Existen evidencias empíricas que relacionan las alteraciones en las funciones ejecutivas con la aparición de conductas antisociales. No obstante, la mayoría de las investigaciones se han enfocado en los componentes cognitivos («fríos») de este proceso soslayando el papel de los procesos emocionales («calientes»), como por ejemplo la toma de decisiones.
ObjetivoExplorar el proceso de toma de decisiones en una muestra de jóvenes con conductas antisociales comparados con un grupo de iguales con comportamiento prosocial.
Sujetos y materialesSe evaluó a 84 jóvenes divididos en 2 grupos de 42 sujetos, uno integrado por jóvenes con conductas antisociales y con conducta social adecuada. Para la evaluación se empleó el Iowa Gambling Task, específicamente la versión incluida en el Psychology Experiment Building Language. Para el análisis se tuvieron en cuenta las selecciones por paquetes de cartas, el índice general de toma de decisiones y el rendimiento por bloques de 20 ensayos.
ResultadosSe encontraron diferencias estadísticamente significativas con tamaños de efecto grande en las 3 dimensiones evaluadas. Los jóvenes con conducta antisocial presentaron un peor rendimiento en las selecciones por paquetes, el índice general de toma de decisiones y una curva de aprendizaje ajustada a selecciones desventajosas y de riesgo, en comparación con el grupo control.
ConclusionesEstos resultados sugieren la existencia de alteraciones en el proceso de toma de decisiones en los jóvenes con conducta antisocial, caracterizados por dificultades en el procesamiento de las contingencias asociadas a las decisiones desventajosas, que pudieran indicar una disfunción de la corteza orbitofrontal.
Empirical evidence linking alterations in executive functions with the emergence of antisocial behavior. However most research has focused on («cold») cognitive components of this process bypassing the role of («hot») emotional processes, such as decision making.
ObjectiveEvaluate the decision-making process in a sample of youth people with antisocial behavior compared with a group of peers with adequate social behavior.
Subjects and materials84 boys divided into two groups of 42 subjects, one composed by youth people with antisocial behavior and the other group composed by youth people with appropriate social behavior. For the evaluation was used the Iowa Gambling Task, specifically the version included in the Psychology Experiment Building Language. The analysis took into account the selections of individuals decks of cards, the overall rate of decision-making and the performance by blocks of 20 trials.
ResultsStatistically significant differences, with large effect sizes in three dimensions evaluated were found. Young people with antisocial behavior performance worse in individuals decks selections, the overall rate of decision making, and general learning curve compared with the control group.
ConclusionsThese results suggest the existence of alterations in decisions making process in youth people with antisocial behavior, characterized by difficulties in processing the contingencies associated with the disadvantageous decisions, which might indicate dysfunction in orbitofrontal cortex.
Las funciones ejecutivas pueden definirse como un mecanismo de control cognitivo-emocional que dirige y coordina el comportamiento humano de manera adaptativa, cuando no existen esquemas prestablecidos de actuación1. Aunque desde un punto de vista teórico no existe un consenso sobre la definición de este término, suele asumirse que el mismo se refiere al control de la cognición y la regulación de la conducta a través de un conjunto de procesos cognitivos relacionados entre sí2.
Tradicionalmente se ha considerado que las funciones ejecutivas agrupan un número de habilidades necesarias para la autorregulación del comportamiento de una manera socialmente responsable. Por esta razón, se ha planteado que un déficit en alguno de los procesos que integran el constructo facilitaría la aparición de conductas socialmente inapropiadas, incapacidad para planificar acciones y resolver problemas, así como un incremento en la agresividad y los comportamientos impulsivos3,4.
A partir de esta idea central, un número importante de investigaciones se han conducido con el propósito de comprobar si existe una relación entre el funcionamiento ejecutivo y los comportamientos antisociales. De esta forma, se ha establecido que las personas con trastorno antisocial de la personalidad, psicopatía y trastornos de conducta presentan dificultades en la realización de pruebas neuropsicológicas que evalúan el funcionamiento ejecutivo5,6. En investigaciones recientes se han comprobado además alteraciones en el funcionamiento ejecutivo en el caso de personas con características de personalidad como la agresividad, acompañado de una reducción del funcionamiento de las estructuras prefrontales7.
Sin embargo, la mayor parte de los estudios realizados con personas de probada antisocialidad (criminales violentos, psicópatas, etc.) se han conducido a partir de los componentes «fríos» del funcionamiento ejecutivo, soslayando el papel de los componentes «calientes» (p. ej., la toma de decisiones). Esta clasificación parte del supuesto de que las funciones ejecutivas pueden dividirse en 2 grupos fundamentales: las funciones relacionadas con los procesos predominantemente cognitivos (fríos) y los que integran procesos motivacionales y afectivos (calientes)8,9. De esta forma, los procesos ejecutivos «fríos» se relacionan con la solución de problemas abstractos y en ocasiones descontextualizados (inhibición, planificación, razonamiento abstracto), mientras que en el caso de los «calientes» intervienen procesos motivacionales-afectivos que se consideran fundamentales en la coordinación de la cognición y la emoción (p. ej., la toma de decisiones)10.
La subdivisión entre funciones «frías» y «calientes» responde además a las estructuras corticales involucradas en cada grupo de procesos. En el caso de las funciones ejecutivas cognitivas se ha comprobado que se activan las regiones dorsolaterales del córtex prefrontal (CPFDL)11,12, mientras que en los procesos emocionales-motivacionales se activan las regiones medial y ventral del córtex prefrontal12. En el caso particular de la toma de decisiones se ha comprobado una fuerte actividad cortical de un circuito neural que incluye el córtex prefrontal dorsolateral (CPFDL), la ínsula, el córtex cingulado anterior, las regiones mesiales orbitofrontal y ventromedial, además del estriado ventral13.
En el caso de los estudios enfocados al estudio de las funciones ejecutivas y los componentes antisociales, la atención se ha dirigido (como se comentaba en párrafos anteriores) al análisis de los elementos del espectro cognitivo. Como respaldo a esta aseveración puede aludirse al metaanálisis conducido en 2011 por Ogilvie et al.14, donde se recopilaron 42 estudios que relacionaban funcionamiento ejecutivo y conducta antisocial. En esta investigación no se incluyeron trabajos que evaluaran funciones «calientes», como por ejemplo la toma de decisiones. En este sentido, los propios autores señalaron en las conclusiones del artículo la necesidad de dirigir mayor cantidad de investigaciones al análisis de los componentes ejecutivos emocionales relacionados con la conducta antisocial14. A pesar de esta recomendación, todavía existen pocos estudios publicados que exploren los componentes «calientes» de las funciones ejecutivas y su vínculo con los comportamientos antisociales. Las investigaciones se han dirigido principalmente a la caracterización de la toma de decisiones en jóvenes sin alteraciones psicopatológicas y a la determinación de las estructuras corticales implicadas en este proceso en las edades tempranas15-17.
No obstante, algunos autores se han interesado por explorar la relación entre toma de decisiones y conducta antisocial. En este caso se encuentra una investigación que exploró funcionamiento ejecutivo y toma de decisiones en una muestra de 104 sancionados por cometer delitos. Comparado con un grupo de adolescentes sin dificultades en su conducta social, se comprobó que los adolescentes criminales presentaban una mayor cantidad de decisiones riesgosas que el grupo control, particularmente luego de realizar selecciones que implicaban ganancias pequeñas. Para arribar a esta conclusión se empleó la Tarea de Decisiones Riesgosas y un grupo de pruebas incluidas en la Batería Automatizada de Pruebas Neuropsicológicas de Cambridge (CANTAB)18.
Otra investigación empleó el Iowa Gambling Task (IGT) para evaluar la toma de decisiones en un grupo de adolescentes con trastornos de conducta19. En este caso se administró la prueba a un total de 33 adolescentes que presentaban dificultades en su comportamiento social y se comparó con un grupo control sin dificultades en su comportamiento. Los resultados indicaron un rendimiento significativamente menor en los jóvenes con conducta social inadecuada en comparación con sus pares. Particularmente se manifestó un incremento de las selecciones de cartas desventajosas sin tener en cuenta las pérdidas asociadas a las selecciones realizadas. Otro estudio reciente empleó igualmente el IGT para estudiar la toma de decisiones entre niños con trastorno por déficit de atención con hiperactividad y trastorno oposicionista desafiante20. Estos investigadores encontraron que los niños caracterizados por presentar alguno de los 2 trastornos mencionados presentaban dificultades para alternar sus selecciones sobre la base de contingencias asociadas a las cartas desventajosas.
Estos resultados ofrecen conclusiones preliminares sobre las peculiaridades en el proceso de toma de decisiones en individuos que presentan características de conducta antisocial. Sin embargo, de los estudios señalados solamente uno hace referencia a jóvenes que han delinquido y que cumplen una sanción penal, mientras que los 2 restantes utilizaron muestras de niños y adolescentes con trastornos que, aunque representan factores de riesgo para la comisión futura de un delito, no necesariamente implican la existencia de conductas antisociales futuras. Atendiendo a esta peculiaridad, el presente estudio se orienta hacia la exploración del proceso de toma de decisiones en jóvenes que presentan conductas antisociales y que cumplen sanción en un centro penitenciario a causa de su comportamiento.
Sujetos y materialesEn la investigación participaron 42 jóvenes que se encontraban cumpliendo sanción penitenciaria por incurrir en el delito de robo, tipificado en Código Penal de la República de Cuba con el nombre de «Robo con violencia e intimidación en las personas». El rango de edad para incluirse en el estudio fue entre 18 y 25 años. En todos los casos se informó a los participantes el objetivo de la investigación, la posibilidad de participar en la misma de forma voluntaria y la posibilidad de abandonar el estudio si en algún momento lo estimaban conveniente. Igualmente, se garantizó la confidencialidad de los datos personales y la no divulgación de ninguna información que ofreciera características que permitieran el reconocimiento del sancionado por terceros ajenos a la investigación. También se garantizó que durante la evaluación ningún joven se encontrara consumiendo medicamentos que pudieran alterar la ejecución de la prueba, especialmente psicofármacos.
Para la realización de comparaciones sobre la base del rendimiento en la prueba de toma de decisiones se conformó un grupo equivalente en cuanto a la cantidad de integrantes, la edad, el sexo y los años de escolarización con los jóvenes con conducta antisocial. De igual manera, este grupo fue informado del objetivo y de las condiciones de confidencialidad, así como de su derecho a participar de forma voluntaria y de abandonar el estudio si lo desearan. De esta forma, la muestra quedó conformada finalmente por 84 jóvenes, divididos en 2 grupos (42 integrantes en cada uno), con una edad media ± desviación estándar de 21,4±1,81 años, todos del sexo masculino y con la educación media-superior vencida (12 años de escolarización).
MaterialSe utilizó una versión computarizada y traducida al español del IGT. Específicamente, se empleó la versión contenida en el Psychology Experiment Building Language (PEBL) versión 0.1421. Esta prueba requiere que los que los participantes selecciones una carta entre 4 paquetes de cartas disponibles, durante 100 ensayos. Cada carta presenta condiciones de recompensas y castigos monetarios que son desconocidos por quienes realizan la prueba. De esta forma, por cada selección realizada de los paquetes A y B el participante recibe $ 100 como premio, mientras que por las cartas C y D reciben $ 50. Sin embargo, cada selección implica también el riesgo de pérdidas económicas. Para las cartas A, 5 de cada 10 opciones contienen un rango de castigos entre $ 35 y $ 150, mientras que para el paquete B uno de 10 ensayos representa una pérdida de $ 1.250. En el paquete C, 5 de cada 10 ensayos contienen pérdidas entre $ 25 y $ 75, mientras que en el paquete C, una de 10 selecciones contiene un castigo de $ 250.
De forma global, los paquetes con grandes recompensas A y B poseen valores elevados en los castigos (pérdida neta de $ 250 por cada 10 selecciones), mientras que los paquetes de recompensas bajas C y D presentan una ganancia neta de $ 250 por cada 10 selecciones. De esta forma, el éxito en la prueba radica en seleccionar mayor cantidad de cartas C y D y evitar los paquetes A y B22,23. El objetivo de la prueba es ganar la mayor cantidad posible de dinero que sea posible evitando las pérdidas durante su realización. De esta forma, la evaluación transcurre en un escenario de incertidumbre, pues quienes realizan el examen no pueden anticipar completamente las consecuencias prospectivas de sus decisiones24.
En este sentido, la capacidad del IGT para detectar alteraciones en la toma de decisiones ha sido ampliamente corroborada, empleándose en un número importante de investigaciones que agrupan un amplio rango de patologías. De esta forma su empleo ha permitido detectar déficits decisionales en las adicciones25-29, el trastorno obsesivo compulsivo30, el juego patológico31, la esquizofrenia32,33, la anorexia nerviosa34,35, el déficit de atención con hiperactividad36, la psicopatía37, las alteraciones en el control de impulso con agresividad38, la obesidad39 y los trastornos afectivos40, entre otros.
Además, para garantizar una evaluación óptima a través del PEBL, se previó que tanto el grupo de estudio como el grupo de comparación ejecutaran ensayos de familiarización con los componentes del ordenador. Estos ensayos se encuentran diseñados de manera automática en cada caso, de forma que garantizaran solamente la familiarización de los participantes con el ordenador y no brindara indicios que pudieran afectar la realización posterior de la prueba.
Por otra parte, se empleó el mismo ordenador personal en todas las evaluaciones. Para ello se utilizó un ordenador portátil marca ASUS con monitor de 17 pulgadas, con un procesador AMD E-450 y memoria RAM de 2 GB. De esta forma, se garantizó que el soporte técnico no presentara dificultad para la ejecución de la plataforma automatizada (PEBL). Además, se utilizó un mouse para facilitar la obtención de respuestas y de esta forma evitar el uso del touchpad.
ProcedimientoTodos los participantes fueron informados del objetivo de la investigación (grupo de sancionados y controles) y su evaluación se realizó en una única sesión de trabajo de aproximadamente 15 min. El estudio se llevó a cabo entre los meses de mayo y julio del 2014. Todas las evaluaciones se realizaron en el horario de la mañana y para cada grupo el local de evaluación fue el mismo (centro penitenciario para los jóvenes con conducta antisocial y Centro de Bienestar Universitario para el grupo de comparación), bajo las mismas condiciones de temperatura e iluminación. En cada sesión se aclararon las dudas previamente a la ejecución de la prueba y nunca durante el desarrollo de la misma. En ambos grupo se garantizó que cada participante, antes de iniciar la ejecución del IGT, firmara el consentimiento informado de la investigación.
Variables y análisis de los datosEl análisis de los datos se realizó atendiendo al índice general de toma de decisiones. Para lograr este parámetro se sumaron las cartas negativas y se restó el valor a las sumatoria de cartas positivas. La ecuación se planteó de la siguiente forma: (C+D)-(A+B), donde las cartas A y B son consideradas selecciones desventajosas y las cartas C y D selecciones ventajosas. De acuerdo con los autores de la prueba, a mayor valor del índice general corresponderá un mejor rendimiento en toma de decisiones. Para la comparación de los valores alcanzados por los grupos, tanto en las selecciones por paquetes de cartas como del índice general, se empleó la prueba t para muestras independientes.
Además se realizó un análisis por bloques de selecciones siguiendo las recomendaciones realizadas en otras investigaciones27,41. Para ello se agruparon las selecciones de cada participante en bloque de 20 ensayos, representando 5 bloques en total. En este caso, se realizó un ANOVA GLM de medidas repetidas para comparar el rendimiento de ambos grupos a lo largo de la prueba y poder determinar la curva de aprendizaje de la misma. En ambos procedimientos se estableció un nivel de significación estadística de p< 0,05. Además se calcularon los tamaños de efecto para las comparaciones por selecciones de paquetes de cartas, índice de toma de decisiones y bloques de 20 ensayos. Para las 2 primeras variables se calculó la d de Cohen, donde los valores de 0,20, 0,50 y 0,80 representan un tamaño de efecto pequeño, mediano y grande, en ese orden42. Para el ANOVA GLM de medidas repetidas se calculó el tamaño de efecto a partir de η2parcial, donde los valores 0,01, 0,06, y 0,014 fueron definidos como tamaños de efecto pequeños, medianos y grandes, respectivamente43. En el análisis por bloques se declaran también los intervalos de confianza para cada bloque. Estos análisis se llevaron a cabo utilizando el IBM SPSS versión 21.
ResultadosLa tabla 1 resume los resultados alcanzados por ambos grupos durante la prueba, atendiendo a los paquetes de cartas y el índice general de toma de decisiones. Como se puede apreciar, en los paquetes A, C y D no se apreciaron diferencias significativas en cuanto a las selecciones entre los grupos de jóvenes con conducta antisocial y el grupo control. Sin embargo, en las cartas B se constató que los jóvenes antisociales realizaron un número considerablemente mayor de selecciones desventajosas que el grupo control, con una significación estadística elevada (p < 0,01) y un tamaño de efecto grande (d ¿ 0,8). Además el índice general de toma de decisiones mostró igualmente diferencias altamente significativas entre los grupos (p < 0,001) y un tamaño de efecto grande (d ¿ 0,8); en este caso los jóvenes con comportamientos antisociales demostraron un peor rendimiento comparado con los integrantes del grupo control.
Resultados por paquetes de cartas e índice general de ejecución
| Descriptivos, media ± DE | Prueba t | ||||
|---|---|---|---|---|---|
| GC | GI | t | Sig. | d | |
| Cartas A | 15,35 ± 5,1 | 15 ± 5,9 | 0,304 | 0,762 | 0,76 |
| Cartas B | 24,5 ± 9,0 | 38,6 ± 12,6 | 6,157 | 0,000 | 2,15 |
| Cartas C | 29,38 ± 7,3 | 29,07 ± 7,03 | 0,2 | 0,842 | 0,84 |
| Cartas D | 29,02 ± 7,1 | 26,21 ± 9,92 | 1,555 | 0,124 | 0,12 |
| I. general | 18,54 ± 18,3 | 1,69 ± 20,2 | 4,154 | 0,000 | 7,53 |
DE: desviación estándar; GC: grupo control; GI:grupo de internos; I. general: índice general.
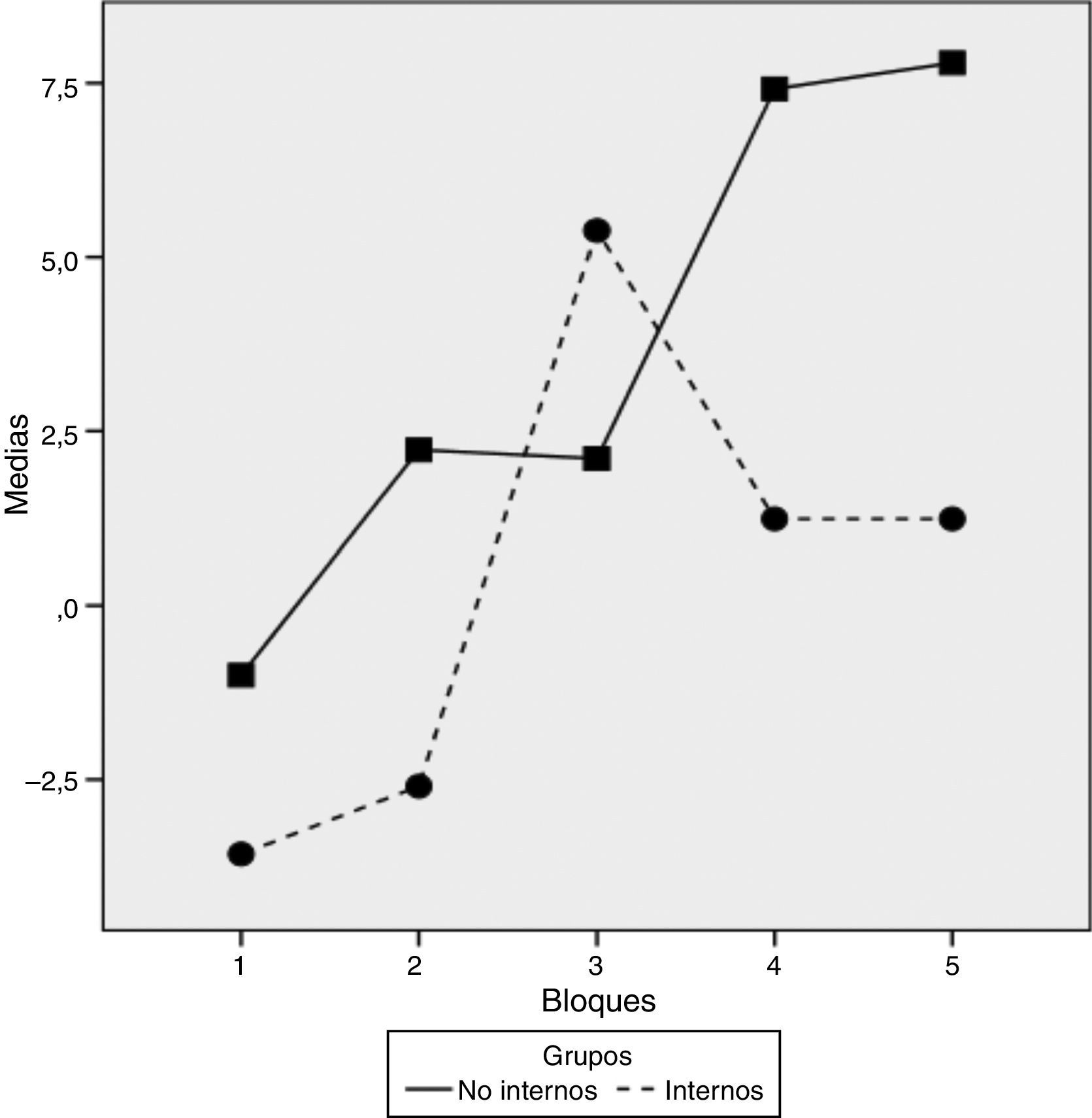
Además del análisis por paquetes y el índice general de toma de decisiones, se compararon los rendimientos de ambos grupos por bloques de 20 selecciones, para de esta forma estimar la curva de aprendizaje en la prueba. En la tabla 3 se muestran los valores estadísticos obtenidos posterior a la realización del ANOVA GLM de medidas repetidas. A diferencia del análisis por paquetes en los que solamente las cartas B mostraron un patrón distintivo entre los grupos, en la exploración por bloques los 5 segmentos de 20 selecciones mostraron diferencias altamente significativas entre los grupos estudiados (p < 0,001), con un tamaño de efecto grande (η2parcial¿ 0,014), lo cual ofrece evidencias adicionales sobre las dificultades en la toma de decisiones de los jóvenes con conducta antisocial cuando se comparan con jóvenes prosociales (tabla 2).
Resultados por bloques de cartas
| Descriptivos, media (IC) | Bloques por grupos ANOVA | ||||
|---|---|---|---|---|---|
| GC | GI | F (4,352) | Sig. | η2parcial | |
| Bloque 1 | −1,00 (−2,62-0,62) | −3,57 (−5,30-1,83) | |||
| Bloque 2 | 2,22 (0,69-3,76) | −2,59 (−4,23-0,95) | |||
| Bloque 3 | 2,10 (0,88-3,31) | 5,38 (4,08-6,68) | 8,449 | 0,000 | 0,088 |
| Bloque 4 | 7,41 (4,82-10,00) | 1,23 (−1,53-4,00) | |||
| Bloque 5 | 7,79 (5,13-10,44) | 1,23 (−1,60-4,07) | |||
GC: grupo control; GI:grupo de internos; IC: intervalo de confianza.
En la figura 1 se muestra la comparación entre las curvas de aprendizaje de los grupos estudiados (líneas discontinuas en el caso de los jóvenes antisociales y continuas para el grupo control). Puede apreciarse de forma clara un patrón exploratorio inicial en el grupo de jóvenes antisociales (caracterizado por la selección de cartas «buenas») que se interrumpe abruptamente a partir del tercer bloque, mostrando un patrón decisional desventajoso que se mantiene hasta concluir la prueba. En el caso del grupo control, la curva mantiene una tendencia al ascenso, lo cual es muestra de la realización consistente de selecciones ventajosas, que implica alejarse de las cartas negativas (A y B) y optar por elegir los paquetes C y D, que son considerados ventajosos.
Las curvas indican que en el grupo de estudio comienzan a realizarse decisiones ventajosas en la fase exploratoria hasta alcanzar las primeras 40 selecciones, incluso con un rendimiento más eficiente que el del grupo control. Para alcanzar este resultado los jóvenes con conductas antisociales debieron evitar de manera sistemática las cartas negativas asociadas a las recompensas inmediatas y aumentar las selecciones ventajosas. Sin embargo, entre el tercero y el quinto bloques el patrón de selecciones vuelve a ser desventajoso en el grupo de estudio, a diferencia del grupo control, donde se observan decisiones cada vez más ventajosas. Al parecer, aunque inicialmente las pérdidas asociadas a las selecciones desventajosas poseían un carácter de feedback correctivo en ambos grupos, esta situación se mantuvo posteriormente solo para el grupo de controles.
DiscusiónEl objetivo principal de esta investigación estaba orientado hacia la exploración del proceso de toma de decisiones en jóvenes que presentan conductas antisociales comparándolos con un grupo de jóvenes con conducta social adecuada. En este sentido, se comprobó que los jóvenes con conducta antisocial presentan un peor rendimiento en la toma de decisiones en comparación con sus iguales con conducta social adecuada.
En el caso del IGT, las diferencias se presentaron en las selecciones de cartas individuales, el índice general de toma de decisiones y la ejecución por bloques de ensayos. El grupo de estudio mostró peor rendimiento en la tarea de forma general. Las selecciones de cartas desventajosas se concentró en la carta B, mientras que la ejecución por bloques mostró una curva ascendente de aprendizaje basada en decisiones ventajosas en el grupo control, mientras que en el grupo de estudio el rendimiento mostró dificultades asociadas a las selecciones de cartas desventajosas a lo largo de toda la prueba. Tomando como referente la hipótesis del marcador somático (HMS)44-46, estos resultados podrían estar indicando que en el caso del grupo de estudio las decisiones negativas se sostienen al no generar señales emocionales asociadas a las pérdidas que permitan orientar la conducta prospectiva en situaciones similares.
Desde la HMS, las pérdidas asociadas a las selecciones iniciales consolidan señales somáticas asociadas a las emociones. En el caso de las selecciones desventajosas, esas señales se interpretan a nivel cortical como respuestas emocionales negativas asociadas a las pérdidas, mientras que las selecciones ventajosas (poco a corto plazo, pero mucho a largo plazo) generan sensaciones interoceptivas positivas que a nivel cognitivo se interpretan con una valencia emocional favorable. Bajo esta lógica, la secuencia de selecciones a lo largo de la prueba consolidaría una conducta coherente que se aparte de las pérdidas elevadas y se aproxime a las ganancias a largo plazo, conclusión que no corresponde con los resultados obtenidos en el grupo de estudio.
De esta forma, es de esperar que las personas que no presentan alteraciones en la toma de decisiones puedan modificar su patrón de decisiones basándose en las contingencias de cada opción elegida de forma individual. Por ejemplo, en el caso particular del rendimiento por bloques, los integrantes del grupo de estudio (jóvenes con conducta antisocial), al encontrarse con pérdidas significativas producto de la selección persistente de cartas «malas» (en el segundo bloque de 40 selecciones), debieron alterar su patrón decisional y comenzar a optar por cartas «ventajosas» con el fin de evitar las pérdidas (castigos), conducta que no se observó en este grupo. Esta característica (incapacidad de alterar el patrón de selecciones hacia opciones más adaptativas o ventajosas sobre la base de nuevos reforzadores) ha sido observada también en pacientes con daño en la corteza orbitrofrontal, quienes se muestran incapaces de modificar su conducta decisional sobre la base de contingencias que actúan como reforzadores conductuales47. Este resultado se contrapone al patrón que caracterizó a este grupo en las primeras 40 selecciones (fase exploratoria), en el cual las decisiones fueron ventajosas.
De forma particular, se ha demostrado en el caso de adultos con daño orbitofrontal una tendencia las perseveraciones en relación con decisiones desventajosas, caracterizándose por la falta de control para cambiar un patrón de decisiones desventajosas establecidas previamente, al no ser capaces de procesar los resultados obtenidos en decisiones posteriores48. En este sentido, los sujetos con daño orbitofrontal parecen «anclados» a las decisiones que inicialmente fueron reforzadas, tal y como ocurre en la muestra de jóvenes con conductas antisociales.
Aunque el número de investigaciones que evalúan los componentes emocionales del funcionamiento ejecutivo en jóvenes con conducta antisocial son pocos, los resultados de nuestro estudio son consistentes con un grupo de investigaciones realizadas hasta el momento. Por ejemplo, tras evaluar a 317 adolescentes varones con conducta antisocial a través del IGT se comprobó una correlación directa entre la conducta criminal y el bajo rendimiento en la toma de decisiones49. Otro estudio concluyó que, en comparación con un grupo de jóvenes con conducta social adecuada, los jóvenes que habían cometido crímenes mostraban una toma de decisiones mucho más riesgosa, especialmente después de obtener pequeñas ganancias en el IGT18. Un resultado igualmente interesante se obtuvo luego de evaluar a adolescentes con trastorno de conducta y adultos que abusaban de sustancias, encontrándose que en ambos grupos existían déficits en el IGT en comparación con sus grupos control19. Más recientemente se condujo una investigación en la que se evaluó la toma de decisiones en un grupo de adultos jóvenes con 3 grupos conformados (antisociales con rasgos de psicopatía, antisociales sin rasgos de psicopatía y controles), demostrándose que, independientemente de la presencia o no de características psicopáticas, los 2 grupos de antisociales presentaban marcadas dificultades en la toma de decisiones, pues no alteraban sus decisiones aun cuando enfrentaban contingencias negativas relacionadas con las opciones desventajosas realizadas50.
Este cuerpo de evidencia, aunque limitado aun, muestra una clara peculiaridad en la toma de decisiones de personas con conductas antisociales. En el futuro, y atendiendo a estos resultados, pudieran diseñarse investigaciones que, además de las variables de funcionamiento ejecutivo tradicionalmente evaluadas en estas poblaciones (control inhibitorio, flexibilidad mental, memoria de trabajo, etc.), incluyan pruebas que exploren la personalidad y los procesos relacionados con la cognición social (estilo de personalidad, búsqueda de sensaciones, impulsividad, reconocimiento de emociones, empatía, etc.) y que además tomen en cuenta otros factores, como la reincidencia criminal, el tipo específico de delito y el lugar de procedencia, entre otros. Las interacciones de estas dimensiones analizadas en distintos grupos etarios permitirían el establecimiento de predictores de la conducta antisocial y además facilitarían el diseño de programas de prevención y tratamiento realmente efectivos y basados en la evidencia.
Responsabilidades éticasProtección de personas y animalesLos autores declaran que para esta investigación no se han realizado experimentos en seres humanos ni en animales.
Confidencialidad de los datosLos autores declaran que en este artículo no aparecen datos de pacientes.
Derecho a la privacidad y consentimiento informadoLos autores han obtenido el consentimiento informado de los pacientes y/o sujetos referidos en el artículo. Este documento obra en poder del autor de correspondencia
Conflicto de interesesLos autores declaran no tener conflicto de intereses.
Los autores agradecen la ayuda ofrecida por nuestro colega Boris C. Rodríguez-Martín durante el análisis estadístico de los datos.






