Introducción
El consumo de alcohol entre adolescentes es un hecho socialmente aceptado dentro de las creencias de la cultura mediterránea; también el tabaquismo forma parte de las conductas que se han normalizado en la vida cotidiana1,2. Sin embargo, el consumo de sustancias adictivas no se adapta actualmente a la forma de consumo tradicional, sino que adquiere características del denominado modelo anglosajón3,4, sobre todo entre la población adolescente5-7. Estos cambios sitúan el consumo de sustancias tóxicas en la adolescencia como uno de los principales problemas de salud pública en España8 y necesitan un abordaje multidisciplinario, dada la variedad de causas que influyen en el consumo de alcohol, tabaco y otras drogas entre los jóvenes5,8-10.
El objetivo de este trabajo es conocer la evolución del consumo de sustancias tóxicas entre los adolescentes de una zona urbana en un período de 8 años, tanto en su cantidad como en su patrón de consumo.
Métodos
Estudio descriptivo transversal mediante encuesta autoadministrada y anónima, con la participación de todos los adolescentes que cursan estudios en un instituto de educación secundaria situado en una zona urbana de Jaén capital, de nivel socioeconómico y cultural medio, y cuyo proyecto curricular de centro se adecua a la LOGSE (Ley 1/1990 de 3 de octubre). Se realizan 3 encuestas en años diferentes (1997, 2001 y 2004), durante el último trimestre de cada curso escolar, administradas por profesores adiestrados para tal fin, y se recogen datos relacionados con la edad, el sexo y el consumo de alcohol, tabaco y drogas ilegales, diferenciando la forma de consumo (intermitente, durante el fin de semana o diario). La cantidad de alcohol se cuantifica en unidades de bebida estándar (UBE) por semana y el tabaco, como número de cigarrillos diarios.
Los datos fueron analizados mediante el programa informático Rsigma (Horus Hardware©), aplicándose el test de Kolmogorov-Smirnov para comprobar la normalidad de los datos. Los datos se muestran como media ± error estándar de la media o de la proporción, y mediante intervalos de confianza (IC) del 95%. Se propone un nivel de significación estadística con valores de p < 0,05, aplicándose el test de la t de Student y el test ANOVA de una vía para la comparación de medias, y el test de la χ2 para la comparación de proporciones.
Resultados
Se incluyen 708 adolescentes, con 678 encuestas válidas, un 4% de pérdidas por falta de asistencia o cuestionarios mal cumplimentados. Las principales variables demográficas y sobre el consumo de sustancias tóxicas se exponen en la tabla 1, ordenadas por año de estudio. La media de edad es análoga en los 3 años estudiados. La distribución por sexos es similar y no influye en el consumo de sustancias tóxicas. El porcentaje de adolescentes que no ha consumido ningún tipo de tóxico se incrementa en el año 2001 (IC del 95% de la diferencia, 4-22%; p < 0,01, χ2) y en 2004 (IC del 95%, 11-29; p < 0,001, χ2) respecto al primer año de estudio.
El consumo de alcohol también disminuye en 2001 (IC del 95%, 5-23%; p < 0,01, χ2) y 2004 (IC del 95%, 27-45%; p < 0,001, χ2) (tabla 1). El consumo cuantitativo no varía, situándose en una media de 8,7 UBE/semana (IC del 95%, 5,5-11,9). Disminuye significativamente el consumo diario (un 3,4 ± 0,03% en 2001 y un 11 ± 0,03% en 2004) al igual que el consumo de fin de semana y el consumo intermitente (p < 0,001, χ2). La cerveza, bebida alcohólica más consumida en 1997, cede su lugar a las bebidas de alta graduación en 2001 y 2004, cuyo patrón de consumo evoluciona hacia un modelo de fin de semana (fig. 1). El vino es la bebida menos preferida por los jóvenes, con una disminución paulatina de su consumo y, al igual que la cerveza, no presenta cambios en su patrón de consumo.
FIGURA 1 Diferencias en el patrón de consumo de cerveza, combinado y vino en adolescentes que consumen alcohol.
El consumo de tabaco aumenta en 2001 (IC del 95%, 1-15; p < 0,01, χ2) y en 2004 (IC del 95%, 9-25%; p < 0,001, χ2) sobre todo por el incremento del número de adolescentes que reconocen fumar de forma diaria, multiplicándose por cuatro de 1997 a 2004. La cantidad media de cigarrillos consumidos diariamente es de 8,4 (IC del 95%, 6,6-10,2).
El consumo de drogas se incrementa más en 2001 (IC del 95%, 8-23; p < 0,001, χ2) que en el 2004 (IC del 95%, 1-14; p < 0,05,χ2), y el patrón de consumo intermitente y de fin de semana es el más frecuente (p < 0,05, χ2). El tipo de drogas más usado es el cannabis (95 ± 1,2% del total). Disminuye el uso de la cocaína (19 ± 2,3% en 1997, 2 ± 5,9% en 2001 y ningún caso en 2004), que es reemplazado por las drogas de diseño (6 ± 4,8% en 2001 y 14 ± 2,2% en 2004).
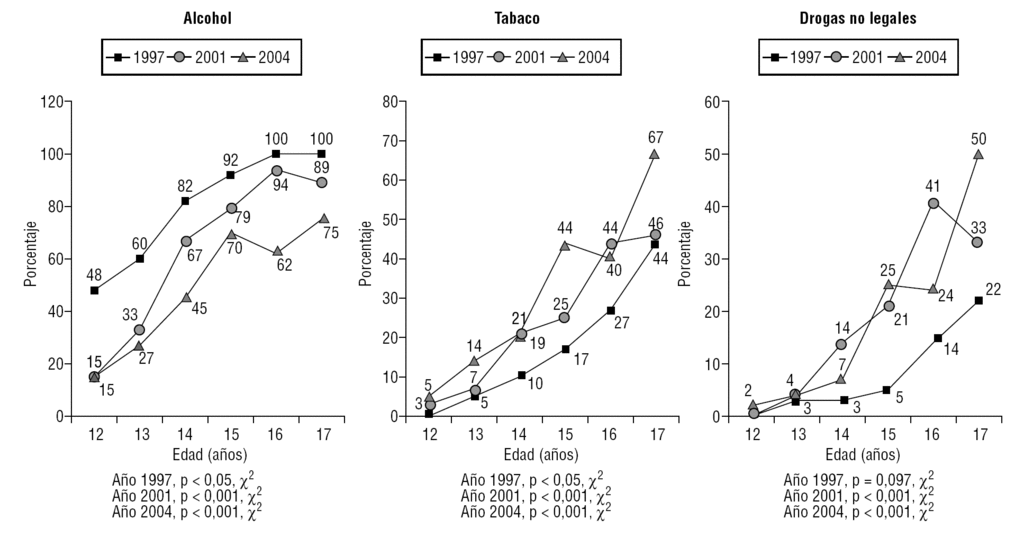
El consumo de sustancias tóxicas es diferente según la edad del adolescente (fig. 2), de forma que con 12-13 años el consumo es mínimo, hay un incremento significativo en los 14-15 años y se llega a un consumo muy elevado con 16-17 años: más de un 60% para el alcohol, un 30-60% para el tabaco y un 15-50% para otras drogas.
FIGURA 2 Diferencias en el consumo de sustancias tóxicas en relación con la edad y el año de estudio.
Discusión
Los hábitos tóxicos han cambiado en los últimos años en la población general3,4. Varios estudios locales muestran que este cambio no es homogéneo10,11, con importantes diferencias en la población adolescente4-6 que pueden llegar a influir en la población general12. La inclusión de grupos de edad inferior a 14 años nos permite conocer mejor la evolución del consumo de sustancias tóxicas; ni la presencia de inmigrantes en las aulas (menos del 2% del total) ni el sistema educativo tuvieron influencias relevantes en los resultados.
Los datos obtenidos muestran un consumo independiente del sexo, a diferencia de la población general3,4,10 y de otros estudios en adolescentes13,14; en cambio, otros estudios de ámbito nacional6,7,15,16 sí coinciden con los datos obtenidos. La edad, por el contrario, influye de forma decisiva en los patrones de consumo6,7,17: un bajo porcentaje de adolescentes con 12-13 años reconoce consumir6,7, y hay un incremento significativo a los 14-15 años, edad en la que se pasa de un consumo de prueba a otro ligado a los momentos de ocio3,5,7,10. Los adolescentes con 16-17 años presentan un porcentaje muy elevado de consumo de sustancias tóxicas, por encima de la media del grupo estudiado y de la población general3,6,7, por lo que se convierten en un grupo de especial riesgo18.
Uno de los hallazgos más relevantes en nuestro estudio es el incremento de jóvenes que no consumen ninguna sustancia tóxica. Esto se debe a la disminución del consumo de alcohol, tendencia que en el inicio de esta década es similar a la de la década de los noventa18. El consumo intermitente de alcohol es el patrón más frecuente, mientras disminuye el consumo diario, al contrario que la población general3,4. El vino y la cerveza, bebidas preferidas por los adolescentes hace varios años15,16, son progresivamente sustituidos por los combinados durante el fin de semana19, actividad que surge como una nueva forma de ocio entre iguales5,7,11,15,19,20-22 asociada con el fenómeno del policonsumo y con consumos excesivos en cortos períodos3-7,17,22.
La tendencia del tabaquismo entre adolescentes rompe con el descenso del consumo en la pasada década23 y experimenta un fuerte incremento; sigue las tendencias poblacionales3-7, con un patrón de uso preferentemente diario24 y se iguala en ambos sexos7,25, mientras que en la población general predomina el consumo masculino3,4.
El consumo de drogas ilegales se incrementa, con un patrón de consumo sobre todo intermitente. El uso del cannabis está muy extendido6,7, posiblemente al ser la continuación del hábito tabáquico1,26. El consumo de cocaína disminuye, al contrario que en la población general3,4, y aparecen nuevas drogas de diseño asociadas, sobre todo, con el consumo de fin de semana1,5-7. Estas diferencias con la población adulta estarían motivadas por la baja edad de los encuestados y la menor accesibilidad económica1,26. El diseño del trabajo puede introducir sesgos de información e subestimar el consumo de drogas ilegales: es una práctica socialmente no aceptada y la cocaína, en particular, se asocia con un estilo de vida marginal. Sin embargo, creemos que los datos obtenidos permiten una aproximación a la realidad de los adolescentes españoles, ya que suelen ser sinceros en las encuestas anónimas y fáciles de cumplimentar20,27.
Los cambios observados en estos 8 años pueden estar influidos por la baja percepción de riesgo ante el consumo de sustancias tóxicas2,5-7,19,28, la accesibilidad para la compra2,19,26,28, la trivialización cultural que la sociedad otorga al consumo de sustancias tóxicas entre jóvenes, justificándolo como una forma necesaria de diversión4,27,28, y la presencia de hábitos de consumo en el entorno cercano del adolescente2,13,28.
Este ámbito de la salud pública precisa una mayor investigación en la que se complementen los grandes trabajos nacionales y autonómicos con datos obtenidos mediante estudios realizados en el ámbito local. Esta línea de investigación puede ayudar a mejorar las actividades preventivas en la primera etapa de la adolescencia e intentar el cese del consumo en adolescentes más mayores. Los profesionales de atención primaria deben sumarse a las estrategias sanitarias poblacionales8,29, implicándose en actividades multidisciplinarias con educadores y padres, y actuar tanto en el ámbito escolar como en el familiar1,5,8,9,21,29,30.
Lo conocido sobre el tema
* El consumo de sustancias tóxicas en adolescentes es importante y se inicia a edades tempranas.
* En la población mayor de 15 años se eleva el consumo de tabaco, alcohol y otras drogas no legales.
* El consumo se desarrolla mayoritariamente en ambientes de ocio entre iguales y comporta un riesgo que no es percibido por los adolescentes.
Qué aporta este estudio
* El consumo de sustancias tóxicas está influido por la edad del adolescente, pero no por su sexo.
* Hay un mayor número de adolescentes que no toma ninguna sustancia tóxica, debido fundamentalmente a una disminución del consumo de alcohol.
* El tabaquismo se incrementa, con consumo mayoritariamente diario. También aumenta el consumo de drogas, sobre todo cannabis y drogas de diseño, y disminuye el de cocaína
El contenido del trabajo fue presentado como comunicación oral al XXV Congreso de la semFYC, celebrado en noviembre de 2005 en Santiago de Compostela, y obtuvo el accésit en la quinta edición de los premios PAPSS.
Manuscrito recibido el 29-1-2006.
Manuscrito aceptado para su publicación el 4-12-2006.
Correspondencia:
A. Pérez Milena.
Hermanos Espejo Tortosa, 29. 23006 Jaén. España.
Correo electrónico: alpemi@gmail.com







