INTRODUCCION
El esfuerzo metabólico quesupone la gestación afecta también al sistemaesquelético. El feto es hipercalcémico respecto de lamadre, a expensas de la obtención del catión a partirdel suero de la gestante(1,2). Para mantener lacalcemia la madre extrae de la ingesta la mayor parte delcalcio(3), disminuye suexcreción y recurre a sus depósitos en el hueso. Losniveles de calcio total presentan una tendencia descendente a lolargo de la gestación, que acompaña a los nivelesséricos de albúmina, al contrario de los de calcioiónico, estables durante todo elperíodo(4-6). Estaestabilidad se consigue gracias a una gran cantidad de hormonas,entre las que destaca la PTH, que colabora de manera indirecta conla vitamina D(7,8) en laabsorción intestinal del calcio y directamente en el hueso yel riñón, aumentando la calcemia, dentro de unambiente hiperestrogénico desfavorable para lareabsorción ósea. Para compensar la teóricahipocalcemia se ha postulado(2,9,10), clásicamente, la hipótesis delhiperparatiroidismo fisiológico, que presenta nivelesascendentes de la PTH en la gestación. Con laaparición de los nuevos métodos de análisis dela PTH intacta (PTHi), que desecha los fragmentos del metabolismode la hormona, podemos discutir esta hipótesis, con nivelesestables de la hormona durante todo elembarazol(12,13). A pesar de estaaparente inactividad (Ca++ y PTHestables), el metabolismo óseo es primordial para elmantenimiento de la homeostasis del calcio durante lagestación. La aparición de nuevos y fiablesmarcadores bioquímicos de remodelamiento óseo permiteun estudio más exhaustivo de este metabolismo. La fosfatasaalcalina total es un marcador de formación ósea pocosensible y específico, pero el uso de su isoenzimaósea es complicado y la correlación entre ambas esbuena, sobre todo en el tercer trimestre(14). Se han documentado(15,16) niveles elevados de esta enzima en la gestación, sobretodo en el tercer trimestre, así como en patologíasóseas médicas, traduciendo una elevada tasa deformación ósea. La osteocalcina (BGP) estambién un marcador de formación ósea, peromás sensible y específica que la anterior,constituyendo un marcador bioquímico muyfiable(17). Algunos estudioslongitudinales(18,19) presentandescensos de esta proteína hasta el segundo trimestre, conuna leve recuperación en el tercer trimestre. Otros, comoGallacher(20), no encuentranvariaciones significativas durante lagestación.
Las piridinolinas (PIR), enlacesirreductibles del colágeno excretados en la orina,constituyen un marcador muy fiable de reabsorciónósea, siendo muy específicas del metabolismoóseo(21,22). Existen pocos estudios(23) sobre estos marcadores en la gestación. Manabe etal(24) presentan ascensospaulatinos de estos enlaces en orina hasta el parto. Con objeto deevitar las variaciones del flujo plasmático renal se utilizala corrección con respecto a la creatinina urinaria(cociente piridinolinas/creatinina, PIR/ CRE), cuyaexcreción presenta buena correlación con la de laspiridinolinas.
El objetivo final de este estudioha sido analizar los niveles plasmáticos de la PTH, laosteocalcina, la fosfatasa alcalina, las piridinolinas urinarias ycalcular el cociente piridinolinas/creatinina con el fin de evaluarindirectamente el proceso de remodelamiento óseo durante lagestación normal.
MATERIAL YMÉTODOS
El estudio, realizado de maneraprospectiva y descriptiva, incluye a 38 gestantes normales queacudieron al Departamento de Obstetricia y Ginecología delHospital Universitario Virgen Macarena de Sevilla para el controlde su embarazo antes de las 12 semanas. El período dereclutamiento comenzó en noviembre de 1995, y el seguimientofinalizó en abril de 1998. Se excluyeron de la muestra a lasmujeres que presentaban alguna patología durante el embarazoactual o previa a la gestación, con una edad gestacionalsuperior a las 12 semanas y a aquellas que habían empleadoanticonceptivos orales en los 6 meses previos al embarazo. Loscontroles se realizaron con periodicidad mensual, desde lainclusión en el estudio hasta el último mes de lagestación. Todas las mujeres autorizaron, medianteconsentimiento informado, su inclusión en el estudio. Encada control, además de la vigilancia clínicamaterna, se determinaron los niveles plasmáticos de la PTH,de la osteocalcina, de la fosfatasa alcalina total y en orina delas piridinolinas y del cocientepiridinolinas/creatinina.
La PTH en el suero seanalizó en el Immulite Automated Analyzer® mediantequimioluminiscencia tras un enzima inmunoensayo(Immulite® Intact PTH) ensuero y plasma con EDTA. El sistema utiliza anticuerpospoliclonales anti-PTH purificados en una fase sólida depolistireno. La osteocalcina sérica se analizómediante inmunoensayo (Novocalcin®), que detecta la osteocalcina intacta mediante anticuerposmonoclonales antiosteocalcina de ratón. La fosfatasaalcalina se analizó dentro de la batería de labioquímica general en el BM/Hitachi 917 mediante un test conp-nitrofenilfosfato y agua. Las D-piridinolinas en orina seanalizaron en el Immulite Automated Analyzer®mediante quimioluminiscencia tras un enzimainmunoensayo. Los resultados de las D-piridinolinas obtenidos conel Immulite® fueronnormalizados para la concentración urinaria de creatininacon objeto de corregir las variaciones de flujourinario.
La edad media de las gestantes enel momento de su inclusión en el estudio fue de 28,947± 4.033 años, el número medio de gestacionesde 1,684 ± 0,739 (rango de uno a tres embarazos) y la edadgestacional en el parto fue de 280,132 ± 10,052días.
Los datos se almacenaron para suestudio estadístico en una base de datos confeccionada en elprograma DBaseV y se analizaron con los programas Epi-Info ySPSS-PC+. Se estableció el nivel de significatividad en el95% (p < 0,05).
RESULTADOS
El valor medio de la fosfatasaalcalina (PALC) fue de 170,189 ± 84,129 U/l. Esta enzimapresenta una evolución mensual claramente ascendente hastael último mes del embarazo. Los valores mediosséricos del tercer trimestre triplican a los del primero.Este ascenso denota una gran formación ósea durantela gestación de manera global y durante el tercer trimestrede manera particular. Existen diferenciásestadísticamente significativas entre los tres trimestresdel embarazo (p < 0,05 entre el primero y quinto, cuarto yoctavo y quinco y octavo controles). El valor medio de la fosfatasaalcalina al comienzo de la gestación fue de 109 ±0,61 U/l, encontrándose entre los rangos de normalidad parala población general al igual que los del segundo trimestre,pero con diferencias significativas entre ambos (p < 0,05). Elvalor medio en el tercer trimestre se encuentra, por encima de losrangos de normalidad para la población general (Fig. 1 y tabla 1).
Figura1. Evolución de la fosfatasa alcalina sérica durantela gestación.
| Tabla 1Niveles séricos de PTH, fosfatasa alcalina, osteocalcina,piridinolinas urinarias y del cociente piridinolinas/creatininadurante la gestación normal (n = 38) | |||||
| PTH pg/ml (x± sd) | Fostasa alcalinaU/l (x ± sd) | BGP ng/ml (x± sd) | PIR nM (x ±sd) | Cociente PIR/CREnM/mM (x ± sd) | |
| Embarazo | 33,527 ±24,887 | 170,189 ±4,129 | 6,884 ± 5,557 | 80,993 ±62,907 | 10,348 ±6,933 |
| Primermes | 24,8 ± 20,962 | 109,061 ±22,818 | 7,93 ± 6,398 | 81,24 ±61,406 | 8,3 ± 5,169 |
| Segundomes | 39,887 ±36,123 | 106,778 ±15,187 | 6,997 ± 4,644 | 69,293 ±60,291 | 7,443 ± 4,391 |
| Tercermes | 39,446 ±26,234 | 111,526 ±17,004 | 5,455 ± 2,087 | 69,6 ± 49,842 | 7,393 ± 2,797 |
| Cuartomes | 36,971 ±38,359 | 128,45 ±20,091 | 6,094 ± 2,795 | 79,169 ±61,595 | 11,979 ±10,671 |
| Quintomes | 33,476 ±18,195 | 151,733 ±37,519 | 4,919 ± 1,98 | 71,67 ±59,605 | 8,709 ± 4,339 |
| Sextomes | 30,888 ±15,236 | 188,261 ±47,508 | 6,365 ± 3,921 | 72,062 ±50,985 | 9,926 ± 4,438 |
| Séptimomes | 32,2 ± 14,051 | 255,259 ±62,228 | 8,73 ± 12,481 | 110,12 ±81,559 | 15,926 ±7,058 |
| Octavomes | 32,929 ±19,407 | 336,727 ±92,988 | 5,74 ± 2,162 | 107,486 ±68,617 | 15,605 ±8,811 |
| Primertrimestre | 34,779 ±29,235 | 110,004 ±18,95 | 6,372 ± 3,543 | 73,464 ±57,194 | 7,712 ± 4,209 |
| Segundotrimestre | 33,712 ±25,568 | 156,915 ±44,08 | 5,735 ± 3,024 | 73,229 ±57,065 | 10,123 ±7,083 |
| Tercertrimestre | 32,537 ±16,568 | 292,896 ±87,52 | 7,314 ± 9,244 | 108,937 ±75,264 | 15,592 ±7,833 |
| PTH: paratormona.BGP: osteocalcina. PIR: piridinolinas. PIR/CRE:piridinolinas/creatinina. | |||||
El valor medio de la PTH durantela gestación fue de 33,527 ± 24,887 pg/ml Estahormona presenta una evolución sin apenas cambios durante elembarazo, de manera que aunque existen oscilaciones y ampliosrangos en cada control, la tendencia final se mantiene estable, sinascensos ni descensos. Se puede constatar un ascenso en el primertrimestre (segundo control), con valores plasmáticos casiuna vez y media más elevados que los del primer control, quepresenta el valor más bajo. A partir de este momento vandescendiendo los niveles plasmáticos hasta el sexto mes.Durante los dos controles restantes los valores se mantienen oascienden ligeramente. En todo momento los valoresplasmáticos de la PTH se mantienen dentro de los rangos denormalidad para la población general. Si consideramos comobasal el valor del primer mes en el embarazo, el valor del segundomes presenta un ascenso estadísticamente significativo sobreel primero (p < 0,05) debido, probablemente, a la respuesta quese produce en la glándula paratiroidea frente al descenso enlos valores de calcio durante el primer trimestre. Al estabilizarseestos valores, la PTH plasmática desciende, existiendodiferencias significativas entre el segundo y el cuarto mes y entreel cuarto y el quinto (p < 0,05) (Fig.2).
Figura2. Evolución de la PTH intacta sérica durante lagestación.
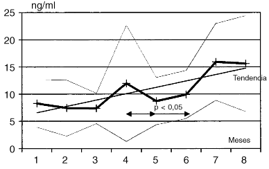
El valor medio de la osteocalcinaen la gestación fue de 6,484 ± 5,557 ng/ml. Esteparámetro no presenta cambios importantes en suevolución a lo largo del embarazo. Sin embargo, existe unagran dispersión de los datos, sobre todo al final del mismo.Durante el primer trimestre, y hasta el quinto mes, existe unatendencia descendente, alcanzado en este momento el valormás bajo del embarazo. Observamos diferencias
estadísticamente significativas entre el primer control ylos controles en el cuarto (p < 0,01), quinto (p < 0,05) ysexto (p < 0,01) meses. Las diferencias entre el primer (segundocontrol) y tercer trimestres (séptimo y octavo controles)también son estadísticamente significativas (p <0,05), alcanzando al séptimo mes el valor más alto enla gestación, aunque con una gran dispersión. En elpunto de inflexión dentro del segundo trimestre (entre elcuarto y sexto control) existen diferencias estadísticamentesignificativas (p < 0,05) (Fig.3).
Figura3. Evolución de la osteocalcina durante lagestación.
El valor medio de laspiridinolinas en la gestación fue de 80,993 ± 62,907nM. Presentan una tendencia, progresivamente ascendente, hasta elséptimo mes de la gestación con valores muy dispersosentre sí. Aunque esta tendencia es ascendente, los valoresmedios permanecen constantes hasta el séptimo y octavomeses, momento en el que ascienden de forma brusca. Desde losvalores de partida en el primer mes hasta el seguno trimestre seproduce un descenso estadísticamente significativo (p <0,05) con el cuarto control. A partir de este momento la tendenciase mantiene constante hasta llegar al séptimo mes, en el queasciende bruscamente, aunque las diferencias no llegar a sersignificativas. En el último mes del parto las cifras depiridinolinas en orina desciende ligeramente (Fig. 4).
Figura4. Evolución de las piridinolinas durante lagestación.
La media de los valores delcociente piridinolinas/creatinina (PIR/C) durante lagestación fue de 10,348 ± 6,933 nM/mM. Este cocientepresenta una tendencia ascendente que al final del embarazo duplicaa los valores del primer trimestre. Las cifras del cocientecorrespondientes al cuarto y quinto meses que representan elsegundo trimestre presentan diferencias estadísticamentesignificativas (p < 0,05) con los valores del quinto y el sextocontroles, respectivamente. Aunque las diferencias entre el primeroy el segundo y entre el segundo trimestre y el tercero no sonsignificativas, existe un ascenso de los valores medios delcociente, que alcanza su máximo al séptimo mes y semantiene en el último control antes del parto (Fig. 5).
Figura5. Evolución del cociente piridinolinas/creatinina enorina.
DISCUSIÓN
Los autores(2,9,10) que promulgaban lasituación de «hiperparatiroidismo fisiológicogestacional» tenían a su favor la existencia de lahipocalcemia relativa y las determinaciones de la PTH mediante latécnica de RIA, que determina tanto la PTH intacta como losfragmentos residuales del metabolismo de esta hormona. Una vez queconocemos la existencia de niveles invariables de calcioiónico y de los métodos de determinación de laPTHi mediante el Immulite® podemos rechazar actualmente, al igual que otrosautores(11,12,24), estahipótesis, actualmente más un efecto de laboratorioque una situación real.
En los resultados obtenidos ennuestra población hemos visto cómo los valores de laPALC sérica se triplican en el tercer trimestre respecto alos del primero en la gestación. Este ascenso es paulatino,comenzando con una mínima elevación durante los tresprimeros controles y finalizando con un incremento brusco en eltercer trimestre. Podemos interpretar estos resultados como larepresentación bioquímica de una formaciónósea constante en la gestación, con un gran impulsoen el tercer trimestre, momento en el que más calcio seaporta desde la madre hacia el feto. Los valores trimestrales de laPALC se correlacionan positivamente entre sí, pero no conlos de la BGP, aunque ambos se presentan como marcadores deformación ósea. Probablemente este hecho sea debido ala dispersión entre los valores mensuales encontrada paralas variables estudiadas y al hecho de que la correlacióncomentada sea más significativa entre la fracciónB-PALC y la BGP que con la T-PALC. De todas las maneras las curvasy tendencias presentadas para ambos elementos durante el tercertrimestre de la gestación sobre todo, son claramenteparalelas y muy ascendentes. En general, los resultados obtenidosen nuestro estudio son similares a los que presentan otrosautores(13,15,16) tanto para la B-PALC en lagestación como para la T-PALC en el seguimiento de algunaspatologías médicas.
En segundo lugar, y como marcadorbioquímico de formación ósea, hemos estudiadola BGP, proteína sintetizada por los osteoblastos yodontoblastos, de la que una fracción (30%) se libera altorrente sanguíneo, siendo el marcador sérico deformación ósea más específico yutilizado(17,25). En nuestro estudio presenta una doble tendencia durante lagestación. En el primer trimestre y hasta el quinto mes degestación, con un carácter descendente que puederepresentar una inexistencia de formación ósea enestos períodos o un incremento del catabolismo de laproteína. Estos resultados concuerdan con los presentadospor Seki et al(26), Cole etal(19) y Martínez etal(18), quienes describen demanera longitudinal en la gestación un descenso de la BGPque culmina en el segundo trimestre. A partir de este momentocambia la tendencia de la curva de este parámetro,presentando un incremento estadísticamente significativo queengloba al tercer trimestre, momento en el que se produce casi todoel transvase de calcio hacia el feto. En un estudio longitudinalpresentado por Gallacher(20) no seencuentran variaciones significativas para la osteocalcina a lolargo de la gestación.
En nuestro estudio laspiridinolinas presentan una tendencia progresivamente ascendente alo largo de los controles gestacionales, con valores medios muyparecidos hasta el séptimo mes del embarazo. En estemomento, inmerso en el tercer trimestre, se produce un bruscoascenso de estos metabolitos del colágeno en la orina,significando un, más que probable, incremento de lareabsorción ósea. Este hecho concuerda con lahipótesis de que es en el tercer trimestre de lagestación cuando más calcio se aporta al feto para suformación y, por tanto, cuando más esfuerzometabólico óseo tiene que realizar la madre. Laelevación de la excreción de las D-PIR en el tercertrimestre también es comunicada por otrosautores(13,20,23).
La evolución que presentael cociente PIR/C es muy parecida a la de las D-PIR,produciéndose también el ascenso brusco antesdescrito en el tercer trimestre, iniciándose en el sexto mesde la gestación para luego mantener los valores hasta elparto. El incremento de la excreción de las D-piridinolinasdurante el embarazo y su acentuación en el tercer trimestreno es fruto del aumento del flujo plasmático renal, sino deun incremento del aporte de calcio a la sangre materna a fin degenerar una mayor oferta al feto.
En conjunto, y a pesar de ladispersión de los valores encontrados, podemos decir que laevolución tanto de las D-PIR como del cociente PIR/Crepresenta una reabsorción ósea incrementada durantetodo el embarazo, que se acelera en el tercer trimestre y que nodepende del flujo renal, incrementado en la gestación. Estehecho, en caso de ser aislado, llevaría a la madre a unapérdida ósea al final del embarazo que lesería dificil de compensar.
El marcador de remodelamientoóseo más específico para la formaciónde hueso es la osteocalcina. Este marcador debería compensarel ascenso de su homólogo para la reabsorción, cosaque no ocurre. Es más, existe un descenso de la osteocalcinaen el segundo trimestre. En el tercer trimestre sí podemosencontrar un ligero ascenso que podría relacionarse con elimpulso que presentan las D-PIR. Atendiendo exclusivamente a estosdos marcadores de remodelamiento, la tendencia del turnoveróseo sería claramente reabsortiva a lo largo de losdos primeros trimestres del embarazo, o al menos estable,finalizando en el tercer trimestre con una pérdidaósea franca que intentan compensar los osteoblastosproduciendo un ascenso discreto de la BGP. Sin embargo, sicomparamos las curvas de evolución de las D-PIR y la PALCnos encontramos que durante los dos primeros trimestresexistiría un balance reabsortivo positivo, con una curvaascendente para ambos marcadores, pero más marcada en elcaso de las piridinolinas. En el tercer trimestre, por elcontrario, se observa un paralelismo claro entre ambos marcadoresque nos hablaría a favor de un acoplamiento delremodelamiento óseo. La T-PALC es menos específicaque la BGP y que las D-PIR para el análisis óseo,pero nos ofrece, de manera clara, un sentido del turnover.Analizando aisladamente el comportamiento de la T-PALC y de lasD-PIR podríamos hablar de un acoplamiento en elremodelamiero óseo. Probablemente éste sea elresultado final en la gestación, aunque tras un intensometabolismo.






