covid
Allergologia et Immunopathologia High cord blood IL-10 levels in preterm newborns with respiratory distress syndr...
Journal Information
Vol. 32. Issue 4.
Pages 189-196 (July 2004)
Vol. 32. Issue 4.
Pages 189-196 (July 2004)
Full text access
High cord blood IL-10 levels in preterm newborns with respiratory distress syndrome
Visits
4335
A. Blanco-Quirósa, E. Arranza, G. Solisb, JA. Garrotec, Agustín Mayod
a Department of Pediatrics and Immunology. Institute of Genetics and Molecular Biology (IBGM). University of Valladolid. Spain. 
b Department of Pediatrics. Hospital de Cabueñes. Gijón. Spain. 
c Department of Pediatrics and Immunology. Institute of Genetics and Molecular Biology (IBGM). University of Valladolid. Spain.  Hospital Clínico. University of Valladolid. Spain.
d Department of Statistics. University of Valladolid. Spain. 
This item has received
Article information
Abstract
Full Text
Bibliography
Download PDF
Statistics
Tables (7)
Table. I Birth weight, gestationals age and interleukin levels of all included cases
Tables
Table. I Birth weight, gestationals age and interleukin levels of all included cases (continuation)
Tables
Figure 1. --Preterm infants with RDS showed higher IL-10 and lower IL-12 levels in cord blood compared to premature infants without RDS. Similar results were found when compared to full term infants.
Tables
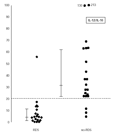
Figure 2. --The IL-12/IL-10 ratio was lower in preterm newborns with RDS (p:0.0001). A cut-off point at 20 showed a sensibility of 0.95 and specificity of 0.86.
Tables
Table. II Risk of respiratory distress syndrome (RDS) in the total newborn group
Tables
Figure 3. --The gestational age was lower in cases with RDS compared to those without RDS, but results did not change after a correction of the gestational age, by suppressing cases with less than 30 weeks.
Tables
Table. III Differences betwewn RDS and nom-RDS groups. Cases are stratified by gestational age
Tables
Show moreShow less
Background: The development of respiratory distress syndrome (RDS) is closely related to fetal immaturity, although the participation of inflammatory mechanisms also seems to be likely. We previously reported high interleukin-10 (IL-10) levels in cord blood from preterm infants. In the present study, we investigate the possible role of IL-10 and IL-12 in preterm newborns with RDS, a disease that is also closely related to gestational age. Patients and methods: Cord blood levels of IL-10 and IL-12 (p70 + p40) were determined by ELISA in 20 preterm infants who later developed RDS, in 21 preterm infants without RDS and in 31 full term newborns. In 11 patients follow-up samples could be also obtained between 2 and 14 days of life. Results: Preterm infants with RDS showed higher IL-10 (27 vs 10.8 pg/mL; p: 0.0003) and lower IL-12 (188 vs 384; p: 0.002) levels in cord blood than premature infants without RDS and full term newborns (IL-10: 3.2 pg/mL, p: 0.0001; IL-12: 352 pg/mL; p: 0.002). The differences remained statistically significant after correction for the effect of gestational age between both preterm groups. Conclusions: The results obtained may be related to an immature cytokine response in premature infants, but the IL-12/IL-10 imbalance found in our patients also supports the hypothesis that inflammation plays a role in RDS.
Keywords:
Cytokines
Hyaline membrane disease
IL-12/IL-10
Preterm newborns
Respiratory distress syndrome
Th1/Th2 lymphocytes
Antecedentes: La aparición del Síndrome de Distress Respiratorio (SDR) se relaciona muy estrechamente con la inmadurez fetal aunque también es probable la participación de mecanismos inflamatorios. Previamente hemos publicado niveles elevados de interleucina 10 (IL-10) en sangre de cordón de niños prematuros. Aquí, investigamos el posible papel de la IL-10 e IL-12 en recién nacidos prematuros con SDR, que también se relaciona con la edad de gestación. Métodos y enfermos: Se determinaron los niveles de IL-10 e IL-12 (p70 + p40) en sangre de cordón mediante ELISA en 20 niños prematuros que después desarrollaron SDR, 21 prematuros sin SDR y 31 recién nacidos a término. En 11 casos también pudimos conseguir muestras de sangre del seguimiento entre 2-14 días de vida. Resultados: Los niños pretérmino con SDR presentaron niveles más altos de IL-10 (27 vs 10,8 pg/mL; p: 0.0003) y más bajos de IL-12 (188 vs 384; p: 0.002) en sangre de cordón que los prematuros sin SDR y que los recién nacidos a término (IL-10: 3,2 pg/mL p: 0.0001 y IL-12 352 pg/mL; p: 0.002). Las diferencias siguieron siendo significativas tras la corrección del efecto de la edad de gestación entre los dos grupos de prematuros. Conclusiones: Los resultados obtenidos pudieran relacionarse con una respuesta inmadura de las citocinas en los prematuros, pero el disbalance IL-12/IL-10 encontrado en nuestros pacientes también apoya la hipótesis según la cual la inflamación juega algún papel en el SDR.
Palabras clave:
Citocinas
Enfermedad de membrana hialina
IL-12/IL-10
Recién nacidos prematuros
Síndrome de distress respiratorio
Linfocitos Th1/Th2
Full Text

Abbreviations: IL-12/IL-10: interleukin-12/interleukin-10; RDS: respiratory distress syndrome; Th1/Th2: T1/T2 helper lymphocyte; NK: natural killer cells; TNF: tumour necrosis factor; IFNγ: interferon gamma.

INTRODUCTION

IL-10 has a potent activity in immunosupression, specially directed to Th1 cells, by inhibiting both IL-12 and IFNg synthesis1. The feto-placental unit synthesizes IL-10, involved in the suppression of cellular immunity and induction of HLA-G expression in the human trophoblast, therefore protecting the fetus from rejection2,3. By contrast, at the time of delivery there is a Th1 response with increased IL-12 levels, as occurs in graft-versus-host reactions4. IL-12 has a potent Th1 effect, involved in defence mechanisms against intracellular pathogens and in delayed-type inflammatory reactions. Moreover, IL-12 induces IFNγ synthesis by T and NK cells5. The predominance of Th2 cytokines is associated to normal pregnancy, whereas Th1 is involved in recurrent spontaneous abortions2,4. The fetal Th2 predominance remains in the newborn for several weeks postdelivery6.

Serum IL-10 levels are increased in preterm infants and we have previously reported an inverse correlation between IL-10 cord blood levels and gestational age7. Here, we investigate the possible role of this interleuklin in preterm newborns with respiratory distress syndrome (RDS), which it is also related to gestational age. Besides, the imbalance between IL-10 (antiinflammatory) and IL-12 (proinflammatory cytokine) are also studied.

PATIENTS AND METHODS

Patients

The study was performed in 41 preterm infants with a mean gestational age of 32 weeks (range 25-37). Weight at birth ranged between 480 to 3,160 gr. Only one newborn had low weight for gestational age (< Pc10). Respiratory distress syndrome (RDS) was shown in 20 cases, and the diagnosis was reached by clinical and radiological findings and the course of the disease. All newborn with RDS were ventilated with a continuous positive airway pression (CPAP). The severity of the distress was assessed according to days of assisted ventilation, and referred as mild when less than 5 days, moderate between 5-10 days, and severe when more than 10 days. Antenatal steroid therapy was not administered to any case included in the study.

Neonatal sepsis was found in 5/20 cases and 7 premature infants died. There were differences affecting gestational age (median 29.5 vs 32 w; p: 0 > 0.5) and weight (mean 1230 vs 1720 gr; p: < 0.05) between groups, premature with and without RDS, but the type of delivery and the frequency of sepsis were similar (table I). Analysis determinations could be repeated in 11 preterm infants with 2 to 14 days of life, and without signs of infection or respiratory distress at that time. The results were compared to those obtained from a group of 31 healthy full term infants. The delivery was vaginal in all but 18 cases undergoing a caesarean section due to different problems: 5 had RDS, 6 without RDS and 7 full-term controls. None of the cases included in the study developed bronchopulmonary dysplasia.

The study was approved by the Ethical Research Committee of the Faculty of Medicine of University of Valladolid and performed according to ethical procedures.

Techniques

Blood samples were obtained from umbilical cord. After centrifugation for 10 minutes, serum samples were separated and frozen at ­20 °C until the study was performed. Cytokines were measured by an ELISA test (Endogen, USA), using two no-competitive monoclonal antibodies reacting against different epitopes of the IL-10 or IL-12 molecules. The IL-12 kit measure total IL-12 (p40 + p70). Using these tests, no cross-reactions with other cytokines, such as IL-1, IL-2, IL-6, tumour necrosis factor (TNF) or interferon gamma (IFNγ) are detected. The inter- and intra-assay variations were below 10 %. The final sensibility of the tests was 1 pg/mL for IL-10, and 3 pg/mL for IL-12.

Statistical analysis

The values showed a non-parametric distribution, so results are expressed as median and the Mann-Whitney U-test and the Spearman coefficient were used to assess differences and correlations between two groups, respectively. The Bonferroni ANOVA was used for comparing preterm with RDS group, preterm without RDS and term newborn controls. For age matching, differences between preterm groups were repeated after suppressing cases with less than 26 gestational weeks, 28 w., 32 w. and so on. A logistic regression model, using logarithmic transformation, was used for calculating the RDS risk variation according to the IL-12/IL-10 ratio. Sensibility and specificity value and OR (95 % CI) were calculated for groups with high and low gestational age (> 32 w. <), IL-10 (> 10 pg/mL <) and IL-12 value (> 300 pg/mL <). Differences were considered significant when p value was < 0.05.

RESULTS

General results

At birth, preterm infants with RDS showed higher IL-10 (27 vs 10.8 pg/mL, p: 0.0002) and lower IL-12 levels (188 vs 384 pg/mL, p: 0.002) than premature newborns without (table I). Similar results were found when compared to full term infants (IL-10: 3.2 pg/mL, p: 0.0001 and IL-12: 352 pg/mL, p: 0.002) (fig. 1). These results were confirmed by ANOVA Bonferroni test, assesing the three groups (IL-10, p: 0.0001 and IL-12, p: 0.005). No significant differences were found according to the severity of the RDS, although IL-10 and IL-12 levels were higher in cases with severe forms as compared to mild forms. No signficant differences were found in the group of 5 cases with sepsis. Children who died later showed higher IL-10 levels (p: 0.05) and a lower IL-12/IL-10 ratio (2.3 vs 11.0; p: 0.03) compared to survivor children. The IL12/IL10 ratio was lower in preterm newborns with RDS (4.6 vs 32; p: 0.0001) than in cases without RDS.

Figure 1.--Preterm infants with RDS showed higher IL-10 and lower IL-12 levels in cord blood compared to premature infants without RDS. Similar results were found when compared to full term infants.

We found that the best discrimination was obtained setting up the cut-off point of the IL-12/IL-10 ratio at 20 value. Only 1/20 (5 %) child with RDS and 18/21 (86 %) without RDS showed levels above this point (sensibility 0.95; specificity 0.86) (fig. 2). Similar results were found when the cut-off point for IL-10 was raised to 10 pg/mL (sensibility 0.95 and specificity 0.77), nevertheless they were lower with IL-12 for a cut-off point at 300 pg/mL (sensibility 0.70 and specificity 0.73). The risk of RDS related to cord blood IL-10 level > 10 pg/mL (OR 69; CI 95 %: 7.8-546) was higher than the risk for IL-12 levels < 300 pg/mL or the gestational age < 32 weeks (table II)

Figure 2.--The IL-12/IL-10 ratio was lower in preterm newborns with RDS (p:0.0001). A cut-off point at 20 showed a sensibility of 0.95 and specificity of 0.86.

The gestational age showed a strong negative correlation with IL-10 levels in the overall group of newborns (Z:-6.18; p: 0.0001) and in both preterm groups (Z:-4.56; p: 0.0001), but there was no correlation with IL-12 levels. On the other hand, IL-10 and IL-12 levels show no correlation with each other in any of the three groups. In the following days after delivery, the most striking finding in the 11 followed-up cases was the decrease in IL-12 levels, particularly in those with RDS (p: 0.0007) but also in premature infants without RDS (p: 0.004). By contrast, IL-10 levels decreased only in the group with RDS (p: 0.04) but not in those without RDS. No differences were found on weight, gestational age or cytokine levels among the group of infants born by caesarean delivery.

Results after correcting the gestational age

Newborns with RDS were younger than those without RDS (30 vs 32 weeks; p: 0.04), and they had lower body weight (1,230 vs 1,720 gr; p: 0.04). Nevertheless, these circumstances do not justify the strong difference found in IL-10 and IL-12 levels, because results did not change after correcting the gestational age effect (fig. 3). When a stratified study by gestational age was performed for groups > 28 and > 30 weeks, the birth weight and the gestational age were no different between RDS and non-RDS groups, whereas differences in IL-10 and IL-12 levels maintained the statistical significance (table III). Using a regression model with logarithmic data we found that the increase of 1 log unit of IL-10 levels was equivalent to the increase 12.01 times the RDS risk. On the contrary, the risk decreases 1.42 times for every 50 units of IL-12 increase.

Figure 3.--The gestational age was lower in cases with RDS compared to those without RDS, but results did not change after a correction of the gestational age, by suppressing cases with less than 30 weeks.

DISCUSSION

We had previously reported high cord blood IL-10 levels in normal preterm infants, and an inverse correlation with gestational age7, in agreement with other studies. The increased IL-10 expression in placenta in a gestational age-dependent manner followed by down-regulation at term may be underlying the mechanism of the delivery8.

It is well known that RDS is strongly associated to gestational age. According to these findings, high cord blood IL-10 levels in RDS infants may be the expression of a biological immaturity of the fetus, independently of gestational age. By contrast, cord blood IL-12 levels were not related with gestational age, even though it tends to increase. Both premature and full term infants showed very high IL-12 levels at the time of delivery with a trend to decrease in the following days after birth7.

An alternative explanation may be related to the antiinflammatory role of IL-10, manifested by its potent inhibitory effect on a vast array of cells and cytokines, particularly on Th1-type cytokines9. Surfactant deficiency in preterm infants leads to RDS, although some data also suggest a participation of local inflammation10. The study of inflammation in RDS is currently a matter of great interest. An interstitial inflammation was observed by immunohistochemistry in 40 infants who died due to acute RDS in the first week of life, with a maximal process at 72 hours of age, though it began within hours of birth11. Moreover, circulating polymorphonuclear leukocytes are activated in preterm infants with RDS and this seems to play a role in pathogenesis, with leukocyte activation present only two hours after birth12-14. Nevertheless, the inflammation is transient, vanishing by day 7-10 unless chronic lung disease is developed13. Nevertheless, at present there is little evidence supporting a prominent antiinflammatory role of IL-10 in the prevention of chronic lung disease15. After LPS injection, IL-10 knock-out mice undergo a chronic disease similar to human ulcerative colitis, with cachexia, anaemia and shock16,17 but it is striking that they do not develop lung disease, as it occurs in TGF-β knock-out mice18. IL-10 seems to be not related to airway inflammation, on the contrary, it has been found associated to recurrent wheezing and bronchial hyperresponsiveness in different experiment models19-21. In summary, an antiinflammatory role of IL-10 in fetal lung is not proved.

The main general stimuli for IL-10 secretion are proinflammatory cytokines, such as IL-1, IL-12, IFNγ, or TNFα22 and it is noteworthy that steroids have an inhibitory effect on IL-10, though it is not clear whether this is the result of a direct effect on the cytokine, or a consequence of the depression of proinflammatory cytokines, which are very active in IL-10 stimulation22,23. During pregnancy, the regeneration and tolerance factor (RTF) expressed by tissue at the maternal interface and all the pregnancy-specific glycoproteins (PSGs) induce IL-10 secretion23-25.

In an early study using bronchoalveolar lavage samples from preterm infants, no soluble IL-10, or IL-10 mRNA cellular expression were detected, whereas most samples from full term infants had positive results26. However, later studies showed detectable IL-10 levels in 50 % of bronchoalveolar samples from 17 premature infants15. These contradictory results are not relevant to our findings because bronchoalveolar lavage samples were obtained several days after birth. We have found increased serum IL-10 levels just at the time of delivery, decreasing later in postnatal life and becoming undetectable in a high percentage of samples. We should probably have to consider the delivery as a challenge test, when the feto-placental unit produces high amounts of different cytokines, due to a potent stimulus, which later disappears.

None of the infants included in our study developed bronchopulmonary dysplasia, and therefore we were unable to draw conclusions on this interesting aspect. We are planning a different experimental design to address this issue.

As occurs with other cytokines, the effect of IL-10 might be not exclusively anti-inflammatory, and different and even contradictory effects of IL-10 in particular situations are known. In adult healthy volunteers, it has been reported that after the injection of endotoxin, a high dose of IL-10 increases the effect of proinflammatory cytokines27. Others have shown that the tracheal instillation of IL-10 in animals highly increases bronchial hyperresponsiveness, and knock-out mice do not show bronchial response induced by allergens28.

In conclusion, decreased IL-12 and, very specially, increased IL-10 levels were found in cord blood from the premature newborns, which developed RDS. The results were independent of gestational age, therefore the IL-12/IL-10 ratio give us more useful information on RDS risk than age or weight. Nevertheless, it remains unclear whether the increased IL-10 levels, besides reflecting functional immaturity of the newborn, has any role in the inflammatory process affecting the development of RDS.

ACKNOWLEDGEMENTS

This article was partially supported by a research grant from Consejería de Educación de la Junta de Castilla y León. Spain (ref EV13/98).

Bibliography
[1]
Moore KW, O'Garra A, de Waal Malefyt R, Vieira P, Mosmann TR..
Interleukin-10..
Annu Rev Immunol, 11 (1993), pp. 165-90
[2]
Pregnancy: success and failure within the Th1/Th2/Th3 paradigm. Seminar Immunol 2001;13:219-27. 1997;18:478-82.
[3]
Moreau P, Adrian Cabestre F, Menier C, Guiard V, Gourand L, Dausset J, Carosella ED, Paul P..
IL-10 selectively induces HLA-G expression in human trophoblasts and monocytes..
Int Immunol, 511 (1999), pp. 803-11
[4]
Wegmann TG, Lin H, Guilbert L, Mosmann TR..
Bidirectional cytokine interactions in the maternal-fetal relationship: is successful pregnancy a Th2 phenomenon?.
Immunol Today, 14 (1993), pp. 353-6
[5]
Chace JH, Hooker NA, Mildenstein KL, Krieg AM, Cowdery JS..
Bacterial DNA-induced NK cell IFN-g production is dependent on macrophage secretion of IL-12..
Clin Immunol Immunopathol, 84 (1997), pp. 185-93
[6]
Smart JM, Kemp AS..
Ontogeny of T-helper 1 and T-helper 2 cytokine production in childhood..
Pediatr Allergy Immunol, 12 (2001), pp. 181-7
[7]
Blanco Quirós A, Arranz E, Solís G, Villar A, Ramos A, Coto D..
Cord blood interleukin-10 levels are increased in preterm newborns..
Eur J Pediatr, 159 (2000), pp. 420-3
[8]
Hanna N, Hanna I, Hleb M, Wagner E, Dougherty J, Balkundi D, Padbury J, Sharma S..
Gestational age-dependent expression of IL-10 and its receptor in human placental tissues and isolated cytotrophoblasts..
J Immunol, 11164 (2000), pp. 5721-8
[9]
Howard M, O'Garra A..
Biological properties of interleukin 10..
Immunol Today, 13 (1992), pp. 198-200
[10]
Speer CP, Ruess D, Harms K, Herting E, Gefeller O..
Neutrophil elastase and acute pulmonary damage in neonates with severe respiratory distress syndrome..
Pediatrics, 91 (1993), pp. 794-9
[11]
Murch SH, Costeloe K, Klein NJ, MacDonald TT..
Early production of macrophage inflammatory protein-1 alpha occurs respiratory distress syndrome and is associated with poor outcome..
[12]
Bruss F, Vanoeveren W, Okken A, Oetomo SB..
Activation of circulating polymorphonuclear leukocyes in preterm infants with severe idiopathic respiratory distress syndrome..
Pediatr Res, 39 (1996), pp. 456-63
[13]
Nupponen I, Pesonen E, Andersson S, Makela A, Turunen R, Kautiainen H, Repo H..
Neutrophil activation in preterm infants who have respiratory distress syndrome..
Pediatrics, 110 (2002), pp. 36-41
[14]
Ferreira PJ, Bunch TJ, Albertine KH, Carlton DP..
Circulating neutrophil concentration and respiratory distress in premature infants..
J Pediatr, 136 (2000), pp. 466-72
[15]
McColm JR, Stenson BJ, Biermasz N, McIntosh N..
Measurement of interleukin 10 in bronchoalveolar lavage from preterm ventilated infants..
Arch Dis Child, 82 (2000), pp. F156-9
[16]
Kuhn R, Lohler J, Rennick D, Rajewsky K, Muller W..
Interleukin-10-deficient mice develop chronic enterocolitis..
Cell, 75 (1993), pp. 263-74
[17]
Grunig G, Corry DB, Leach MW, Seymour BW.P, Kurup VP, Rennick DM..
Interleukin-10 is a natural suppressor of cytokine production and inflammation in a murine model of allergic bronchopulmonary aspergillosis..
J Exp Med, 185 (1997), pp. 1089-99
[18]
Kulkarni AB, Karlsson S..
Transforming growth factor-beta 1 knockout mice. A mutation in one cytokine gene causes a dramatic inflammatory disease..
Am J Pathol, 143 (1993), pp. 3-9
[19]
Bont L, Heijnen CJ, Kavelaars A, vanAalderen WM.C, Brus F, Draaisma JT.M, Geelen SM, Kimpen JLL..
Monocyte IL-10 production during respiratory syncytial virus bronchiolitis is associated with recurrent wheezing in a one-year follow-up study..
Amer J Respir Crit Care Med, 5161 (2000), pp. 1518-23
[20]
vanScott MR, Justice JP, Bradfield JF, Enright E, Sigounas A, Sur S..
IL-10 reduces Th2 cytokine production and eosinophilia but augments airway reactivity in allergic mice..
Amer J Physiol Lung Cell M Ph, 4278 (2000), pp. L667-74
[21]
Makela MJ, Kanehiro A, Borish L, Dakhama A, Loader J, Joetham A, Xing Z, Jordana M, Larsen GL, Gelfand EW..
IL-10 is necessary for the expression of airway hyperresponsiveness but not pulmonary inflammation after allergic sensitization..
Proc Nat Acad Sci Usa, 1197 (2000), pp. 6007-12
[22]
Borish L..
IL-10: Evolving concepts..
J Allergy Clin Immunol, 101 (1998), pp. 293-297
[23]
Snyder SK, Wessner DH, Wessells JL, et al..
Pregnancy-specific glycoproteins function as immunomodulators by inducing secretion of IL-10, IL-6 and TGF-beta 1 by human monocytes..
Amer J Reprod Immunol, 45 (2001), pp. 205-16
[24]
Wessells J, Wessner D, Parsells R, White K, Finkenzeller D, Zimmermann W, Dveksler G..
Pregnancy specific glycoprotein 18 induces IL-10 expression in murine macrophages..
Eur J Immunol, 730 (2000), pp. 1830-40
[25]
Lee GW, Boomer JS, GilmanSachs A, Chedid A, Gudelj L, Rukavina D, Beaman KD..
Regeneration and tolerance factor of the human placenta induces IL-10 production..
Eur J Immunol, 331 (2001), pp. 687-91
[26]
Jones CA, Cayabyab RG, Kwong KY.C, et al..
Undetectable interleukin (IL)-10 and persistent IL-8 expression early in respiratory distress syndrome: a possible developmental basis for the predisposition to chronic lung inflammation in preterm newborns..
Pediatr Res, 39 (1996), pp. 966-75
[27]
Lauw FN, tenHove T, Dekkers PE.P, deJonge E, vanDeventer SJ.H, vanderPoll T..
Reduced Th1, but not Th2, cytokine production by lymphocytes after in vivo exposure of healthy subjects to endotoxin..
Infec Immunity, 68 (2000), pp. 1014-8
[28]
Justice JP, Shibata Y, Sur S, Mustafa J, Fan M, VanScott MR..
IL-10 gene knockout attenuates allergen-induced airway hyperresponsiveness in C57BL/6 mice..
Amer J Physiol Lung Cell M Ph, 280 (2001), pp. L363-8
Download PDF
Article options
Tools