Los calendarios vacunales anuales recomendados para los niños y adolescentes de Estados Unidos para 2007 fueron aprobados por la American Academy of Pediatrics, el Advisory Committee on Immunization Practices de los Centers for Disease Control and Prevention y de la American Academy of Family Physicians. Estos calendarios reflejan las recomendaciones actuales para el uso de las vacunas autorizadas por la US Food and Drug Administration. A la vista de la creciente complejidad de las pautas de inmunización, las recomendaciones del año 2007 para los niños y adolescentes se han dividido en dos calendarios separados: uno para los niños de 0 a 6 años de edad y otro para los de 7 a 18 años.
Los calendarios para el año 2007 presentan los siguientes cambios importantes:
- La incorporación de la vacuna oral frente a rotaviruspara su administración rutinaria a todos los lactantes de 2, 4 y 6 meses de edad1.
- La administración rutinaria de una segunda dosis dela vacuna de la varicela entre los 4 y 6 años de edad.
- La incorporación de la vacuna frente al papilomavi-rus humano para las mujeres de 11 a 12 años de edad, con una inmunización de puesta al día para las mujeres de 13 a 18 años de edad. Esta vacuna, administrada por vía intramuscular en una serie de 3 dosis a los 0, 2 y 6 meses, previene la mayor parte de los casos de cáncer cervical y verrugas genitales.
- Los límites de edad para la administración anual ru-tinaria de la vacuna antigripal se han ampliado a los niños de 6 a 59 meses de edad y a los contactos cercanos de los niños de 0 a 59 meses de edad2.
Deben comunicarse al Vaccine Adverse Event Reporting System (VAERS) los efectos adversos clínicamente importantes que aparecen después de una inmunización. Las pautas sobre cómo obtener y cumplimentar un formulario VAERS pueden obtenerse en internet en www.vaers.hhs.gov o llamando al teléfono 800-822-7967. Se puede obtener información sobre la aparición de nuevas vacunas, el suministro de las mismas e informes sobre determinadas vacunas en www.aap.org o en www.cdc.gov/nip. Las puestas al día relacionadas con las vacunas se hallan disponibles en www.aapredbook.org.
Calendario vacunal recomendado para los niños y adolescentes de Estados Unidos, 2007
Calendario vacunal recomendado para los niños y adolescentes de Estados Unidos, 2007 (cont)
Calendario vacunal recomendado para los niños y adolescentes que empiezan tarde la pauta de vacunación o se retrasan en más allá de un mes Estados Unidos (año 2006)
En estas tablas se exponen pautas de puesta al día de las vacunaciones e intervalos mínimos entre dosis para los niños que presentan un retraso en las vacunaciones.
No es necesario reiniciar una serie vacunal independientemente del tiempo transcurrido entre las dosis. Se debe utilizar la pauta adecuada para la edad del niño.
Pauta de puesta al día para niños de 4 meses a 6 años de edad
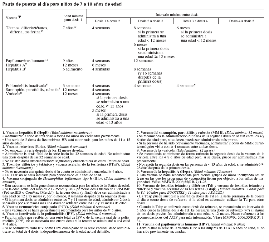
Pauta de puesta al día para niños de 7 a 18 años de edad
COMMITTEE ON INFECTIOUS DISEASES, 2006-2007
Joseph A. Bocchini, Jr., MD, presidente Robert S. Baltimore, MD Henry H. Bernstein, DO John S. Bradley, MD Michael T. Brady, MD Penelope H. Dennehy, MD Margaret C. Fisher, MD Robert W. Frenck, Jr., MD David W. Kimberlin, MD Sarah S. Long, MD Julia A. McMillan, MD Lorry G. Rubin, MD
COORDINADORESRichard D. Clover, MD, American Academy of Family Physicians Marc A. Fisher, MD, Centers for Disease Control and Prevention Richard L. Gorman, MD, National Institutes of Health Douglas R. Pratt, MD, Food and Drug Administration Anne Schuchat, MD, Centers for Disease Control and Prevention Benjamin Schwartz, MD, National Vaccine Program Office Jeffrey R. Starke, MD, American Thoracic Society Jack Swanson, MD, Practice Action Group
EX OFFICIOLarry K. Pickering, MD, editor de Red Book
CONSULTOREdgar O. Ledbetter, MD
STAFFAlison Siwek, MPH





