Conocer la presencia de ideas erróneas con relación a las demencias en distintas poblaciones permite llevar a cabo intervenciones tendientes a mejorar el acceso al conocimiento.
ObjetivoEvaluar el conocimiento sobre demencias en estudiantes (ES) y trabajadores de la salud (TS), familiares de personas con demencia (F) y en la población general (PG) de la Ciudad Autónoma de Buenos Aires.
Materiales y métodosSe empleó el cuestionario autoadministrable DKAT2, que consta de 21 afirmaciones sobre demencia con 3opciones de respuestas: sí/no/no sé.
ResultadosSe obtuvieron 580 cuestionarios. Se observaron diferencias entre TS y los restantes grupos (PG p<0,001; ES p<0,001 y F p<0,001) para el total de respuestas correctas, con la mediana de rendimiento más alta para este grupo. El ítem relacionado con el delírium obtuvo la clasificación de «difícil» en los 4grupos. Los ítems relacionados con la incontinencia urinaria y las dificultades en la movilidad fueron clasificados como vacíos de conocimiento para los grupos PG, ES y F.
DiscusiónSer familiar de un paciente con demencia parece no aumentar la información disponible sobre esta enfermedad. La relación entre delírium y demencia requiere un mayor acceso al conocimiento por parte del grupo TS. Las alteraciones deglutorias y de movilidad constituyen las principales áreas de interés para el desarrollo e implementación de intervenciones tendientes a mejorar la calidad y cantidad del conocimiento sobre demencias en las 4poblaciones de estudio.
To be aware about the presence of misconceptions about dementias in different populations allows to carry out interventions aimed to improve the access to knowledge.
ObjectiveTo assess knowledge about dementias in students (S), health workers (HW), patient's family members (F) and the general population (GP) of Ciudad Autónoma de Buenos Aires.
Materials and methodsThe DKAT2 self-administered questionnaire was used. It consists of 21 statements about dementia with 3possible answers: yes/no/don’t know.
ResultsA total of 580 questionnaires were obtained. Differences were observed between HW and the remaining groups (GP P<0.001, S P<0.001 and F P<0.001) for total correct answers, with the highest median performance for this group. The item related to delírium was rated «difficult» in all 4groups. The items related to urinary incontinence and mobility difficulties were classified as gaps in knowledge for groups GP, S and F.
DiscussionBeing a relative of a patient with dementia does not seem to increase the information available about this pathology. The relationship between delírium and dementia requires greater access to knowledge by the HW group. Swallowing and mobility disorders are the main areas of interest for the development and implementation of interventions to improve the quality and quantity of knowledge about dementia in the 4study populations.
La demencia es una enfermedad crónica, de etiologías múltiples y variadas, de las cuales la enfermedad de Alzheimer (EA) es la más frecuente, pues le corresponden entre un 60% y un 70% de los casos1,2. En la actualidad, las demencias afectan a unos 50 millones de personas en el mundo y se estima que las personas afectadas serán de unos 82 millones en 2030 y de 152 millones en 20501. La estimación, a su vez, es que para el año 2050 el 71% de la población con demencia vivirá en regiones de menor desarrollo3.
En América Latina y el Caribe la prevalencia de la demencia es entre 6,0 y 6,5 por cada 100 adultos de 60 años o más, con un estimado de crecimiento en el número de personas con demencia entre el 2001 y el 2040 del 77% en los países del cono sur americano (Argentina y Chile)4. En nuestro país, la prevalencia global de demencia está estimada en el 12,18% en mayores de 65 años (5,85% de tipo Alzheimer y 3,86% de demencia vascular), con la EA como la más frecuente5. Los costos implicados son altos para el sistema de salud y aumentan con la severidad y la institucionalización de los pacientes. El aumento proyectado de la prevalencia, sumado a este gasto, determina un problema sanitario mayor6,7.
Existen diversos instrumentos que evalúan el conocimiento sobre demencias en distintas poblaciones. Entre los más frecuentemente utilizados se encuentran el Dementia Quiz8, el test Dementia Knowledge 209, la Dementia Knowledge Assessment Scale10,11 y el Dementia Knowledge Assessment Tool 2 (DKAT2)12, entre otros. El DKAT2 se diferencia de otros cuestionarios, dado que incluye «no sé» como opción de respuesta, eliminando la elección forzosa dicotomía «sí»/«no» e identificando así vacíos de conocimiento. Además, ha sido validado en español13, abarca características y síntomas que exceden la EA, apuntando al conocimiento de las demencias en general14.
El DKAT212 ha sido administrado a familiares y cuidadores de pacientes con demencia12,14, personal de salud y profesionales y estudiantes de enfermería en numerosos países. En Australia, Toye et al.12 encontraron que más del 80% del personal que trabajaba en residencias de adultos mayores en contacto con demencia y más del 90% de los familiares de pacientes con demencia sostienen erróneamente que el síndrome confusional es característico de la demencia. No hallaron vacíos de conocimiento en los grupos estudiados. En España, Parra-Anguita et. al.13,14 emplearon el cuestionario para estimar el conocimiento sobre demencias en estudiantes de enfermería y personal de salud (enfermeros registrados, asistentes de enfermería y personal de cuidado de personas mayores) y reportaron que la pregunta sobre el síndrome confusional tuvo un mayor índice de facultad en ambos grupos, y un vacío de conocimiento sobre el componente vascular como causa de demencia para el grupo de estudiantes de enfermería. En Australia, Robinson et al.15 administraron el DKAT2 a trabajadores de la salud (enfermeros registrados, estudiantes de enfermería y trabajadores cuidadores de personas con demencia) y a familiares cuidadores, y encontraron esta misma idea errónea como la más frecuente, con el 74% de las respuestas incorrectas en trabajadores de la salud y el 90,9% en familiares. No realizaron un análisis de las respuestas «no sé». Eccleston et al.16 encontraron que estudiantes de enfermería de Tasmania mostraron, a su vez, dificultades para el ítem sobre síndrome confusional, con el 83% de respuestas incorrectas. En ese estudio, las respuestas «no sé» no son analizadas.
En la Ciudad Autónoma de Buenos Aires (CABA), en el año 2012, Russo et al.17 evaluaron la percepción y el grado de conocimiento de la población en general acerca de la EA, empleando la Encuesta de la Escuela de Salud Pública de Harvard18. Se compararon las respuestas de población médica y no médica, proveniente de una institución privada y una pública, mujeres y varones, menor y mayor nivel educativo y menores y mayores de 50 años de edad. Más del 85% de los participantes identificó los síntomas comunes de la enfermedad como la dificultad para recordar y desorientación, y el 60% de los encuestados y el 88% de los médicos respondieron correctamente que la EA no tiene tratamiento curativo. Sin embargo, un elevado porcentaje de los participantes mostró expectativas poco realistas en torno al diagnóstico y tratamiento de la enfermedad: el 60% de los encuestados desconoció que se trata de una enfermedad fatal y solo el 40% de los médicos la consideró así; aproximadamente el 25% de los sujetos y el 36% de los médicos creyó que existe un tratamiento médico o farmacológico efectivo para tratar la enfermedad; además, el 50% creyó que existe una prueba diagnóstica definitiva para la EA.
Conocer la presencia de ideas erróneas con relación a las demencias en distintas poblaciones permite llevar a cabo intervenciones tendientes a mejorar el acceso al conocimiento. Frente al problema que supone la falta de información sobre las demencias en medicina y carreras afines a la salud, se han observado mejoras en el conocimiento, las actitudes, la confianza en la atención y la empatía tras la implementación de programas de entrenamiento específicos en estudiantes de medicina, enfermería y paramédicos19-22. En cuanto a los residentes de medicina familiar, el entrenamiento en demencias mejora el conocimiento y aumenta los niveles de confianza sobre la evaluación y el manejo de la demencia23. Por otro lado, la incorporación de un abordaje terapéutico cognitivo conductual a programas psicoeducativos dirigidos a familiares mostró efectividad en la reducción del estrés de los cuidadores24. Asimismo, una tendencia reciente es el uso de ayudas tecnológicas en la difusión de herramientas psicoeducativas, lo que incrementa su alcance24. En algunos países de Latinoamérica, el estigma en torno a la demencia es alto y el acceso del público general a políticas públicas específicas sobre demencia parece ser limitado25. Un estudio reciente realizado en Australia aporta evidencia de que la participación del público general en un programa educativo virtual puede reducir el estigma en torno a la demencia26. No contamos con información local respecto de la utilidad de programas educativos sobre demencias para el público general.
Tomando en cuenta los antecedentes respecto de los beneficios de las intervenciones tendientes a mejorar el conocimiento disponible sobre las demencias en estudiantes y personal de salud, cuidadores y población general, estimar el conocimiento sobre demencias en nuestro medio cobra relevancia. El objetivo del presente trabajo es evaluar el conocimiento sobre demencias en estudiantes y trabajadores de la salud, familiares de personas con demencia y en la población general de la CABA mediante la utilización del cuestionario autoadministrable DKAT2. Hipotetizamos que el conocimiento acerca de las demencias en la población general es insuficiente en comparación con el que poseen los estudiantes de carreras relacionadas con la salud, cuidadores y familiares de pacientes con demencias, y profesionales de la salud, debido a que estos últimos 3grupos logran mayor acceso a la información, ya sea por obligación o por necesidad. Estimar el conocimiento de estos actores respecto de las demencias permitirá conocer si es necesario proporcionar herramientas de psicoeducación a la población general y a los familiares consultantes, tendientes a lograr un mejor manejo de la sintomatología y, así, disminuir la prevalencia de la sobrecarga del cuidador27, facilitando el planteamiento de objetivos terapéuticos con expectativas más ajustadas a la realidad28.
Sujetos y métodosDiseño observacional, transversal, analítico, prospectivo, tipo encuesta. El estudio se llevó a cabo en Santa Catalina Neurorrehabilitación Clínica y en el Complejo Médico Hospitalario Churruca Visca, ambos centros ubicados en la CABA, desde el 2 de mayo hasta el 30 de junio del año 2020. Se llevó a cabo un muestreo no probabilístico por conveniencia.
SujetosSe incluyó a sujetos mayores de 18 años, residentes de CABA. Se conformaron 4 grupos:
Población general (PG), trabajadores de la salud (TS), estudiantes de carreras relacionadas con la salud (ES) y familiares de pacientes diagnosticados con algún tipo de demencia (F).
Fueron criterios de inclusión los siguientes: ser habitantes de CABA, estudiantes o personal de cualquiera de las disciplinas ligadas a la atención de pacientes en cuestiones vinculadas a la salud, con y sin experiencia en demencias, familiares de pacientes con diagnóstico de demencia.
Se excluyó a aquellos sujetos que, por su condición, pudieran ingresar a más de un grupo de estudio (clasificación exhaustiva y excluyente).
El estudio fue aprobado por los Comités de Investigación y Ética de Santa Catalina Neurorrehabilitación Clínica. Todos los sujetos aceptaron participar a través de un consentimiento informado.
Instrumentos y procedimientosSe empleó el cuestionario autoadministrable DKAT2, validado al español por Parra-Anguita et al.13. El cuestionario es anónimo y consta de 21 afirmaciones sobre demencia con 3opciones de respuestas: sí/no/no sé. La opción «no sé» permite manifestar la ignorancia del participante sobre un tema, mientras que las respuestas erróneas pueden ser consideradas como conocimientos incorrectos sobre un tópico. De esta manera, es posible obtener 2variables de respuesta cuantitativa: un índice de dificultad, que representa el porcentaje de respuestas correctas, y un índice de ignorancia, que expresa el porcentaje de respuestas «no sé». Todas las respuestas fueron de elección obligatoria, para garantizar el envío de cuestionarios completos. A fin de establecer los 4grupos que constituyen la muestra, se solicitó a los participantes los siguientes datos demográficos: edad, sexo, escolaridad, formación académica en carreras relacionadas con la salud y presencia de lazos familiares con pacientes con demencia. El consentimiento informado se completó al inicio de cada cuestionario. El cuestionario se distribuyó de forma virtual a través de Formularios de Google (https://docs.google.com/forms/). Fue enviado vía WhatsApp a contactos por cercanía, solicitando difusión.
Análisis estadísticoSe llevó a cabo un análisis de frecuencias y porcentajes para las variables edad, escolaridad y sexo. Se contabilizó en cada grupo la totalidad y el porcentaje de respuestas correctas y de respuestas «no sé». Se obtuvieron índices de dificultad e ignorancia para cada ítem. Los ítems fueron clasificados, con base en el porcentaje de respuestas correctas, como muy fácil (>90%), difícil (10,1-25%) y muy difícil (<10%)13. Los ítems con un porcentaje de respuesta «no sé» mayor o igual al 50% fueron considerados indicadores de vacíos de conocimiento.
Mediante el uso del paquete estadístico Statistix® (versión 7.0), se llevó a cabo la prueba Shapiro Wilk para conocer la normalidad de estas variables y, en función de sus resultados, se aplicaron pruebas paramétricas o no paramétricas para la comparación entre variables, según correspondiera. Se compararon las medianas de las respuestas correctas y las respuestas «no sé» en los distintos grupos mediante la prueba de chi-cuadrado. Se empleó el método Holm-Bonferroni para el análisis post hoc. Se estableció un nivel de significación de p menor a 0,05.
ResultadosDe los 580 cuestionarios obtenidos, 206 pertenecían al grupo de PG, 271 a TS, 67 a ES, y 36 a F. De estos últimos, solo 4 individuos afirmaron ser cuidadores principales de un paciente con demencia. La tabla 1 muestra los datos demográficos y pruebas de comparación entre grupos para estas variables. Se llevó a cabo la prueba de normalidad para la variable edad, que arrojó una distribución no normal (p<0,001). Empleando la prueba Kruskal-Wallis, se observaron diferencias entre grupos para la edad y escolaridad. El análisis post hoc mediante el método Holm-Bonferroni resultó significativo en la comparación entre ES y el resto de los grupos (p<0,001) para la edad, y entre TS y el resto de los grupos para escolaridad (p<0,001). No se observaron diferencias entre grupos por sexo (tabla 2).
Datos demográficos
| PG | TS | ES | F | p | |
|---|---|---|---|---|---|
| N | 206 | 271 | 67 | 36 | |
| Edad | |||||
| Mediana (IQ) | 37,5 (30,25-48) | 38 (33-50) | 26 (23-34) | 41 (34,75-53) | <0,001 |
| Género en % | |||||
| Masculino | 33 | 22,5 | 20,9 | 25 | 0,163 |
| Femenino | 67 | 77,5 | 79,1 | 75 | |
| Escolaridad en % | |||||
| Primaria | 0,5 | 0,4 | 0 | 0,0 | <0,001 |
| Secundaria | 21,8 | 0,7 | 11,9 | 12,3 | |
| Terciaria/universitaria | 77,7 | 98,9 | 88,1 | 87,7 | |
ES: estudiantes de carreras de la salud; F: familiares de pacientes con demencia; PG: población general; TS: trabajadores de la salud.
Índice de ignorancia e índice de dificultad, expresados como porcentaje de respuestas correctas y de respuestas «no sé» en cada ítem, por grupo de población
| Índice de dificultad % | Índice de ignorancia % | |||||||
|---|---|---|---|---|---|---|---|---|
| Ítems | PG | TS | ES | F | PG | TS | ES | F |
| 1 | 68,0 | 93,7 | 83,6 | 75,0 | 26,2 | 4,1 | 11,9 | 22,2 |
| 2 | 76,2 | 96,3 | 88,1 | 88,9 | 20,4 | 2,6 | 7,5 | 8,3 |
| 3 | 22,3 | 42,1 | 35,8 | 22,2 | 43,7 | 25,1 | 31,3 | 55,6 |
| 4 | 27,2 | 77,5 | 46,3 | 33,3 | 60,7 | 18,5 | 35,8 | 61,1 |
| 5 | 68,4 | 81,5 | 80,6 | 61,1 | 24,8 | 12,2 | 11,9 | 27,8 |
| 6 | 85,9 | 91,9 | 89,6 | 66,7 | 12,6 | 5,2 | 7,5 | 16,7 |
| 7 | 72,3 | 83,4 | 74,6 | 61,1 | 24,3 | 12,9 | 20,9 | 30,6 |
| I8 | 33,0 | 67,5 | 47,8 | 36,1 | 64,1 | 29,9 | 50,7 | 61,1 |
| 9 | 45,6 | 61,3 | 53,7 | 41,7 | 35,4 | 16,2 | 19,4 | 30,6 |
| 10 | 80,1 | 87,1 | 80,6 | 80,6 | 14,6 | 7,4 | 13,4 | 13,9 |
| 11 | 69,9 | 82,3 | 80,6 | 55,6 | 26,2 | 15,9 | 19,4 | 44,4 |
| 12 | 11,7 | 20,3 | 16,4 | 11,1 | 19,4 | 3,7 | 14,9 | 27,8 |
| 13 | 72,3 | 92,6 | 82,1 | 69,4 | 19,4 | 3,7 | 14,9 | 27,8 |
| 14 | 18,9 | 56,8 | 31,3 | 44,4 | 71,8 | 29,9 | 53,7 | 52,8 |
| 15 | 19,4 | 57,9 | 44,8 | 38,9 | 57,8 | 17,3 | 38,8 | 50,0 |
| 16 | 35,4 | 53,9 | 58,2 | 36,1 | 50,0 | 26,6 | 28,4 | 41,7 |
| 17 | 32,0 | 55,4 | 35,8 | 47,2 | 58,3 | 31,0 | 53,7 | 41,7 |
| 18 | 49,5 | 62,4 | 58,2 | 66,7 | 42,7 | 19,6 | 32,8 | 30,6 |
| 19 | 63,6 | 82,7 | 73,1 | 63,9 | 29,1 | 11,4 | 23,9 | 30,6 |
| 20 | 26,2 | 56,8 | 49,3 | 19,4 | 66,0 | 29,9 | 43,3 | 63,9 |
| 21 | 66,5 | 86,0 | 71,6 | 61,1 | 32,5 | 13,3 | 26,9 | 33,3 |
Teniendo en cuenta el índice de dificultad, los porcentajes de respuestas correctas pueden clasificar cada afirmación en 6categorías: muy fácil (>90% de respuestas correctas), fácil (75,1-90% de respuestas correctas), algo fácil (50,1-75% de respuestas correctas), algo difícil (25,1-50% de respuestas correctas), difícil (10,1-25% de respuestas correctas) y muy difícil (<10% de respuestas correctas). Teniendo en cuenta el índice de ignorancia, los porcentajes de respuesta «no sé» mayores o iguales al 50% fueron considerados indicadores de vacíos de conocimiento.
ES: estudiantes de carreras de la salud; F: familiares de pacientes con demencia; PG: población general; TS: trabajadores de la salud.
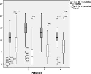
Se comparó la totalidad de las respuestas correctas y de respuestas «no sé» entre los 4grupos. La prueba de normalidad de Kolmogorov-Sminorv mostró una distribución no normal para las variables «total de respuestas correctas» y «total de respuestas no sé». La figura 1 muestra las medianas de rendimiento, las cuales fueron comparadas mediante el empleo de la prueba chi-cuadrado. Se observaron diferencias significativas entre grupos para ambas variables (p<0,001). En cuanto a la variable «total de respuestas correctas» el análisis post hoc mostró diferencias entre TS y los restantes grupos (PG p<0,001; ES p<0,001 y F p<0,001), siendo la mediana de rendimiento más alta la de este grupo. A su vez, se observaron diferencias significativas entre ES y los restantes grupos (PG p<001 y F p=0,019), con la mediana de rendimiento más alta para ES que para los otros 2grupos. No se observaron diferencias entre PG y F (p=0,614) para esta variable. En cuanto a la variable «total de respuestas no sé» el análisis post hoc arrojó diferencias entre TS y los demás grupos (PG p<0,001, ES p<0,001 y F p<0,001), siendo la mediana de rendimiento más baja la de este grupo. Para los estudiantes también se encontraron diferencias con los otros 2grupos (PG p<0,001 y F p=0,049), mostrando ES una mediana de rendimiento inferior que la de PG y F. La comparación entre PG y F no arrojó diferencias significativas para la variable «total de respuestas no sé» (p=0,781).
La tabla 3 muestra el resultado de los índices de dificultad e ignorancia, que representan el porcentaje de respuestas correctas y de respuestas «no sé», respectivamente. Para la clasificación de los ítems en función del índice de dificultad se consideró significativa una tasa de aciertos igual o mayor al 90% en las respuestas, que engloba los ítems «muy fácil», y una tasa de aciertos menor o igual al 25%, que abarca los ítems como «difícil» o «muy difícil». Para la clasificación de los ítems en función del índice de ignorancia, se consideró una tasa de error mayor o igual al 50% como indicador de vacío de conocimiento sobre un ítem. Los resultados del índice de dificultad dan cuenta de que no se encontraron ítems «muy fáciles» en los grupos PG, ES ni F. Para el grupo TS los ítems clasificados como «muy fáciles» fueron el 1, 2, 6 y 13. Ningún ítem resultó «muy difícil» para ninguno de los grupos. Los ítems 8 y 14 fueron clasificados como vacío de conocimiento para los grupos PG, ES, y T. Finalmente, el grupo TS no mostró vacíos de conocimiento.
Índices de dificultad e ignorancia por grupo para todos los ítems del cuestionario
| Dif. | Ign. | Afirmación | |||
|---|---|---|---|---|---|
| 1 | La demencia se produce debido a alteraciones en el cerebro (sí) | ||||
| 2 | Los cambios cerebrales que causan demencia, a menudo, son progresivos (sí) | ||||
| Δ | ⊛ | ⊛ | 3 | La enfermedad de Alzheimer es la principal causa de demencia (sí) | |
| Δ | ⊛ | 4 | Las enfermedades de los vasos sanguíneos también pueden producir demencia (sí) | ||
| 5 | La confusión en una persona mayor, casi siempre, es debido a la demencia (no) | ||||
| 6 | Solo las personas mayores desarrollan demencia (no) | ||||
| 7 | Conocer la causa probable de una demencia puede ayudar a predecir su progresión (sí) | ||||
| Δ | 8 | La incontinencia siempre ocurre en las etapas tempranas de la demencia (no) | |||
| ⊛ | |||||
| 9 | La demencia es probable que limite la esperanza de vida (sí) | ||||
| 10 | Cuando una persona está en una etapa avanzada de demencia, sus familiares pueden ayudar a otros a entender las necesidades de esa persona (sí) | ||||
| 11 | Las personas que tienen demencia pueden desarrollar problemas de percepción visual (comprender y reconocer lo que ven) (sí) | ||||
| Δ | 12 | Los aumentos repentinos del grado de confusión son característicos de la demencia (no) | |||
| ⊛ | |||||
| 13 | Comportamientos perturbadores inusuales pueden ocurrir en personas con demencia (ej. comportamiento agresivo en una persona tranquila) (sí) | ||||
| Δ | Δ | 14 | La dificultad para la deglución ocurre en las etapas avanzadas de la demencia (sí) | ||
| ⊛ | |||||
| Δ | Δ | ⊛ | 15 | La movilidad (ej. andar, moverse en la cama o un sillón) está limitada en las etapas avanzadas de demencia (sí) | |
| Δ | 16 | Los cambios en el ambiente (ej. poner un CD, abrir o cerrar las cortinas) no serán percibidos por una persona que tiene demencia (no) | |||
| Δ | 17 | Cuando una persona que tiene demencia está angustiada, puede ser útil hablarle sobre sus sentimientos (sí) | |||
| 18 | Es importante corregir siempre a una persona con demencia cuando está confusa (no) | ||||
| 19 | A menudo, se puede ayudar a una persona con demencia a tomar decisiones (ej. qué ropa llevar) (sí) | ||||
| ⊛ | Δ | ⊛ | 20 | Es imposible decir si una persona en etapas avanzadas de demencia tiene dolor (no) | |
| 21 | El ejercicio a veces puede ser beneficioso para las personas con demencia (sí) | ||||
Para el índice de dificultad se muestran los ítems que obtuvieron una tasa de aciertos menor o igual al 25% en las respuestas, es decir, ítems «difícil» y «muy difícil». Para el índice de ignorancia se muestran los ítems con una tasa de error mayores o iguales al 50%. Entre paréntesis se indica la respuesta correcta para cada ítem.
Δ: población general;
: trabajadores de la salud; : estudiantes de carreras de la salud; ⊛: familiares de pacientes con demencia. Dif.: Índice de dificultad; IGN.: índice de ignorancia.Estimar el nivel de conocimiento, en nuestro medio, de los actores implicados en el tratamiento y cuidados del paciente con demencia resulta de vital interés para elaborar y poner en práctica estrategias de acceso a la información en pequeña o gran escala.
El acceso a la educación formal en materia de salud permite analizar en conjunto a los grupos TS y ES. El grupo TS obtuvo un número significativamente mayor de respuestas correctas que el resto de los grupos y no mostró vacíos de conocimiento. Solo se observó conocimiento erróneo para el ítem relacionado con el síndrome confusional como característico de la demencia. El grupo ES, a su vez, mostró diferencias significativas respecto de los grupos PG y F para el total de respuestas correctas y, al igual que los TS, se observó una baja tasa de aciertos para el ítem relacionado con el cambio repentino del grado de confusión exclusivamente. Sin embargo, el grupo de estudiantes mostró, además, desconocimiento respecto de los momentos de la enfermedad en que pueden surgir la incontinencia y las alteraciones de la deglución, y de la utilidad de dialogar sobre los sentimientos cuando un paciente con demencia se encuentra angustiado. Estos resultados parecen confirmar, por un lado, que la formación académica que brindan las carreras de salud mejora el acceso al conocimiento sobre las demencias, pero por el otro, que la experiencia clínica, independientemente de la especialidad médica o área de la salud en la que se trabaje, aporta información adicional, relevante, sobre esta enfermedad.
Por su parte, los grupos PG y F mostraron un comportamiento similar, con un mayor número de respuestas incorrectas y de respuestas «no sé» en comparación con los otros grupos. Analizando las respuestas erróneas o «índice de dificultad» para ambos grupos, encontramos que tanto para PG como para F los ítems clasificados como «difícil», es decir, que expresan un conocimiento incorrecto sobre el tema, fueron los relacionados con el Alzheimer como principal causa de demencia y el síndrome confusional. El grupo PG, además, mostró ideas erróneas sobre las etapas de la enfermedad en las que pueden aparecer fallas en la deglución y alteraciones en la movilidad, mientras que el grupo F sumó ideas erróneas respecto del manejo del dolor. Teniendo en cuenta las respuestas «no sé» o «índice de ignorancia» en la población general, los ítems considerados como vacíos de conocimiento fueron los relacionados con el componente vascular como causa de neurodegeneración, la incontinencia, deglución, movilidad, el rol de los estímulos ambientales, la angustia y el dolor en las demencias. El grupo F comparte estas áreas de ignorancia, excepto para el componente vascular como causa de demencia, la movilidad y la estimulación ambiental.
En suma, el ítem que mostró la presencia de ideas erróneas en las 4poblaciones estudiadas fue el que refiere al delírium y su relación con las demencias. Este hallazgo parece estar en consonancia con la literatura, en tanto que ha sido reportado en trabajadores de la salud, estudiantes de enfermería y en familiares de pacientes con demencia, empleando el mismo instrumento, en distintos lugares del mundo12,13,15,16. Nuestro trabajo muestra, además, que el grupo correspondiente a la población general de CABA también mostró un conocimiento equivocado respecto de este tema. Por otro lado, fueron 2los ítems que mostraron vacío de conocimiento en todas las poblaciones excepto PS: los referidos al momento de la enfermedad en que pueden aparecer dificultades deglutorias y de la movilidad. Si bien el cuestionario DKAT213 fue empleado en otras investigaciones, la mayoría de los autores no encuentra vacíos de conocimiento o no informa los resultados del índice de ignorancia12,15. A diferencia de lo reportado por Parra-Anguita et al.13, los estudiantes de carreras de la salud de CABA parecen conocer el componente vascular asociado a las demencias.
Considerando que el principal proveedor de atención para las personas con demencia en nuestro medio suelen ser las mujeres de la familia3,8 y que la información acerca del cuidado en etapas tardías son esenciales en la atención del paciente, existe evidencia respecto de que el acceso a la información mejoraría la calidad de vida de los pacientes y disminuiría, a su vez, la sobrecarga del cuidador24,25. Atendiendo a la multiplicidad de profesionales que intervienen en la atención del paciente demente, el empleo de programas de entrenamiento en demencias en personal de salud ha resultado de utilidad para mejorar el acceso al conocimiento19-23.
Entre las limitaciones de este estudio podemos mencionar, en primer lugar, que se trata de un estudio local, circunscrito a CABA. Esto introduce un sesgo a la hora de la generalización de los resultados en función de la disparidad entre los conglomerados urbanos de nuestro país en términos socioeconómicos y de acceso a la salud y la educación. En segundo lugar, las poblaciones TS y ES han sido definidas exiguamente para dar cuenta de la heterogeneidad y variedad de actores que intervienen en la atención del paciente con demencia. En cuanto al grupo TS, esto supone una limitación en tanto no se discriminó por áreas del conocimiento: se admite la participación de profesionales formados o no en el campo de las demencias, e incluso de aquellos que basan su ejercicio profesional en prácticas no clínicas. Con relación al grupo ES, a esta limitación se suma la de no discriminar el grado de avance de la formación académica, que supone un acceso diferencial a la información en función de los años de estudio: un ES de años iniciales puede mostrar conocimientos semejantes a los de la población general. Para el grupo F, se considera una limitante el hecho de incluir cualquier tipo de parentesco con pacientes con demencia, parentesco que podría ser lejano y, por ende, tratarse de participantes no involucrados en el cuidado del paciente. En tercer lugar, la muestra TS se encuentra sobrerrepresentada, a pesar de no haber sido enviado el cuestionario a asociaciones que nuclean profesionales de la salud, lo cual da cuenta de las limitaciones de la técnica de muestreo empleada. En cuarto lugar, la modalidad de envío del cuestionario, a través de WhatsApp mediante Google Forms, constituye una limitación, en tanto aleja la participación de quienes no cuentan con acceso o familiaridad con estas tecnologías. Por último, el sesgo de voluntario, presente en toda investigación, pero especialmente en esta por tratarse de un cuestionario que evalúa conocimientos, favorece la participación de aquellos sujetos que creen saber más sobre el tema. Sin embargo, contar con una herramienta que permita responder «no sé» puede ofrecer una solución parcial a la demanda de saber.
En conclusión, ser familiar de un paciente con demencia parece no aumentar la información disponible sobre esta enfermedad, lo que podría incrementar el riesgo de sobrecarga del cuidador. La relación entre delírium y demencia requiere un mayor acceso al conocimiento por parte del personal de salud, debido a la baja cantidad de respuestas correctas obtenidas para este ítem. Sumado al síndrome confusional, las alteraciones deglutorias y de movilidad en esta enfermedad constituyen las principales áreas de interés para el desarrollo e implementación de políticas de salud pública dirigidas a la población general, pero también para el abordaje y psicoeducación a familiares en la cotidianeidad de la consulta clínica.
FinanciaciónEste trabajo no cuenta con patrocinio.
Conflicto de interesesLos autores declaran ausencia de conflicto de intereses.









