Depression can pose a major threat to an individual’s ability to cope with daily activities. The aim of this study was to explore the relationship between physical activity (PA) and predicted home presenteeism (PHP) among depressive participants. The relationship between PHP and the severity of depressive symptoms was also investigated.
MethodsA total of 760 participants with depressive symptoms (DS) aged ≥35 years participated in this study. The study was conducted between 2008 and 2016 in municipalities within the Central Finland Hospital District. DS were determined with the 21-item Beck Depression Inventory (BDI-21) with a cutoff score ≥10, and psychiatric diagnoses were confirmed by the Mini-International Neuropsychiatric Interview (M.I.N.I.). PA, home presenteeism and other social-clinical factors were captured by standard self-administered questionnaires.
ResultsHigher PA levels were associated with lower PHP (adjusted) among depressive patients with (p<0.001) and without clinical depression (p=0.021). In addition, DS (adjusted BDI) correlated with PHP (r=0.60, 95% Cl: 0.56–0.65) in such a way that the higher the BDI was, the higher the PHP was. Moreover, home presenteeism were higher among depression diagnosed participants than those without (p=0.002).
ConclusionAccording to this study, PA is associated with PHP among depressive patients in the Finnish adult population. PA seems to promote the ability to cope better with daily activities at home despite DS or a depression diagnosis. These findings outline the importance of being physically active regarding independency of daily activities, and thus, should be considered in clinical practices when treating depressive patients.
With population aging and increasing life expectancy also years living with disease and disability increase among population. Globally, major depressive disorder (MDD) is one of the leading causes of years lived with disability (YLD),1 and depression has been estimated to be the most common global illness by the year 2030.2 In the Finnish population, depression is the most significant cause of sickness allowances3 and disability retirement.4
Beside economic burden to society, depression is a huge individual misery.5 Depression is often accompanied by other health conditions, such as other psychiatric comorbidity,6 elevated experience of pain and decreased quality of life.7 Depression can also increase the risk for many somatic diseases, such as obesity, diabetes and cardiovascular diseases.8 For example, in the Finnish adult population (≥30 years), only approximately one third of people who are suffering from depression seek and receive adequate treatment from health care units.9
Current evidence of benefits of physical activity (PA) and exercise on treatment and prevention of depression is quite clear. PA can decrease depressive symptoms (DS)10 and also lower the risk for depression in the future.11 As physical exercise is an effective intervention for depression it also could be a viable adjunct treatment in combination with antidepressants.12
In most literature, presenteeism describes the situation in which a subject works while being sick; it is workplace or occupation-related and often associated with productivity loss.13 Household presenteeism or presenteeism at home are terms that describe the productivity losses in planned housework or tasks at home.14,15 The focus of home presenteeism is an individual’s everyday life apart from work; it describes the situation or level of how much a person’s health disorders or harms the ability of a person to cope and perform everyday home chores. Although presenteeism is a global phenomenon, a generally accepted definition and consistent measurement methods are lacking.16 In this study, home presenteeism consists of performing housework or household chores while sick in a home environment from the point of view of how much these home tasks are disturbed or affected by subjects’ diseases and disorders.
From previous studies, we know that depression is associated with (work-related) presenteeism, which causes vast workplace productivity losses.17,18 A recent large U.S.-based prevalence study has revealed that depression, general anxiety and other mental health disorders are among the top health conditions that cause the highest estimated daily productivity loss and annual cost per person.19 Recent studies also suggest that promoting PA can help prevent and reduce health-related work presenteeism.20–22 Instead, the knowledge of associations between depression and home presenteeism and how PA is related to these factors is lacking. One reason for this gap in research might be the difficulty in the accurate monetary quantification of these intangible factors that are associated with sufferers’ quality of life due to illnesses and therefore they are often disregarded in studies.23 In summary, as increasing number of individuals are absenting (unemployment, sick leave or disability retirement) from work life due to depression and further, in a light of PA’s positive effect on both depression and work-related presenteeism, PA may have an important role in the everyday home tasks of depressed individuals.
Thus, the aim of this study as a part of the Finnish Depression and Metabolic Syndrome Study (FDMSA) was to explore the relationship between physical activity (PA) and predicted home presenteeism (PHP) among depressive patients. In addition, the relationship between PHP and the severity of depressive symptoms was also investigated.
Materials and methodsDesignData of the Finnish Depression and Metabolic Syndrome in Adults (FDMSA) baseline study (2008–2011) and its follow-up study (2012–2016), which were conducted within the municipalities in the Central Finland Hospital District with a catchment area of 274,000 inhabitants, were used in this study.24 Participants’ DS and clinical depression were confirmed in the FDMSA baseline study stage, and other study results were captured at the FDMSA five-year follow-up stage.
In the FDMSA follow-up study, all participants completed a standard self-administered questionnaire that contained questions about previously diagnosed somatic disorders, home presenteeism, smoking and drinking habits, PA, sleep, quality of life and perceived pain. Data on participants’ socio-economical background, such as years of education and marital and employment status were also collected via questionnaire.
ParticipantsThe study population was enrolled from patients with DS (n=760) who scored ≥10 in the 21-item Beck Depression Inventory (BDI-21)25 and who were 35 years of age or older at the baseline FDMSA-study stage (2008–2011). Participants were either self-referred or referred by general practitioners to depression nurse case managers, and participants’ psychiatric diagnoses were confirmed by trained depression nurse case managers using the diagnostic structured Mini-International Neuropsychiatric Interview (M.I.N.I.).26 The study protocol was approved by the Ethics Committee of the Central Finland Hospital District prior to the commencement of the study. All participants signed an informed written consent.
Of the 760 participants with depressive symptoms who were included in the analysis, clinical depression was confirmed in 124 participants (16%). The majority of participants were female (n=514; 68%).
Physical activity questionnairePA was assessed by using the International Physical Activity Questionnaire (IPAQ), short-form questionnaire. The IPAQ was developed as an instrument for cross-national monitoring of physical activity27 and has proven to be valid and reliable method for collecting PA data in cross-sectional studies.28 The short-form IPAQ consists of seven questions about participants’ PA (during work, leisure time, commuting, exercising or sports) during the last seven days. Participants were asked to assess their participation in at least ten minutes of vigorous PA (difficult physical effort that causes rapid breathing) and moderate PA (moderate physical effort that causes slower breathing) and walking sessions as days per week, hours per day and minutes per day. In addition, their daily sitting time (hours and minutes per day) was also assessed. All answers were classified as IPAQ grades (low, moderate, and high) via the IPAQ scoring protocol.29
Depressive symptoms and psychiatric diagnosisThe severity of participants DS were captured using the 21-item Beck Depression Inventory (BDI-21)25 with a cut-off point ≥10.24 The psychiatric diagnoses were confirmed and obtained with the diagnostic Mini-International Neuropsychiatric Interview (M.I.N.I.),26 which was delivered by a trained study nurse.
Anthropometric measurementsThe Body Mass Index (BMI) was defined as person’s weight (kg) divided by the square of the person’s height (m). The World Health Organization (WHO) has defined overweight as BMI≥25 and obesity when BMI≥30 respectively.30
Smoking and alcohol useSmoking was assessed by asking whether a subject currently smokes or not. Participants’ drinking habits were evaluated by an alcohol use disorders identification test and its three-question screening version (AUDIT-C).31 AUDIT-C is a brief, practical and valid primary care screening test for heavy drinking and/or active alcohol abuse or dependence.32 Subjects were asked to answer the following questions: “How often did you have a drink containing alcohol (1=never; 2=monthly or less; 3=2–4 times a month; 4=2–3 times a week; 5=4 or more times a week)?”, “How many drinks did you have on a typical day when you were drinking (1=1–2 drinks; 2=3–4 drinks; 3=5–6 drinks; 4=7–9 drinks; 5=10 or more drinks)?” and “How often did you have 6 or more drinks on one occasion in the past year (1=never; 2=less than monthly; 3=monthly; 4=weekly; 5=daily or almost daily)?” The AUDIT-C was scored on a scale from 0 to 12 (response option 1=0 points; 2=1 point; 3=2 points; 4=3 points; 5=4 points). Generally, men who receive a score of 4 or higher (a score of 3 or higher for women) is considered potential hazardous/heavy drinkers, and the higher is the score, the more likely drinking will affect a person’s health and safety.31,32
Home presenteeismHome presenteeism is defined as doing housework or household chores while sick. It is an evaluation of how much housework or household chores are disturbed or affected by subjects’ diseases and disorders.14,15 In this study, home presenteeism was evaluated by a visual analogue scale (VAS) and asking the following question: “How much have your diseases and symptoms affected your necessary housework and household chores at home during the last month (extreme options were “not at all” or “completely blocked”)?” Each participant was asked to mark the position that describes his/her agreement to this question along a continuous line between these two end points. For the analysis, the answers were scored from 0 (“not at all”) to 100 (“completely blocked”).
Quality of lifeQuality of life was evaluated by using the European Quality of Life Five Dimension (three-level version) (EQ-5D-3L) questions.33 EQ-5D is a standardized measure of health status that provides a simple, generic measure of health for clinical and economic appraisal. The three-level version of EQ-5D (EQ-5D-3L) is the most widely used instrument for measuring the health-related quality of life.34 EQ-5D has found to be responsive to changes related to depression severity and health status and appropriate for estimating utility in depression treatment.35 In this study, the response options were recalculated (1=0 point, 2=1 point and 3=2 points) and expressed as an average per patient.
SleepingParticipants’ quality of sleep were evaluated by asking the following question: “How tired do you feel during the first 30min after you have woken up in the morning (1=very tired; 2=quite tired; 3=quite rested; 4=feel fresh)?” The answers “quite rested” and “feel fresh” were linked to the assessment that a participant received a sufficient amount of sleep.
Pain assessmentParticipants’ perceived pain during the last seven days were assessed on a scale from 0 to 10 using questions. Average pain intensity was represented by a score range from 0 (“no pain”) to 10 (“worst imaginable pain”). Pain interference during the last seven days, when pain had disturbed daily activities in the home or outside the home, was represented by a score range from 0 (“no interference”) to 10 (“total interference”).
Statistical methodsThe results were presented as means with standard deviations (SD) or as counts with percentages. Statistical comparisons between the depression groups were performed using the t-test for continuous variables and Pearson's chi-square test for categorical variables. The adjusted relationship between the PA level and the depression status with home presenteeism was analyzed using a two-way analysis of variance. A possible nonlinear relationship between the BDI score and home presenteeism was assessed by using 4-knot-restricted cubic spline regression. The models included age, gender, marital and working status, educational years, smoking, BMI and comorbid diseases as covariates. The bootstrap method was used when the theoretical distribution of the test statistics was unknown or in the case of a violation of the assumptions (e.g., non-normality). Correlation coefficients with 95% confidence intervals (CI) were calculated by using the Pearson method. The normality of variables was evaluated graphically and with the Shapiro–Wilk W test. All analyses were performed using STATA 16.0.
ResultsTable 1 shows the socio-demographic and clinical characteristics of the study population. Participants with clinical depression were less likely to be in a relationship, had less years of education, were more likely to be unemployed or retired, and smoked more and had a higher BMI than depressive participants without a depression diagnosis. Among the participants who were diagnosed with depression the prevalence of diabetes, musculoskeletal disorders and lung diseases were higher than among depressive participants without a depression diagnosis. The number of subjects who received enough sleep were significantly lower among participants with a depression diagnosis and their health-related quality of life was poorer than depressive participants without a depression diagnosis. In addition, perceived pain (intensity and interference) was significantly more severe for participants who were diagnosed with depression compared to participants without a depression diagnosis (Table 1).
Socio-demographic and clinical characteristics of study population at follow-up; patients with depression symptoms without depression diagnosis and with a depression diagnosis.
| Variables | No depression | Depression | P value |
|---|---|---|---|
| N=636 | N=124 | ||
| Female, n (%) | 434(68) | 80(65) | 0.42 |
| Age, mean (SD) | 59(10) | 60(10) | 0.91 |
| Living in relationship, n (%) | 424(67) | 66(53) | 0.004 |
| Working status, n (%) | <0.001 | ||
| Working | 300(47) | 34(27) | |
| Unemployed | 66(10) | 20(16) | |
| Retired | 270(42) | 70(56) | |
| Education years, mean (SD) | 11.7(3.3) | 10.5(3.0) | <0.001 |
| Body Mass Index (kg/m2), mean (SD) | 27.3(5.0) | 29.0(6.0) | <0.001 |
| Smoking, n (%) | 94(15) | 35(28) | <0.001 |
| Drinking habits (AUDIT-C), mean (SD) | 2.6(2.4) | 2.9(3.2) | 0.23 |
| Chronic conditions, n (%) | |||
| Hypertension | 207(33) | 50(40) | 0.094 |
| Cardiovascular disease | 58(9) | 12(10) | 0.84 |
| Diabetes mellitus | 65(10) | 26(21) | <0.001 |
| Musculoskeletal disorder | 241(38) | 71(57) | <0.001 |
| Lung disease | 77(12) | 26(21) | 0.008 |
| Migraine | 79(12) | 18(15) | 0.52 |
| Sufficient sleep, n (%) | 458(72) | 32(26) | <0.001 |
| Health-related quality of life (EQ5D), mean (SD) | 0.805(0.188) | 0.565(0.254) | <0.001 |
| Pain, mean (SD) | |||
| Intensity | 3.0(2.4) | 5.2(2.4) | <0.001 |
| Interference | 2.6(2.6) | 5.2(2.9) | <0.001 |
AUDIT-C: alcohol use disorders identification test (three question screening version); EQ5D: European quality of life five dimensions questionnaire; SD: standard deviation.
The mean home presenteeism was lower among participants without depression (18.8, SD 25.2) than those with a depression diagnosis (51.5, SD 29.3) (p=0.002).
Depressive participants without clinical depression were more physically active than those with a depression diagnosis. Among the participants without depression, 28% of subjects had low, 35% moderate and 37% high IPAQ grade while participants with depression had 42%, 30% and 28% respectively. The mean sum of IPAQ score was higher for participants without depression (43.8, SD 44.8) than those with depression (35.4, SD 44.1) indicating lower PA among those with depression (p=0.046). In the whole study population, the PA level was linearly related to home presenteeism (p for linearity <0.001). Low, moderate and high mean home presenteeism scores by PA level were 37.7 (SD 32.7), 21.4 (SD 25.6) and 15.8 (SD 23.4), respectively.
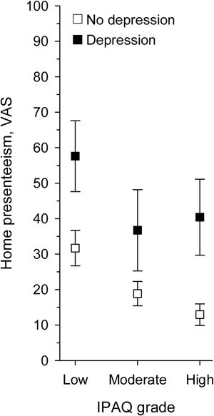
Fig. 1 shows that higher PA levels were related to lower home presenteeism scores in both groups: among participants without depression (p<0.001) and participants with depression (p=0.021) after adjusting the results for age, gender, marital and working status, educational years, smoking, BMI and comorbid diseases. Home presenteeism scores were higher among participants with depression compared to those without depression in all PA levels (p<0.001). Instead, there was no interaction between IPAQ grade and depression status with respect to home presenteeism (p=0.47).
In addition, the subgroups analysis (Fig. 2) revealed that BDI scores correlate with PHP (r=0.60, 95% Cl: 0.56 to 0.65) after adjusting the results for age, gender, marital and working status, educational years, smoking, BMI and comorbid diseases. The higher the BDI score was, the higher the PHP was as well. The same tendency in the correlations between BDI scores and PHP was observed for all PA levels: low (r=0.60, 95% CI: 0.50 to 0.68), moderate (r=0.49, 95% CI: 0.39 to 0.58) and high (r=0.63, 95% CI: 0.54 to 0.70). Also, the higher the PA level was, the lower the mean PHP score was respectively (Fig. 2).
Relationships of home presenteeism as a function of the BDI in PA levels (low, moderate, high). The curves were derived from a 4-knot restricted cubic splines regression model. The models were adjusted for age, gender, marital and working status, educational years, smoking, BMI and comorbid diseases. The gray area represents 95% confidence intervals.
The study results showed that PA was inversely associated with PHP among depressive participants with and without clinical depression. Those participants with a higher PA level had less difficulties and coped better with their necessary daily housework and household chores than those patients with lower PA activity. Also, depression diagnosis and severity of depressive symptoms were factors that predicted higher discomfort and difficulties in coping with daily tasks.
Consistent with previous studies,6–8 our study results indicate that clinically diagnosed depression was related to greater BMI as well as other comorbid diseases, poorer quality of life, increased perceived pain and insufficient sleep. Also, depression diagnosed participants’ socioeconomic factors and health behavior were poorer than those participants without a depression diagnosis. These facts may form a significant risk for a person’s future health as well as increase the societal burden of depression.5 For example, depression alongside obesity has found to increase health care utilization and health care-related costs.36
Depression can also cause a substantial productivity loss in work17–19; according to this study, it is also obvious in the home environment. Among our study population, managing daily home tasks was harder for participants diagnosed with depression as well as participants with a higher severity of DS. We also know that depression can lower a person’s quality of life7 and this association was also found in our study as well. One important finding of our study was that participants who were more physically active suffered less discomfort from diseases and symptoms and managed their housework and household chores better than the inactive participants in both groups (among those with and without a depression diagnosis). PA can positively affect a person’s psychological well-being, such as sense of coherence and social integration,37 which again is related to better coping with common daily activities.38 Thus, physically active people may have more self-confidence, which may protect them, for example, from social isolation and lead to better self-care and help-seeking in addition to better management with common daily tasks. This is important, especially among people who suffer from depressive disorders and spend a substantial amount of time at home (live alone, unemployed or retired) because their social network may have shrunk. These people have a greater risk of social isolation.
As we know from previous studies, PA and exercise is effective and beneficial for preventing depression as well as reducing DS and that association between PA and depression is bidirectional.10–12 PA may not directly decrease health care utilization (at least not in the short term) among depressive patients39; however, promoting lifetime PA may mean reduced risk for depression and somatic diseases for elderly patients.40 Our study results indicate that, in the same way that PA has a positive relation to an employee’s psychosocial health41 and can reduce health-related presenteeism at work,20–22 it can also be beneficial for reducing home presenteeism as well. In this scope and according to our study results, it seems clear that PA can have an important role in improving a person’s health and quality of life and help depressive patients manage everyday tasks in their home environments.
When interpreting the results, it is important to note that the concept of presenteeism in the literature is ambiguous. In general, presenteeism can refer either to working longer than necessary, e.g., to show high commitment42 or it can refers to attending and going to work sick or injured.13,42 For example, in his review, Johns13 has identified nine different definitions for presenteeism: (1) attending work, as opposed to being absent; (2) exhibiting excellent attendance; (3) working elevated hours even when unfit; (4) being reluctant to work part-time rather than full time; (5) being unhealthy but exhibiting no sickness or absenteeism; (6) going to work despite feeling unhealthy; (7) going to work despite feeling unhealthy or experiencing other events that normally compel absence; (8) reduced productivity at work due to health problems; and (9) reduced productivity at work due to health problems or other events that distract a person from full productivity. Therefore, the term presenteeism can be considered health-related or not health-related and can vary depending on the point of view or study approach.
As most recent studies focus on work-related presenteeism, it is important to illuminate the impact of illness on household chores and daily activities as well. Moreover, the concept of presenteeism, including home presenteeism, needs further clarification in future studies. Our study is one of the first to study and measure home presenteeism in association with PA and illness.
Strengths and limitationsThe novelty of this study is the study design and approach to explore associations between PA, depression, and home presenteeism. The main strength of this study is the use of a diagnostic interview (M.I.N.I.) to confirm depression and the use of the IPAQ method to assess participants PA. The IPAQ is widely used and accepted, valid and reliable proof method for evaluating PA in cross-sectional studies.28 Another strength of this study is the nationally representative study population with a catchment area of 274,000 inhabitants. The main limitation of this study is its generalizability. Because the study population included patients who were 35 years or older, the generalizability to younger persons is questionable. Also, different global health care infrastructures (such as accessibility, screening and prevention methods or funding of health care, etc.) must be considered when interpreting these study findings in a wider international context.
Although the VAS has been demonstrated to be a valid and reliable measurement in cross-sectional studies, some caution must also be taken when using the self-administered VAS questionnaire. In the literature, some limitations of the VAS have been raised. For example, the VAS may be difficult to fulfill among patients with perceptual-motor problems or cognitive limitations and among the elderly.43 The VAS may also be prone to spreading (respondents use all areas on the valuation scale, especially when multiple health states are valued on the same scale) and context effects (average rating for items is influenced by the level of the other items that are being valued) and endpoint bias (health states at the top and bottom of the scale are placed further apart on the scale than as suggested by a direct comparison of differences).44 Again, the concept “worst imaginable ….” may be difficult to understand, as the respondent can never know whether the present experience is the “worst”.45
Furthermore, as Despiegel et al.46 pointed out in their review, the recommendations for presenteeism tools (such as VAS-based tools) must consider the instrument properties, such as ease of use and monetization ability, as well as study type.46 Also, the responsiveness of the tool and impact of mood disorders on self-reported assessments must be taken into account.46
ConclusionsAccording to this study, PA is associated with PHP among patients with depressive symptoms with and without clinical depression in the Finnish adult population. Higher levels of PA seem to help patients cope better with daily activities at home despite their depression or depressive symptoms. On the contrary, the participants with higher depressive symptoms had more difficulties and coped worse with their necessary household chores than those with lower DS levels. These findings outline the importance of being physically active regarding the independency of daily activities, and thus, should be considered in clinical practices when treating depressive patients.
Ethical considerationsThe study protocol was approved on the 17th of April 2007 by the Ethics Committee of Central Finland Central Hospital.
FundingThis research did not receive any specific grants from funding agencies in the public, commercial, or not-for-profit sectors.
Conflict of interestThe authors declare that they have no conflict of interest.
The authors would like to thank the depression nurse case managers who participated in the practical implementation of the FDMSA: Mari Alanko, Harri Back, Timo Hannula, Anu Holopainen, Ritva Häkkinen, Katja Johansson, Eija Kinnunen, Kaija Luoma, Hannele Niemi, Hillevi Peura, Inga Pöntiö, Kirsi Rouvinen, Tiina Silvennoinen and Marianne Vihtamäki. The authors are also grateful to the FDMSA study nurses Anne Kirmanen, Seija Torkkeli, Reetta Oksanen and Olli Niemi, and Pia Jauhiainen, scientific secretary of the study.




