanto el sueño de mala calidad como el insuficiente, así como una mezcla de distintos problemas del sueño, se han asociado con un mal rendimiento académico18-20. La frecuencia con que aparecen determinadas dificultades del sueño (véase la prevalencia de los distintos tipos de problemas del sueño en los escolares21,22) subraya la necesidad de aumentar el conocimiento de las relaciones entre el sueño y el funcionamiento neuropsicológico. Otro punto a considerar respecto a los estudios anteriores del sueño y el funcionamiento neuropsicológico es que han sido casi exclusivamente transversales, lo que limita la comprensión de las relaciones longitudinales. Es de especial importancia porque un estudio reveló que los niños que tenían mal rendimiento en los estudios medios tenían más probabilidades de informar retrospectivamente de ronquidos durante la primera infancia, comparados con los que tenían buen rendimiento23. Estos resultados subrayan la probable importancia de estudios longitudinales para informar de esta área de investigación.
PARTICIPANTES Y MÉTODOSParticipantesLos participantes pertenecían al Dunedin Multidisciplinary Health and Development Study, una investigación longitudinal de la salud y el comportamiento de una cohorte de nacimientos completa. La cohorte de 1.037 niños (52% varones) se constituyó a los 3 años de edad, cuando los investigadores incluyeron al 91% de los nacimientos consecutivos entre el 1 de abril de 1972 y el 31 de marzo de 1973 en Dunedin, Nueva Zelanda. Las familias de la cohorte eran principalmente de raza blanca y representaron toda la gama de niveles socioeconómicos (NSE) de la población general de la isla del sur de Nueva Zelanda. En cada edad de evaluación, los participantes (incluyendo los emigrantes a ultramar) volvieron a la unidad de investigación para tomar los datos individuales durante un día completo. Los comités de Ética de las universidades participantes aprobaron el protocolo de estudio. Tras la descripción completa del estudio a los participantes se obtuvo el consentimiento informado por escrito de los padres hasta los 15 años de edad y luego de los miembros del estudio. El seguimiento se realizó a los 5, 7, 9, 11, 13, 15, 18, 21, 26 y, el más reciente, a los 32 años de edad (n = 972 [96% de los miembros vivos de la cohorte]). Aquí nos centramos en las evaluaciones a los 5, 7, 9 y 13 años de edad porque ofrecen las valoraciones más meticulosas del sueño y el funcionamiento neuropsicológico del niño. En la evaluación a los 11 años de edad no se tomó información detallada del sueño y el funcionamiento neuropsicológico.
Nivel socioeconómicoEl NSE de las familias de los miembros del estudio se midió en una escala de 6 puntos que valoró la situación laboral autonotificada de los padres. La escala asignó cada trabajo a una de 6 categorías (6 = profesión liberal; 1 = trabajador no cualificado), según los grados de formación y los ingresos asociados a este trabajo en los datos del censo de Nueva Zelanda.
Problemas del sueñoLos padres informaron de los problemas del sueño de sus hijos en las evaluaciones a los 5, 7 y 9 años de edad. Tanto a los 5 como a los 7 años, 3 preguntas exploraron los problemas del sueño (¿Tuvo problemas con el sueño la última noche? ¿Suele tener problemas del sueño? ¿Tiene el niño problemas del sueño?). En la valoración a los 9 años de edad, 6 preguntas abordaron los problemas del sueño (¿Tuvo problemas del sueño la última noche? ¿Tiene dificultades del sueño? ¿Le cuesta quedarse dormido? ¿Se despierta el niño por la noche y no puede volverse a dormir? ¿Durmió mucho más recientemente? ¿Se despierta muy temprano?). Aunque estas preguntas se codificaron inicialmente en distintas escalas, cada una de ellas se registró en una escala binaria (0 = no es signo de un problema; 1 = signo de un problema). De estas preguntas se desarrolló la variable binaria “problema persistente del sueño”, en la que los niños fueron puntuados con 1 si presentaban signos de un problema del sueño en la evaluación a los 9 años de edad en una o más ocasiones, y 0 en caso contrario. Ciento diecisiete (12,4%) de los miembros del estudio tuvieron un problema persistente del sueño. Esta medida general de los problemas persistentes del sueño se ha utilizado previamente24 y se desarrolló siguiendo la investigación previa que destaca la importancia de la persistencia de los problemas del sueño para predecir problemas emocionales o del comportamiento25 y teniendo en cuenta el principio de agregación, que afirma que numerosas mediciones valoran con mayor exactitud un fenotipo que una sola26.Para intentar obtener reiteraciones internas de nuestros resultados, también examinamos por separado los problemas del sueño a los 5, 7 y 9 años. En cada una de estas edades, los miembros del estudio recibieron una puntuación de 1 si habían notificado un problema del sueño, y de 0 si no lo habían notificado. A los 5 años de edad, 199 (19,7% de la muestra) tenían un problema del sueño; a los 7 años de edad, 182 (19,2%) tenían un problema del sueño, y a los 9 años de edad, 244 (25,8%) tenían un problema del sueño. La mayor prevalencia de problemas a los 9 años de edad, comparado con los 5 y 7 años de edad, puede reflejar los distintos métodos utilizados para valorar el sueño a las distintas edades.Como existe discordancia respecto a la mejor manera de conceptualizar los problemas del sueño en los niños, repetimos los análisis aplicando definiciones alternativas de los problemas del sueño (no presentado). En primer lugar, redefinimos los problemas persistentes del sueño como los que ocurren en 2 o más evaluaciones cualquiera y obtuvimos unos resultados sustancialmente idénticos a los obtenidos al utilizar nuestra definición alternativa de problemas persistentes del sueño. En segundo lugar, dada la naturaleza específica de la pregunta “problemas del sueño la última noche”, volvimos a elaborar las escalas retirando esta pregunta de cada oleada de la toma de datos. De nuevo obtuvimos un patrón de resultados sumamente similar.
Evaluación neuropsicológicaLa batería de pruebas neuropsicológicas del Dunedin Study se administró cuando la cohorte tenía 13 años de edad. La batería constó de las pruebas secundarias de la versión revisada de la Wechsler Intelligence Scale for Children27 (WISC-R) y otras 7 pruebas neuropsicológicas. Constituyó la entonces actualizada batería de la Neuropsychological Clinic de la University of California, Los Angeles Neuropsychiatric Institute. Todas estas pruebas todavía se utilizan ampliamente, y existe mucha bibliografía que atestigua la fiabilidad y la validez de cada prueba28. Como las normas del adulto de las 7 pruebas neuropsicológicas comienzan a los 12 años de edad y la cohorte tenía 13, utilizamos las versiones del adulto de cada prueba. Los resultados de la batería se han publicado con frecuencia29,30. Las 7 pruebas son las siguientes:Laberintos de WISC-R27: Los laberintos WISC-R presentan una serie de laberintos de dificultad creciente, y se pide a los participantes que encuentren la salida. Aquí nos centramos en un índice escalonado basado en el tiempo de realización y en los errores.Wisconsin Card Sorting Test31,32: Esta prueba pidió que se ordenase una serie de tarjetas que mostraban distintos números de formas coloreadas en parejas por uno de 3 posibles principios: color, forma y número. Tras 10 colocaciones correctas consecutivas, el explorador cambió encubiertamente el principio. Las puntuaciones indicaron la capacidad de cambiar de manera flexible el conjunto cognitivo, inhibiendo las respuestas perseverantes inadecuadas.
Halstead Trail Making Test, páginas A y B para adultos33
Esta prueba pidió en primer lugar unir una serie de puntos numerados en la página A (1, 2, 3, ..., una tarea de procesamiento automático). En la página B se deben unir los puntos alternando entre números y letras consecutivas (1, A, 2, B, 3, C, ..., una tarea de procesamiento con esfuerzo). Las puntuaciones del aumento del tiempo y los errores entre la página A y la página B representan la capacidad de inhibir el comportamiento aprendido.
Rey-Osterrieth Complex Figure Test34,35
Comenzó pidiendo copiar una figura compleja. Tras una espera de 3 min, se volvió a dibujar la figura de memoria. Las puntuaciones de la estrategia valoraron si se aplicó una planificación sensata a la tarea. Las puntuaciones de la exactitud de la copia valoraron el procesamiento visuoespacial. Las puntuaciones de recuerdo valoraron la memoria visual.
Rey Auditory Verbal Learning Test36
En esta prueba se hace oír 5 presentaciones de prueba y aprendizaje de una lista de 15 palabras, diciendo todas las palabras que pueda recordar tras cada prueba. Se presentó una prueba de interferencia de una distinta lista de palabras. Se comprobó el recuerdo de la lista inicial al cabo de 15 min, y se estudió la memoria de reconocimiento presentando las palabras incluyéndolas en una historia.
Verbal Fluency Controlled Oral Word Association Test37
En ella se pidió que el participante generase el mayor número posible de palabras que comenzasen con F en 1 min. Se repitió la tarea con las letras A y S.
Grooved Pegboard Test38
Consistió en recoger una por una, a la mayor velocidad posible, pequeñas piezas metálicas, encajándolas en una ranura de un tablero. Primero se realizó con la mano no dominante, y luego con la dominante. Las puntuaciones reflejaron las diferencias de la coordinación motora fina mano/ojo, y también la velocidad de la habilidad.
Preparación de los datos y análisis estadísticoEstos análisis sólo incluyeron a los miembros del Dunedin Study con datos de los problemas del sueño y del funcionamiento neuropsicológico. Para examinar las funciones cognitivas específicas en el contexto de un CI normal a grandes rasgos, excluimos a los miembros del estudio con puntuaciones del CI > 2 DE por debajo de la media (n = 22). También excluimos a un participante que había sufrido un traumatismo craneal grave. Esto produjo un conjunto final de datos de 720 individuos. Las puntuaciones de la prueba fueron normalizadas antes de los análisis. Utilizamos los análisis de regresión para predecir los distintos aspectos del funcionamiento neuropsicológico de los problemas del sueño, ajustando respecto al sexo y al NSE de la familia. Aunque realizamos numerosas regresiones no ajustamos por el estudio múltiple porque estos ajustes son conservadores y probablemente inadecuados para la investigación en la etapa de generación de teorías (en lugar de la de estudio de teorías) como las informadas aquí.
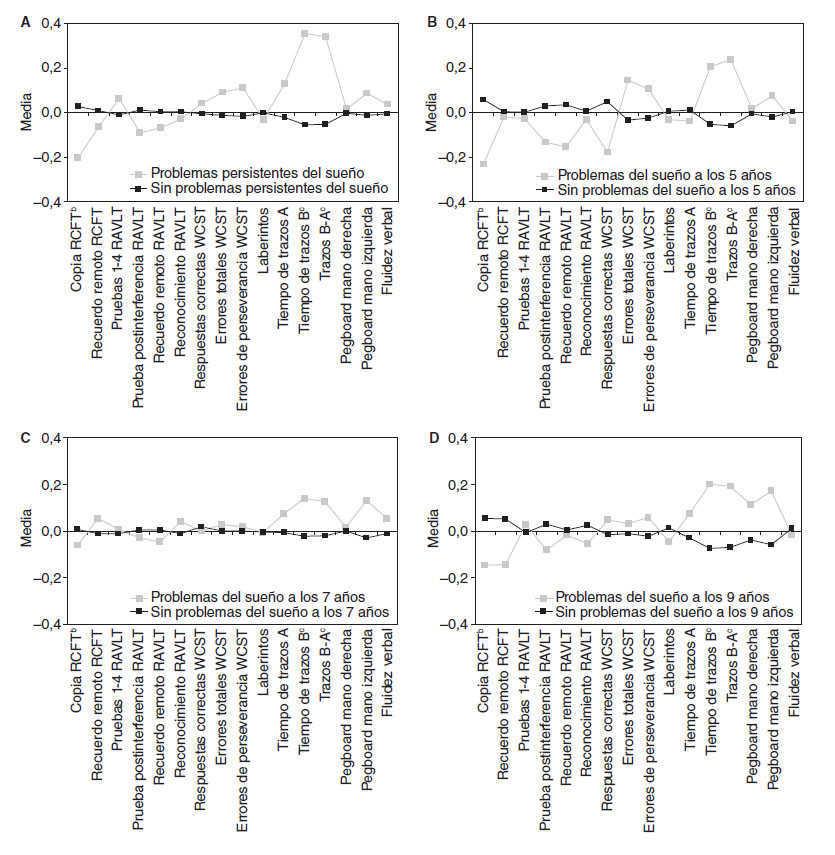
RESULTADOSProblemas persistentes del sueño en la infancia y funcionamiento neuropsicológico a los 13 años de edadTras controlar respecto al sexo y el NSE, los problemas persistentes del sueño a los 9 años de edad predijeron unas puntuaciones significativamente peores en 3 mediciones del funcionamiento neuropsicológico: la prueba de copia de Rey (β = –0,07 [intervalo de confianza (IC) del 95%: –0,15 a 0,00], p = 0,047); la prueba Trail Making, puntuación de la parte B, tiempo de cumplimentación (β = 0,14 [IC 95%: 0,06 a 0,21, p < 0,001), y la Trail Making Test, puntuación de la parte B menos puntuación de la parte A (β = 0,13 [IC 95%: 0,06 a 0,20], p = 0,001; véase también la fig. 1A).
Fig. 1. Problemas del sueño durante la infancia y funcionamiento neuropsicológico a los 13 años. A: problemas persistentes del sueño de los 5 a los 9 años de edad; B: problemas del sueño a los 5 años de edad; C: problemas del sueño a los 7 años de edad; D: problemas del sueño a los 9 años de edad. ap < 0,10, bp < 0,05 y cp < 0,01 según la significación estadística de los problemas del sueño en la predicción del funcionamiento neuropsicológico tras controlar respecto al sexo y al NSE de la familia. WCST: Wisconsin Card Sorting Test.
Problemas del sueño a los 5, 7 y 9 años de edad y funcionamiento neuropsicológico a los 13 años de edadExaminamos los problemas del sueño a distintas edades de la evaluación en asociación con el funcionamiento neuropsicológico posterior. A los 5 años de edad, tras controlar respecto al sexo y el NSE, los problemas del sueño predijeron un peor funcionamiento neuropsicológico manifiesto por: la puntuación de copia de Rey (β = –0,10 [IC 95%: –0,18 a –0,03], p = 0,005); el número de respuestas correctas en la Wisconsin Card Sorting Test (β = –0,09 [IC 95%: –0,17 a –0,02], p = 0,013); la prueba Trail Making, puntuación de la parte B, tiempo hasta la cumplimentación (β = 0,10 [IC 95%: 0,02 a 0,17], p = 0,012), y la prueba Trail Making, puntuación de la parte B menos la puntuación de la parte A (β = 0,11 [IC 95%: 0,04 a 0,18], p = 0,004; véase la fig. 1B). También se observó una tendencia no significativa a los problemas del sueño a los 5 años de edad para predecir las puntuaciones totales de error en la Wisconsin Card Sorting Test (β = 0,07 [IC 95%: –0,01 –0,14], p = 0,068). En la evaluación a los 7 años de edad, los problemas del sueño no predicen significativamente el rendimiento de cualquiera de las tareas neuropsicológicas (fig. 1C), aunque hubo diferencias en la misma dirección que en las demás edades. Tras controlar respecto al sexo y el NSE, los problemas del sueño a los 9 años de edad predijeron significativamente un peor funcionamiento neuropsicológico manifiesto por: la puntuación de copia de Rey (β = –0,08 [IC 95%: –0,16 a –0,01], p = 0,025); la puntuación de recuerdo remoto de Rey (β = –0,08 [IC 95%: –0,16 a –0,01], p = 0,023); la prueba Trail Making, puntuación de la parte B, tiempo de cumplimentación (β = 0,12 [IC 95%: 0,05 –0,19], p = 0,001); la prueba Trail Making, puntuación de la parte B menos puntuación de la parte A (β = 0,11 [IC 95%: 0,04 –0,18], p = 0,003), y el número de segundos para completar el Grooved Pegboard utilizando la mano izquierda (β = 0,09 [IC 95%: 0,01 –0,17], p = 0,01, el efecto persistió tras la exclusión de los zurdos; fig. 1D). Vale la pena destacar que todas las diferencias significativas entre quienes tenían y no tenían dificultades del sueño fueron de escaso efecto (β del orden de 0,1).
DISCUSIÓNResumenLos resultados aquí publicados son novedosos para demostrar una asociación longitudinal prospectiva (pero de pequeño efecto) entre las medidas de los problemas del sueño durante la infancia y el funcionamiento neuropsicológico en la adolescencia. Los resultados también resaltan la posibilidad de que las dificultades del sueño se asocian con mayor potencia con determinados aspectos del funcionamiento neuropsicológico (como el barrido visual complejo y la competencia motora medida por el Halstead Trail Making Test) que con otros (como la fluidez verbal).
LimitacionesDos importantes limitaciones caracterizan este trabajo. En primer lugar, los problemas del sueño se valoraron mediante puntos existentes en el informe de los padres. El empleo de esta medida fue necesario porque, como la mayoría de los demás estudios epidemiológicos, el estudio Dunedin no incluyó una medida detallada de los problemas del sueño durante la infancia. Esta limitación destaca por varias razones. Por ejemplo, los resultados pueden diferir en función del calificador21; y la inclusión de puntos generales para medir el sueño significa que se pudo informar de distintos problemas del sueño (como pesadillas, sonambulismo, insomnio). Además, nuestro método bruto (pero necesario) de clasificar los problemas del sueño como presentes o ausentes no captará las diferencias de la gravedad de las dificultades notificadas. En futuros estudios sería beneficioso examinar más detenidamente el sueño (p. ej., utilizando más calificadores y medidas y evaluando los participantes con dificultades en toda la gama, así como en los extremos). Desde luego, hubiera sido especialmente informativo haber incluido una medida de la alteración respiratoria del sueño, dada la importancia de este problema específico en asociación con el funcionamiento neuropsicológico notificado previamente6. Una segunda limitación de este estudio es que no medimos el funcionamiento neuropsicológico en la infancia ni los problemas del sueño en la adolescencia, lo que significa que no se pudo estudiar las hipótesis sobre la dirección de los efectos de las relaciones entre los problemas del sueño y el funcionamiento neuropsicológico.
InterpretaciónPese a las limitaciones, la confianza en los resultados proviene de las potencias de este estudio, consistentes en el empleo de toda una cohorte de nacimientos, la recogida de datos del sueño en numerosos momentos y la meticulosa valoración del funcionamiento neuropsicológico. En concreto, merece la pena analizar 3 puntos que destacan de los resultados. En primer lugar, una medición global de los problemas del sueño durante la infancia predijo el posterior funcionamiento neuropsicológico. Una posible explicación de las asociaciones longitudinales aquí informadas es que sencillamente reflejan la conocida estabilidad de los problemas del sueño con el tiempo39 y las conocidas asociaciones entre dificultades del sueño y funcionamiento neuropsicológico17. Una explicación alternativa es que los problemas del sueño producen dificultades neuropsicológicas. Esto concuerda con una hipótesis dominante de la relación entre alteración respiratoria durante el sueño y funcionamiento neuropsicológico que sugiere que la alteración del sueño podría retrasar el desarrollo neurológico y de las habilidades6. Aunque estudios anteriores han demostrado la mayor probabilidad de encontrar problemas del sueño en los niños con intensas dificultades intelectuales en comparación con otros40, es importante observar que este estudio excluyó a los participantes con un CI particularmente bajo, lo que sugiere que las relaciones entre el sueño y el funcionamiento neuropsicológico podrían encajar en el contexto del funcionamiento normal. La explicación final a considerar de la relación entre el sueño y el funcionamiento neuropsicológico es que determinados factores que no se abordan aquí (como la desorganización familiar, las dificultades emocionales) están ligados tanto a los problemas del sueño como al posterior funcionamiento neuropsicológico y explican su asociación. La evaluación del sueño y el funcionamiento neuropsicológico en varios momentos, así como de los posibles factores coetáneos, permitiría estudiar las hipótesis acerca de los mecanismos por los que los problemas del sueño se asocian con el posterior funcionamiento neuropsicológico.
El segundo punto de interés se refiere a la valoración de los problemas del sueño en varios momentos. Los problemas del sueño a los 5 y a los 9 años de edad predijeron el posterior funcionamiento neuropsicológico, aumentaron la confianza en los resultados al conseguir una reiteración interna. Lo más sorprendente es que los datos del sueño a los 7 años de edad destacan por no estar asociados con una medida del posterior funcionamiento neuropsicológico. Este hallazgo podría reflejar la posibilidad de que los problemas del sueño son más o menos significativos a determinadas edades. Por ejemplo, 7 años es la edad a la que muchos niños pasan a nuevas escuelas, y los problemas del sueño de los niños de esta edad podrían estar asociados con cambios relacionados (como cambios en la hora de inicio de las clases). Es posible especular que estos problemas podrían ser temporales y no estar asociados con dificultades posteriores. Sin embargo, es importante observar que las diferencias por la edad fueron inesperadas, por lo que es necesario repetirlas antes de poder ser consideradas de importancia.
En tercer lugar, los problemas del sueño parecieron estar asociados con mayor potencia con determinados aspectos del funcionamiento neuropsicológico que con otros. Como demostró un estudio anterior centrado en la alteración respiratoria del sueño, hubo una asociación entre las dificultades del sueño y el rendimiento de la tarea de copia de Rey12. Los problemas del sueño también parecieron robustamente asociados con el rendimiento en la prueba de unir puntos. Esta última asociación pareció relativamente específica porque los problemas del sueño se asociaron con el rendimiento en la prueba B (tarea de procesamiento con esfuerzo) en comparación con la prueba A (tarea de procesamiento automático). Esto sugiere que los problemas del sueño pueden estar relacionados con el mayor grado de las demandas sobre la memoria de trabajo y la flexibilidad intelectual impuesta por la prueba B en lugar de las más sencillas sobre la atención y la vigilancia impuesta por la prueba A. Esta interpretación concuerda con las sugerencias de otros autores, en el sentido que el funcionamiento cortical prefrontal es especialmente sensible a los efectos de la privación del sueño41. Al contrario que las asociaciones notificadas, no parece haber demasiado apoyo para las asociaciones entre los problemas del sueño y el rendimiento en las demás tareas, como la auditiva de Rey y los laberintos. Alguna de las tareas incluidas en la batería de pruebas neuro-psicológicas se utiliza para examinar la alteración cerebral específica, de forma que, como no esperábamos una lesión cerebral específica en los miembros del Dunedin Study, este patrón de resultados encaja bien con las expectativas.
ImplicacionesLos hallazgos clave informados aquí tienen implicaciones para la futura investigación y la práctica clínica. Respecto al futuro trabajo, los resultados de este estudio coinciden con informes anteriores17, lo que indica que el examinar las relaciones entre el sueño y el funcionamiento neuropsicológico puede ser el ámbito para examinar una gama más amplia de dificultades del sueño que la alteración respiratoria del sueño (aunque desde luego puede ser que las asociaciones notificadas aquí pudieran estar impulsadas por los miembros del estudio con alteraciones respiratorias del sueño). Respecto a la práctica clínica, este estudio acrecienta la bibliografía que sugiere que los problemas del sueño de la infancia no sólo se asocian con los problemas concurrentes, sino con una gama de dificultades más adelantada la vida. Desde luego, hemos publicado una relación entre la medida persistente del sueño aquí mencionada y los trastornos de ansiedad en la edad adulta, utilizando los datos del Dunedin Study24. Estos hallazgos apoyan la sugerencia de que los problemas del sueño deberían evaluarse rutinariamente en los niños. Una vez identificados, se deben abordar, como indican los estudios que subrayan la mejoría del grado tras el tratamiento del síndrome de la apnea obstructiva del sueño23 y la mejoría del funcionamiento neuroconductual tras la extensión del sueño42. Destaca la posible importancia de abordar rápidamente los problemas del sueño; un informe presentó resultados compatibles con la idea de que parte de los efectos de los problemas del sueño sobre el posterior funcionamiento neuropsicológico pueden ser irreversibles23. Aunque el informe antes mencionado se centró en una alteración respiratoria del sueño y propuso la hipoxia como posible causa de la alteración neuropsicológica irreversible, puede haber otras explicaciones. La mayor comprensión de, e inversión en, los problemas del sueño infantil parece ser un camino importante para el futuro.
AGRADECIMIENTOSEl Dunedin Multidisciplinary Health and Development Research Unit está financiado por el New Zealand Health Research Council. Esta investigación fue financiada por las becas MH 9414 y MH 5070 del US National Institute of Mental Health y la beca G0100527 del United Kingdom Medical Research Council. El Dr. Gregory estuvo financiado por una beca de investigación Leverhulme. Los Dres. Caspi y Moffitt poseen el premio de mérito en la investigación Wolfson de la Royal Society.Damos las gracias a los miembros del Dunedin Study, al personal de la unidad de investigación, Alan Taylor, HonaLee Harrington y Phil Silva.
Correspondencia: Alice M. Gregory, PhD, Goldsmiths College, Psychology Department, University of London, Lewisham Way, New Cross, Londres SE14 6NW, Reino Unido.
Correo electrónico: a.gregory@gold.ac.uk


