Chronic obstructive pulmonary disease (COPD) and cardiovascular disease (CVD) frequently coexist, each increasing the prevalence of the other and worsening their clinical manifestations and prognosis. The common pathophysiological mechanisms, as well as the overlap of certain symptoms and findings in complementary tests, make diagnosis and follow-up of these patients difficult. Therefore, a comprehensive approach to cardiopulmonary risk requires a multidisciplinary approach that prioritises prevention and coordinated care between the different clinical specialties involved. This document, jointly developed by several specialists in pulmonology, cardiology, internal medicine, emergency medicine, and Primary Care belonging to seven medical societies in Spain, with extensive clinical experience in the management of COPD and CVD, proposes practical recommendations and shared care pathways based on an analysis of the available scientific evidence and the clinical experience of the authors, aimed at facilitating decision-making and optimising the management of these patients.
La enfermedad pulmonar obstructiva crónica (EPOC) y la enfermedad cardiovascular (ECV) a menudo coexisten, cada una aumentando la prevalencia de la otra y empeorando sus manifestaciones clínicas y pronóstico. Los mecanismos fisiopatológicos comunes, así como la superposición de ciertos síntomas y hallazgos en las pruebas complementarias, dificultan el diagnóstico y el seguimiento de estos pacientes. Por lo tanto, el abordaje integral del riesgo cardiopulmonar requiere un enfoque multidisciplinario que priorice la prevención y la atención coordinada entre las diferentes especialidades clínicas implicadas. Este documento, desarrollado conjuntamente por varios especialistas en neumología, cardiología, medicina interna, medicina de urgencias y Atención Primaria pertenecientes a siete sociedades médicas en España, con amplia experiencia clínica en el manejo de la EPOC y la ECV, propone recomendaciones prácticas y vías de atención compartidas basadas en un análisis de la evidencia científica disponible y la experiencia clínica de los autores, con el objetivo de facilitar la toma de decisiones y optimizar el manejo de estos pacientes.
The coexistence of chronic obstructive pulmonary disease (COPD) and cardiovascular disease (CVD) is a growing challenge for health systems worldwide, due to its high prevalence and significant impact on morbi-mortality and the quality of life of patients.1 The shared pathophysiology of COPD and CVD, with common risk factors (e.g. smoking and age) as well as overlapping pathological processes such as persistent systemic inflammation, clearly increase the vulnerability of patients to develop both diseases.2 Indeed, the recent update of the QR4 algorithm, validated in a cohort of more than 16.5 million patients, places COPD for the first time as an independent risk factor for CVD at 10 years in both men and women that was underestimated by the predictive tools currently in use.3
The EXACOS-CV study in Spain provided strong evidence of a significantly increased risk of serious cardiovascular (CV) events such as acute coronary syndrome (ACS), heart failure (HF), cerebral ischaemia and arrhythmias, and mortality following acute exacerbations of COPD (AECOPD). Specifically, a tenfold increase in the risk of cardiovascular events was observed in the first 7 days after AECOPD, remaining elevated even beyond one year, and demonstrating the importance of the proactive prevention of COPD exacerbations in addition to addressing other cardiovascular risk factors.4
The 2025 update of the Global Initiative for COPD (GOLD) guidelines recognizes the importance of jointly addressing CV risk in COPD patients in order to improve patient outcomes.2 Thus, it is recommended to investigate the presence of CVD, such as high blood pressure (HBP), coronary artery disease, HF and arrhythmia in any patient with COPD, and to perform a differential diagnosis in those with AECOPD, routinely measuring levels of biomarkers with prognostic value, such as troponins and natriuretic peptides. Similarly, it is emphasized that although the prevention of AECOPD is already a major goal of COPD treatment because of its impact on the patient's prognosis and health status, the increased cardiovascular risk that occurs during and after AECOPD is another strong clinical argument for preventing these exacerbations.2
The comprehensive approach to cardiopulmonary risk, recently defined as the risk of severe respiratory and/or cardiovascular events in COPD patients such as exacerbations, myocardial infarction, stroke, HF decompensation, arrhythmia and death due to any of these events,5 requires a multidisciplinary approach that prioritizes prevention and coordinated care between different medical specialities.6 Primary Care (PC), as the gateway for patients to the National Health System, plays a crucial role in the early detection of COPD and the management of cardiovascular risk.7,8 The implementation of screening strategies, including spirometry and cardiovascular risk assessment, even in patients with no identified risk factors, using validated tools such as SCORE2 and SCORE2-OP9 is essential to optimize early care and referral when needed to medical specialities such as cardiology, pulmonology or internal medicine. In cases of severe AECOPD or the decompensation of CVD requiring immediate attention, referral is made to emergency medicine. Subsequent coordinated follow-up between PC and Hospital Care (HC) has proven to be essential to avoid new admissions.10,11
Recognizing the complexity of cardiopulmonary risk management, several specialists in pulmonology, cardiology, internal medicine, emergency medicine, and Primary Care belonging to seven medical societies in Spain, all of whom have extensive clinical experience in the management of COPD and CVD, have collaborated in the development of a document with basic recommendations for the comprehensive care of these patients. As part of this effort, a comprehensive literature review was carried out using indexed databases such as PubMed and Embase, incorporating keywords including ‘COPD’, ‘cardiovascular disease’, and ‘cardiopulmonary risk’. The findings were carefully analyzed to prioritize review articles and publications from first-quartile journals, along with updated Clinical Practice Guidelines relevant to the management of both conditions, which provided the foundational framework for the development of the recommendations through an adaptation of the nominal group technique.12 This methodology comprised five key phases: (1) formulation of the clinical question, (2) individual generation of ideas, (3) pooling of ideas, (4) group discussion, and (5) prioritization and agreement, following a structured approach designed to facilitate the generation of insights, promote equal contribution among all participants, and provide opportunities for detailed justifications of individual opinions. The resulting recommendations, adaptable to the resources of each centre or region, seeks to promote continuity and shared decision-making between the different levels of care, with the aim to improving the prognosis and quality of life of patients.
Patients with stable COPDSuspected CVD in patients with stable COPDRecognizing the possible coexistence of CVD and stratifying its risk in patients with respiratory disorders should be a priority for all clinical specialists involved in multidisciplinary patient care. It should be noted that there is a high proportion of COPD patients without a correct diagnosis of a possible underlying cardiovascular disorder and who therefore do not receive adequate treatment, which could lead to a particular increase in cardiovascular risk.13
Thus, when patients with stable COPD present with dyspnea, chest pain or palpitations, they should be thoroughly evaluated to determine whether the symptoms are caused by COPD itself or are due to cardiovascular comorbidity. For this purpose, it is crucial to establish an adequate differential diagnosis through a detailed analysis of the clinical history, inquiring about a possible history of CVD or the presence of cardiovascular risk factors together with the degree of COPD airway obstruction, as well as an adequate physical examination and complementary studies aimed at identifying the underlying cause of the symptoms.
Below, we refer to the specific interventions to be carried out in relation to each patient profile according to the presentation of the symptoms and the suspicion of associated CVD.
Patients with stable COPD and dyspnea disproportionate to lung function: screening for HFThe early diagnosis of HF in patients with COPD can be complicated by overlapping symptoms such as dyspnea and fatigue. Therefore, it is essential in the medical history to ask whether the patient has experienced a sudden increase in body weight and to adequately define the characteristics of the dyspnea, as well as to carry out an adequate physical examination and complementary tests to help guide the diagnosis (Table 1).
Recommendations for HF screening in patients with stable COPD and dyspnea disproportionate to lung function.
| Clinical history | • Characteristics of dyspnea: progressive or sudden onset, intensity (mMRC), triggers, disproportionate to lung function.• Associated symptoms: paroxysmal nocturnal dyspnea, orthopnoea, bendopnoea, cough, nocturia.• History of COPD: severity, exacerbations and treatment.• History of CVD: IHD, HBP, valvular heart disease.• CVRF: smoking, obesity, sedentary lifestyle, family history of CVD. |
| Physical examination | • Vital signs: BP, HR, RR, O2 saturation and body temperature.• Cough: may be dry or productive, and worse in the supine position.• Signs of venous congestion: jugular vein engorgement or peripheral oedema in the lower limbs (especially at the end of the day), ascites, hepatomegaly.• CA: gallop rhythm or heart murmurs.• PA: presence of crackles. |
| Complementary tests | • ECG: findings of ventricular hypertrophy, conduction disturbances and arrhythmiasa. |
| • Determination of natriureticpeptides14,15:° Emergency room: NT-proBNP values>900pg/ml are strongly suggestive of HF (Table S1).° Outpatient care: NT-proBNP values<125pg/ml rule out a diagnosis of HF (Table S1). | |
| • Chest X-ray: signs of cardiomegaly and/or vascular redistribution, pulmonary congestion (pleural effusion, Kerley B lines). | |
| • TTE6,16:° Assessment of ventricular function, cavity size, valvular heart disease and pulmonary artery pressure.° Evidence of structural or functional heart disease confirming the diagnosisb. | |
| • Lungultrasound17:° Differential diagnosis of dyspnea of uncertain origin. The presence of B lines is a marker of pulmonary congestion.° Assessment of the aetiology in episodes of exacerbation, detecting concomitant HF or associated pulmonary hypertension.° Support in the management of CVRF such as subclinical atherosclerosis. | |
| • Ergospirometry: assessment of the physiological response to exercise and comprehensive evaluation of the interaction between the cardiovascular and pulmonary systems. | |
It must be noted that a completely normal ECG is very rare in patients with HF, so the absence of abnormalities suggests other disorders such as respiratory disease.
If there is a poor acoustic window, which is common in patients with COPD, a cardiac MRI scan may be performed.
BP: blood pressure; CA: cardiac auscultation; COPD: chronic obstructive pulmonary disease; CVD: cardiovascular disease; CVRF: cardiovascular risk factors; ECG: electrocardiogram; HBP: high blood pressure; HF: heart failure; HR: heart rate; IHD: ischaemic heart disease; mMRC: modified British Medical Research Council dyspnea scale; MRI: magnetic resonance imaging; NT-proBNP: N-terminal pro-B-type natriuretic peptide; PA: pulmonary auscultation; RR: respiratory rate; TTE: transthoracic echocardiogram.
The clinical history should focus on identifying classic symptoms of ischaemic heart disease (IHD), as well as inquiring about pain triggers and pain relieving factors.18 The physical examination should also evaluate the presence of symptoms associated with IHD such as dyspnea disproportionate to lung function, sweating, pallor, nausea, vomiting, palpitations, dizziness or syncope. Complementary tests will likewise help to establish a proper differential diagnosis (Table 2).
Recommendations for IHD screening in patients with stable COPD and chest pain.
| Clinical history | • Pain characteristics: location, quality, intensity, duration, irradiation, triggers and relieving factors.• Associated symptoms: dyspnea disproportionate to lung function, sweating, nausea, vomiting, palpitations, dizziness or syncope.• History of COPD: severity, previous exacerbations.• History of CVD: HBP, diabetes mellitus, dyslipidaemia.• CVRF: smoking, obesity, sedentary lifestyle, family history of CVD. |
| Physical examination | • Vital signs: BP, HR, RR, O2 saturation and body temperature.• Signs of venous congestion: jugular vein engorgement or peripheral oedema.• CA: heart murmurs, arrhythmias or findings suggestive of HF.• PA: presence of crackles or wheezing. |
| Complementary tests | • ECG: first line test for the detection of myocardial ischaemia and arrhythmiasa. |
| • Ultra-sensitive troponin T: assessment of the presence of myocardial damage:° Levels>5ng/l are associated with signs of myocardial ischaemia in patients with COPDb.19 | |
| • Chest X-ray: signs of cardiomegaly and pulmonary congestion, rule out other causes of chest pain. | |
| • TTE: evaluation of left ventricular function and assessment of valve function.20 | |
| • AngioCT: assessment of significant coronary artery occlusions, especially in intermediate risk patients.21 | |
| • Ischaemia provocation tests (exercise echocardiography, dobutamine echocardiography or adenosine scintigraphy): preferred for the detection of inducible ischaemia in stable patients, especially in those with functional limitations. | |
| • Arterial blood gases: detection of hypoxemia, which may contribute to myocardial ischaemia.22 | |
In the context of an AECOPD, elevation may be due to hypoxemia and not necessarily to acute infarction.
AECOPD: acute exacerbation of COPD; angioCT: computed tomography angiography; BP: blood pressure; CA: cardiac auscultation; COPD: chronic obstructive pulmonary disease; CVD: cardiovascular disease; CVRF: cardiovascular risk factors; ECG: electrocardiogram; HBP: high blood pressure; HF: heart failure; HR: heart rate; IHD: ischaemic heart disease; PA: pulmonary auscultation; RR: respiratory rate; TTE: transthoracic echocardiogram.
Adequate screening for tachyarrhythmias in the patient with stable COPD should include a thorough physical examination that evaluates the cardiovascular system, respiratory system and extremities, as well as complementary tests to help confirm the diagnosis (Table 3).
Recommendations for tachyarrhythmia screening in patients with stable COPD and palpitations.
| Clinical history | • Characteristics of palpitations: frequency, rhythm, duration, triggers.• Associated symptoms: dyspnea, syncope, chest pain.• History of COPD: severity, exacerbations and treatment.• History of CVD: IHD, HBP, valvular heart disease.• CVRF: smoking, obesity, sedentary lifestyle, family history of CVD. |
| Physical examination | • Vital signs: BP, HR, RR, O2 saturation and body temperature.• CA: arrhythmias, murmurs and other possible causes of palpitations.• AP: tachypnoea and respiratory pattern (Cheyne-Stokes), use of accessory muscles, wheezing, rhonchi, crackles or hypophonesis (unilateral or bilateral). |
| Complementary tests | • ECG:° Identification of the type of tachycardia (supraventricular or ventricular).° Evaluation of the presence of structural heart abnormalities (bundle branch block, ventricular hypertrophy).° Monitoring of the response to antiarrhythmic therapy. |
| • Holter heart rate monitor or wearable electrocardiography systems (e.g. Kardia™, Apple Watch™): detection of intermittent arrhythmias (at rest and during physical activity). | |
| • TTE23:° Assessment of ventricular function, cardiac anatomy and presence of thrombi.° Evidence of the presence of valvular heart disease or cardiomyopathy. | |
| • Stress tests: assessment of cardiovascular response to exercise and detection of myocardial ischaemia (may trigger arrhythmias in some patients).24 | |
| • Arterial blood gases: oxygenation and ventilation (indicate FiO2 for better interpretation of results). | |
BP: blood pressure; CA: cardiac auscultation; COPD: chronic obstructive pulmonary disease; CVD: cardiovascular disease; CVRF: cardiovascular risk factors; ECG: electrocardiogram; FiO2: oxygen concentration of inspired air; HBP: high blood pressure; HR: heart rate; IHD: ischaemic heart disease; PA: pulmonary auscultation; RR: respiratory rate: TTE: transthoracic echocardiogram.
In patients with stable COPD who present with symptoms such as dyspnea, chest pain and/or palpitations, a multidisciplinary assessment is recommended to confirm whether the findings are compatible with the possible coexistence of CVD to make an early diagnosis and to establish the most appropriate follow-up regimen between PC and HC according to risk stratification. In general, assessment of the clinically and haemodynamically stable patient should be coordinated between PC, cardiology, internal medicine and pulmonology, while management of the clinically and haemodynamically unstable patient will require referral to the emergency room for stabilization and subsequent follow-up in PC. Figs. 1–3 present a proposal for a multidisciplinary algorithm for action describing the history, physical examination and complementary tests to be performed by PC and the corresponding referral to HC in those cases where necessary, adaptable to the resources available and the healthcare organization of each centre.
Algorithm for multidisciplinary referral of patients with stable COPD and dyspnea disproportionate to their lung function. aFindings to consider abnormal ECG: 2nd or 3rd degree atrioventricular block, sustained or non-sustained ventricular arrhythmias, clinically poorly tolerated or newly diagnosed supraventricular arrhythmias, frequent, coupled, multifocal or polymorphic ventricular extrasystoles, complete left bundle branch block, signs of myocardial ischaemia (ST segment or T wave changes), pathological Q waves, signs of left ventricular hypertrophy, corrected QT segment prolongation, Brugada syndrome, pre-excitation signs. bSee Table S1 for NT-proBNP reference values for the diagnosis of heart failure. cIn case of a poor acoustic window, consider cardiac MRI. COPD: chronic obstructive pulmonary disease; CV: cardiovascular; CVD: cardiovascular disease; ECG: electrocardiogram; IM: internal medicine; MRI: magnetic resonance imaging; NT-proBNP: N-terminal pro-B-type natriuretic peptide; TTE: transthoracic echocardiogram.
Algorithm for multidisciplinary referral of patients with stable COPD presenting with exertional chest pain. aFindings to consider abnormal ECG: 2nd or 3rd degree atrioventricular block, sustained or non-sustained ventricular arrhythmias, clinically poorly tolerated or newly diagnosed supraventricular arrhythmias, frequent, coupled, multifocal or polymorphic ventricular extrasystoles, complete left bundle branch block, signs of myocardial ischaemia (ST segment or T wave changes), pathological Q waves, signs of left ventricular hypertrophy, corrected QT segment prolongation, Brugada syndrome, pre-excitation signs. bEspecially in intermediate-risk patients. cExercise echocardiography, dobutamine echocardiography or adenosine scintigraphy. AngioCT: computed tomography angiography; COPD: chronic obstructive pulmonary disease; CV: cardiovascular; CVD: cardiovascular disease; ECG: electrocardiogram; IM: internal medicine; TTE: transthoracic echocardiogram; usTnT: ultrasensitive troponin T.
Algorithm for multidisciplinary referral of patients with stable COPD presenting with palpitations. aFindings to consider abnormal ECG: 2nd or 3rd degree atrioventricular block, sustained or non-sustained ventricular arrhythmias, clinically poorly tolerated or newly diagnosed supraventricular arrhythmias, frequent, coupled, multifocal or polymorphic ventricular extrasystoles, complete left bundle branch block, signs of myocardial ischaemia (ST segment or T wave changes), pathological Q waves, signs of left ventricular hypertrophy, corrected QT segment prolongation, Brugada syndrome, pre-excitation signs. COPD: chronic obstructive pulmonary disease; CVD: cardiovascular disease; ECG: electrocardiogram; IM: internal medicine; TTE: transthoracic echocardiogram.
In contrast, if the results of the initial history, physical examination and complementary tests are not compatible with CVD, it is advisable to consider other possible diagnoses.
Established CVD in patients with stable COPDPatients with COPD often also suffer from CVD and vice versa, although their coexistence is often ignored because clinical interest is focused on only one of them.2
Multiple mechanisms explain the high prevalence of the coexistence of both disease conditions. Firstly, CVD and COPD share risk factors (e.g. ageing, smoking), a concept that is now recognized as a syndemic occurrence.2 Secondly, several abnormalities characteristic of COPD may contribute to the development of CVD (e.g. systemic inflammation which, in addition to damaging lung tissue, promotes the formation of atherosclerotic plaques, increasing the risk of myocardial infarction25; oxidative stress due to smoking, which also accelerates the atherosclerotic process through the release of reactive oxygen species and contributes to endothelial dysfunction26; chronic hypoxemia, which promotes the development of right ventricular hypertrophy and pulmonary hypertension, increasing the risk of HF and arrhythmias; pulmonary hyperinflation, which leads to increased intrathoracic pressure and an exacerbation of pulmonary hypertension and right HF27 or exertion dyspnea, leading to decreased physical activity, which is an established cardiovascular risk factor2). Furthermore, the coexistence of CVD may contribute to the worsening of established COPD through several mechanisms (e.g. abnormal myocardial contractility, leading to alveolar and bronchial oedema; post-capillary pulmonary hypertension; or reduced oxygen supply to skeletal muscle, which further contributes to decrease physical activity in these patients2).
This is why in patients with coexisting COPD and CVD, a correct comprehensive approach to all the processes underlying both disorders can have a favourable impact on survival,6 which requires a continuum throughout the entire care circuit of the specialities involved in their management.
Heart failureIt is estimated that 20–27%28 of all patients with COPD have HF, and that there is probably an additional 20% of undiagnosed cases.29
There are several specific pathophysiological mechanisms that explain this bidirectional relationship. On the one hand, COPD can cause right ventricular overload due to pulmonary hypertension, which increases the risk of right HF, and pulmonary hyperinflation can reduce stroke volume. In addition, chronic hypoxia and systemic inflammation associated with COPD may contribute to left ventricular dysfunction and worsen HF. On the other hand, HF can exacerbate pulmonary dysfunction through vascular congestion, which aggravates the respiratory symptoms.6,30
Ischaemic heart diseaseThe association between COPD and IHD has also been well documented. Studies such as the ECCO and ESMI trials reveal a prevalence of IHD of 17–22% in COPD patients,31 while the ARCE trial reports a prevalence of 16.4%.32 In patients with IHD, the prevalence of COPD varies between 7 and 30%, but the figure is underestimated due to underdiagnosis.33
Several factors such as systemic inflammation, oxidative stress and sympathetic hyperactivity seem to explain the accelerated atherosclerosis that occurs in COPD patients, triggering complex responses that generate alterations in chemokine signalling, as well as increased vascular adhesion molecules and cell recruitment. Furthermore, airflow limitation has been shown to be an independent predictor of atherosclerosis in COPD patients, who have morphologically worse coronary atherosclerotic plaques than patients with no overlap of both conditions.34
ArrhythmiasArrhythmias in people with COPD are common and are associated with complications that can aggravate the disease and worsen the patient's overall prognosis. These arrhythmias, especially tachyarrhythmias such as atrial fibrillation (AF) and atrial flutter, are the most common presentations and are related to several pathophysiological features of COPD35:
- •
Atrial fibrillation (AF): this is one of the most common arrhythmias in COPD patients, with a significantly higher incidence than in the general population.36 Chronic hypoxemia and increased pulmonary artery pressure induce structural and electrical changes in the atrial myocardium, facilitating the development of AF. This arrhythmia is associated with an increased risk of thromboembolism and mortality in patients with COPD, so its management is critical.
- •
Atrial flutter: this is a common arrhythmia in COPD characterized by an atrial re-entry mechanism. It shares triggers with AF, such as increased atrial pressure and changes in cardiac structure. Atrial flutter can cause more severe symptoms than AF due to its high heart rate, which decreases the efficiency of heart pumping action.
- •
Ventricular tachycardia and extrasystoles: although less common than atrial arrhythmias, ventricular tachycardias and extrasystoles are also seen in patients with advanced COPD. Pulmonary hypertension and oxidative stress may predispose the ventricular myocardium to these arrhythmias, especially in patients with structural damage to the right ventricle.37
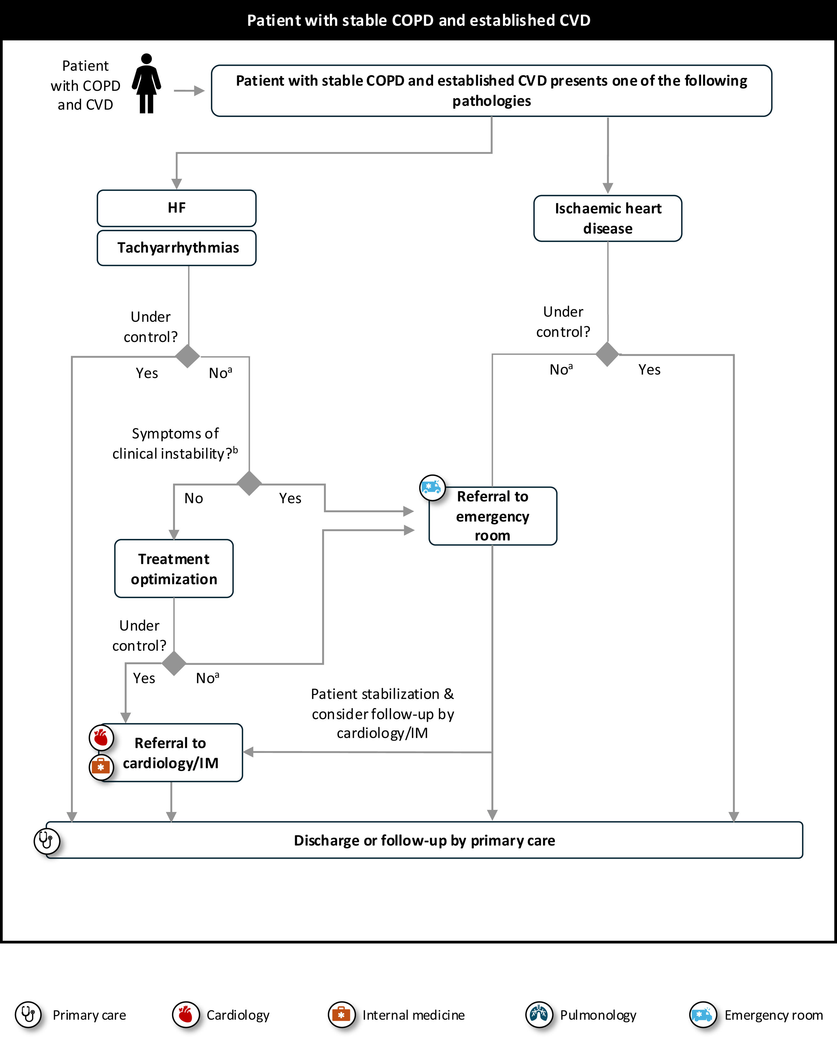
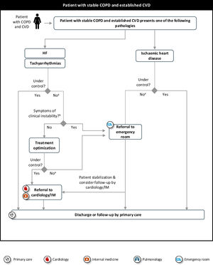
In patients with stable COPD and known CVD, such as HF, coronary artery disease and tachyarrhythmia, management should be tailored according to the degree of control of these conditions (Fig. 4, developed from1,6,38–40). If controlled, it is advisable to perform periodic follow-up shared between PC and HC, adapted to the patient's risk stratification. However, in the case of inadequate control of CVD, defined as the occurrence of episodes of dyspnea not explained by the respiratory disease, typical chest pain suggestive of ischaemic heart disease, tachyarrhythmias documented by ECG and/or Holter monitoring of the heart rate, or diagnostic test findings compatible with an acute episode of CVD, treatment should be optimized and the patient referred to the corresponding specialist according to the area (cardiology or internal medicine). If the patient requires immediate attention, referral should be made to the emergency room.
Algorithm for multidisciplinary referral of stable COPD patients with established CVD. aNon-control defined as clinical change or documented worsening of CVD. bClinical instability as measured by clinical and laboratory test parameters. COPD: chronic obstructive pulmonary disease; CVD: cardiovascular disease; HF: heart failure; IM: internal medicine.
Therapeutic approach should be multidisciplinary and personalized, taking into account both the cardiac and respiratory disorders. Tables 4 and 5 summarize the most relevant points to consider in relation to the pharmacological treatment of COPD and CVD, respectively, detailing the action of the main drugs used from the point of view of both diseases.
Pharmacological treatment of stable COPD in patients with CVD.
| COPD drugs | Possible effects on CVD | Indicated patient profile |
|---|---|---|
| SABA/SAMA | High nebulised doses in exacerbations are associated with a risk of cardiomyopathy, tachyarrhythmia and HF decompensation. | Only recommended as rescue treatment in stable phase or AECOPD. |
| LABA/LAMA | LABA therapy is indicated as treatment of choice41 with the following precautions:• Caution with use in tachyarrhythmias.42,43 Associated with an increased risk of CV events especially at the start of treatment and in elderly patients.44,45• The use of inhaled β2-agonists (both short- and long-acting) rarely results in clinically relevant prolongation of the QT interval. Evidence from controlled clinical trials and meta-analyses demonstrates no significant differences in QTc and serious arrhythmic events with β2-agonists vs. placebo at therapeutic doses.46,47 | Low-risk or high-risk non-exacerbators, alone or in combination, to improve lung function, control symptoms, and prevent exacerbations.6 |
| LAMA therapy is indicated as the treatment of choice41 due to the effect on air trapping and preload, with the following precautions:• Caution with use in tachyarrhythmias42,43 although there is no evidence of increased risk of AF. | ||
| LABA/ICS | In patients with COPD and cardiovascular risk, ICS/LABA combinations could have a clinical benefit in CVD since, descriptively, they reduce total mortality and cardiovascular mortality vs. LABA. This could be explained by the benefit of ICS in reducing exacerbations, attenuating pulmonary and systemic inflammation, and improving hyperinflation.48,49 | GOLD recommendation: excluded as an initial treatment option, recommending triple therapy in patients with exacerbations or symptoms. It is only considered for patients already treated with LABA/ICS and well controlled in terms of symptoms and exacerbations.2 |
| GesEPOC recommendation: considered as an initial treatment in a minority of cases with mild lung function impairment and moderate exacerbations who may respond well to LABA/ICS alone, with escalation to triple therapy as the next step.41 | ||
| Triple therapy (ICS/LAMA/LABA) | The data obtained in terms of mortality reduction versus therapy with LAMA+LABA are noteworthy:• All-cause mortality:° ETHOS study: 49% reduction (HR: 0.51; 95% CI: 0.33–0.80).50° IMPACT study: 28% reduction (HR: 0.72; 95% CI: 0.53–0.99).51• Death from CV causes:° ETHOS study: occurred in 0.5% of patients with triple therapy vs 1.4% with LAMA+LABA,50 60% fewer CV deaths reported with triple therapy compared to LAMA+LABA.6° IMPACT study: occurred in 0.6% of patients with triple therapy vs 0.9% with LAMA+LABA.51 | In patients not controlled with bronchodilator therapy to reduce the number of exacerbations, prevent hospitalizations, and reduce all-cause mortality and CV mortality.2 |
| Methylxanthines | High risk of occurrence of arrhythmias in HF patients. | |
| Azithromycin | Cardiac monitoring required due to QT prolongation. | High-risk exacerbators with levels below 100 eosinophils/μL and poor response to other treatments. |
The drugs that can commonly be used in patients with COPD and CVD not listed in this table do not have any relevant cross-over impact on these processes and should be used according to the disease-specific recommendations justifying its indication.
AECOPD: acute exacerbation of COPD; AF: atrial fibrillation; COPD: chronic obstructive pulmonary disease; CV: cardiovascular; CVD: cardiovascular disease; HF: heart failure; HR: hazard ratio; ICS: inhaled corticosteroid; K: potassium; LABA: long-acting β2-adrenergic agents; LAMA: long-acting antimuscarinic agents; SABA: short-acting β2-adrenergic agents; SAMA: short-acting antimuscarinic agents.
Pharmacological treatment of CVD in patients with stable COPD.
| CVD drugs | Possible effects on COPD |
| Beta-blockers | Lower mortality risk (31–36%).52,53Lower risk of AECOPD (67% in high-risk patients with KF), although preventive use is not reccomended.54The use of cardioselective beta-blockers (atenolol, bisoprolol, metoprolol, nebivolol, esmolol) is recommended, as they have been shown to reduce exacerbations and mortality, improving quality of life without developing pulmonary deterioration (except propranolol).55–57 |
| Amiodarone | Risk of pulmonary toxicity (1–5%).58,59Increased incidence of pneumonitis and residual fibrosis, more frequent in the elderly.60–62 |
| Antiplatelets | In the case of acetylsalicylic acid, treatment is associated with lower all-cause mortality and better resolution of severe AECOPD.63,64 |
| Statins | Their use in patients at high cardiovascular risk is recommended, although recent studies have not shown clear benefits in reducing exacerbations.65 |
| SGLT2i | Reduced risk of hospitalizations due to AECOPD and fewer emergency room visits.66SGLT2i have been shown to reduce the risk of all-cause and CV mortality. Specifically, dapagliflozin has been shown to reduce the risk of CV death by 14% (HR: 0.86; 95%CI: 0.76-0.97; p=0.01).67 |
The drugs that can commonly be used in patients with COPD and CVD which are not listed in this table do not have any relevant cross-over impact on these processes and should be used according to the recommendations of the disease that justifies their indication.
AECOPD: acute exacerbation of COPD; COPD: chronic obstructive pulmonary disease; CV: cardiovascular; CVD: cardiovascular disease; HR: hazard ratio; KF: kidney failure; SGLT2i: sodium-glucose cotransporter type 2 inhibitors.
In general, the presence of COPD and cardiovascular comorbidities should not alter the management of COPD, and proven CVD should be managed according to the standard recommendations regardless of the presence of COPD.2
The use of long-acting bronchodilators (LABA and LAMA) is essential for COPD control41 (Table 4). Triple therapy with LAMA/LABA/ICS has been shown to be effective in reducing exacerbations and mortality in patients with severe COPD and high cardiovascular risk.68 Both the ETHOS study (HR: 0.51; 95%CI: [0.33–0.80])50 and IMPACT study (HR: 0.72; 95%CI: [0.53–0.99])51 reinforce the safety and efficacy of triple therapy, reducing exacerbations and improving survival. Specifically, the ETHOS study found 60% fewer deaths from cardiovascular causes in the triple therapy group compared to LAMA/LABA dual bronchodilation.6
For the management of hypoxia and pulmonary hypertension, prolonged oxygen therapy in patients with COPD and arterial desaturation may improve cardiovascular function and reduce mortality. In cases of severe group 3 pulmonary hypertension, specific drugs such as phosphodiesterase-5 (PDE5) inhibitors may be considered, but under close monitoring in pulmonary hypertension units.
The prevention of exacerbations in these patients is also critical. Annual influenza and pneumococcal vaccination, and review of the adult COPD patient vaccination schedule, as well as the modification of risk factors (smoking cessation) and the management of comorbidities (such as hypertension and/or diabetes mellitus), are essential to improve the long-term outcomes.
Pulmonary and cardiovascular rehabilitation with multidisciplinary programs combining respiratory and cardiovascular care improve functional capacity and reduce the risk of recurrent hospitalizations, and are crucial in long-term patient management.69
On the other hand, drugs used for the management of CVD such as angiotensin-converting enzyme inhibitors (ACEIs), angiotensin II receptor antagonists (ARBs), angiotensin/neprilysin receptor inhibitors (ARNI), beta-blockers, antialdosterone, iSGLT2 and diuretics, when indicated, should be optimised as in the non-COPD.70
The management of arrhythmias in people with COPD must be conducted carefully, considering both adequate oxygenation and heart rate control. The choice of antiarrhythmic agents and oral anticoagulants should be tailored to the individual patient, avoiding interactions with specific medications necessary for the clinical management of COPD and minimizing respiratory and cardiovascular side effects.
Patients with AECOPDThe management of patients with AECOPD requires a comprehensive assessment, starting with a detailed clinical history, including a medical and family history, as well as respiratory and cardiovascular risk factors, all prescribed treatments and their levels of adherence. In patients with suspected or previously diagnosed CVD, it is essential to detail events of HF, myocardial infarction, arrhythmias, hypertension and diabetes mellitus. This approach can help differentiate between primary pulmonary exacerbations and those secondary to cardiac decompensation, considering even the possibility of a mixed clinical picture requiring the management of both conditions.
Suspected CVD in patients with AECOPDThe GOLD 2025 guidelines emphasize the importance of making an appropriate differential diagnosis between COPD and other conditions that may mimic or aggravate COPD (e.g. heart failure), and treating them appropriately.2 As in the patient with stable COPD, the assessment should include a review of the clinical history, exploring the presence of dyspnea disproportionate to lung function, chest pain or palpitations, as well as a thorough physical examination and complementary tests (Table 6). Clinical integration of the information obtained is crucial to individualize treatment, adapting it to the severity of AECOPD, the presence of comorbidities and the specific patient characteristics.
Physical examination and complementary tests recommended in patients with suspected CVD and AECOPD.
| Physical examination | • Vital signs: BP, HR (increased in HF +/- infection, acute chronic hypoxemia), RR, O2 saturation, body temperature and 24-h diuresis (oliguria<500ml/24h).• Body weight and height: BMI and weight variations (percentage and time).• PA: presence of lung sounds (e.g. crackles).• CA: presence of murmurs, arrhythmias or gallop rhythm.• Signs of HF or heart disease: oedema, increased jugular venous pressure, venous engorgement or positive hepatojugular reflux. |
| Laboratory tests | • Biochemical profile: glucose, HbA1c and lipid profile (total cholesterol, LDL-c, HDL-c, triglycerides and lipoprotein (a)).• Complete blood count: detection of infections, anaemia or polyglobulia secondary to chronic hypoxemia.• Biomarkers:° NT-proBNP: to assess the presence of HF.° Troponin T: in case of suspected ischaemic heart disease.° D-dimer: in case of suspected pulmonary thromboembolism.° CRP and PCT: as indicators of systemic inflammation or infection (a CRP value>20mg/l suggests considering the start of empirical antibiotic therapy).• Arterial blood gases: assess the degree of hypoxemia, hypercapnia and respiratory acidosis, characteristic of severe exacerbations.• Renal function: GFR, albuminuria and electrolytes to assess metabolic disturbances associated with heart failure or diuretic use. |
| Imaging tests | • Chest X-ray, postero-anterior and lateral: evaluate signs of COPD, pneumonia, pleural effusion, cardiomegaly and vascular redistribution suggestive of congestive HF.• Clinical ultrasound (echocardioscopy and pulmonary ultrasound): differential diagnosis of dyspnea of uncertain origin, assessment of the aetiology in episodes of exacerbation (detecting concomitant HFa or associated pulmonary hypertension) and support in the management of CVRF such as subclinical atherosclerosis.17• ECC: to confirm suspected HF or structural heart disease.• AngioCT: differential diagnosis of dyspnea of uncertain origin or not attributable to infection.b |
The presence of cardiac dysfunction (global or segmental hypocontractility and/or structural heart disease), bilateral B lines or bilateral pleural effusion may suggest HF.
The association of positive D-dimer values suggests pulmonary thromboembolism.
AngioCT: computed tomography coronary angiography; BMI: body mass index; BP: blood pressure; CA: cardiac auscultation; COPD: chronic obstructive pulmonary disease; CRP: C-reactive protein; CVD: cardiovascular disease; CVRF: cardiovascular risk factors; ECC: echocardiography; GFR: glomerular filtration rate; HbA1c: glycosylated haemoglobin; HDL-c: high-density lipoprotein cholesterol; HF: heart failure; HR: heart rate; LDL-c: low-density lipoprotein cholesterol; NT-proBNP: N-terminal pro-B-type natriuretic peptide; PA: pulmonary auscultation; PCT: procalcitonin; RR: respiratory rate.
As previously described, the risk of serious cardiovascular events and death increases considerably after the onset of moderate/severe AECOPD,4 demonstrating the need for proactive multidisciplinary care to prevent decompensation of both conditions and, if they occur, to optimize management and pharmacological treatment appropriately.
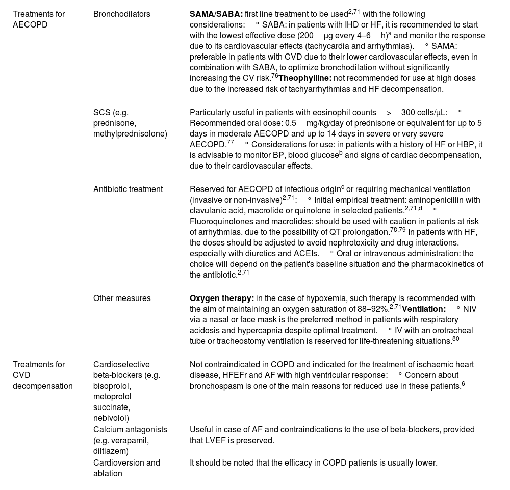
Pharmacological management of AECOPDPharmacological treatment for AECOPD in patients with stable CVD is similar to that in patients without documented CVD but requires adjustments in the selection and dosing of some drugs. It is also recommended that long-acting bronchodilator therapy be maintained during ambulatory exacerbation or started as soon as possible before hospital discharge.2,71,72 The main recommendations for the therapeutic management of COPD exacerbation in the patient with established CVD are summarized in Table 7.
Recommendations for the pharmacological management of AECOPD and CVD decompensation.
| Treatments for AECOPD | Bronchodilators | SAMA/SABA: first line treatment to be used2,71 with the following considerations:° SABA: in patients with IHD or HF, it is recommended to start with the lowest effective dose (200μg every 4–6h)a and monitor the response due to its cardiovascular effects (tachycardia and arrhythmias).° SAMA: preferable in patients with CVD due to their lower cardiovascular effects, even in combination with SABA, to optimize bronchodilation without significantly increasing the CV risk.76Theophylline: not recommended for use at high doses due to the increased risk of tachyarrhythmias and HF decompensation. |
| SCS (e.g. prednisone, methylprednisolone) | Particularly useful in patients with eosinophil counts>300 cells/μL:° Recommended oral dose: 0.5mg/kg/day of prednisone or equivalent for up to 5 days in moderate AECOPD and up to 14 days in severe or very severe AECOPD.77° Considerations for use: in patients with a history of HF or HBP, it is advisable to monitor BP, blood glucoseb and signs of cardiac decompensation, due to their cardiovascular effects. | |
| Antibiotic treatment | Reserved for AECOPD of infectious originc or requiring mechanical ventilation (invasive or non-invasive)2,71:° Initial empirical treatment: aminopenicillin with clavulanic acid, macrolide or quinolone in selected patients.2,71,d° Fluoroquinolones and macrolides: should be used with caution in patients at risk of arrhythmias, due to the possibility of QT prolongation.78,79 In patients with HF, the doses should be adjusted to avoid nephrotoxicity and drug interactions, especially with diuretics and ACEIs.° Oral or intravenous administration: the choice will depend on the patient's baseline situation and the pharmacokinetics of the antibiotic.2,71 | |
| Other measures | Oxygen therapy: in the case of hypoxemia, such therapy is recommended with the aim of maintaining an oxygen saturation of 88–92%.2,71Ventilation:° NIV via a nasal or face mask is the preferred method in patients with respiratory acidosis and hypercapnia despite optimal treatment.° IV with an orotracheal tube or tracheostomy ventilation is reserved for life-threatening situations.80 | |
| Treatments for CVD decompensation | Cardioselective beta-blockers (e.g. bisoprolol, metoprolol succinate, nebivolol) | Not contraindicated in COPD and indicated for the treatment of ischaemic heart disease, HFEFr and AF with high ventricular response:° Concern about bronchospasm is one of the main reasons for reduced use in these patients.6 |
| Calcium antagonists (e.g. verapamil, diltiazem) | Useful in case of AF and contraindications to the use of beta-blockers, provided that LVEF is preserved. | |
| Cardioversion and ablation | It should be noted that the efficacy in COPD patients is usually lower. |
Inhaled administration via pressurized cartridge with a spacer chamber has shown similar efficacy to nebulisation.81
Prescription is recommended based on the local resistance profile and cardiovascular tolerance.
ACEIs: angiotensin-converting enzyme inhibitors; AECOPD: acute exacerbation of COPD; AF: atrial fibrillation; BP: blood pressure; COPD: chronic obstructive pulmonary disease; CV: cardiovascular; CVD: cardiovascular disease; HBP: high blood pressure; HF: heart failure; HFEFr: heart failure with reduced ejection fraction; IHD: ischaemic heart disease; IV: invasive ventilation; LVEF: left ventricular ejection fraction; NIV: non-invasive ventilation; SABA: short-acting β2-adrenergic agents; SAMA: short-acting antimuscarinic agents; SCS: systemic corticosteroids.
The presence of cardiovascular decompensation in patients with AECOPD requires specific management targeting HF, arrhythmias and/or underlying ischaemic heart disease2,70,73,74 based on the current clinical practice guideline recommendations.75Table 7 shows the main recommendations for the therapeutic management of CVD decompensation in patients with exacerbated COPD.
During decompensations of HF, the background pharmacological treatment should be maintained if the patient shows signs of stability, increasing the use of intravenous loop diuretics and monitoring congestion markers. In patients with HF with preserved ejection fraction (HFpEF) symptomatic treatment should be maintained, with the recent addition of SGLT2i to the therapeutic armamentarium.6
Treatment optimization at dischargeAfter an episode of decompensation of one or both pathologies, close clinical follow-up should be conducted to monitor the evolution of the patient's condition. The main recommendations for treatment optimization at discharge in patients with established CVD and AECOPD, as well as possible decompensation of underlying cardiovascular disease, are detailed in Table 8.
Recommendations for treatment optimization at discharge following AECOPD and CVD decompensation.
| Treatment optimization at discharge after AECOPD | General hospital discharge recommendations should include77:• No smoking and recommendation of regular exercise. Assess pulmonary rehabilitation after hospitalization.• Assessment and treatment of different treatable aspects:° Oxygen therapy: readjust according to needs.Antibiotics if indications are met.° Oral corticosteroids: 0.5mg/kg/day for 5–14 days.° Non-invasive home mechanical ventilation: to be considered in patients with recurrent acidotic exacerbations and/or in patients with associated hypoventilation due to other causes (apnoea-hypopnoea syndrome, obesity-hypoventilation).• Maintenance and adjustment of standard treatment: in patients with>100eosinophils/μL not controlled with bronchodilator therapy, the use of triple therapy (ICS/LAMA/LABA) is recommended to reduce the number of exacerbations, prevent hospitalizations and reduce all-cause and CV mortality.6• Checking of the patient's inhalation technique and adherence to inhaled therapy. |
| Treatment optimization at discharge after CVD decompensation | Treatment should be maintained according to the established guidelines, regardless of COPD diagnosis, including the use of selective β-1 blockers when there is a clear cardiovascular indication.71,72It is advisable to optimize antihypertensive, lipid-lowering, antidiabetic, anticoagulant and antiplatelet therapy according to the clinical practice guidelines.° The administration of antiplatelet drugs has been associated with a 19% reduction in mortality risk, with comparable effects between outpatients and patients admitted to hospital due to exacerbation, and their indications for use are similar to those of the general population.6 |
COPD: chronic obstructive pulmonary disease; CV: cardiovascular; CVD: cardiovascular disease; ICS: inhaled corticosteroids; LABA: long-acting β2-adrenergic agents; LAMA: long-acting antimuscarinic agents.
The care pathway for patients with suspected CVD during AECOPD should be based on recognizing symptoms suggestive of CVD and making appropriate referral according to the patient's condition, dealing optimally with both the AECOPD and the possible concurrence of cardiovascular disease, and ensuring continuity of care between the specialities involved based on the resources available and the specific organization of each centre (Fig. 5).
Algorithm for multidisciplinary referral of patients with AECOPD and suspected CVD. 1Heart failure: dyspnea, orthopnoea, nocturia, venous congestion, tachypnoea. 2Ischaemic heart disease: retrosternal oppressive pain, typical irradiation or vegetative courtship, sweating. 3Tachyarrhythmias: dyspnea, chest tightness, dizziness or syncope, tachycardia. aFindings to consider abnormal ECG: 2nd or 3rd degree atrioventricular block, sustained or unsustained ventricular arrhythmias, clinically poorly tolerated or newly diagnosed supraventricular arrhythmias, frequent, coupled, multifocal or polymorphic ventricular extrasystoles, complete left bundle branch block, signs of myocardial ischemia (ST segment or T-wave changes), pathological Q waves, signs of left ventricular hypertrophy, corrected QT prolongation, Brugada syndrome, signs of preexcitation, S1Q3T pattern. AECOPD: chronic obstructive pulmonary disease exacerbation; angioCT: computed tomography angiography; COPD: chronic obstructive pulmonary disease; CRP: C-reactive protein; CVD: cardiovascular disease; HF: heart failure; IM: internal medicine; NT-proBNP: N-terminal pro-B-type natriuretic peptide; PCT: procalcitonin; TTE: transthoracic echocardiogram; TTuS: ultrasensitive troponin T.
Cardiovascular diseases include different entities, with diverse pathogenic mechanisms and clinical presentations. In all of them, the coexistence of COPD is highly prevalent, making management difficult and clearly worsening the prognosis. For this reason, early recognition of COPD and its appropriate management in patients with CVD is of utmost importance.
Unfortunately, underdiagnosis of COPD among CVD patients is very high. In the ALICE trial, conducted in a cohort of 2,730 smokers over 40 years of age with a history of ischaemic heart disease, airflow obstruction was demonstrated in up to 30% of the cases. In more than 70% of the cases, patients had not been diagnosed with COPD, nor received previous targeted treatment.82
Diagnosis of COPD in patients with established CVDThe diagnosis of COPD is relatively straightforward, requiring the following three criteria to be met41:
- 1.
Chronic exposure to tobacco smoke and/or inhaled gases or toxic agents.
- 2.
Presence of persistent respiratory symptoms.
- 3.
Non-fully reversible airflow obstruction, documented by performing forced spirometry with bronchodilator test. The latter is essential to confirm the diagnosis.
Clinical suspicion will be based on an adult smoker or ex-smoker with a cigarette exposure of more than 10 pack-years or with chronic exposure to inhaled toxic particles, presenting with persistent respiratory symptoms (dyspnea or chronic cough with or without associated expectoration).
Respiratory symptomatology is probably of less relevance since, being non-specific, it often overlaps with the cardiovascular symptoms.
The third diagnostic cornerstone involves documenting the presence of non-fully reversible airflow obstruction by performing forced spirometry with bronchodilator testing in the stable phase. A ratio of forced expiratory volume in one second (FEV1) to forced vital capacity (FVC) of less than 0.7, after administration of a bronchodilator agent, confirms the diagnosis of COPD.41
Risk stratification and basic complementary assessmentOnce the diagnosis has been established, the latest update of the Spanish COPD guidelines (GesEPOC) recommends stratifying risk into two categories: low and high.41 In low-risk patients the assessment is simple, while in high-risk cases assessment should be more extensive (Table 9).
Risk stratification and minimum examinations required in the assessment of patients with COPD and CVD.
| Risk stratification | |
|---|---|
| Low risk | High risk |
| All criteria must be met:• FEV1≥50%• Dyspnea<2 (mMRC)• 0–1 ambulatory exacerbations• 0 hospitalizations | Any of the criteria:• FEV1<50%• Dyspnea≥2 (mMRC)• ≥2 ambulatory exacerbations• ≥1 hospitalization |
| Basic complementary examinations | |
|---|---|
| Low risk | High risk |
| Minimal examinations required:• Spirometry• Chest X-ray• Laboratory tests• Determination of alpha-1-antitrypsin | Minimal examinations required:• Spirometry• Chest X-ray• Laboratory tests, including cardiovascular biomarkers• Determination of alpha-1-antitrypsin• Thoracic CT scan• Determination of volumes and DLCO• 6-min walk test• Echocardiography |
CT: computed tomography; DLCO: diffusion capacity for carbon monoxide; FEV1: forced expiratory volume in one second; mMRC: modified British Medical Research Council dyspnea scale.
In patients with established CVD in whom COPD is suspected, appropriate screening and risk stratification of COPD should be carried out and shared between PC and HC, adapting the tests according to the severity of COPD. Coexisting multimorbidity should also be considered, and referral to a multidisciplinary cardiorespiratory unit should be made for selected patients at increased risk. When following up with patients with COPD, it is important to use validated, multidimensional questionnaires, such as the COPD Control Questionnaire, in order to adequately assess the patient's condition and implement the most appropriate therapeutic approach41 (Fig. 6).
Algorithm for multidisciplinary referral of patients with CVD in whom COPD is suspected. aDefined as the presence of all of the following criteria: FEV1≥50%, dyspnea<2 (mMRC), none or one ambulatory exacerbation in the last year. bDefined as the presence of at least one of the following criteria: FEV1<50%, dyspnea≥2 (mMRC), ≥2 ambulatory exacerbations in the last year or at least one requiring hospitalization. cA Cardiopulmonary Unit can be established to develop multidisciplinary interventions focused on the clinical control of patients with COPD and CVD. This would facilitate stabilisation and therapeutic optimisation, preventing the progression of both pathologies. 6MWT: 6-minute walk test; AAT: alpha-1 antitrypsin; ACS: acute coronary syndrome; AF: atrial fibrillation; COPD: chronic obstructive pulmonary disease; CRP: C-reactive protein; CT: computed tomography; CV: cardiovascular; CVD: cardiovascular disease; DLCO: diffusion capacity of the lung for carbon monoxide; ECG: electrocardiogram; HF: heart failure; IM: Internal Medicine; mMRC: modified British Medical Research Council dyspnea scale; RFT: respiratory function tests.
The coexistence of COPD and CVD constitutes a significant clinical challenge due to the high prevalence, the shared pathophysiology, and the negative impact upon patient prognosis and quality of life.
The comprehensive approach to this condition requires a multidisciplinary strategy involving primary care, cardiology, pulmonology, internal medicine and emergency medicine. Early detection of both conditions, even in asymptomatic or mildly symptomatic patients, is crucial. This involves spirometry and cardiovascular risk assessment in patients with COPD, as well as an active search for COPD in patients with established CVD. Therapeutic management should be individualized, considering the particularities of each patient and the potential drug interactions. The optimization of the treatment of both pathologies, including bronchodilators, inhaled corticosteroids, heart failure therapy, anti-arrhythmic agents and anticoagulants, should be based on the clinical practice guidelines and adjusted according to the individual situation. Prevention of exacerbations through vaccination, smoking cessation and the control of comorbidities is essential. Finally, cardiopulmonary rehabilitation and continuity between different levels of care are essential to improve the prognosis and quality of life of patients with COPD and CVD.
This document, developed by a multidisciplinary group of specialists belonging to seven national medical societies, such as the Spanish Society of Primary Care Physicians (SEMERGEN), the Spanish Society of General and Family Physicians (SEMG), the Respiratory Group in Primary Care (GRAP), the Spanish Society of Cardiology (SEC), the Spanish Society of Pneumology and Thoracic Surgery (SEPAR), the Spanish Society of Internal Medicine (SEMI), and the Spanish Society of Emergency Medicine (SEMES), may provide guidance to optimize the management of patients with COPD and CVD, facilitating clinical decision-making, promoting interdisciplinary collaboration and ultimately improving care and health outcomes in this vulnerable population. While the inherent selection bias in the composition of the expert panel could be considered a potential limitation, this was carefully assessed by ensuring balanced representation of all relevant specialties and selecting experts affiliated with nationally recognized scientific societies to guarantee their expertise. Additionally, as previously highlighted, although the variability in organizational structures and available resources across healthcare centres may create challenges for the direct implementation of the proposed algorithms, these are designed to serve as a common foundation that can be adapted to the specific context of each centre. Therefore, by addressing these key considerations, this document ultimately stands as a valuable resource to support the effective management of these patients and to enhance the overall quality of their care.
FundingThis work has received funding from AstraZeneca Spain that included logistical support for the meetings needed to develop this document (including booking venues, authors’ travel expenses, audiovisual equipment, etc.), and the editorial services of VML Health Spain (including compilation of the texts sent by the authors and editorial correction).
Conflicts of interestThis document was funded by AstraZeneca, which has conflicts of interest with its content. AstraZeneca has not influenced the contents of this document, which are the responsibility of the authors. The authors have not received any fees directly from AstraZeneca for the preparation of this document.
R. de Simón has received honoraria from AstraZeneca, BIAL, GSK, Pfizer, Teva and Menarini.
B. Alcázar has received grants from AstraZeneca and GSK, honoraria from AstraZeneca, GSK, Boehringer Ingelheim, CSL, PulmonX, Sanofi, Chiesi, Zambon and BIAL, and support for attending meetings and/or travel from Chiesi, Sanofi, Boehringer Ingelheim, AstraZeneca and Grifols.
B. Alonso has received all support for the present manuscript from AstraZeneca, honoraria from GSK, Chiesi and AstraZeneca, support for attending meetings and/or travel from Chiesi, Almirall and NutriMed Clinical Nutrition, and receipt of equipment, materials, drugs, medical writing, gifts or other services from NovoNordisk and Nestle Health Science.
J.F. Delgado declare no conflict of interest.
J.J. Gómez has received all support for the present manuscript from AstraZeneca, honoraria from NovoNordisk, AstraZeneca, Lilly, Bayern, Novartis and Daichi-Sankyo, and support for attending meetings and/or travel from Novartis and Daichi-Sankyo.
R. Hurtado has received grants from AstraZeneca and GSK, honoraria from AstraZeneca, GSK, Boehringer Ingelheim, and Chiesi, and support for attending meetings and/or travel from Chiesi, Sanofi, Boehringer Ingelheim, and AstraZeneca.
J.C. López has received honoraria from GSK, Teva, BIAL, Menarini, AstraZeneca, Chiesi, Esteve, Boehringer Ingelheim and Zambon, support for attending meetings and/or travel from Teva, BIAL, Menarini, Chiesi, Ferrer, Boehringer Ingelheim, NovoNordisk, Zambon and Almirall, and receipt of equipment, materials, drugs, medical writing, gifts or other services from AstraZeneca.
M. Méndez declare no conflict of interest.
J. Nuñez has received advisory fees from AstraZeneca and honoraria for presentations from Alleviant, AstraZeneca, Boehringer Ingelheim, Bayer, Novartis, NovoNordisk, Pfizer, Roche, Rovi and Vifor CSL.
P. Piñera declare no conflict of interest.
E. Pulido has received consulting fees and honoraria from GlaxoSmithKline, AstraZeneca and Teva.
D. Rey declare no conflict of interest.
J.J. Soler has received grants from GSK, consulting fees from AstraZeneca, Chiesi, GSK, Sanofi, Grifols and Faes, honoraria from AstraZeneca, GSK, Boehringer Ingelheim, Grifols, Sanofi, Chiesi, Zambon and BIAL, and support for attending meetings and/or travel from Chiesi, Sanofi, Boehringer Ingelheim, AstraZeneca and Faes.
J.A. Trigueros has received honoraria from AstraZeneca, GSK and Menarini.
M. Zamorano has received honoraria for speakers from AstraZeneca, GSK and Gebro.
J. de Miguel has received grants, honoraria and support for attending meetings and/or travel from AstraZeneca, BIAL, Boehringer Ingelheim, Chiesi, Ferrer, Gebro, GSK, Grifols, Janssen, Menarini, Novartis, Sanofi, Roche, Teva, Pfizer and Zambon.
The authors thank AstraZeneca Spain for their logistical and financial support during the preparation of this document, and the editorial services provided by María Guerra of VML Health Spain.

















