Una lubricación óptima beneficia la fricción entre las superficies de rozamiento. Las prótesis articulares funcionan en el organismo con un régimen de lubricación específico, puesto que tienen su propio lubricante fabricado por el organismo. Este líquido de la neoarticulación no ha sido estudiado como lubricante y no se conoce si es el adecuado para los implantes que utilizamos. Por otra parte, es probable que las características tribológicas del líquido sinovial sean diferentes según las patologías y, por supuesto, que el líquido sinovial de una articulación sana tenga poco que ver, desde el punto de vista tribológico, con el que aparece tras la implantación de una prótesis. El líquido sinovial es un excelente lubricante para la fricción cartílago-cartílago de una articulación normal, pero probablemente no lo sea tanto para la fricción de elementos artificiales.
Nos planteamos como objetivo determinar las características y propiedades del líquido sinovial, exclusivamente como lubricante, para comprobar si es un buen o mal lubricante para las prótesis y si esta cualidad cambia según el origen del mismo.
MATERIAL Y MÉTODO
Se tomaron muestras de líquido articular a 81 personas obteniendo un total de 165 muestras de líquido entre 5 y 10 cc cada una. El origen de las muestras fue el siguiente:
1) Grupo 1: líquido sinovial normal, obtenido de donantes jóvenes para trasplantes multiorgánicos a los que se les extrajo el líquido sinovial de ambas rodillas, una vez confirmado por sus familiares que no tenían antecedentes de patología en esas articulaciones. Se eligió esta articulación por su mayor disponibilidad, considerando que en un individuo joven sin patología articular, el líquido sinovial de todas las articulaciones es similar.
2) Grupo 2: líquido sinovial artrósico, procedente de pacientes que acudieron al hospital para ser sometidos a una artroplastia total de rodilla o cadera por patología artrósica. Se obtenía la muestra en el momento de la intervención procurando que no se mezclase con sangre.
3) Grupo 3: líquido sinovial «meniscal», procedente de pacientes que acudieron a consulta o al servicio de urgencias con un proceso agudo que conllevaba un derrame articular de rodilla que no se consideró de origen artrósico ni reumático. Llamamos a este tipo de líquido «meniscal», por ser ésta la patología que con más frecuencia lo producía.
4) Grupo 4: líquido sinovial inflamatorio, procedente de pacientes que acudieron a consulta o al servicio de urgencias con un proceso agudo que conllevaba un derrame articular de rodilla que se consideró de origen inflamatorio reumático.
5) Grupo 5: líquido sinovial protésico, obtenido de pacientes portadores de una artroplastia articular que había fallado y precisaban un recambio de la misma. La muestra se obtuvo en el momento de la intervención, por punción directa con aguja intramuscular una vez disecada la cápsula articular y antes de proceder a la artrotomía, evitando su mezcla con sangre.
Para la caracterización de las muestras se han estudiado los siguientes parámetros: viscosidad cinemática mediante un viscosímetro semiautomático ISL® (ISL, Caen, Francia), determinando la viscosidad a 40°C, siguiendo la normativa ASTM D-45. Concentración de metales (Fe y Zn) mediante la técnica de plasma/ICP. El pH del líquido con un pHímetro con un patrón externo de temperatura y su contenido de agua. Estas valoraciones son las habituales en el estudio de las propiedades de cualquier lubricante en la industria.
Se diseñó un dispositivo de ensayo que simula el juego articular de la cadera, y se utilizaron cotilos de polietileno de ultra alto peso molecular (UHMWPE) y cabezas de cromo-cobalto o cerámica de aluminia, ambas de 32 mm de diámetro. Como lubricante en los ensayos tribológicos se utilizaron 12 muestras de líquido sinovial que se clasificaron según su viscosidad cinemática en: líquido sinovial de alta viscosidad, 6 muestras (viscosidad media 79 cSt) y líquido sinovial de baja viscosidad, 6 muestras (viscosidad media 5,5 cSt). Se utilizó la viscosidad para clasificarlos, por ser el único dato que se relacionó de manera constante con el origen del mismo.
Para medir la temperatura del sistema se colocó un termopar tipo K (Zamacola, Bilbao, España) alojado en las proximidades del cotilo en contacto con el líquido sinovial.
Por ventilación directa se consiguió que las oscilaciones de temperatura fuesen menores y que la elevación de la misma producida por la fricción mantuviese niveles similares a los que se supone se producen en la cadera al caminar por la fricción de sus elementos. Este sistema de ventilación no evitó la evaporación parcial del agua del lubricante que hubo que compensar mediante la adición del agua perdida por evaporación. Las condiciones básicas de ensayo quedan reflejadas en la tabla 11-9.
Se han medido los siguientes parámetros: en la cabeza femoral: rugosidad final (µm), variación rugosidad (µm), variación diámetro (mm) y variación de peso (mg). En el cotilo: rugosidad final (µm), variación rugosidad (µm), variación diámetro (mm) y variación de peso (mg).
Con estos datos calculamos la pérdida de masa, las variaciones dimensionales del cotilo y la cabeza midiendo los cambios de diámetro y los cambios de rugosidad en cabeza y cotilo. Se efectuaron 4 grupos de ensayos (tabla 2) y por cada grupo se realizaron 4 ensayos sucesivos con una duración de dos horas, los tres primeros ensayos y de 4 horas el cuarto. Se midieron todos los parámetros al final de cada ensayo. En cada grupo se utilizó el mismo cotilo y la misma cabeza femoral hasta el final de los 4 ensayos, con una nueva muestra de líquido sinovial para cada uno de ellos siempre de la misma viscosidad.
RESULTADOS
El único dato que se correlacionó con el origen del líquido sinovial fue su viscosidad. Los líquidos procedentes de donantes (grupo 1), considerados sanos, presentaban una alta viscosidad (X = 58,1 cSt). Lo mismo sucedió con los líquidos sinoviales procedentes de articulaciones artrósicas (grupo 2) (X = 51,41 cSt). Por el contrario, el líquido sinovial llamado meniscal (grupo 3) (X = 15,09 cSt), inflamatorio (grupo 4) (X = 33,6 cSt) y el procedente de prótesis de revisión (grupo 5) (X = 10,47 cSt), presentaron una viscosidad mucho más baja.
El pH de las muestras de líquido sinovial fue discretamente básico, mientras que el procedente de donantes (grupo 1) era ácido. El resto de los valores determinados no se relacionaron con el origen del líquido sinovial.
Las muestras mezcladas con pequeñas cantidades de sangre mostraron en el análisis realizado una concentración de hierro alta y se rechazaron para el estudio.
Rugosidad
Las cabezas metálicas con cotilos de polietileno (fig. 1A) y un líquido sinovial de alta viscosidad como lubricante produjeron inicialmente un aumento de la rugosidad de la cabeza femoral, que se estabilizó durante el ensayo para disminuir al final del mismo, por un efecto de pulido. Este aumento inicial estuvo en relación con la adhesión del líquido sinovial a la superficie de la cabeza metálica y su solidificación posterior que se observó en este par. Cuando se utilizaron líquidos de baja viscosidad se observó un aumento inicial de la rugosidad, aunque se produjo más tarde y fue de menor cuantía que con líquido sinovial de alta viscosidad.
Figura 1. Variación de la rugosidad en el par metal-polietileno (A) y cerámica-polietileno (B).
En el cotilo, la situación fue diferente. Con todos los lubricantes utilizados vimos una disminución de la rugosidad. Es decir, se produjo un efecto de pulido del cotilo de polietileno cuando articuló con cabezas metálicas, siendo éste muy intenso, inicialmente, cuando se utilizó líquido de alta viscosidad. Con el líquido de baja viscosidad se observó también una disminución de la rugosidad inicial, pero de menor medida que con el líquido de alta viscosidad.
Al final de los 4 ensayos los dos tipos de lubricantes pulieron la superficie del cotilo que articula con cabezas metálicas, siendo éste más llamativo con líquido articular de alta viscosidad. En el par cerámica polietileno (fig. 1B) se observó que la rugosidad de la cabeza de cerámica no se modificó a lo largo del ensayo, independientemente del lubricante utilizado.
Los cotilos de polietileno con cabezas de cerámica disminuyeron su rugosidad, obteniendo al final del ensayo un efecto de pulido menor que el obtenido con cabezas metálicas. Este efecto fue mayor con líquido sinovial de alta viscosidad.
Reducción del peso
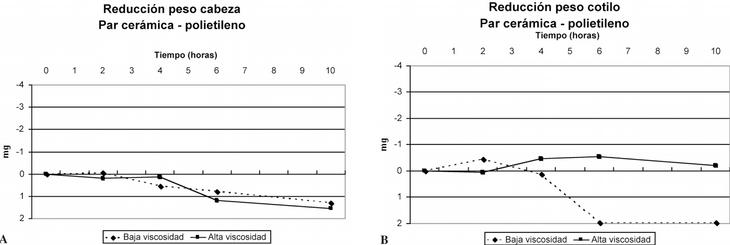
En las cabezas metálicas (fig. 2A) se observó una mínima disminución del peso con todos los líquidos. Las cabezas de cerámica (fig. 3A) también perdieron peso durante el ensayo, siendo mayor cuando se utilizó líquido sinovial de alta viscosidad.
Figura 2. Reducción peso par metal-polietileno en cabeza (A) y cotilo (B).
Figura 3. Reducción peso par cerámica-polietileno en cabeza (A) y cotilo (B).
En los cotilos con cabezas metálicas (fig. 2B) y líquido sinovial de alta viscosidad no se modificó el peso, con mínimas pérdidas y ganancias del mismo a lo largo de los ensayos. Con líquido de baja viscosidad, aunque la pérdida final de peso fue algo menor, se observó un aumento del peso del cotilo en el tercer ensayo, que se explicó por la impregnación en el polietileno del cotilo de partículas procedentes de la cabeza metálica, y por la difusión de componentes del lubricante utilizado en el material poroso del cotilo. El cotilo tomó en algunos de los ensayos un color amarillento. En los cotilos con cabezas de cerámica (fig. 3B) y líquido de alta viscosidad, no se observó modificación del peso de éste. Con líquido de baja viscosidad esta pérdida fue claramente mayor.
Reducción de diámetro
En el par metal-polietileno se observó una disminución muy pequeña del diámetro de las cabezas metálicas con líquido sinovial de baja viscosidad. Con alta viscosidad, se observó un aumento paradójico del diámetro de las cabezas que se explicó por la adhesión del líquido sinovial (fig. 4A).
Figura 4. Reducción diámetro par metal-polietileno en cabeza (A) y cotilo (B).
En las cabezas de cerámica las variaciones del diámetro son mínimas. En todos los cotilos se produjo un aumento del diámetro, siendo éste más importante con líquido sinovial de baja viscosidad (figs. 4B y 5B).
Figura 5. Reducción diámetro par cerámica-polietileno en cabeza (A) y cotilo (B).
DISCUSIÓN
Las diferencias de viscosidad obtenidas entre distintos tipos de pacientes puede relacionarse con la cantidad y el peso molecular de los derivados del ácido hialurónico presentes en el líquido sinovial. El ácido hialurónico del líquido sinovial de las articulaciones artrósicas, sin gran componente de inflamación, no está degradado, conservando su peso molecular y manteniendo sus propiedades10. Presentan una viscosidad similar al líquido sinovial normal. En el caso de enfermedades articulares inflamatorias el líquido articular presenta una disminución tanto de la concentración de ácido hialurónico como de su peso molecular, por lo que la viscosidad del mismo disminuye. Algo similar ocurre en el líquido procedente de la revisión de artroplastias articulares, donde disminuye el ácido hialurónico en comparación con el líquido procedente de articulaciones artrósicas11, seguramente porque la capacidad de formación de ácido hialurónico, por parte de las células que recubren la neoarticulación, está disminuida, encargándose los fibroblastos de la neocápsula de la producción del ácido hialurónico12.
Durante la realización de las pruebas de desgaste hemos visto como en algunos ensayos el cotilo adquiere un color amarillento por difusión de sustancias del lubricante en el material poroso del mismo. En este sentido Costa et al13 han demostrado que en la biodegradación de polietileno de los cotilos se produce difusión de componentes del líquido articular, ésteres y ácidos, en el interior del polietileno. Estas sustancias son encontradas hasta 2 mm bajo la superficie del polietileno.
En este trabajo hemos podido comprobar como el mismo par de fricción se comporta de forma diferente si utilizamos distintos lubricantes. García-Llorente et al14 apuntan que la tasa de desgaste de polietileno disminuye cuando se utiliza un lubricante, en comparación con el desgaste en seco. Por ello, la mayoría de los trabajos con simuladores de cadera utilizan algún tipo de lubricante para sus ensayos de fricción. Estos lubricantes son tan dispares como el agua destilada desionizada6-8,15 soluciones de NaCl2, suero bovino solo1,3,16 o con solución de Ringer4. Incluso hay intentos de utilización de lubricantes artificiales5,10. Las características tribológicas de estos lubricantes difieren de uno a otro.
No hemos encontrado ninguna referencia que utilice como lubricante en las pruebas de desgaste líquido sinovial. Debido a que el propio organismo produce, en el caso de las artroplastias articulares, su propio lubricante, creemos que es importante conocer cómo se comporta éste, ya que va a ser en definitiva el único lubricante que existe en todas las artroplastias.
Por lo que respecta a la fricción entre dos elementos, se considera como óptima la situación en la que las superficies que friccionan sufren un pulido inicial que elimine la rugosidad de superficie inevitable en el proceso de fabricación, y que las haga perfectamente congruentes. Posteriormente su proceso de desgaste será mínimo al ser sus condiciones de fricción perfectas. En nuestro trabajo el líquido sinovial de alta viscosidad produce en ambos pares de fricción un pulido inicial mayor de la superficie del cotilo en comparación con el líquido de baja viscosidad. Consideramos a este pulido inicial, por tanto, beneficioso, puesto que al disminuir la rugosidad de superficie se mejorará la fricción entre los componentes reduciendo el desgaste. Es por ello que el líquido sinovial de alta viscosidad produce una menor pérdida de peso del cotilo en el par cerámica-polietileno y una menor reducción del diámetro en ambos pares, lo que interpretamos como un menor desgaste inicial del cotilo y, por lo tanto, una mejor fricción al final del estudio.
Por el contrario, el líquido sinovial de baja viscosidad es el lubricante que peor se comporta desde el punto de vista tribológico, en especial en el par cerámica-polietileno. Con esta combinación se observa el mayor desgaste del cotilo (mayor pérdida de peso y mayor aumento del diámetro del cotilo) que en el resto de las combinaciones estudiadas. Con el mismo par cerámica-polietileno utilizando líquido de alta viscosidad las propiedades tribológicas mejoran claramente, con una menor pérdida de peso del cotilo. En la fricción metal-polietileno los resultados tribológicos son más pobres.
La viscosidad es fundamental en la mejora de las propiedades tribológicas, su aumento mejora las condiciones friccionales del par cartílago-cartílago, y también en los pares artificiales utilizados en la fabricación de artroplastias articulares.
No tenemos que olvidar que el líquido sinovial que encontramos en artroplastias fallidas es el que tiene la viscosidad más baja. El lubricante fabricado por el organismo y que está presente en artroplastias articulares fallidas no parece ser el idóneo para estos dispositivos, puesto que el hecho de tener una viscosidad muy baja puede influir negativamente en sus características tribológicas. Aunque puede suceder que en las que presentan una buena evolución y no tenemos ocasión de estudiar, su líquido tenga una viscosidad mayor, y se comporte como lubricante favoreciendo la mayor supervivencia de las prótesis. Cualquier situación que mejore las características de lubricación del líquido articular disminuirá el desgaste de los componentes, y por lo tanto la producción de partículas de desgaste.
Esta idea podría orientarse en dos sentidos; por un lado en una mejora farmacológica de las propiedades físicas del líquido que se forma, como por ejemplo con la inyección intraarticular en artroplastias articulares de sustancias que aumenten la viscosidad del líquido, de forma similar a la inyección intraarticular de soluciones viscoelásticas de hialuronato que se realiza en el tratamiento de la gonartrosis. Otra posibilidad es la de aislar los propios componentes que friccionan en un compartimento estanco que evite que las partículas de desgaste se introduzcan en el tejido circundante. Este compartimento estanco podría contener un lubricante artificial idóneo para cada par de fricción utilizado. Esta idea de la encapsulación artificial de los elementos de fricción ya fue apuntada por Derbyshire et al17. Dicho autor probó diferentes materiales (bioelastómeros en un ambiente de fluido corporal y lubrificantes) para la fabricación de la cápsula. Yao y Skorecki18 retomaron la idea en la articulación del hombro, evaluando esta posibilidad en términos tribológicos y describiendo un número de polímeros implicados en la fabricación de la cápsula. Señalan, asimismo, las posibilidades de sellado de la cápsula y la permeabilidad líquida de la misma.
Desde la publicación de estos trabajos en los años ochenta no hemos encontrado ninguna referencia que apunte la posibilidad de la encapsulación artificial de las artroplastias artificiales. Cualquier trabajo encaminado a mejorar las condiciones tribológicas del líquido sinovial neoformado va a suponer una mejora indudable en el porvenir de las prótesis. Es un terreno poco estudiado, y su investigación puede suponer una ayuda en este campo.
La viscosidad es un factor clave en la mejora de las propiedades tribológicas de los lubricantes en artroplastias articulares, de tal forma que el aumento de la misma mejora la fricción, disminuyendo la producción de partículas de desgaste. El líquido de alta viscosidad presenta unas propiedades de lubricación mejores que el de baja viscosidad.
El líquido sinovial producido por el organismo cuando se implanta una prótesis y ésta fracasa presenta una viscosidad disminuida, y por lo tanto unas propiedades tribológicas deficientes.
De los sistemas estudiados el par cerámica-polietileno, utilizado como lubricante líquido sinovial de alta viscosidad, es el que presenta unas condiciones tribológicas mejores. Toda mejora en las propiedades de lubricación del líquido sinovial neoformado supondría una mayor supervivencia de la prótesis al desgastarse menos sus componentes y produciría menos partículas, disminuyendo su influencia en la movilización protésica.
AGRADECIMIENTOS
A la Fundación TEKNIKER de Eibar, al Dr. Mikel Zataráin, Dr. Javier Laucirica y a la Dra. Amaya Igartua, así como a todo el personal de los laboratorios de mecánica, química y tribología de la Fundación TEKNIKER, encargados del diseño y fabricación del simulador de cadera y de la realización de las pruebas de desgaste.
Conflicto de intereses. Los autores informan que este trabajo ha sido financiado con las ayudas para Proyectos de Investigación y Desarrollo Tecnológico. Comisión interministerial de Ciencia y Tecnología. Programa Nacional de Materiales. Plan Nacional I + D (1996). Proyecto MAT96.0635.









