La evaluación de la insulinorresistencia requiere de metodología sofisticada de difícil aplicación. Por lo cual se han sugerido distintos estimadores de esta condición. El objetivo de este estudio fue evaluar el índice triglicéridos y glucosa (TyG) como marcador de insulinorresistencia y compararlo con la relación triglicéridos y colesterol-HDL (TG/C-HDL), en individuos con y sin síndrome metabólico (SM).
Material y métodosSe realizó un estudio observacional, transversal, en 525 individuos adultos de una población de Bahía Blanca, Argentina, quienes fueron divididos en dos grupos: con SM (n=89) y sin SM (n=436). Se evaluaron las capacidades discriminativas para SM del índice TyG, calculado como Ln(TG[mg/dL] x glucosa[mg/dL]/2), y de la relación TG/C-HDL. Probabilidad pretest para SM = 30%.
ResultadosEl valor medio del índice TyG fue mayor en el grupo con SM comparado con el grupo sin SM y fue buena su correlación con TG/C-HDL. Los puntos de corte para SM en la población total fueron: 8,8 para el índice TyG (sensibilidad = 79%, especificidad = 86%), y 2,4 para la relación TG/C-HDL (sensibilidad = 88%, especificidad = 72%). Las razones de probabilidad y probabilidades postest positivas para dichos parámetros fueron 5,8 vs. 3,1 y 72% vs. 58%, respectivamente. El punto de corte para el índice TyG en hombres fue 8,8 y en mujeres 8,7; los valores respectivos para TG/C-HDL fueron 3,1 en hombres y 2,2 en mujeres.
ConclusionesEl índice TyG fue un buen discriminante de SM. La simplicidad de su cálculo justifica profundizar su estudio como marcador alternativo de insulinorresistencia.
Insulin resistance assessment requires sophisticated methodology of difficult application. Therefore, different estimators for this condition have been suggested. The aim of this study was to evaluate the triglycerides and glucose (TyG) index as a marker of insulin resistance and to compare it to the triglycerides/HDL cholesterol ratio (TG/HDL-C), in subjects with and without metabolic syndrome (MS).
Material and methodsAn observational, cross-sectional study was conducted on 525 adults of a population from Bahia Blanca, Argentina, who were divided into two groups: with MS (n=89) and without MS (n=436). The discriminating capacities for MS of the TyG index, calculated as Ln (TG [mg/dL] x glucose [mg/dL]/2), and the TG/HDL-C ratio were evaluated. Pre-test probability for MS was 30%.
ResultsThe mean value of the TyG index was higher in the group with MS as compared to the group without MS and its correlation with the TG/HDL-C ratio was good. The cut-off values for MS in the overall population were 8.8 for the TyG index (sensitivity=79%, specificity=86%), and 2.4 for the TG/HDL-C ratio (sensitivity=88%, specificity=72%). The positive likelihood ratios and post-test probabilities for these parameters were 5.8 vs 3.1 and 72% vs 58% respectively. The cut-off point for the TyG index was 8.8 in men and 8.7 in women; the respective values for TG/C-HDL were 3.1 in men and 2.2 in women.
ConclusionsThe TyG index was a good discriminant of MS. Its simple calculation warrants its further study as an alternative marker of insulin resistance.
La insulinorresistencia (IR) implica una disminución de la sensibilidad celular a la insulina y es una característica central del síndrome metabólico (SM)1. Esta condición predispone a varios trastornos metabólicos tales como hiperglucemia, hipertensión y dislipemia, todos ellos fuertemente asociados con diabetes, aterosclerosis y enfermedad cardiovascular.
La evaluación de la IR requiere metodologías sofisticadas que no están disponibles para su uso en la práctica clínica diaria2. El clamp euglucémico hiperinsulinémico es el método directo de medición de IR y se considera el «gold standard», pero debido a la dificultad de su aplicación en la práctica cotidiana se han propuesto varios marcadores sustitutos, siendo el Homeostasis Model Assessment de IR (HOMA-IR) uno de los más utilizados y ampliamente difundidos. El HOMA-IR se calcula en base a la medición de la concentración de glucosa e insulina en ayunas3. La insulina por su parte, presenta dos cuestiones a tener en cuenta, por un lado posee una elevada variabilidad biológica (intraindividuo de 21,1% e interindividuo de 58,3%)4 y por otro, su medición aún no se ha estandarizado5,6. Estos, son dos aspectos que impactan directamente en la estimación de la IR mediante la utilización del índice HOMA-IR y otras fórmulas que han sido desarrolladas empleando el valor de insulina en sus cálculos (QUICKI, FGIR, Raynaud, Reciprocal insulin)7.
Frente a estas dificultades se han tratado de identificar otros parámetros que pudieran ser de utilidad para evaluar la IR. De hecho, los índices para determinar la acción de la insulina en base a lípidos pueden ayudar a identificar a los individuos con IR8. La hipertrigliceridemia e hipoalfalipoproteinemia es la dislipemia característica de los sujetos con IR9,10. Aunque aún no hay una explicación definitiva para la correlación entre la hipertrigliceridemia y la IR, se ha informado que el aumento de triglicéridos (TG) interfiere con el metabolismo muscular de la glucosa11, un hallazgo consistente con la hipótesis de que la elevación de los TG en el suero y en los tejidos está relacionada con una disminución en la sensibilidad a la insulina12. En este sentido, la relación entre la concentración plasmática de TG y colesterol HDL (TG/C-HDL) ha sido sugerida como una alternativa útil para la estimación de la acción de la insulina13 y en 2010, Guerrero et al., demostraron que el producto de TG y glucosa en plasma, denominado índice triglicéridos y glucosa (TyG), podría ser una estimación útil de IR14. Dicho índice fue comparado con el clamp euglucémico hiperinsulinémico, demostrando tener buena sensibilidad y especificidad para la detección de IR y se ha evidenciado su asociación con aterosclerosis carotídea15. Asimismo, Reaven et al. comprobaron que es similar a la relación TG/C-HDL y comparable con las estimaciones que utilizan insulina en ayunas8.
Salazar et al. en base a un estudio realizado en una población de Argentina, sugirieron que tanto el diagnóstico de SM como la relación TG/C-HDL son adecuados para identificar individuos con IR16.
Por lo expuesto y considerando al SM como un estado prediabético o de disminución de la sensibilidad celular a la insulina17–20, se evaluó el índice TyG como marcador de IR y se comparó con la relación TG/C-HDL, en individuos con y sin SM, en una población adulta de Bahía Blanca, Argentina.
Material y métodosSe realizó un estudio observacional, transversal, en una población laboralmente activa que concurrió entre los años 2009 y 2011 al Servicio de Medicina Preventiva del Hospital Municipal de Agudos «Dr. Leónidas Lucero» de la ciudad de Bahía Blanca, provincia de Buenos Aires, Argentina, con el fin de realizar los estudios correspondientes a la obtención del Documento de Salud Laboral exigido por la Municipalidad de esa ciudad.
El tamaño de muestra calculado para evaluar pruebas diagnósticas con observaciones emparejadas, considerando un nivel de confianza del 95%, una potencia del 90% y una prevalencia de SM de 30%21 fue de 454 sujetos. Con el fin de asegurar este tamaño mínimo muestral, se incluyeron en el estudio 525 sujetos adultos (329 hombres y 196 mujeres), con edades comprendidas entre 18 y 68 años.
Se excluyeron del estudio las embarazadas, los individuos que estaban cursando procesos inflamatorios e infecciosos, estaban recibiendo tratamiento antiinflamatorio y habían desarrollado ejercicio intenso los días previos a la extracción. También se excluyeron los sujetos que presentaban un valor de proteína C reactiva de alta sensibilidad mayor a 10,0mg/L, que sugiere presencia de una condición inflamatoria clínica relevante22.
Todos los individuos fueron evaluados por personal médico a través de un cuestionario guía y un examen clínico, según el protocolo del Servicio de Medicina Preventiva.
Los datos registrados fueron: edad, sexo, hábito tabáquico, medicación recibida (hipoglucemiantes, antihipertensivos, hipolipemiantes, antiinflamatorios, otros), peso, talla, circunferencia de cintura, índice de masa corporal, presión arterial y observaciones del examen clínico.
Las medidas antropométricas fueron obtenidas de acuerdo con los procedimientos estándar23. La circunferencia de cintura (cm) se obtuvo en la zona media entre el margen lateral inferior de la última costilla y la región superior anterior de la cresta ilíaca, en posición vertical, empleando para ello una cinta métrica flexible no distensible. El índice de masa corporal se calculó como el peso (kg)/altura (m)2. La presión arterial se midió empleando un esfigmomanómetro y se expresó en mmHg.
Las muestras de sangre para realizar las determinaciones bioquímicas fueron extraídas por la mañana, después de 12 horas de ayuno, por punción de la vena ante cubital y se recogieron en tubos con anticoagulante (heparina sódica).
Todas las determinaciones se realizaron en un autoanalizador ADVIA1200 (Siemens Medical Healthcare, Alemania), con reactivos de dicho fabricante. Los niveles de glucosa plasmáticos se determinaron utilizando un método enzimático colorimétrico glucosa-oxidasa/Trinder con una reacción de punto final. La concentración de TG se obtuvo mediante el empleo de un método enzimático colorimétrico glicerol-fosfato-oxidasa/Trinder, sin blanco de suero, con una reacción de punto final. La medición del C-HDL se realizó empleando un método directo, eliminación/catalasa, con reacción cinética de dos puntos. La medición de proteína C reactiva de alta sensibilidad se realizó por un método inmunoturbidimétrico.
El índice TyG fue calculado como el logaritmo natural (Ln) del producto de glucosa y TG plasmáticos, según la siguiente fórmula: Ln (TG [mg/dL] x glucosa [mg/dL]/2)14. Se calculó la relación TG/C-HDL.
Los participantes del estudio fueron clasificados en dos grupos: con SM (n=89, 64 hombres, 25 mujeres) y sin SM (n=436, 265 hombres, 171 mujeres), según el criterio de SM del National Heart, Lung, and Blood Institute y de la American Heart Association24, en el cual esta entidad se diagnostica cuando se establece la presencia de 3 o más de los siguientes factores de riesgo: obesidad abdominal (circunferencia de cintura en hombres > 102cm y en mujeres > 88cm), hipertrigliceridemia (TG ≥ 150mg/dL o tratamiento farmacológico para hipertrigliceridemia), C-HDL bajo (C-HDL en hombres < 40mg/dL y en mujeres < 50mg/dL o tratamiento farmacológico para C-HDL reducido), hipertensión arterial (PA ≥ 130/85mmHg o tratamiento farmacológico para hipertensión), glucosa alterada en ayunas (glucosa en ayunas ≥ 100mg/dL o tratamiento farmacológico para hiperglucemia).
El análisis estadístico y epidemiológico de los datos se realizó con el programa Statistical Package for Social Science para Windows (versión 15.0. Chicago, IL, USA) y el Programa para Análisis Epidemiológico de Datos Tabulados (versión 3.1. Xunta de Galicia, Organización Panamericana de la Salud). La normalidad de las variables fue verificada empleando el test de Kolmogorov-Smirnov. Para la comparación de proporciones se empleó χ2. Para la comparación de valores medios de variables paramétricas se aplicó la prueba t de Student, ANOVA y «d» de Cohen25 para evaluar el tamaño del efecto. Para la comparación de medianas de variables no paramétricas se utilizó Mann-Whitney y Delta de Cliff26 para valorar el tamaño del efecto. Se calculó la correlación entre el índice TyG y la relación TG/C-HDL con rho de Spearman. Se elaboraron curvas ROC, se comparó el área bajo la curva (ABC) de ambos parámetros por el método de DeLong27 y se obtuvieron los puntos de corte con mayor capacidad discriminativa para SM. Para dichos puntos de corte se calcularon sensibilidad, especificidad, razones de probabilidad y probabilidades postest, considerando para SM una probabilidad pretest de 0,30 en la población total, 0,34 en hombres y 0,25 en mujeres21.
Las diferencias se consideraron significativas con un p menor a 5%28,29.
El trabajo fue aprobado por el Comité de Ética del Hospital Municipal de Agudos «Dr. Leónidas Lucero» y se obtuvo el consentimiento informado de los individuos que participaron del mismo.
ResultadosEn la tabla 1 se muestran los resultados obtenidos de las variables evaluadas en ambos grupos (con y sin SM), observándose una diferencia estadísticamente significativa entre las mismas.
Resultados obtenidos de las variables analizadas en los grupos evaluados (con y sin síndrome metabólico)
| Variable | Grupo | p | |
| Con síndrome metabólico (n=89) | Sin síndrome metabólico (n=436) | ||
| Hombres/mujeres | 64/25 | 265/171 | 0,050 |
| Edad (años) | |||
| Hombres | 46 (14) | 32 (17) | 0,000 |
| Mujeres | 45 (14) | 34 (15) | 0,000 |
| Total | 45 (15) | 33 (16) | 0,000 |
| Circunferencia de cintura (cm) | |||
| Hombres | 108 (11) | 88 (15) | 0,000 |
| Mujeres | 105 (19) | 73 (16) | 0,000 |
| Total | 107 (11) | 82 (20) | 0,000 |
| Presión arterial diastólica (mmHg) | |||
| Hombres | 90 (20) | 70 (10) | 0,000 |
| Mujeres | 80 (18) | 60 (10) | 0,000 |
| Total | 80 (15) | 68 (10) | 0,000 |
| Presión arterial sistólica (mmHg) | |||
| Hombres | 130 (30) | 112 (20) | 0,000 |
| Mujeres | 120 (30) | 110 (20) | 0,000 |
| Total | 130 (30) | 110 (20) | 0,000 |
| Triglicéridos (mg/dL) | |||
| Hombres | 176 (92) | 94 (60) | 0,000 |
| Mujeres | 158 (91) | 84 (45) | 0,000 |
| Total | 169 (97) | 89 (57) | 0,000 |
| Colesterol-HDL (mg/dL) | |||
| Hombres | 38 (10) | 46 (16) | 0,000 |
| Mujeres | 46 (12) | 57 (19) | 0,000 |
| Total | 39 (12) | 51 (18) | 0,000 |
| Glucosa (mg/dL) | |||
| Hombres | 103 (22) | 89 (13) | 0,000 |
| Mujeres | 101 (21) | 85 (11) | 0,000 |
| Total | 101 (20) | 87 (12) | 0,000 |
Los datos se muestran como mediana (rango intercuartílico).
Como se observa en la tabla 2, en el grupo con SM fue mayor el valor medio del índice TyG y el valor de la mediana de la relación TG/C-HDL respecto del grupo sin SM.
Resultados obtenidos del índice triglicéridos y glucosa y la relación triglicéridos/C-HDL en los grupos evaluados (con y sin síndrome metabólico)
| Variable | Grupo | p (tamaño del efecto) | |
| Con síndrome metabólico (n=89) | Sin síndrome metabólico (n=436) | ||
| Índice triglicéridos y glucosa | |||
| Hombres | 9,2±0,6 | 8,3±0,5 | 0,000(«d» de Cohen=1,6) |
| Mujeres | 9,0±0,5 | 8,1±0,5 | 0,000(«d» de Cohen=1,8) |
| Total | 9,1±0,6 | 8,3±0,5 | 0,000(«d» de Cohen=1,6) |
| Triglicéridos/colesterol-HDL | |||
| Hombres | 4,4 (3,1)* | 2,0 (1,8)* | 0,000(Delta de Cliff=0,6) |
| Mujeres | 3,6 (2,4)* | 1,4 (0,9)* | 0,000(Delta de Cliff=0,8) |
| Total | 4,2 (3,0)* | 1,8 (1,5)* | 0,000(Delta de Cliff=0,7) |
Los datos se muestran como media±desviación estándar y (*) como mediana (rango intercuartílico).
En la tabla 3 se muestran los percentiles obtenidos para el índice TyG en ambos grupos, allí se observa que el valor del percentil 50 del índice TyG en el grupo con SM coincide con el valor del percentil 95 en el grupo sin SM.
Valores de los percentiles obtenidos del índice triglicéridos y glucosa en los grupos evaluados (con y sin síndrome metabólico)
| Percentiles del índice triglicéridos y glucosa | |||||||
| Grupo | 5 | 10 | 25 | 50 | 75 | 90 | 95 |
| Con síndrome metabólico | |||||||
| Hombres | 8,2 | 8,5 | 8,9 | 9,1 | 9,5 | 9,8 | 10,3 |
| Mujeres | 8,1 | 8,2 | 8,6 | 9,0 | 9,3 | 9,6 | 9,9 |
| Total | 8,2 | 8,4 | 8,9 | 9,1 | 9,4 | 9,8 | 10,0 |
| Sin síndrome metabólico | |||||||
| Hombres | 7,5 | 7,7 | 8,0 | 8,3 | 8,7 | 9,0 | 9,2 |
| Mujeres | 7,3 | 7,5 | 7,8 | 8,2 | 8,4 | 8,6 | 8,9 |
| Total | 7,4 | 7,6 | 7,9 | 8,3 | 8,6 | 8,9 | 9,1 |
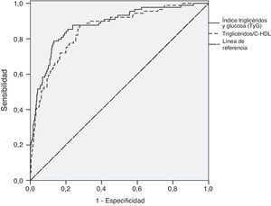
Como se observa en la figura 1, el valor medio del índice TyG aumentó al aumentar el número de componentes del SM (p=0,000) en la población total estudiada. La correlación entre el índice TyG y la relación TG/C-HDL fue buena (rho de Spearman=0,896) y para ambos parámetros el ABC obtenido fue superior a 0,75. En la figura 2 se observa que no hubo diferencias significativas (p=0,343) entre el ABC obtenido para el índice TyG (0,88; IC-95%=0,84–0,92) y el ABC obtenido para la relación TG/C-HDL (0,85; IC-95%=0,81–0,90), como discriminantes de SM, siendo el valor del índice TyG de 8,8 el que presentó mayor sensibilidad y especificidad para discriminar SM en la población estudiada y el valor de 2,4 para la relación TG/C-HDL.
Al estratificar por sexo, se obtuvo una buena correlación entre el índice TyG y la relación TG/C-HDL tanto en hombres como en mujeres (rho de Spearman=0,903 y 0,883). En ambos casos el ABC fue superior a 0,75. El punto de corte discriminante de SM para el índice TyG fue 8,8 en hombres y 8,7 en mujeres y para la relación TG/C-HDL 3,1 y 2,2, respectivamente.
En la tabla 4 se muestran los indicadores utilizados para determinar la capacidad discriminativa de los puntos de corte obtenidos para el índice TyG y la relación TG/C-HDL en los grupos evaluados.
Evaluación de los puntos de corte obtenidos para el índice triglicéridos y glucosa y para la relación triglicéridos/colesterol-HDL como discriminantes de síndrome metabólico
| Índice triglicéridos y glucosa | Relación triglicéridos/C-HDL | |||||
| Hombres | Mujeres | Total | Hombres | Mujeres | Total | |
| Punto de corte | 8,8 | 8,7 | 8,8 | 3,1 | 2,2 | 2,4 |
| SensibilidadIC-95% | 84%75–94% | 72%52–92% | 79%70–88% | 77%65–88% | 84%68–100% | 88%80–95% |
| EspecificidadIC-95% | 82%78–87% | 91%87–96% | 86%83–88% | 74%69–80% | 84%78–90% | 72%67–76% |
| RP positivaIC-95% | 4,83,6–6,3 | 8,24,8–14,1 | 5,84,5–7,5 | 3,02,3–3,8 | 5,33,6–7,8 | 3,12,6–3,7 |
| RP negativaIC-95% | 0,20,1–0,3 | 0,30,2–0,6 | 0,30,2–0,4 | 0,20,2–0,5 | 0,20,1–0,5 | 0,20,1–0,3 |
| Probabilidadpretest para SM | 0,34(34%) | 0,25(25%) | 0,30(30%) | 0,34(34%) | 0,25(25%) | 0,30(30%) |
| Probabilidadposttest positiva | 0,71(71%) | 0,73(73%) | 0,72(72%) | 0,61(61%) | 0,64(64%) | 0,58(58%) |
| Probabilidadposttest negativa | 0,09(9%) | 0,09(9%) | 0,09(9%) | 0,09(9%) | 0,06(6%) | 0,07(7%) |
IC-95%: intervalo de confianza del 95%, RP: razón de probabilidad, SM: síndrome metabólico.
En este estudio y en concordancia con datos previamente publicados8,14–16, el índice TyG tuvo una distribución normal en la población estudiada, lo cual resulta ventajoso para el análisis estadístico de los datos y la interpretación de los mismos, a diferencia de la relación TG/C-HDL, que siguió una distribución no paramétrica.
El valor medio del índice TyG y la mediana de la relación TG/C-HDL fueron considerablemente mayores en los individuos con SM respecto de los individuos sin SM, observándose en este último grupo, que el 95% de los individuos presentaban valores del índice TyG inferiores al percentil 50 de dicho índice en el grupo de individuos con SM. Asimismo, el valor medio del índice TyG aumentó con el incremento del número de componentes presentes del SM y se obtuvo una buena correlación entre el índice TyG y la relación TG/C-HDL.
Estos datos coinciden con evidencias previas que avalan el desempeño del índice TyG y de la relación TG/C-HDL como marcadores de IR. Guerrero-Romero et al.14 sugirieron, en base a su estudio en una población de individuos con y sin alteraciones en el metabolismo de la glucosa, que el índice TyG podría ser de utilidad en la evaluación de IR, dada la alta sensibilidad (96,5%) y especificidad (85,0%) que se obtuvo al evaluarlo frente al clamp euglucémico hiperinsulinémico. Asimismo, Abbasi y Reaven8, concluyeron en un estudio realizado en una población de sujetos no diabéticos, que el índice TyG y la relación CT/C-HDL presentaban una correlación moderada, al igual que los índices que utilizan insulina en ayunas, con un método directo para evaluar la captación de glucosa mediada por insulina, sugiriendo que los marcadores alternativos de IR basados en la medición de lípidos son de utilidad para detectar individuos con IR frente a la problemática referida a la medición de insulina y de su acción.
Debido a la similitud obtenida en este estudio para los puntos de corte del índice TyG como discriminante de SM en hombres (8,8) y mujeres (8,7), se podría considerar que no es necesario estratificar por sexo, lo cual resulta práctico para su aplicación en la clínica diaria. En este sentido, el valor del índice TyG de 8,8 obtenido sin estratificar por sexo, fue el punto de corte con mayor sensibilidad y especificidad para discriminar SM, y como consecuencia IR, pero es de destacar la necesidad de futuros estudios que validen este índice en otras poblaciones para generalizar un valor de corte, teniendo en cuenta el dificultoso acceso a la evaluación fehaciente de la IR.
Para la relación TG/C-HDL el valor discriminante de SM en la población total fue 2,4, pero al contrario del índice TyG, al estratificar por sexo se observó diferencia entre los valores, siendo los puntos de corte obtenidos en este estudio, 2,2 para mujeres y 3,1 para hombres, comparables con los valores publicados por Salazar et al. para discriminar IR en una población de Argentina, 2,5 para mujeres y 3,5 para hombres16.
Del análisis de las curvas ROC se concluyó que tanto el índice TyG como la relación TG/C-HDL fueron buenos discriminantes de SM en la población estudiada, presentando ambos similar capacidad discriminativa para dicha condición. El punto de corte del índice TyG presentó mayor especificidad que la relación TG/C-HDL para SM.
Al evaluar el desempeño diagnóstico del índice TyG se obtuvo que es 5,8 veces más probable que un resultado superior a 8,8 pertenezca a un individuo con SM que a un individuo sin SM. Este valor convierte la probabilidad pretest de 0,30 a una probabilidad postest positiva de 0,72, lo cual significa que en la población estudiada, un individuo con un valor del índice TyG mayor a 8,8 tendría un 72% de probabilidad de presentar SM y/o, en consecuencia, IR.
Al evaluar el punto de corte 2,4 de la relación TG/C-HDL en la población total se obtuvo que es 3,1 veces más probable que un resultado superior a dicho valor pertenezca a un individuo con SM que a un individuo sin SM, una probabilidad menor que la obtenida para el índice TyG.
La probabilidad postest positiva de tener SM con un resultado superior a 2,4 resultó ser de 58%, menor a la obtenida por el índice TyG (72%).
En este estudio, al estratificar por sexo, las probabilidades postest positivas no arrojaron diferencias considerables con respecto a la población total y aunque la relación TG/C-HDL mejoró levemente su desempeño como discriminante de SM al considerar los respectivos puntos de corte obtenidos para hombres y mujeres, no superó el desempeño del índice TyG.
Por otra parte, las probabilidades postest negativas de ambos parámetros podrían considerarse similares.
Además del buen desempeño observado del índice TyG en la discriminación de SM, este presenta una ventaja metodológica con respecto a la relación TG/C-HDL, ya que incluye la determinación de glucosa en lugar de C-HDL. La determinación de C-HDL tiene la desventaja de que existen en el comercio diversos principios metodológicos que aún requieren estandarización.
Los TG, al igual que la insulina, presentan una gran variabilidad biológica intraindividual (19,9%) e interindividual (32,7%)4, pero al contrario de la determinación de insulina, la determinación de TG por métodos enzimáticos se encuentra estandarizada y resulta accesible analítica y económicamente a todos los laboratorios clínicos, por lo cual el índice TyG presenta una ventaja analítica frente a los índices que utilizan la medición de insulina para evaluar IR.
En cuanto a las limitaciones de este estudio, es necesario reconocer que el mismo puede presentar un sesgo por prueba de referencia imperfecta ante la falta de una medición directa de IR y que los individuos fueron evaluados en una sola oportunidad, con lo cual no pudo minimizarse la variabilidad biológica intraindividual de las determinaciones bioquímicas y clínicas.
Por lo expuesto se concluye que el índice TyG puede ser considerado de gran utilidad en la evaluación poblacional de IR. La simplicidad del cálculo del índice TyG, a partir de dos determinaciones bioquímicas de rutina y bajo costo, justifica profundizar su estudio en relación a su rol como estimador alternativo de IR, con el fin de mejorar la detección de aquellos individuos con mayor riesgo cardiometabólico, en función de una mejora en la prevención del desarrollo de las enfermedades crónicas asociadas a la IR.
Conflicto de interesesLos autores declaran no tener ningún conflicto de intereses.







