La hipotensión es uno de los diagnósticos más frecuentes asignado a los recién nacidos de edad gestacional extremadamente baja (RNEGEB), y los tratamientos para aumentar la tensión arterial se utilizan con frecuencia en esta población1. Estos tratamientos se administran bajo la presunción de que el aumento de la tensión arterial incrementa la perfusión tisular y que, por debajo de un valor umbral, la perfusión de los órganos vitales está comprometida, lo que provoca la disfunción celular y la lesión tisular2. Se desconoce la gama de tensión arterial que mantiene una perfusión adecuada y previene la lesión en los neonatos prematuros extremos3. Además, la tensión arterial depende del flujo sanguíneo sistémico, el gasto cardíaco y la resistencia vascular sistémica. De todos modos, la mayoría de los clínicos utiliza la tensión arterial como sustituto de perfusión tisular adecuada4-7. Hasta ahora, la gama de tensión arterial “normal” se ha derivado de la distribución de la tensión arterial en poblaciones de neonatos no tratados de hipotensión. Mediante este abordaje se ha desarrollado una gama “normal” para los grupos de edad gestacional y de peso al nacimiento que constituyen la base para las recomendaciones de tratamiento de la tensión arterial baja8-16. Además, son pocos los estudios de los tratamientos habitualmente utilizados para la hipotensión con resultados a largo plazo clínicamente relevantes17.
El principal problema de utilizar una población no tratada para definir a los neonatos con tensión arterial anormal es que el tratamiento de la “hipotensión” depende de las decisiones tomadas por los clínicos sin conocimiento directo de las consecuencias de los distintos valores de tensión arterial, la resistencia vascular sistémica o el gasto cardíaco. Otro problema es que estudios anteriores, diseñados para examinar la incidencia de hipotensión, incluyeron a una cifra relativamente pequeña de neonatos de las mínimas edades gestacionales, que tienen muchas probabilidades de mostrar una morbilidad asociada con la hipotensión.
En este estudio tuvimos tres objetivos: 1) describir la distribución de las mediciones de la mínima tensión arterial en una gran cohorte de RNEGEB utilizando la decisión del médico de tratar la tensión arterial baja como indicador de la preocupación del clínico por la probabilidad de alteración de la perfusión; 2) comparar la mínima tensión arterial de los RNEGEB que recibieron tratamiento por tensión arterial baja con la de quienes no recibieron este tratamiento, y 3) evaluar las diferencias institucionales del empleo de tratamientos de la tensión arterial baja.
PACIENTES Y MÉTODOSTodos los neonatos nacidos entre 23 y 27 semanas y 6 días de gestación, entre marzo de 2002 y agosto de 2004, en una de las 14 instituciones, fueron elegibles para la inclusión en el estudio Extremely Low Gestational Age Newborn (ELGAN), diseñado para identificar los antecedentes del daño cerebral en los neonatos pretérmino. Se incluyó al 83% de los neonatos elegibles. La tasa de inclusión por centro osciló entre el 67% y el 93%. Sin embargo, el proceso de consentimiento fue distinto en los diferentes centros. Algunos centros realizaron la inclusión al ingreso de la madre por amenaza de parto pretérmino. Otros no intentaron la inclusión hasta después del parto o del ingreso en launidad de cuidados intensivos neonatales. Los comités de Ética de cada institución aprobaron el estudio ELGAN, y se obtuvo el consentimiento informado por escrito antes de la inclusión. Todas las variables y los resultados fueron definidos a priori, y el personal de investigación recibió entrenamiento antes del inicio del estudio. Los datos históricos, demográficos y clínicos se tomaron de las historias clínicas maternas y neonatales, y se examinó la placenta en busca de evidencia de inflamación.
Los datos tomados de la historia materna fueron la raza, la etnia, las complicaciones del embarazo, el embarazo múltiple y la duración del embarazo. La edad gestacional vino determinada por una jerarquía descendente: ecografía fetal antes de las 14 semanas (63%), ecografía entre 14 y 18 semanas (17%), ecografía después de las 18 semanas congruente con la información materna de la fecha de la última regla (13%) y sólo fecha de la última regla (7%). Un anatomopatólogo que desconocía la historia materna y utilizó las definiciones operativas predefinidas determinó, tras los procedimientos de entrenamiento para reducir al mínimo la variabilidad interobservador, la presencia de corioamnionitis (definida por la presencia de leucocitos polimorfonucleares en el corion o el amniocorion) y de funiculitis (definida por la presencia de leucocitos polimorfonucleares en la pared de un vaso sanguíneo del cordón umbilical o de la placa coriónica).
Se informa de las mediciones de la tensión arterial neonatal de los días 0 a 6 tras el parto. Como las primeras 24 horas de vida constituyen un período de tiempo crucial en un RNEGEB, el día 0 comenzó en el momento del parto y duró hasta las 24 horas de vida. El día 1 comenzó al final de las primeras 24 horas de vida y finalizó a la medianoche de ese día. Por ejemplo, si un neonato nació a la 1 del mediodía del 1 de enero, el día 0 abarcó las siguientes 24 horas, hasta la 1 del mediodía del 2 de enero. El día 1 comenzó a la 1 del mediodía del 2 de enero y duró hasta la medianoche (11 horas). Así pues, la duración del día 1 varía, y siempre es el “día corto”. Los días 2 a 6 comenzaron y finalizaron a medianoche. La tensión arterial media se midió directamente mediante un catéter intraarterial o a partir de un manguito automático de tensión arterial. No registramos los aparatos oscilométricos utilizados.
Para identificar la tensión arterial que motivó intervención, comparamos diariamente los diagramas de cajas de la mínima tensión arterial de los neonatos que recibieron cualquier tratamiento de la hipotensión, consistente en vasopresores (dopamina, dobutamina y adrenalina) o líquidos a más de 10 ml/kg/día, con los de los neonatos que no recibieron tratamiento18. El tratamiento hídrico fue registrado como la cantidad total recibida por día y consistió en suero fisiológico o lactato de Ringer; de forma que, para evitar la cantidad acumulada de bolos líquidos, consideramos que una cantidad total superior a 10 ml/kg/día era un tratamiento de la hipotensión. Las comparaciones fueron realizadas en 4 grupos de edad gestacional (23-24, 25, 26, 27 semanas). Como aceptamos la posibilidad de que algunos neonatos recibieran tratamiento líquido superior a 10 ml/kg/día por anomalías de la perfusión tisular, escasa diuresis u otras indicaciones que pudieran estar o no directamente relacionadas con la baja tensión arterial, examinamos más detenidamente a los neo-natos que recibieron tratamiento vasopresor en análisis de los factores de riesgo de tratamiento y de la variación por centro. No incluimos la administración de productos sanguíneos como tratamiento de la hipotensión porque no pudimos distinguir este empleo del tratamiento de un trastorno hematológico (transfusión de concentrado de hematíes para el tratamiento de la anemia). No incluimos los corticoides como tratamiento de la hipotensión porque todos los pacientes que recibieron corticoides también recibieron vasopresores, excepto 10. Estos pacientes estaban en centros en que se realizaba un ensayo aleatorizado controlado de corticoides. Así pues, se excluyó a estos 10 pacientes porque no tuvimos manera de conocer si los pacientes recibieron corticoides o placebo.
Examinamos los posibles factores de riesgo de cualquier tratamiento y de tratamiento vasopresor, consistentes en el sexo, la edad gestacional, el peso al nacimiento, la puntuación Z, la raza materna, la recepción de corticoides prenatales, la corioamnionitis, la funiculitis, las complicaciones del embarazo, el embarazo múltiple, la puntuación de Apgar y la puntuación Score for Neonatal Acute PhysiologyI-II19 (SNAP-II). La puntuación Z de peso al nacimiento es el número (y la dirección) de desviaciones estándar a las que se encuentra el peso al nacimiento del neonato de una presunta media para la edad gestacional20. Consideramos estos posibles factores de confusión al examinar las diferencias entre los centros respecto al empleo de cualquier tratamiento y del tratamiento vasopresor durante los 7 primeros días de vida.
Evaluamos las asociaciones entre las características de los sujetos y la falta de tratamiento o el tratamiento con bolos de líquido, vasopresores, o ambos, o entre la ausencia de tratamiento y el tratamiento sólo con vasopresores, mediante el test exacto de Fisher. Las características que distinguieron a los grupos con un valor de p µ 0,3021 fueron incluidas en los análisis de regresión logística que evaluaron la tendencia a tratar de cada uno de los 14 centros en algún momento de los primeros 7 días.
RESULTADOSEl estudio ELGAN incluyó a 1.507 neonatos; 1.387 sobrevivieron a la primera semana posnatal y aportaron datos a este análisis. Hubo 119 fallecimientos. No pudimos recoger información sobre 46 de los 76 neonatos (61%) que murieron durante las primeras 48 horas de vida. No pudimos recoger información sobre 18 de los 43 neonatos (42%) que fallecieron entre las 48 horas y los 6 días de vida. Además, algunos centros tomaron datos de todos los neonatos nacidos entre 23 y 27 semanas, mientras que otros sólo tomaron los datos de los neo-natos ingresados en la unidad de cuidados intensivos neonatales. Además, como estábamos examinando factores que pudieran estar relacionados con el tratamiento durante la primera semana posnatal, cada neonato tuvo que ser “elegible” para el tratamiento durante toda la semana. Así, optamos por no incluir en este análisis a los neonatos que fallecieron durante la primera semana. La descripción de la población de estudio (tabla 1) revela que el 45% de los pacientes había nacido entre las 23 y 25 semanas de gestación, y que el 55% había nacido entre las 26 y 27 semanas de gestación. Cerca del 20% de las puntuaciones Z del peso al nacimiento estaba más de una desviación estándar por debajo de la media externa20. Más del 30% de los neonatos eran producto de un embarazo múltiple. Casi el 90% estuvo expuesto a al menos una dosis de corticoides prenatales. Casi el 50% de las placentas mostró evidencia de amnionitis y el 42% de funiculitis.
El tratamiento de la hipotensión durante la primera semana posnatal comenzó en las primeras 24 horas de vida en el 90%, 89%, 91% y 89%, respectivamente, de los neonatos nacidos a las 23-24, 25, 26 y 27 semanas de gestación posteriormente tratados. Respecto al global de recién nacidos, el porcentaje de neonatos que recibió tratamiento los días siguientes durante la primera semana de vida disminuyó en todos los grupos de edad, aunque la probabilidad de tratamiento siempre fue mayor en los neonatos menos maduros (tabla 2). El día 6 recibía tratamiento el 69% de los neonatos de 23-24 semanas de gestación, frente al 26% de los de 27 semanas.
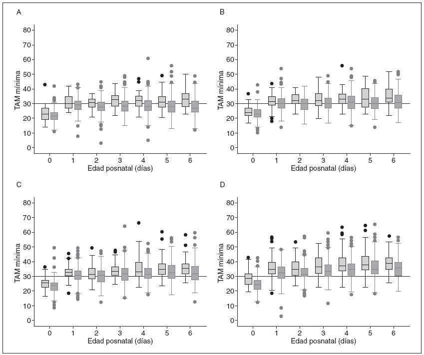
Entre los neonatos que sobrevivieron a la primera semana posnatal, los tratados tendieron a mostrar menores tensiones arteriales cada día (fig. 1). Esta diferencia existía el primer día de vida, lo que refleja diferencias antes del inicio del tratamiento, y persistió durante la primera semana posnatal, lo que reflejó los valores de la tensión arterial durante y tras el cese del tratamiento. Aunque las diferencias de las medianas no son grandes, los neonatos tratados tendieron a mostrar patillas más largas (definidas en el pie de la figura) que los no tratados. Esto indica una mayor variabilidad de la tensión arterial en el mínimo cuartil. Tomando como grupo de referencia a los neonatos no tratados de hipotensión, los que recibieron tratamiento tuvieron más probabilidades de ser menos maduros, tener una menor puntuación Z del peso al nacimiento, mayor puntuación SNAP-II (todas las p µ 0,0005) y varones (p = 0,03 con cualquier tratamiento, p = 0,007 con tratamiento farmacológico) (tabla 1).
Fig. 1a-d. Mínima tensión arterial media (TAM) los días 0-6 después del nacimiento de los neonatos que sobrevivieron a la primera semana por edad gestacional. Las cajas con borde oscuro indican los datos de los neonatos que recibieron cualquier tratamiento por tensión arterial baja en cualquier momento de la primera semana de vida; las cajas con borde claro indican los datos de los neonatos no tratados por una tensión arterial baja. La caja muestra por percentiles 25 a 75; la línea central representa la mediana; las patillas marcan el dato real más próximo a 1,5 veces el rango intercuartil. Los puntos representan resultados extremos. A. Neonatos nacidos a las 23 y 24 semanas (n = 331). B. Neonatos nacidos a las 35 semanas (n = 289). C. Neonatos nacidos a las 26 semanas (n = 338). D. Neonatos nacidos a las 27 semanas (n = 429).
TABLA 1. Características y antecedentes asociados con el tratamiento de la hipotensión
TABLA 2. Porcentajes específicos de edad gestacional y posnatal de neonatos que sobrevivieron a la primera semana posnatal y recibieron cualquier tratamiento de la hipotensión
Los centros difirieron considerablemente en el porcentaje de neonatos tratados (tabla 3). Por ejemplo, en el centro que trató el menor porcentaje de neonatos, el 29% recibió cualquier tratamiento y el 6% tratamiento farmacológico. En el centro que ofreció tratamiento al mayor porcentaje de neonatos, el 98% recibió cualquier tratamiento y el 64% tratamiento vasopresor. Tomando el centro que trató al mínimo porcentaje como grupo de referencia, utilizamos los análisis de regresión logística para evaluar la tendencia a tratar de cada centro. El ajuste respecto a los factores maternos y neonatales de riesgo produjo poco efecto sobre la proporción prevista de neonatos tratados por hipotensión. La mínima TAM del día de tratamiento varió ampliamente, pero no se correlacionó con la probabilidad de tratamiento por centro; los centros con menor TAM el primer día de tratamiento no trataron a más neonatos ni los centros con mayor TAM el primer día de tratamiento trataron a menos neo-natos.
TABLA 3. Variación por centro de los tratamientos
DISCUSIÓNEn una gran cohorte de RNEGEB describimos la distribución de las mínimas tensiones arteriales en la primera semana de vida de la relativamente pequeña proporción de neonatos que no recibió tratamiento por hipotensión y, por separado, en los neonatos que recibieron cualquier tratamiento ese día. Como hemos indicado anteriormente, la mínima tensión arterial aumenta tanto con la edad gestacional como con la edad posnatal8-16,22. Más del 80% de los neonatos recibió algún tipo de tratamiento de la hipotensión. La menor edad gestacional, el menor peso al nacimiento, el sexo masculino y las mayores puntuaciones de gravedad de la enfermedad (puntuación SNAP-II) reasociaron con el tratamiento. Tras el ajuste respecto a estos factores, ningún otro factor clínico influyó sobre la probabilidad de recibir tratamiento. Específicamente, la corioamnionitis, la funiculitis y el desprendimiento de placenta no aumentaron la probabilidad de tratamiento. Este hallazgo es similar al de Yanowitz et al23, quienes demostraron que la tensión arterial durante la primera semana de vida es menor entre los neonatos de muy bajo peso al nacimiento con inflamación de los vasos fetales sólo cuando la edad gestacional es superior a 29 semanas. Estos resultados también concuerdan, en general, con otros informes, excepto en que no identificamos la hipertensión inducida por el embarazo como factor asociado con una mayor tensión arterial12. Es posible que el estudio actual permitiese una exploración más precisa de la influencia de otros factores de confusión que el estudio de Hegyi et al12. El principal criterio de inclusión en ese estudio fue el peso al nacimiento, de forma que sería de esperar que los factores asociados con la restricción del crecimiento fetal (como la hipertensión inducida por el embarazo) se asociasen con una mayor edad gestacional. Por el contrario, nuestra cohorte de estudio incluyó a los neonatos por la edad gestacional en vez de por el peso al nacimiento, lo que reduce al mínimo el posible sesgo de la cohorte definida por el peso al nacimiento, la inclusión de una mayor proporción de neonatos más maduros con restricción del crecimiento. Esta diferencia del diseño del estudio pudo contribuir a la variación de los resultados observados entre estos estudios24.
La hipotensión durante la primera semana posnatal es un fenómeno que se identifica y trata tempranamente, por lo general durante las primeras 24 horas. El porcentaje de neonatos que recibió tratamiento por día de vida es inversamente proporcional a la edad gestacional, lo que indica la mayor probabilidad de la persistencia de un estado patológico en los neonatos menos maduros. Un hallazgo singular de este estudio es que la tensión arterial de los neonatos tratados siguió siendo menor que la de los no tratados, durante y después de finalizar el tratamiento. Esta observación tiene varias explicaciones posibles. El objetivo de los clínicos puede no ser conseguir una TAM comparable a la de los neonatos no tratados sino mejorar la perfusión, la diuresis o alguna otra indicación clínica de una tensión arterial adecuada en un neonato en especial. Los tratamientos para aumentar la tensión arterial pueden ser menos eficaces que lo deseado en esta población o, alternativamente, los médicos “persiguen” una tensión arterial inferior a lo que se considera aceptable en una edad gestacional en particular. Por ejemplo, la TAM “objetivo” de algunas unidades puede ser de 24 mm Hg para un neonato de 24 semanas. No podemos esperar que los niños tratados tengan una TA similar a menos que los médicos “persigan” la media observada en los niños no tratados.
Como hemos mencionado con anterioridad, observamos una notable diferencia entre los centros respecto a la tendencia a utilizar tratamientos de la hipotensión22. Esta variabilidad no se explica por la variación de los atributos neonatales ni por las diferencias de la distribución de tensión arterial por centro. Otras posibles explicaciones de la variación entre centros son las diferencias de las prácticas asistenciales que pueden influir secundariamente sobre la tensión arterial, como la presión positiva en las vías respiratorias, las variaciones de la percepción de la necesidad del tratamiento y las variaciones de la percepción de la eficacia del tratamiento de la tensión arterial. Este hallazgo de una gran variación de tratamiento entre los centros demuestra que los estudios anteriores sobre neonatos no tratados, cuyos datos han sido utilizados para definir la tensión arterial “normal”, pueden reflejar mejor las preferencias de los médicos que el bienestar.
Las gamas de tensión arterial observadas en los neo-natos no tratados de hipotensión parecen conllevar información acerca de las prácticas de tratamiento y de los atributos neonatales, como la edad gestacional y posnatal, pero no necesariamente identifican un rango de tensión arterial en el que el tratamiento no sea beneficioso. Las pequeñas diferencias de tensión arterial entre los neonatos tratados y los no tratados plantean la posibilidad de una clasificación errónea. Por ejemplo, los neo-natos con perfusión tisular normal pudieran haber sido tratados. Datos recientes indican que los neonatos autorregulan el flujo sanguíneo a los órganos vitales en mayor medida que lo anteriormente aceptado25; por lo tanto, la tensión arterial puede ser, por sí sola, un mal factor de predicción de la necesidad de tratamiento. De forma similar, algunos neonatos con una tensión arterial considerada normal, y no tratados, pudieron sufrir de una perfusión insuficiente del órgano efector.
Este estudio tiene varias posibles limitaciones. Informamos de las tensiones arteriales registradas a la cabecera, y no podemos estar seguros de que reflejen exactamente la verdadera variabilidad. Además, algunas mediciones se realizaron con transductores en vías arteriales centrales o periféricas, y otras con un manguito de tensión arterial. Incluimos en los tratamientos de la tensión arterial a la mayoría (fármacos y emboladas de líquido), pero no a todas las formas posibles de tratamiento. Además, sólo informamos de la TAM porque el registro de la tensión arterial sistólica y diastólica no formó parte del estudio ELGAN. Por el diseño de la recogida de datos del estudio ELGAN, no pudimos distinguir entre dopamina, dobutamina o adrenalina como parte del tratamiento vasopresor.
CONCLUSIÓNEn resumen, nuestros resultados apoyan las relaciones anteriormente publicadas entre la edad gestacional, la creciente edad posnatal y la tensión arterial. Además, identificamos relaciones entre menor tensión arterial y tanto sexo masculino como gravedad de la enfermedad.
Aunque la mayoría de los neonatos de las edades gestacionales más tempranas recibió algún tratamiento, hubo una marcada variabilidad entre los centros. Nuestra observación de que esta variación no se explica por las diferencias de los atributos neonatales ni la distribución de la TAM en los distintos centros indica una falta de uniformidad respecto a la definición de hipotensión que necesita tratamiento. Estos hallazgos ponen en tela de juicio la validez de las definiciones tanto de normotensión como de hipotensión derivadas de la mayoría de los estudios anteriores, ya que ambas definiciones dependen de si el neonato recibió tratamiento para aumentar la tensión arterial. Los actuales tratamientos de la hipotensión no parecen conseguir uniformemente una tensión arterial comparable a la observada en una población no tratada.
AGRADECIMIENTOSLos autores dan las gracias a los investigadores principales de los centros del estudio ELGAN: Bhavesh L. Shah, Baystate Medical Center (Springfield, Massachusetts); Camilia Martin, Beth Israel Deaconess Medical Center (Boston, Massachusetts); Linda van Marter, Brigham and Women’s Hospital (Boston, Massachusetts); Karl Kuban, Boston Medical Center (Boston, Massachusetts); Robert Insoft, Massachusetts General Hospital (Boston, Massachusetts); Francis Bednarek, University of Massachusetts Memorial Health Center, Worcester (Boston, Massachusetts); Cynthia Cole and John Fiascone, New England Medical Center (Boston, Massachusetts); Richard Ehrenkranz, Yale-New Haven Hospital (New Haven, Connecticut); T. Michael O’Shea, Wake Forest University/Baptist Medical Center (Winston-Salem, North Carolina); Stephen C. Engelke, University Health Systems of Eastern Carolina (Greenville, North Carolina); Carl Bose, University of North Carolina, Chapel Hill (Chapel Hill, North Carolina); Mariel Poortenga, DeVos Chil-dren’s Hospital (Grand Rapids, Michigan); Padmani Karna, Sparrow Hospital (Lansing, Michigan); Michael D. Schreiber, University of Chicago Hospital (Chicago, Illinois); Daniel Batton, William Beaumont Hospital (Royal Oak, Michigan).
Este estudio fue financiado por la beca NINDS número 5U01NS040069-04.
Correspondencia: Matthew Laughon, MD, MPH, Division of Neonatal-Perinatal Medicine, UNC Hospital, CB 7596, Chapel Hill, NC 27599-7596, Estados Unidos.
Correo electrónico: matt_laughon@med.unc.edu





