Tuberculosis (TB) remains a significant global health threat, with latent tuberculosis infection (LTBI) serving as a major reservoir for new TB cases. This study aimed to identify antigens capable of distinguishing between active tuberculosis (ATB) and LTBI in interferon-γ release assays (IGRA).
MethodsFour candidate antigens for LTBI and two for ATB were selected based on a literature review. These antigens were synthesized genetically, subcloned, expressed in bacteria, and purified. Clinical samples were collected from individuals diagnosed with ATB and LTBI to aid in assay development. Novel IGRA assays were then developed using these antigens, and their discriminatory efficacy was assessed.
ResultsAmong the six candidate antigens tested, only three (Rv2028c, Rv2029c and Rv0475) showed promising discriminatory potential for LTBI. Particularly, Rv0475 (HBHA), expressed in Escherichia coli without methylation, exhibited greater stimulation activity in LTBI compared to ATB. Individually, these antigens demonstrated sensitivities ranging from 72.4% to 93.3% and specificities ranging from 79.3% to 89.7%. The combined stimulation of multiple antigens can improve the sensitivity and specificity of the diagnosis.
ConclusionOur findings highlight the potential of three LTBI antigens and their combination in distinguishing between ATB and LTBI. Adding this antigen combination to the traditional IGRA assay could significantly improve the clinical differentiation of healthy individuals, LTBI, and ATB. Further investigation in larger and more diverse patient cohorts is warranted to validate the utility of these antigen combinations in clinical settings.
La tuberculosis (TB) sigue siendo una amenaza significativa para la salud global, y la infección tuberculosa latente (LTBI) sirve como un reservorio importante para nuevos casos de TB. Este estudio tuvo como objetivo identificar antígenos capaces de distinguir entre tuberculosis activa (ATB) e LTBI en ensayos de liberación de interferón-γ (IGRA).
MétodosSe seleccionaron 4 antígenos candidatos para LTBI y 2 para ATB basados en una revisión de la literatura. Estos antígenos fueron sintetizados genéticamente, subclonados, expresados en bacterias y purificados. Se recogieron muestras clínicas de individuos diagnosticados con ATB y LTBI para el desarrollo del ensayo. Posteriormente se desarrollaron nuevos ensayos IGRA utilizando estos antígenos, y se evaluó su eficacia discriminatoria.
ResultadosEntre los 5 antígenos candidatos probados, solo 3 (Rv2028c, Rv2029c y Rv0475) mostraron un potencial discriminatorio prometedor para LTBI. En particular, Rv0475 (HBHA), expresado en Escherichia coli sin metilación, exhibió una mayor actividad de estimulación en la LTBI en comparación con la ATB. Individualmente, estos antígenos demostraron sensibilidades entre el 72,4 y el 93,3%, y especificidades entre el 79,3 y el 89,7%. La estimulación combinada de múltiples antígenos puede mejorar la sensibilidad y la especificidad del diagnóstico.
ConclusionesNuestros hallazgos destacan el potencial de 3 antígenos de la LTBI y su combinación para distinguir entre ATB y LTBI. Añadir esta combinación de antígenos al ensayo IGRA tradicional podría mejorar significativamente la diferenciación clínica entre individuos sanos, LTBI y ATB. Se requiere una investigación adicional en mayores y más diversas cohortes de pacientes para validar la utilidad de estas combinaciones de antígenos en entornos clínicos.
Tuberculosis (TB) continues to pose a significant global health threat. According to the World Health Organization (WHO), approximately one-quarter of the world's population is estimated to have latent tuberculosis infection (LTBI).1 Among individuals with LTBI, about 5–10% will progress to active TB (ATB) during their lifetime.2 Timely detection and treatment of ATB cases are essential, not only for improving individual outcomes but also for breaking the chain of transmission.3 In China, where the LTBI incidence rate is around 13.5% and 19.8%,4 the need for hospital visits for clinical diagnosis poses a significant economic burden. This situation raises the importance of developing a technology capable of distinguishing between LTBI and ATB infections without the need for extensive hospital-based investigations.
Several methods are available for differentiating between LTBI and ATB. Initially, active bacterial presence in sputum or other specimens can be detected through methods such as sputum smear, sputum culture, or gene amplification. However, these methods have limitations, with only a 50–60% diagnostic accuracy for active TB and thus cannot reliably differentiate between LTBI and ATB.5 Another approach involves testing antibodies against various TB antigen combinations, such as Rv1408, R0248, Rv2026c, and Rv2716,3 as well as Rv1860, Rv3881c, and Rv3803c.4 However, this method lacks success due to the variability of antibody combinations, which may not timely reflect TB status. Although traditional interferon-γ (IFN-γ) release assays (IGRA) using ESAT-6/CFP-10 antigens, struggle to differentiate between LTBI and ATB,6–8 IGRA utilizing different TB antigens present a promising avenue. Thus, identifying TB antigens with the potential for differentiation becomes crucial.
To identify the differential antigen, understanding the biological distinctions between the TB states is crucial. LTBI refers to a condition where an individual has been infected with Mycobacterium tuberculosis (Mtb) but remains asymptomatic.2 During LTBI, dormant Mtb persists within macrophages, epithelial cells, and adipocytes, adapted to endure harsh conditions such as hypoxia and limited nutrients. These dormant bacteria can reactivate as host immunity wanes, leading to ATB characterized by active replication.9,10 These differences are reflected in diverse bacterial protein expression profiles and host immune responses.9,11 Notably, 124 antigens associated with the latent period have been identified.12,13 Among these, the dormancy survival regulon (DosR) genes exhibit strong immunogenicity in stimulating Th1-type immune responses.14–17 Rv2028c and Rv2029c were selected for belonging to this regulon.6,17,18 Other LTBI antigens include Rv3615c, Rv0081, Rv3879c, EspC (aa54-103)/EspF (aa9-44), and Rv2031c.14,19,20 Rv0081 and Rv0475 (HBHA) were selected based on reported discerning activity.21–23
In addition to exploring LTBI-associated antigens, we also investigated antigens expressed and secreted by ATB with potential to distinguish between ATB and LTBI as Ag85 complex, including Rv1886c and Rv3804c, identified as secreted proteins and promising vaccine candidates.12,13,24,25 Based on a thorough literature review, we selected six antigens with the highest potential to differentiate between ATB and LTBI – three specific to ATB (Rv1886c, Rv3804c and Rv0081) and three specific to LTBI (Rv2028c, Rv2029c and Rv0475). These antigens were chosen for their ability to potentially enhance diagnostic accuracy. We validated their individual performance and explored combinations of these antigens to improve the sensitivity and specificity of IGRA assays for discriminating between ATB and LTBI patients.
MethodsStudy design and settingsThis is a prospective study. A total of 60 samples were included in the study, comprising 30 ATB and 30 LTBI cases. Between July and August 2021, consecutive patients visiting the tuberculosis department at Guangzhou Chest Hospital and meeting the diagnostic criteria for tuberculosis were recruited. This study received approval from the Guangzhou Chest Hospital Medical Ethics Committee under protocol number 2020-61. Written informed consent was obtained from all participants, allowing the utilization of their data for research purposes.
The diagnostic criteria for clinical ATB are based on the “Diagnosis for pulmonary tuberculosis (WS 288-2017)”8 and clinical or bacteriological methods for diagnosing tuberculosis patients. That is, if any of the following are positive: sputum smear, sputum culture, or nucleic acid diagnosis, the patient is considered positive for ATB. If there are clinical symptoms, or if there is a suspicious lesion on the X-ray, or if there is improvement in symptoms after diagnostic treatment, the patient is also considered to have ATB. If the clinical diagnosis is negative but the IGRA method is positive, the patient is considered to have LTBI.
Reagents and instrumentsEnzyme-linked immunosorbent assay (ELISA) plate reader Spectra Max M3 was from Molecular Devices (USA). Low endotoxin heparin sodium anticoagulant tube was from Yangpu Medical Instruments (China). AIMTB (traditional IGRA assay kit) was from Leide Bioscience (Guangzhou, China). Ni-Sepharose high performance resin was from GE healthcare (USA). Pierce BCA protein assay kit was from Thermo Fisher (USA). Limulus reagent was from Xiamen Bioendo Technology (Xiamen, China).
Gene synthesis and protein expressionThe recombinant genes were designed based on the protein sequence, incorporating a His tag at either the N- or C-terminus. The signal peptide was removed from Rv2029c and Rv1886c. The protein sequences were identified with the following accession numbers: Rv0475 (HBHA, protein sequence IP: WP_031723261), Rv0081 (WP_183080309), Rv1886c (AAK46207), Rv2028c (WP_167669069), Rv2029c (WP_055374207), and Rv3804c (WP_057363222). The genes, synthesized by Gene script (Nanjing, China), were inserted into the pET28 expression vector and transformed into the BL21 bacterial strain (Escherichia coli). To induce expression, bacterial growth was conducted at 37°C until reaching an OD600 of 0.6, followed by a 4-h induction with 1mM IPTG. Subsequently, the bacteria were harvested by centrifugation at 4000rpm for 15min. The resulting cell pellet was then sonicated in binding buffer (composed of 20mM sodium phosphate, 0.5M NaCl, 10mM imidazole, pH 7.4). Afterward, the supernatant was obtained by centrifugation at 15,000rpm for 40min, serving as the pretreatment sample for purification.
For protein purification, a Ni-Sepharose affinity column was employed. Soluble proteins underwent equilibration of the Ni-column with binding buffer, followed by loading of the pretreated sample, washing with binding buffer, and elution using a linear gradient with elution buffer (comprising 20mM sodium phosphate, 0.5M NaCl, 500mM imidazole, pH 7.4). Insoluble proteins were first solubilized in 6M urea and subsequently purified using the same Ni-Sepharose column, with a gradient dilution refolding method applied thereafter.
The purified proteins were then tested for purity, concentration, and endotoxin levels, and those that met the requirements (≥95% purity and endotoxin levels ≤0.5EU/ml) were used in developing IFN-γ release assay. Verification of the protein purity was conducted through 4–12% gradient SDS-PAGE gel electrophoresis with Coomassie blue R250 staining. Protein concentration was determined using the BCA method, while endotoxin levels were measured through the Limulus assay.
New IFN-γ release assay developmentIGRA were devised through the adaptation of the AIMTB kit, with the singular alteration being the substitution of the antigen stimulant. The AIMTB kit, serving as a fundamental IGRA method, utilized ESAT-6 and CFP-10 antigens as TB-specific stimulants. In a nutshell, the initial step involved incubating peripheral blood with the purified antigen or antigen mixtures stimulant. Fresh heparinized venous blood was gently inverted eight times for thorough mixing, and 0.6ml of the resulting blood sample was transferred to tubes labeled N (negative control), T (test antigen stimulant), and P (positive control). After five inversions to ensure complete mixing, the tubes were placed in a 37°C incubator for 20h. Following centrifugation at 1000×g for 5min, the supernatant plasma was meticulously transferred to an empty tube and either used for IFN-γ ELISA detection or stored in a refrigerator at a temperature below −20°C for centralized testing.
Following the plasma IFN-γ ELISA protocol outlined in the AIMTB kit instructions, gradient standards were appropriately diluted and 50μL of the dilution buffer was added to each well. Subsequently, 50μL of the standard was dispensed into the standard well, while 50μL of the plasma sample was placed into each sample well. The mixture underwent incubation at room temperature (22–28°C) with agitation at 250rpm for 1h. After a washing step, 100μL of the HRP-conjugated secondary antibody and anti-IFN-γ antibody solution (in a 1:1 ratio) were introduced. This mixture underwent incubation at room temperature with agitation at 250rpm for 1h. Following a second washing step, 100μL of substrate A and substrate B (in a 1:10 ratio) were added. The plate was covered and incubated in the dark for 20min, after which optical density (OD) values were measured at wavelengths of 450nm and 630nm. Finally, the data were analyzed using 4-parameter (4-Qarameter) software.
In the development of the new IFN-γ release assays, optimal antigen concentrations were determined through trial experiments involving 5 patients with ATB and 5 LTBI. In the single-antigen assay, various antigen dilutions were assessed, and the concentration that yielded a higher positive rate and lower non-specific rate was identified. The optimized new IGRA was subsequently employed in clinical sample testing.
Statistical analysisStatistical analysis was conducted using SPSS 20.0. The data are presented as medians [interquartile ranges (IQRs)] for non-normally distributed data and as mean±standard deviation (SD) for normally distributed data.
The chi-squared test, Student's t-test, and Mann–Whitney U test were employed to compare differences between categorical variables, normally distributed continuous variables, and non-normally distributed continuous variables, respectively. Receiver operating characteristic (ROC) curves were used to determine the critical values for distinguishing between LTBI and ATB, based on clinical diagnosis. The optimal cutoff values were determined using the Youden's index, which was calculated using the following formula: Youden's index=Sensitivity+Specificity−1. The corresponding sensitivity and specificity were obtained from the ROC curve coordinates at the cutoff value. Sensitivity was defined as the percentage of true ATB cases among all actual ATB cases in the IGRA-positive patient group, calculated as: Sensitivity=True positive cases/(True positive cases+False negative cases)×100%. Specificity was defined as the percentage of true LTBI cases among all actual LTBI cases in the IGRA-positive patient group, calculated as: specificity=True negative cases/(True negative cases+False positive cases)×100%; Positive predictive value (PPV)=True positive cases/(True positive cases+False positive cases)×100%; Negative predictive value (NPV)=True negative cases/(True negative cases+False negative cases)×100%. A p-value of <0.05 indicates a statistically significant difference.
ResultsCharacteristics of LTBI and ATB patientsA total of 35 ATB patients were identified, and peripheral blood samples of 8ml were collected from each patient for IGRA testing. However, 5 peripheral blood samples were deemed ineligible due to insufficient volume or hemolysis, resulting in their exclusion from the study. Consequently, 30 ATB patients were included in the case group. Furthermore, 60 consecutive patients visiting the tuberculosis department during the same period, but diagnosed with non-tuberculosis conditions (microbiological negative and clinically ruled out for ATB), were enrolled. A total of 35 non-tuberculosis patients were included, and peripheral blood samples of 8ml were collected from each patient for IGRA testing. Among them, 4 patients tested negative for IGRA, and 1 peripheral blood sample had insufficient volume, leading to their exclusion from the study. Thus, a total of 30 LTBI patients were included in this group. The laboratory personnel were unaware of the clinical information corresponding to the samples.
The ATB group was significantly older than the LTBI group (42.7±11.3 vs 53.0±20.2, p=0.018). No significant differences were observed between the two groups in terms of gender distribution, diabetes, chronic obstacle pulmonary disease, smoking, or drinking (p>0.05). Among ATB patients, the proportions with nucleic acid positive, cultures positive, smears positive and microbiologically negative were 60.0%, 20.0%, 43.3% and 16.67%, respectively. The proportions of primary pulmonary tuberculosis, secondary pulmonary tuberculosis, tuberculous pleurisy, and other extrapulmonary tuberculosis in the ATB group were 23.3%, 63.3%, 6.7%, and 6.7%, respectively (Table 1).
Characteristics of the three groups of subjects.
| Characteristics | LTBI | ATB | HC | p-Value |
|---|---|---|---|---|
| N | 30 | 30 | 60 | |
| Age, years (mean±SD) | 42.7±11.3 | 53.0±20.2 | 41.12±12.9 | 0.002 |
| Male, N (%) | 17 (56.7%) | 17 (56.7%) | 30 (50%) | 0.765 |
| Diabetes mellitus, N (%) | 3 (10.0%) | 4 (13.3%) | 0 | 0.021 |
| Chronic obstructive pulmonary disease, N (%) | 0 (0%) | 1 (3.3%) | 0 | 0.220 |
| Smoking, N (%) | 13 (43.3%) | 14 (46.7%) | 21 (35.0%) | 0.517 |
| Drinking, N (%) | 9 (30.0%) | 9 (30.0%) | 16 (30.0%) | 0.921 |
| TB testing | ||||
| Nucleic acid positive, N (%) | – | 18 (60.0%) | ||
| Smear positive, N (%) | – | 6 (20.0%) | ||
| Culture positive, N (%) | – | 13 (43.3%) | ||
| Pathogen-negative, N (%) | – | 5 (16.67%) | ||
| Diagnosis | ||||
| Primary pulmonary TB, N (%) | – | 7 (23.3%) | ||
| Secondary pulmonary TB, N (%) | – | 19 (63.3%) | ||
| Tuberculous pleurisy, N (%) | – | 2 (6.7%) | ||
| Other extrapulmonary TB, N (%) | – | 2 (6.7%) | ||
TB: tuberculosis; LTBI: latent tuberculosis infection; ATB: active tuberculosis; HC: health control.
Protein names and accession numbers were listed in Supplementary Table 1. Molecular weights were estimated from their protein sequences. The solubility of antigens, their expression levels, and the optimal stimulation concentrations were determined experimentally, while potential functions were gleaned from the literature. The expression level was determined following the initial Ni-Sepharose purification of the target recombinant proteins and assessed using the BCA method.
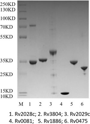
Analysis of purified recombinant antigens by SDS-PAGEAfter gene synthesis, subcloning, protein expression, and purification, the purity of recombinant antigens was assessed by loading 5μg of each antigen onto a 4–12% gradient SDS-PAGE gel for electrophoresis. The antigens are labeled as one to six, respectively. Corresponding molecular sizes of each antigen matched with the estimated sizes: Rv2028c (30.6kDa), Rv3804c (32.9kDa), Rv2029c (36.5kDa), Rv0081 (13.4kDa), Rv1886c (31.7kDa), and Rv0475 (22.6kDa) (Fig. 1). The purity of the antigens is suitable for assay development.
IFN-γ level stimulated by traditional antigens ESAT-6 and CFP-10The IFN-γ levels stimulated by traditional antigens ESAT-6 and CFP-10 were significantly higher in the LTBI (175.96 [83.35–336.95] vs 2.47 [0.00–7.71], p<0.0001) and ATB (187.31 [83.36–382.97] vs 2.47 [0.00–7.71], p<0.0001) groups compared to the healthy control (HC) group. However, there was no significant difference in IFN-γ levels between the LTBI and ATB groups (175.96 [83.35–336.95] vs 187.31 [83.36–382.97], p=0.795) (Fig. 2A). The ROC analysis showed that the traditional stimulation of IFN-γ by ESAT-6 and CFP-10 antigens was unable to differentiate between ATB and LTBI (area under the curve (AUC)=0.479, p=0.779; Fig. 2B).
IFN-γ levels stimulated by ESAT-6 and CFP-10. IFN-γ levels between LTBI and ATB groups stimulated by ESAT-6 and CFP-10 (A); ROC for ESAT-6 and CFP-10 (B). LTBI: latent tuberculosis infection; ATB: active tuberculosis; HC: health control; ROC: receiver operating characteristic. Black lines: mean±SD. ***p < 0.001.
The new IGRA assay was developed based on the commercial kit, with changes primarily made to the antigen testing tube by replacing the combination antigens CFP-10 and ESAT-6 with six individual antigens (Rv2028c, Rv2029c, Rv0081, Rv0475, Rv3804c and Rv1886c). The commercial IGRA assay itself remained unchanged, including negative and positive control tubes and an IFN-γ detection kit, with the only modification being the antigen testing tube. Using the same whole blood from each recruited individual under identical conditions ensured the comparability of results. None of the selected antigens were able to differentiate between LTBI and HC based on IFN-γ levels (p>0.05). However, the LTBI-antigens Rv2028c (223.35 [62.88, 83.00] vs 15.35 [6.93, 40.08], p<0.0001; Fig. 3A), Rv2029c (108.15 [52.60, 276.93] vs 18.15 [8.33, 38.03], p<0.0001; Fig. 3B), Rv0081 (13.55 [2.53, 27.45] vs 7.74 [1.08, 19.85], p=0.138; Fig. 3C) and Rv0475 (77.85 [47.33, 132.50] vs 18.80 [4.13, 45.45], p<0.0001; Fig. 3D) exhibited a stronger stimulatory effect on memory T/effector T cells of LTBI patients, leading to significantly higher levels of IFN-γ production compared to ATB patients. As for the ATB-antigens Rv3804c (42.95 [12.40, 83.00] vs 37.15 [18.93, 60.66], p=0.942; Fig. 3E) and Rv1886c (16.19±14.89 vs 14.43±13.66, p=0.658; Fig. 3F) demonstrated similar stimulatory effects on LTBI and ATB patients, with no significant difference in IFN-γ levels.
IFN-γ levels stimulated by recombinant antigens. IFN-γ levels between LTBI and ATB groups stimulated by LTBI-antigens Rv2028c (A), Rv2029c (B), Rv0081 (C), Rv0475 (D); IFN-γ levels between LTBI and ATB groups stimulated by ATB-antigens Rv1886c (E), Rv3804c (F). LTBI: latent tuberculosis infection; ATB: active tuberculosis; HC: health control. Black lines: mean±SD. Red lines: cutoff values; **p<0.01; ***p<0.001.
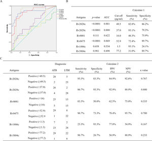
In order to assess the diagnostic value of the recombinant antigens Rv2028c, Rv2029c and Rv0475 for distinguishing between LTBI and ATB, we conducted ROC curve analysis. The IFN-γ level stimulated by antigens Rv2028c (AUC=0.881, p<0.0001; Fig. 4A), Rv2029c (AUC=0.880, p<0.0001; Fig. 4A) and Rv0475 (AUC=0.869, p<0.0001; Fig. 4A) can serve as discriminatory markers for LTBI and ATB. At an IFN-γ level of 49.50pg/ml post-stimulation with Rv2028c, in the data from ROC curves, the sensitivity was 82.80% and specificity was 86.20% (Fig. 4B) and for actual cases, the sensitivity, specificity, predictive positive value (PPV), negative predictive value (NPV) and κ value were 93.33%, 83.33%, 84.85%, 92.56% and 0.767, respectively (Fig. 4C). For Rv2029c stimulation, at an IFN-γ level of 37pg/ml, in the data from ROC curves, the sensitivity was 93.1% with a specificity of 79.3% (Fig. 4B), and for actual cases, the sensitivity, specificity, PPV, NPV, and κ value were 86.67%, 93.33%, 92.86%, 88.89% and 0.800, respectively (Fig. 4C). Following stimulation with Rv0475, at an IFN-γ level of 52.85pg/ml, the sensitivity was 72.4%, and the specificity was 89.7% (Fig. 4B); for actual cases, the sensitivity, specificity, PPV, NPV and κ value were 96.67%, 73.33%, 78.38%, 95.65% and 0.700, respectively (Fig. 4C). The IFN-γ level stimulated by antigens Rv0081 (AUC=0.622, p=0.111), Rv1886c (AUC=0.561, p=0.416), Rv3804c (AUC=0.530, p=0.690), cannot distinguish LTBI and ATB (Fig. 4A and B).
ROC curves. (A) Curves for recombinant antigens. The ROC curve of IFN-γ stimulated by Rv2028c, Rv2029c, Rv0081, Rv0475, Rv1886c and Rv3804c; (B) AUC, cutoff value, sensitivity and specificity of ROC analysis. AUC: area under the curve; LTBI: latent tuberculosis infection; ATB: active tuberculosis. Calculate 1: data from ROC curve at the cutoff value; Calculate 2: data from actual cases; PPV: positive predictive value; NPV: negative predictive value.
To analyze the discriminatory role of combined antigens Rv2028c, Rv2029c, and Rv0475 in distinguishing LTBI from ATB, we evaluated the combined stimulation of any two antigens or all three antigens. The combined stimulation enhanced the discriminatory diagnostic effect for LTBI and ATB, showing significantly improved IFN-γ levels compared to single antigen stimulation. Specifically, the AUC values were higher for combined antigen stimulation compared to single antigen stimulation: Rv2028c (0.934 vs 0.881, 0.927 vs 0.881, 0.951 vs 0.881), Rv2029c (0.934 vs 0.880, 0.947 vs 0.880, 0.951 vs 0.880), and Rv0475 (0.927 vs 0.869, 0.947 vs 0.869, 0.951 vs 0.869) (Fig. 5). Particularly, the combined stimulation with all three antigens achieved the highest sensitivity and specificity, in the data from ROC curves, the sensitivity was 80.0% with a specificity of 100.00% (Fig. 5B); for actual cases, the sensitivity, specificity, PPV, NPV and κ value were 100.00%, 80.00%, 83.33%, 100.00% and 0.800, respectively (Fig. 5C).
ROC curves. (A) Curves for combine recombinant antigens. The ROC curve of IFN-γ stimulated by Rv2028c+Rv2029c, Rv2028c+Rv0475, Rv2029c+Rv0475, Rv2028c+Rv2029c+Rv0475. (B) AUC, cutoff value, sensitivity and specificity of ROC analysis. AUC: area under the curve; LTBI: latent tuberculosis infection; ATB: active tuberculosis. Calculate 1: data from ROC curve at the cutoff value; Calculate 2: data from actual cases; PPV: positive predictive value; NPV: negative predictive value.
Discern ATB and LTBI is important. Misdiagnosing ATB as LTBI carries severe consequences, including uncontrolled mycobacterial replication and heightened risks of drug resistance, leading to increased morbidity and mortality.1 In this study, we screened four potential LTBI antigens and two ATB antigens for the ability to elicit Th1 cellular immune responses characterized by IFN-γ. The selection of these antigens was based on extensive literature review, focusing on their potential to differentiate between ATB and LTBI. Secreted Mtb, which are expressed early during the course of infection,26 have been widely reported as potential vaccine candidates (Rv3804c/Rv1886v) and/or immunodiagnostic reagents (ESAT-6 and CFP-10) for TB.27,28 Their expression decreases when TB bacteria enter a non-replicating, low metabolic activity state.29 Our study revealed that stimulation with ESAT-6 and CFP-10 does not differentiate between LTBI and ATB, consistent with previous findings.30 While Rv1886c and Rv3804c are recognized for their strong immunogenicity and the variation in antibody response between LTBI and ATB,31,32 our research found no significant difference in IFN-γ levels following stimulation with these antigens between the LTBI and ATB groups. This suggests that while these antigens are highly immunogenic, they may not provide sufficient discriminatory power between latent and active TB infections.
None of the selected antigens were able to differentiate between LTBI and HC based on IFN-γ levels. However, the three LTBI antigens in this study demonstrated the potential to differentiate between LTBI and ATB, Rv2028c, Rv2029c, and Rv0475, with AUC values reaching 0.881, 0.880, and 0.869, respectively. Our findings suggest that while a single antigen may not distinguish healthy, ATB, and LTBI, combining traditional IGRA testing (first separating healthy individuals from those infected) with antigens like Rv2028c, Rv2029c, and Rv0475 has strong potential for clinically differentiating HC, LTBI, and ATB. Rv2028c is a DosR-regulated antigen associated with latent infection that functions in low oxygen environments and contributes to the dormancy of tuberculosis bacteria.33 Hingley-Wilson et al. found that under conditions of hypoxia, low NO, and CO stress, the expression of Rv2028c is upregulated.34 Research by Dr. Zhao et al. indicated that the Rv2028c protein can stimulate peripheral blood T cells from individuals with LTBI to release higher levels of IFN-γ compared to patients with ATB.33 Some studies found that compared to patients with ATB, individuals with LTBI showed increased production of IFN-γ by CD4+ T cells in response to Rv2029c.29 These studies, along with the present study, suggest that the Rv2028c and Rv2029c antigens have the potential to differentiate between LTBI and ATB. Unfortunately, our study revealed that Rv0081 IGRA has low sensitivity and specificity diagnosing ATB from LTBI and suggests that not all LTBI-associated antigens can effectively differentiate between these two states.
Rv0475, also known as heparin-binding hemagglutinin (HBHA), facilitates the attachment of M. tuberculosis to host cells.24 In studies regarding HBHA IGRA, it has been established that the C-terminal methylation of HBHA is essential for its antigenicity and effective T cell immunity. Recombinant HBHA produced from E. coli, lacking methylation, has been shown to lack these properties.16,24 Delogu et al. employed methylated HBHA (Rv0475) to distinguish between ATB and LTBI, achieving a sensitivity and specificity of 75.0% at a cut-off point below 0.75IU/ml.16,24 In our study, the E. coli-expressed Rv0475 antigen demonstrated 72.4% sensitivity and 89.7% specificity in distinguishing between LTBI and ATB. Our findings suggest that E. coli-expressed HBHA can be effectively used to differentiate between LTBI and ATB, offering a potential cost-saving alternative to purifying methylated HBHA from BCG or expressing it from Mycobacterium smegmatis.16,17
Full-length antigens generally elicit a full spectrum of T cell responses, while peptides target limited epitopes. In our research, we utilized the full length of TB antigens to quickly assess their T cell stimulation activity. However, a limitation is that some proteins are challenging to express in a soluble form. While five out of six proteins were expressed well and in a soluble state, one of them, Rv2028c, was expressed insolubly. The refolding process for Rv2028c required an extended step and resulted in a lower recovery rate. Further efforts are needed to enhance the solubility of Rv2028c or extract several T cell epitope peptides to represent Rv2028c in our future studies.
In our study, we randomly combined the three selected antigens, Rv2028c, Rv2029c and Rv0475. The discriminatory diagnostic performance of the combination antigens for LTBI and ATB was more effective than that of individual antigens. The combined stimulation, especially with all three antigens, achieved the highest sensitivity and specificity, reaching 80% and 100%, respectively. Additionally, we can adjust the cutoff values to increase sensitivity at the expense of specificity, making the assay more suitable for differential diagnosis. This enhancement could be due to individual variability in immune responses to the different antigens. Some patients may have a stronger response to Rv2028c, others to Rv2029c, and some to Rv0475. By combining these antigens, we can mitigate the impact of individual non-responses, thus improving overall sensitivity and specificity. The key innovation of our research lies in the combination stimulation of antigens that we identified as having the potential to improve diagnostic accuracy. This approach is distinct from previous studies, which have primarily focused on single-antigen assays.20,35 Our findings provide new insights into how antigen combinations can enhance diagnostic performance, offering a more effective tool for distinguishing between latent and active tuberculosis. The combination of these antigens may provide a valuable diagnostic tool, aiding in accurate diagnosis and reducing misdiagnoses and missed diagnoses. For ATB patients, this allows for timely antituberculosis treatment; for LTBI patients, it enables preventive treatment or monitoring, thereby reducing the risk of progression to active tuberculosis. Additionally, this method can be used for TB screening, allowing for the timely detection of both LTBI and ATB cases, thus saving healthcare costs. Implementing targeted measures based on accurate diagnosis can accelerate the achievement of the goal to end tuberculosis.
Limitations of the study include the small sample size, which may limit the generalizability of the results. The study's sample source was limited to Guangzhou chest hospital, potentially limiting the applicability of the findings. There may be unaccounted-for confounding factors that could impact the results, such as other infections or immune-related diseases. While efforts were made to standardize experimental procedures, there may still be methodological limitations inherent in using IGRA as a diagnostic tool. Further validation in larger, more diverse cohorts is needed to confirm the utility of the identified antigen combinations in clinical settings. Additionally, a limitation of this study is that the selection of the six antigens was based on literature review, without broader validation of a wider range of antigens. This may limit the identification of potentially more optimal antigens or antigen combinations for distinguishing between ATB and LTBI. Further research is needed to explore a more comprehensive array of antigens to improve diagnostic accuracy.
In conclusion, traditional antigens ESAT-6 and CFP-10 failed to effectively differentiate between LTBI and ATB, as they did not significantly alter the levels of IFN-γ between the two groups. In this study, three antigens (Rv2028c, Rv2029c, and Rv0475) were selected from six individual antigens, showing promising potential for distinguishing between LTBI and ATB. Our study highlights the potential of combined antigen stimulation, particularly with the combination of Rv2028c, Rv2029c, and Rv0475, to enhance the differentiation between LTBI and ATB. Adding this antigen combination to the traditional IGRA assay could significantly improve the clinical differentiation of healthy individuals, LTBI, and ATB. These findings offer a promising direction for developing more accurate diagnostic tools, though comprehensive validation with clinical samples is necessary to confirm their effectiveness. Additionally, comprehensive validation through rigorous clinical sample testing is essential to establish the reliability and robustness of our findings.
Ethical approvalAll experiments involving human participants and/or human tissue samples were performed in accordance with the guidelines and regulations outlined in the Declaration of Helsinki, this study was approved by the Guangzhou Chest Hospital Medical Ethics Committee under protocol number 2020-61. Informed consent was obtained from all participants prior to their participation in the study.
Conflict of interestNone declared.
This study was supported by the Medical Science Research Foundation of Guangdong Province, China (B2021038); Science and Technology Program of Guangzhou (202201010744; 2024A03J0587; 2023A03J0994; 2024A03J0579; 202002030152); Leading Talents in Entrepreneurship and Innovation of Guangzhou Development Zone (Phase II) (No. 2021-L033); Yangcheng Innovation and Entrepreneurship Talent Support Program (2016011); Guangzhou Medical Key Discipline (2021–2023, Tuberculosis).









