Introducción
La enfermedad renal crónica (ERC) es un importante problema sanitario que afecta a más de 40.000 personas en España1. La ERC conlleva un elevado coste sanitario y farmacológico; se ha estimado que en Estados Unidos el coste de esta enfermedad será de 30.000 millones de dólares en la próxima década. Desde que hace 50 años se realizó en España la primera hemodiálisis en un paciente crónico, es el tratamiento más utilizado como sustitución de la función renal2 y permite mantener en vida a los pacientes afectados de insuficiencia renal terminal, en espera del trasplante renal. A finales de 2004 había en España más de 17.000 pacientes recibiendo tratamiento de hemodiálisis, lo cual supone una prevalencia de 442 personas por millón3.
Las técnicas de hemodiálisis se han ido perfeccionando con el paso de los años4,5, así como la calidad de las membranas de diálisis, que son cada vez más biocompatibles. La introducción de la diálisis con bicarbonato y la corrección fisiológica de la acidosis del paciente renal representó un gran avance tanto en la tolerancia como en la corrección del estado nutricional del paciente6,7. A pesar de todo ello se ha demostrado recientemente que la mortalidad de los pacientes en hemodiálisis es muy superior a la de los pacientes de la misma edad, y ello se debe a una importante comorbilidad, de la que destaca la elevada incidencia de enfermedades cardiovasculares8,9.
En esta comorbilidad también tiene un papel importante el elevado número de pacientes diabéticos afectados de nefropatía que precisan tratamiento sustitutivo renal10.
Se ha destacado también la importancia del metabolismo mineral en la patogenia de la enfermedad cardiovascular en estos pacientes y la importancia que tiene el adecuado control del hiperparatiroidismo secundario y la elección del quelante del fósforo más adecuado11-13.
No debemos olvidar que cada vez más surgen teorías que nos hablan de los factores genéticos que facilitan el desarrollo de estas complicaciones.
La importancia de estos hechos nos ha llevado a desarrollar el proyecto ENOD (Estudio Nacional de Optimización de la Diálisis) para analizar las características de un grupo de pacientes tratados con hemodiálisis crónica en España.
El objetivo del estudio es describir la situación clínica, las características de diálisis, las caracterísiticas analíticas y los diferentes tratamientos aplicados para controlar las complicaciones de la insuficiencia renal crónica en pacientes españoles, haciendo especial hincapié en los factores de la morbimortalidad cardiovascular de esta población.
Material y métodos
Análisis estadístico
Las variables cualitativas se describen por medio de proporciones o distribuciones de frecuencias y las cuantitativas, con su media ± desviación estándar o su intervalo de confianza (IC) del 95 %. El análisis bivariable se ha realizado empleando las pruebas de la 2 para la comparación de proporciones, las de t de Student-Fisher para la comparación de dos medias y el análisis de la varianza para la comparación de tres o más medias.
Todas las pruebas estadísticas fueron bilaterales, considerando como nivel de confianza el 95 %. Los cálculos han sido realizados con la ayuda del programa SPSS para Windows versión 9.0.
Algunos datos como la presión arterial, las concentraciones de hemoglobina y albúmina o los datos del metabolismo mineral se han dividido en óptimos, menos óptimos y no óptimos por bajo o por alto, tal como se describe en la presentación del estudio14.
Los intervalos definidos ad-hoc anteceden a la publicación de las guías K/DOQI sobre manejo de lípidos15 y sobre las alteraciones del metabolismo mineral en la ERC16.
En un cuestionario electrónico situado en la web de la SEDYT y publicado en la revista DIÁLISIS Y TRASPLANTE14, se han recogido durante 2002 los datos de pacientes en tratamiento crónico con hemodiálisis en diferentes centros de todo el territorio español, lo que incluye a pacientes tratados en hospitales de todos los niveles de complejidad y centros de diálisis satélites. Se ha estudiado: a) las causas de insuficiencia renal crónica (IRC) (destacando la presencia de diabetes para realizar análisis específicos de este grupo); b) las características de diálisis: tipo de acceso vascular, promedio de horas de diálisis semanales, tipo de filtro, superficie de membrana, flujo arterial y del líquido de diálisis; c) los factores de riesgo cardiovascular: índice de masa corporal (IMC), presión arterial sistólica y diastólica, media y presión del pulso, presencia o ausencia de cardiopatía previa y su repercusión en ECG y ecocardiograma, presencia de dislipemia (colesterol, triglicéridos, HDL, LDL), grado de anemia (mediante los valores de hemoglobina, sideremia, ferritina, transferrina, vitamina B12 y ácido fólico), alteraciones del metabolismo fosfocálcico, estado nutricional (según concentración de albúmina) y existencia de un estado inflamatorio (concentración de PCR), y d) el estado del metabolismo de los hidratos de carbono mediante concentraciones de glucosa y glucohemoglobina.
Resultados
Se obtuvo información de 432 pacientes, de los que 30 han sido eliminados por carecerse de suficientes datos. De los 402 restantes, 251 (62,4 %) eran varones y 151 (37,6 %), mujeres, con una media de edad de 63,77 ± 15,05 (intervalo, 20-91) años. Las mujeres tenían una media de edad (63,88 ± 1,28) ligeramente mayor que los varones (62,1 ± 0,92), aunque esta diferencia no era significativa (p = 0,25). La distribución por edades fue la siguiente: 56 (13,9 %) pacientes entre 18 y 44 años, 134 (33,3 %) entre 45 y 64 años, 107 (26,6 %) entre 65 y 74 años y 105 (26,1 %) mayores de 75 años.
Causas de insuficiencia renal crónica
Las causas de IRC se muestran en la tabla I, donde se aprecia que un 27,6 % de los pacientes no tenían diagnóstico o éste no constaba y que las dos causas principales de IRC son glomerulonefritis crónica (21,4 %) y nefrangiosclerosis (20,1 %). A pesar de que sólo en 52 pacientes la diabetes era la causa de IRC, el total de pacientes diabéticos era de 78. De ellos, 17 eran diabéticos tipo I; 57, diabéticos tipo II y 4 no estaban clasificados.
La media de edad de los diabéticos (65,33 ± 13,67 años) no era diferente de la media de los no diabéticos (63,22 ± 15,46 años) (p = 0,24). Tampoco había diferencias si los considerábamos separados por sexos: mujeres diabéticas, 67,73 ± 13,69 años, frente a 63,91 ± 16,29 años de las no diabéticas (p = 0,19). Los varones diabéticos tenían una media de edad de 63,58 ± 13,53 años, frente a 62,84 ± 15 años los no diabéticos, sin diferencias significativas (p = 0,76) (fig. 1). La proporción entre varones y mujeres era también similar entre diabéticos (el 57,7 % de varones) y no diabéticos (el 64,6 % de varones), diferencia no significativa (p = 0,26).
Figura 1. Media de edad de varones y mujeres, comparando a los diabéticos con los no diabéticos.
Características de diálisis
Los resultados se resumen en la tabla II.
Tiempo en diálisis
El tiempo que llevaban los pacientes en diálisis es muy variable (fig. 2). La mediana fue de 41 meses, con un mínimo de 1 mes y un máximo de 342 meses. Hay dos grupos principales de pacientes en función del tiempo en diálisis: los que llevan de 1 a 3 años y los que llevan más de 5 años. Un 7,8 % llevaba menos de 1 año; un 37 %, entre 1 y 3 años; un 18,9 %, entre 3 y 5 años, y un 36,3 %, más de 5 años.
Figura 2. Tiempo en diálisis.
Tipos de membrana y superficie
Los pacientes se dializaron con diferentes tipos de membrana (preferentemente celulosa [8,46 %], celulosa modificada [10,7 %] y polisulfona [70,65 %]), y con superficies entre 1 y 2,5 m2. Un 12,5 % de los pacientes llevaban dializadores entre 1 y 1,5 m2 de superficie, el 67,1 % utilizaba filtros entre 1,5 y 2 m2 de superficie y sólo un 20,3 % llevaba membranas de más de 2 m2 de superficie. No hubo asociación estadística entre la superficie de membrana utilizada y el peso corporal del paciente (p = 0,86) (fig. 3).
Figura 3. Superficie de membrana y estado ponderal.
Flujo arterial
Un 70,5 % de los pacientes (251 casos) se dializaban con flujos arteriales entre 200 y 300 ml/min, mientras que un 1,1 % (4 casos) tenía un flujo < 200 ml/min, y el 28,4 % (101 casos) lo tenía > 300 ml/min.
Flujo del líquido de diálisis
En el 82,1 % el baño de diálisis tenía un flujo entre 500 y 749 ml/min, mientras que en el 17,9 % restante el flujo del líquido era de 750 ml/min o más.
Horas semanales de diálisis
La mayoría de los pacientes (351 [89,8 %]) hacían sesiones de entre 3 y 4 h de duración, mientras que 30 (8,2 %) hacían más de 4 h; es muy escaso (1 %) el número de pacientes que hacían sesiones con una duración inferior a 3 h. La mayoría de los pacientes (95,8 %) realizaban 3 sesiones semanales. El número total de horas de diálisis por semana se repartía de la siguiente manera: el 11,8 % hacía más de 12 h/semana; el 43,7 %, 12 h/semana; el 43,1 %, entre 9 y 12 h/semana, y sólo el 1,4 % hacía menos de 9 h/semana.
KTV
El KTV de urea era > 1,5 en el 32 % de los pacientes, mientras que en el 40,1 % estaba entre 1,2 y 1,5 y en el 27,8 % era < 1,2.
URR
La URR fue < 65 % en el 18,1 %; entre el 65 y el 70 % en el 23,1 %, y superior al 70 % en un 58,8 %.
Acceso vascular
Los pacientes eran portadores de FAVI funcionante en el 96,2 % de los casos. Sólo el 1,3 % llevaba prótesis de Goretex y el 2,5 % eran portadores de catéter.
Factores de riesgo cardiovascular
Los resultados se han resumido en la tabla III.
Índice de masa corporal (IMC)
Obtuvimos valores en 196 pacientes, 86 mujeres y 110 varones. El IMC era normal en el 51,8 % de los varones y el 43 % de las mujeres, mientras que el 27,3 % de los varones y el 40,7 % de las mujeres tenían sobrepeso, que llegaba a criterios de obesidad en el 7,3 % de los varones y el 12,8 % de las mujeres. Sólo el 13,6 % de los varones y el 3,5 % de las mujeres tenían criterios de desnutrición (fig. 4). En resumen, el 53,5 % de las mujeres y el 34,6 % de los varones tenían valores de peso por encima de lo normal, pero esta diferencia no resultó significativa (p = 0,08).
Figura 4. Estado nutricional en función del peso.
Hipertensión arterial
Hemos considerado por separado presión arterial sistólica (PAS), diastólica (PAD) y media (PAM), así como la presión del pulso (PP). Hemos considerado cifras óptimas de PAS entre 120 y 139 mmHg; adecuadas, entre 139 y 160 mmHg, y las demás, no óptimas por altas o bajas. En cuanto a la PAD, se consideraron óptimos los valores < 89 mmHg y adecuados los valores entre 89 y 95 mmHg. Por encima de este valor se consideraron no óptimos.
La media de PAS fue 141,22 ± 23,88; de PAD, 75,54 ± 13,9; de PAM, 97,45 ± 15,9, y de PP, 65,69 ± 17,3 mmHg.
Tenemos valores de PAS de 362 pacientes, de los que 101 (27,9 %) tenían un control óptimo, 131 (36,2 %) adecuado, y 130 inadecuado: 81 (22,4 %) por alto y 49 (13,5 %) por bajo. También tenemos resultados de PAD de 362 pacientes. Observamos un control óptimo en 217 (59,9 %), un control adecuado en 32 (8,8 %) y en 113 (31,2 %) los valores eran superiores a lo normal. Si consideramos conjuntamente PAS y PAD, sólo 63 (17,4 %) pacientes presentaban un control óptimo.
De forma similar a lo hecho con la edad de los pacientes, hemos analizado por separado los valores de PAS y PAD en pacientes diabéticos y no diabéticos.
De los 292 pacientes no diabéticos que tenían control basal de presión arterial, 91 (31,2 %) tenían un control óptimo de la PAS; 103 (35,3 %), un control adecuado; 55 (18,8 %), un control no óptimo por alto y 43 (14,7 %), un control no óptimo por bajo, mientras que en los 70 pacientes diabéticos que tenían datos de presión arterial, sólo 10 (14,3 %) consiguieron un control óptimo; 28 (40 %), un control adecuado; 26 (37,1 %), un control no óptimo por alto, y 6 (8,6 %), no óptimo por bajo (fig. 5A).
Figura 5. A: estado de la presión arterial sistólica según el paciente tuviera diabetes mellitus o no. B: estado de la presión arterial diastólica según el paciente tuviera diabetes mellitus o no.
En cuanto a la PAD en los pacientes no diabéticos, 172 (58,9 %) tuvieron un control óptimo y 27 (9,2 %), adecuado, mientras que 93 (31,8 %) tuvieron valores anormalmente altos. En los pacientes diabéticos, 45 (64,3 %) tuvieron un control óptimo, sólo 5 (7,1 %), un control adecuado y 20 (28,6 %) tuvieron valores no óptimos por altos (fig. 5B).
Si consideramos conjuntamente la PAS y la PAD, en los no diabéticos el control fue óptimo en 58 (19,9 %) pacientes y en 234 (80,1 %) fue inadecuado. En los diabéticos la distribución fue de un control óptimo sólo en 5 (7,1 %) pacientes, mientras que fue no óptimo en los 65 (92,9 %) restantes.
Respecto a la PP, de los 362 pacientes con datos valorables, 83 (22,9 %) tenían valores < 55 mmHg, mientras que los 279 (77,1 %) restantes tenían un valor > 55. En los no diabéticos, el 25,3 % (74 pacientes) tenían normal la PP, mientras que sólo el 12,9 % (9 pacientes) de los diabéticos la tenían controlada (p < 0,02) (tabla III).
Si consideramos la PP y los valores de PAS y PAD, entre los 63 pacientes con control óptimo sólo 30 (47,6 %) tenían una PP < 55 mmHg, mientras que en los 33 (52,4 %) restantes era > 55 mmHg. Entre los que tenían un control subóptimo de la presión arterial, la proporción de los que tenían la PP elevada era mayor que en los anteriores (82,3 %) y esta proporción era superior en los diabéticos (89,2 %). En este grupo de diabéticos, sólo 2 de los 9 pacientes con cifras normales de PP tenían un control adecuado de la presión arterial.
En cuanto al tratamiento farmacológico de la hipertensión arterial (HTA), observamos que 195 (48,5 %) de los 392 pacientes de los que hay datos no recibían tratamiento, 101 (25,1 %) recibían un fármaco; 70 (17,4 %), 2 fármacos; 26 (6,5 %), 3 fármacos y 10 (2,5 %), hasta 4 fármacos hipotensores.
Los hipotensores más utilizados eran: antagonistas del calcio en un 24,1 %, antagonistas de los receptores de angiotensina II en un 15,9 %, bloqueadores alfa en un 14,2 %, inhibidores de la enzima de conversión de angiotensina en un 11,7 %, bloqueadores beta en un 8,2 %, diuréticos en un 7,5 % y bloqueadores alfa y beta en un 5,5 % (fig. 6).
Figura 6. Comparación de frecuencias de los distintos hipotensores utilizados solos o en combinación.
Presencia de cardiopatía
De los 402 pacientes estudiados, tenemos datos de presencia o ausencia de cardiopatía en 368. De ellos, el 42,2 % no tenía sospecha de cardiopatía, mientras que el 39,2 % tenía cardiopatía hipertensiva; el 6,8 %, cardiopatía isquémica, y el 11,7 % era de tipo mixto. Si separamos diabéticos de no diabéticos, vemos que el 54,2 % de los no diabéticos tenía cardiopatía, mientras que la presentaba el 68,9 % de los diabéticos (p < 0,05). También debemos destacar que la cardiopatía isquémica era mucho más frecuente en estos últimos (el 50 frente al 36 %; p < 0,05).
De los 402 pacientes, 364 tenían por lo menos un ECG. En 157 (el 43,1 % de los casos) había signos de hipertrofia ventricular izquierda (HVI). En 245 casos se había realizado un ecocardiograma. Un 76 % de ellos presentaban HVI. Probablemente la disociación entre ambos porcentajes se deba a que el ECG era una exploración prácticamente sistemática, mientras que los ecocardiogramas se realizaban normalmente a los pacientes que tenían clínica que indicara cardiopatía. El 35,8 % de los pacientes tenía insuficiencia diastólica y el 10 %, sistólica. En el 40,2 % había valvulopatía mitral y en el 23,6 %, valvulopatía aórtica.
Alteraciones del metabolismo lipídico
Consideramos que los valores normales de colesterol se encuentran entre 150 y 220 mg/dl y que los valores por encima o por debajo son anómalos, y para los triglicéridos consideramos valores normales los < 199 mg/dl, mientras que valores entre 200 y 399 son adecuados y son no óptimos los valores > 400 mg/dl.
En cuanto a las lipoproteínas de baja densidad (LDL), consideramos valores óptimos los < 130 mg/dl, mientras que los valores entre 130 y 159 son adecuados y los > 160 son no óptimos.
Había resultados de metabolismo lipídico en 377 de los 402 pacientes. El 64,7 % de los pacientes no tenían alteraciones del metabolismo lipídico, mientras que el 35,3 % restante sí las tenía. Había alteración del metabolismo lipídico en 41 (54,7 %) de los diabéticos y en 92 (30,5 %) de los no diabéticos (p < 0,001).
Si analizamos por separado el colesterol total, el de las LDL (cLDL) y los triglicéridos, los resultados obtenidos fueron los siguientes. De 368 en los que se había analizado el colesterol, 124 (33,7 %) lo tenían bajo; 235 (63,9 %), normal y 9 (2,4 %), alto. En cuanto a los triglicéridos, obtuvimos resultados en 367 pacientes, de los que 306 (83,4 %) presentaban un valor óptimo; 52 (14,2 %), adecuado y sólo 9 (2,4 %), no óptimo. Tuvimos valores de LDL en 257 pacientes, de los que 240 (93,4 %) tenían valores óptimos; 12 (4,7 %), adecuados y 5 (1,9 %), no óptimos. La distribución de estos parámetros según la presencia o ausencia de diabetes puede verse en la tabla III.
Anemia
Los parámetros relacionados con la anemia se resumen en la tabla IV. Podemos observar que los valores de sideremia, ferritina, transferrina, ácido fólico, vitamina B12 y fibrinógeno estaban dentro del IC del 95 %. Las cifras de hemoglobina en el 82,8 % de los 380 pacientes con datos validados eran > 11 mg/dl, mientras que en el 17,2 % restante estaban por debajo de esa cifra.
Alteraciones del metabolismo fosfocálcico
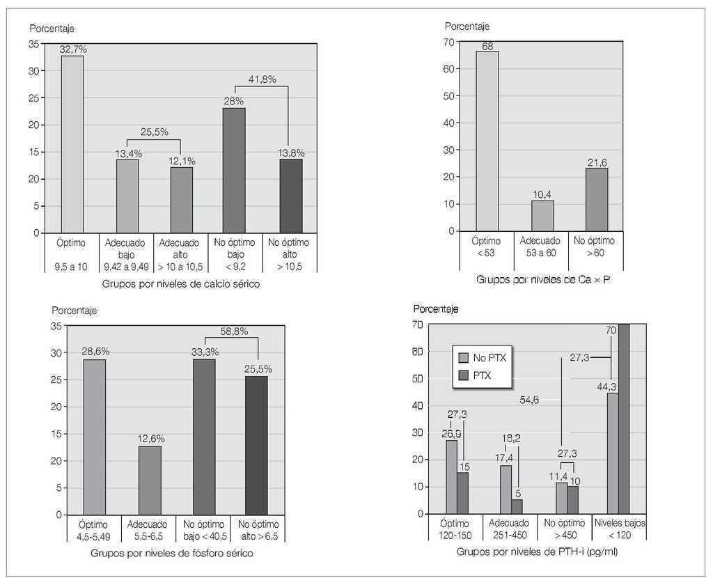
Para el fósforo sérico se consideraron óptimos los valores entre 3,5 y 5,49 mg/dl; subóptimos, entre 5,5 y 6,5 mg/dl. Para el calcio sérico se consideraron óptimos valores entre 8 y 10 mg/dl. En cuanto al producto fosfocálcico, se consideraron óptimos los valores < 53.
Los valores de fósforo sérico eran óptimos sólo en el 23,5 % de los pacientes, en un 16,7 % eran subóptimos y en un 32,8 % eran no óptimos por bajos y en un 27 % no óptimos por altos (fig. 7).
Figura 7. Concentraciones séricas de Ca y P, producto P ´ Ca y PTHi, clasificados en óptimo, adecuado y no óptimo por bajo o por alto, según valores de normalidad previos a DOKI.
Se obtuvo la concentración sérica de calcio en 388 pacientes, de los que el 70,8 % tenía cifras entre 8 y 10 mg/dl, mientras que el 25,9 % tenía valores > 10 mg/dl y el 3,3 %, < 8 mg/dl.
En cuanto al producto fosfocálcico, era óptimo (< 53) en el 56,6 % de los pacientes, menos óptimo en un 15 % y muy elevado en el 28,4 % restante. Respecto a la concentración de paratirina intacta (PTHi), hemos de considerar a los pacientes en función de si se los había paratiroidectomizado previamente o no. Entre los no paratiroidectomizados, el 27,7 % presentaba cifras óptimas (entre 150 y 250 ng/ml) y el 17,1 % tenía cifras menos adecuadas (entre 250 y 400 ng/ml). El 14,9 % tenía cifras no óptimas por altas y el 40 % por bajas.
Cuando revisamos a los pacientes paratiroidectomizados, las proporciones variaban mucho, ya que sólo el 12,12 % presentaba cifras óptimas de PTH y el 9,09 %, menos adecuadas. Aunque la proporción de pacientes con cifras no óptimas por altas era similar al grupo anterior, es destacable que el 71,7 % de estos pacientes tenían un nivel de PTHi no óptimo por bajo.
La media de los valores de fosfatasa alcalina fue de 94,14 ± 4,8 (IC del 95 %, 84,57-103,71).
Estado nutricional
La albúmina plasmática media fue de 3,78 g/dl (IC del 95 %, 3,73-3,83). Sólo en el 23,9 % de los 322 pacientes de los que se tenía este dato el valor de la albúmina fue > 4 g/dl, mientras que fue inferior a esa cifra en el 76,1 % restante.
Estado inflamatorio
Los valores de PCR fueron óptimos en el 68,6 %, menos adecuados en el 18,8 % y no óptimos en el 12,7 %.
Otros parámetros analíticos
La glucemia media fue de 106,25 ± 2,39 (IC del 95 %, 101,54-110,96). En diabéticos fue de 153,69 ± 9,1 (IC del 95 %, 135,55-171,83), mientras que en los no diabéticos fue de 94,43 ± 1,26 (IC del 95 %, 91,95-96,9). La glucohemoglobina media en los diabéticos fue de 7,15 ± 0,25 % (IC del 95 %, 6,65 %-7,65 %).
Tratamientos farmacológicos
Anemia
El 100 % de los pacientes recibían eritropoyetina. El 73,2 % recibía eritropoyetina alfa; el 9,82 %, beta, y el 16,98 %, darboepoetina. El 98,52 % recibía Fe sacarosa; el 0,37%, gluconato férrico, y el 0,74%, hierro oral.
Alteraciones del metabolismo fosfocálcico
El 68,9 % recibía quelantes del fósforo portadores de calcio; el 15,7 %, sevelamer, y el 15,4 %, una combinación de ambos. En principio ninguno de estos recibía hidróxido de aluminio.
El 35,8 % de los pacientes recibía alguno de los metabolitos de la vitamina D existentes en ese momento en el mercado: el 30,8 %, calcitriol; el 4 %, alfa-calcidol, y el 1 %, colecalciferol.
Discusión
La aparición de la diálisis, como tratamiento crónico de sustitución de la función renal, hace más de 50 años, representó un hito que permitió mantener en vida muchos años al paciente con insuficiencia renal terminal. No obstante, el riñón es un órgano muy complejo, con numerosas funciones de distinta índole: además de su función excretora de toxinas y de mantener el equilibrio hidroelectrolítico y del pH, desarrolla una serie de funciones hormonales que influyen en la corrección de la anemia y en la homeostasia del calcio, entre otras.
Es por ello que la diálisis, que técnicamente se ha ido perfeccionando en las últimas décadas, no ha conseguido sustituir completamente la función del riñón y se precisa de fármacos que ayuden a mantener este equilibrio.
Se ha discutido ampliamente cuál es la mejor técnica de diálisis: hemodiálisis, diálisis peritoneal, hemofiltración, etc.17,18, y cuánto tiempo sería el ideal para que estos tratamientos fueran lo más parecidos al riñón humano, pero se han establecido unos estándares que, aun no siendo los mejores, permitan al paciente renal compatibilizar su tratamiento con una calidad de vida adecuada19-21.
A pesar de todo, la mortalidad entre los pacientes en tratamiento sustitutivo renal es superior a la de las personas de la misma edad libres de enfermedad renal22,23, y la mayor mortalidad es de causa cardiovascular24.
Centrados en este tema y en la creencia de que analizando los problemas que persisten en la actualidad podremos poner en marcha los mecanismos de prevención adecuados, hemos realizado esta revisión con el objetivo de marcar qué puntos pueden ser optimizados para mejorar la morbimortalidad del paciente en diálisis.
El número de pacientes es pequeño, ya que sólo se han conseguido 402 pacientes con los suficientes datos para ser analizados, pero se trata de pacientes repartidos por todo el territorio español, que se dializan tanto en hospitales de todos los niveles como en centros de diálisis periféricos, para dar cabida a la diversidad de regímenes de diálisis y tipos de tratamiento que actualmente se llevan a cabo.
De entrada debemos destacar que el número de mujeres es francamente inferior al de varones, lo que refleja el dato ya conocido de que la insuficiencia renal crónica es más frecuente en ellos. Las edades eran similares entre sexos, y destaca que el 52,7 % eran mayores de 64 años. Sólo este dato ya nos anuncia la presencia de una importante comorbilidad25-27.
En cuanto a las causas de la insuficiencia renal, debemos destacar que aproximadamente un 25 % estaba sin diagnosticar y que entre las causas conocidas destacaban la glomerulonefritis crónica y la nefrangiosclerosis. En nuestro estudio, la incidencia de diabetes es inferior a la descrita en otras series amplias28, pero su presencia va a marcar un pronóstico en estos pacientes29-32. Por ello en muchos apartados hemos analizado por separado el grupo de pacientes diabéticos y lo hemos comparado con el resto de la población no diabética. La edad de los diabéticos no era distinta de la de los demás pacientes, tanto si los analizábamos en todo el grupo como separados por sexos.
El tiempo que llevaban estos pacientes en diálisis era también muy variable, pero la gran mayoría llevaba más de 1 año en la técnica. Debemos destacar que la mayoría de los pacientes se dializaban con filtros entre 1,5 y 2 m2 de superficie y que mayormente éstos eran de polisulfona. Los flujos arteriales estaban mayoritariamente entre 200 y 300 ml/min y los flujos del líquido de diálisis, entre 500 y 749 ml/min. La frecuencia era de 3 sesiones de diálisis semanales, de una duración entre 3 y 4 h. A pesar de ello, el 27,8 % de los pacientes tenían un KTV de urea < 1,2. La gran mayoría eran portadores de una FAVI funcionante.
Si analizamos los factores que pueden ir asociados al riesgo cardiovascular, observamos que el 53,5 % de las mujeres y el 34,6 % de los varones tenían sobrepeso33 y sólo el 17 % del grupo total tenía criterios de desnutrición, criterio que se ha descrito asociado a una mayor mortalidad34,35.
En cuanto a las cifras tensionales, es conocido que la ERC se asocia en la mayoría de los casos a HTA, sobre todo en fases previas a la diálisis, en las que se añade el factor de retención hidrosalina. Esta HTA tiene un papel fundamental en el aumento de morbilidad y mortalidad cardiovascular de estos pacientes36,37. Entre los 362 pacientes de los que había cifras de presión arterial, sólo 63 presentaban un control óptimo. Si consideramos por separado a los pacientes diabéticos y los no diabéticos, observamos que 58 (19,9 %) de los no diabéticos tuvieron un control óptimo, mientras que entre los diabéticos sólo 5 (7,1 %) presentaron un control óptimo. De la misma manera, observamos que sólo el 22,9 % de los no diabéticos y el 12,9 % de los diabéticos tenían la PP normal. De estos 9 pacientes con PP normal, sólo 2 tenían la presión arterial en cifras óptimas.
Es un hecho destacable que entre los diabéticos las cifras de PAS son más elevadas, mientras que en los no diabéticos las PAD son más altas. Esto conduce a que los pacientes diabéticos tienen una PP más elevada, con diferencia entre ambos grupos significativa (p < 0,02).
En cuanto al tratamiento de la HTA, sólo el 25 % de los pacientes no recibían ningún fármaco, mientras que el resto recibía entre 1 y 4 fármacos.
Siendo la presión arterial uno de los factores de riesgo cardiovascular más conocidos, estos resultados justifican por sí solos el elevado riesgo cardiovascular de estos pacientes. Si a ello añadimos que el 57,8 % de todos los pacientes tenían antecedentes de cardiopatía y que esta cifra se elevaba al 68,9 % cuando consideramos sólo a los diabéticos, vemos que el riesgo de un evento cardiovascular es muy elevado.
Otro de los factores que pueden aumentar el riesgo cardiovascular es el metabolismo lipídico alterado. Este hecho ha despertado el interés de múltiples autores y en concreto en nuestro país ha dado lugar desde hace años a diversas publicaciones38-40. Si revisamos los parámetros del metabolismo lipídico, observamos que estas alteraciones eran relativamente poco frecuentes aunque, una vez más, el control era peor en los diabéticos.
En cuanto a la anemia, se ha descrito como primer paso la repleción de los depósitos de Fe hasta niveles adecuados, hecho que puede disminuir las necesidades de eritropoyetina41,42. La administración de eritropoyetina ha representado un avance en la calidad de vida de los pacientes y desde hace años se ha decrito su efecto beneficioso en la función miocárdica43, con una disminución del número de episodios de cardiopatía isquémica y, por ende, de mortalidad en los pacientes en hemodiálisis44,45, pero hoy hay mucha controversia sobre las cifras adecuadas de hemoglobina46 y la dificultad en mantener su estabilidad47,48.
En nuestro grupo el control era bastante adecuado. El 100 % de los pacientes recibían eritropoyetina y el 98,5 % recibía ferroterapia intravenosa con Fe sacarosa. Esto contribuía a que el 82,8 % de los pacientes tuvieran cifras de hemoglobina > 11 g/l.
Hoy se sabe que las alteraciones del metabolismo mineral, además de dar lugar a una importante enfermedad ósea49, pueden tener un papel muy importante en la mortalidad cardiovascular de los pacientes en hemodiálisis50. Entre estas alteraciones se destaca un producto fosfocálcico elevado51-53, asociado o no a una excesiva frenación de las glándulas paratiroides54. En los últimos años se está progresando adecuadamente en el estudio de los mecanismos de la calcificación vascular55,56 y en la prevención utilizando quelantes con bajo contenido en calcio o sin él57. El producto fosfocácico estaba elevado en el 43,4 % de los pacientes, en parte debido a que el 68,9 % de los pacientes recibían quelantes del fósforo portadores de calcio y el 35,8 % recibía derivados de la vitamina D.
Los derivados de la vitamina D se han preconizado durante años como tratamiento de elección del HPT secundario58, con el consiguiente riesgo de producir hipercalcemia, pero hoy se sabe que no sólo es útil en el control de la lesión ósea, sino que la vitamina D tiene efectos colaterales en la hipertrofia cardíaca, el eje renina-angiotensina-aldosterona59 o el endotelio que pueden mejorar la supervivencia de los pacientes en diálisis60.
A pesar de estos tratamientos, sólo el 27,7 % de los pacientes no paraidectomizados presentaban cifras óptimas de PTHi para este estadio de enfermedad renal. Debemos tener en cuenta que en el momento de realizar el estudio, descartado el hidróxido de aluminio, sólo disponíamos de sevelamer como quelante no portador de calcio y que no existía en el mercado el calciomimético (mimpara), que posiblemente habría mejorado el control de nuestros pacientes. De todos estos hechos, podríamos concluir que después de 50 años de tratamiento de la insuficiencia renal terminal con hemodiálisis periódica y de los nuevos fármacos que existen en el mercado para el tratamiento de las complicaciones de la insuficiencia renal crónica, todavía existe un elevado número de pacientes que reciben dosis inadecuadas de diálisis, presentan mal control de la presión arterial y no tiene controlado el HPT secundario. Si a ello añadimos que existe un elevado número de pacientes diabéticos (que tiende a incrementarse) que presentan un mayor riesgo cardiovascular y que muchos pacientes llegan a diálisis con algún tipo de cardiopatía, se concluye que el tratamiento con hemodiálisis y la farmacoterapia acompañante no fueron suficientes para garantizar una supervivencia de estos pacientes similar a la de la población de la misma edad.
Si queremos disminuir la mortalidad cardiovascular en los pacientes en diálisis, debemos insistir en la necesidad de prevenir y detectar de forma precoz la aparición de nefropatía en los pacientes diabéticos; especialmente en los diabéticos tipo 2, que son los más numerosos, debemos prevenir la aparición de cardiopatía con un excelente control de la HTA y finalmente debemos evitar el desarrollo del HPT secundario desde estadios precoces de la insuficiencia renal manteniendo adecuadas cantidades de vitamina D61, controlando el producto fosfocálcico y utilizando si es necesario nuevos fármacos como los quelantes sin calcio (sevelamer62 y carbonato de lantano63) y calciomiméticos64, que pueden controlar de forma agresiva la hipertrofia paratiroidea y la calcemia.
Grupo ENOD-SEDYT: R. Álvarez Lippe (H.U. Lozano Blesa, Zaragoza), E. Andrés (F. Puigvert, Barcelona), A. Foraster (C.N. Baix Llobregat, L'Hospitalet de Llobregat, Barcelona), J.M. Galcerán (H. Palamós, Palamós, Girona), E. Garrigós (H. Gandía, Gandía, Valencia), A. Gil (Nefrorioja, La Rioja), J. Hervas (C.H. Nevada, Granada), J. Logroño (H. San Jorge, Huesca), F. Maduell (H. Castellón, Castellón de la Plana), F. Martín (F.H. de Calahorra, La Rioja), A. Martínez-Castelao (H.U. de Bellvitge, L'Hospitalet de Llobregat, Barcelona), J.M. Mauri (H. Josep Trueta, Girona), B. Moragrega (H. Obispo Polanco, Teruel), J.A. Oliver (H. Joan XXIII, Tarragona), J.E. Ruiz Laiglesia (H. Virgen de la Luz, Cuenca), M. Sierra (H. San Millán, La Rioja), F. Vidaur (H. Virgen de Aranzazu, Donosti, Guipúzcoa).
Correspondencia: Dra. M.T. González.
Servicio de Nefrología. Hospital Universitario de Bellvitge. Feixa Llarga, s/n. L'Hospitalet de Llobregat. Barcelona. España.
Correo electrónico: emete2002@yahoo.com
Recibido el 3-9-2008; aceptado para su publicación el 5-9-2008.











