Las enfermedades vasculares constituyen la principal causa de mortalidad en España, conllevan un alto grado de discapacidad y acarrean un alto coste sanitario. La Sociedad Española de Arteriosclerosis (SEA) afronta este reto tratando de mejorar el conocimiento, la prevención y el tratamiento de estas patologías. De cara a una prevención eficaz, la naturaleza multifactorial de la arteriosclerosis hace recomendable un abordaje global que atienda a todos sus factores de riesgo. Este documento actualiza la evidencia clínica, recoge los últimos avances en investigación y cubre todas las etapas del recorrido del paciente vascular: exploración y pruebas iniciales, criterios diagnósticos y estimación del riesgo vascular (RV), recomendaciones, generales y farmacológicas, para su control, y criterios de derivación y alta. Asimismo, se propone la organización de una consulta de RV. El objetivo es que esta guía constituya una herramienta de referencia que proporcione pautas prácticas para el día a día del profesional de la salud que desempeñe su actividad en este campo.
Vascular diseases are the main cause of mortality in Spain, are associated with a high degree of disability and involve high healthcare costs. The Spanish Society of Arteriosclerosis meets this challenge by trying to improve the knowledge, prevention and management of these disorders. For prevention to be effective, the multifactorial nature of atherosclerosis encourages a global approach that addresses all risk factors. This document updates the clinical evidence, summarizes recent progress in research and covers all phases of the vascular patient's journey: initial examination and tests, diagnostic criteria, vascular risk assessment, general and pharmacological recommendations and criteria for referral and discharge. Furthermore, guidelines to set up a vascular risk consultation are issued. The aim is to provide healthcare professionals with a reference handbook for the daily practice in the vascular field.
La medicina es una ciencia en perpetuo cambio. En los últimos años hemos asistido a un continuo avance en el diagnóstico y tratamiento de la enfermedad vascular aterosclerótica (EVA) y de sus factores de riesgo, por lo que es preciso una actualización permanente de las guías terapéuticas.
La Sociedad Española de Arteriosclerosis (SEA) tiene entre sus objetivos contribuir al mejor conocimiento y control de los factores de riesgo vascular (FRV) en nuestro país, en especial de la dislipemia, a través de su red de Unidades de Lípidos. Por ello, la SEA ha decidido elaborar unos Estándares para el Control Global del Riesgo Vascular, una forma de resumir la evidencia científica y las recomendaciones nacionales e internacionales sobre los principales FRV. Como ya se indicó en la primera versión de estos estándares, publicada en la revista Clínica e Investigación en Arteriosclerosis en 2022, el documento nació con la intención de ser revisado y actualizado de forma periódica, por lo que, en esta cuarta edición, se han introducido cambios en todos los apartados. El objetivo de este documento es seguir siendo de utilidad a todos los clínicos que de una u otra forma atendemos a pacientes de riesgo vascular (RV), tanto desde la atención primaria como de la hospitalaria, en prevención primaria o secundaria, y, en general, a todos aquellos miembros que pertenecen a las sociedades que integran el Comité Español Interdisciplinario para la Prevención Vascular (CEIPV). Este documento va también dirigido a los profesionales en formación, no exclusivamente a los de las profesiones sanitarias, y en particular a los investigadores básicos interesados en el proceso de la arteriosclerosis.
Anamnesis, exploración y pruebas complementarias en consultaLa historia clínica convencional y la recogida ordenada de síntomas y signos del paciente suponen el procedimiento común para establecer un diagnóstico clínico. La tabla 11–6 muestra de forma resumida los elementos que deben practicarse en una consulta que aborde el RV.
Anamnesis, exploración y pruebas complementarias para la estimación del riesgo vascular (RV)
| Imprescindibles | Recomendables | |
|---|---|---|
| Anamnesis | AF de EVA precoz o de FRVAP de EVA (territorio, forma de presentación, fecha o edad del episodio)AP de FRVConsumo de alcohol y tabaquismoTratamientos, incluyendo tratamiento de los FRV: DM, HTA, dislipemiaSíntomas por aparatos (cardiológicos, neurológicos, claudicación intermitente, disfunción eréctil) | Cuestionario de Edimburgo1 (Anexos)Cuestionario de disfunción eréctil (SQUED)2 (Anexos)Test de Fagerström en fumadores3,4 |
| Exploración física | Antropometría: peso, talla, IMC, perímetro abdominalMedida de la presión arterialPulsos centrales y periféricos y soplos vascularesExploración cardiaca y neurológicaExploración abdominal: hepatomegalia y esplenomegaliaXantomas, xantelasmas y arco corneal | Búsqueda de opacidad corneal e hipertrofia de amígdalasFundoscopiaITB |
| Pruebas complementarias | ECGPerfil lipídico (CT, cHDL, TG, c-no-HDL y cLDL)Apo BLp(a)Perfil hepático (bilirrubina, ALT, AST, GGT, FAL)Glucemia, Na, K, Ca, ácido úricoHbA1cFGe y albuminuriaTSHCPK | MAPA o AMPAEcografía abdominalTest del monofilamentoPruebas genéticasFenotipo de Apo EApo A1Número y tamaño de lipoproteínas |
| Cuestionarios de dieta y actividad física | Valoración genérica del cumplimiento de dieta y ejercicio | Puntuación de dieta mediterránea MEDAS5 (Anexos)Cuestionario de ejercicio IPAQ6 (Anexos) |
| Estudio de enfermedad vascular subclínica (EVS) | ITBEcografía carotídea y/o femoralCSC |
AF: antecedentes familiares; ALT: alanina aminotransferasa; AMPA: automedida de la presión arterial; AP: antecedentes personales; Apo A1: apolipoproteína A1; Apo B: apolipoproteína B; Apo E: apolipoproteína E; AST: aspartato aminotransferasa; Ca: calcio; cHDL: colesterol unido a lipoproteínas de alta densidad; cLDL: colesterol unido a lipoproteínas de baja densidad; c-no-HDL: colesterol no HDL; CPK: creatina-fosfocinasa; CSC: calcio score coronario; CT: colesterol total; DM: diabetes mellitus; ECG: electrocardiograma; EVA: enfermedad vascular aterosclerótica; FAL: fosfatasa alcalina; FGe: filtrado glomerular estimado; FRV: factores de riesgo vascular; GGT: gamma glutamil transferasa; HbA1c: hemoglobina glicada; HTA: hipertensión arterial; IMC: índice de masa corporal; IPAQ: International Physical Activity Questionnaire; ITB: índice tobillo/brazo; K: potasio; Lp(a): lipoproteína(a); MAPA: monitorización ambulatoria de presión arterial; MEDAS: Mediterranean Diet Adherence Screener; Na: sodio; SQUED: Screening Questionnaire for Erectile Dysfunction; TG: triglicéridos; TSH: hormona estimulante de tiroides.
Es necesario el conocimiento de los antecedentes familiares (AF) de primer grado, tanto en lo que se refiere a enfermedades prevalentes relacionadas con la EVA como a los FRV, sobre todo en los casos con sospecha de hipercolesterolemia familiar (HF) o de EVA prematura. Los AF tienen mayor valor cuando estos aparecen en familiares de primer grado (padre, madre, hijos o hermanos) y a edades tempranas de la vida, por debajo de los 55 años en el varón y por debajo de los 65 años en la mujer.
Antecedentes personalesAdemás de los antecedentes personales (AP) convencionales (alergias, intervenciones quirúrgicas, etc.), se debe indagar específicamente en los antecedentes de EVA y los diversos FRV mayores (diabetes mellitus [DM], hipertensión arterial [HTA], dislipemia, tabaquismo y obesidad). En caso de estar presentes se debe anotar la edad de inicio y los tratamientos que reciben o han recibido, independientemente de su indicación. En el caso del tratamiento hipolipemiante, se debería indicar el tipo de tratamiento, su intensidad y los meses o años de tratamiento (o la fecha de inicio). Las reacciones adversas o la intolerancia a los medicamentos y la existencia de embarazo o posibilidad de este deben igualmente ser conocidas. Se debe cuantificar la potencia y la cronología de los FRV: número de cigarrillos al día y años de fumador, niveles máximos de colesterol unido a lipoproteínas de baja densidad (cLDL), hemoglobina glicada (HbA1c), presión arterial (PA) sistólica (PAS) y diastólica (PAD), peso, talla e índice de masa corporal (IMC). Asimismo, debe registrarse la presencia de enfermedades sistémicas con carga inflamatoria de bajo grado, como la psoriasis, la enfermedad por el virus de la inmunodeficiencia humana (VIH), la artritis reumatoide o el lupus eritematoso sistémico, la enfermedad pulmonar obstructiva crónica (EPOC), la apnea obstructiva del sueño y las neoplasias, pues por sí mismas o por su tratamiento aumentan el RV. También deben recogerse en las mujeres las enfermedades cardiometabólicas del embarazo (hipertensión, eclampsia/preeclampsia, dislipemia y diabetes gestacional), el síndrome de ovario poliquístico (SOP), menarquia precoz, la fecha de inicio de la menopausia y los tratamientos hormonales recibidos.
Anamnesis actual y por aparatosEs necesario definir el motivo de consulta, que en las consultas de RV suele ser la falta de control de uno o más de los FRV o alteraciones en pruebas de laboratorio e imagen. Se debe inquirir sobre los síntomas asociados con episodios isquémicos en los tres territorios vasculares principales, que hayan podido pasar desapercibidos o no estén diagnosticados aún (déficits neurológicos transitorios, dolor torácico con el esfuerzo, palpitaciones, disnea o claudicación intermitente), síntomas cardinales de la DM, cefalea o mareos asociados con elevación de las cifras de PA y síntomas relacionados con procesos que causan HTA secundaria (tabla 2)7–9. Si el paciente ha sido instruido, sería aconsejable anotar las automedidas de la PA (AMPA) ambulatoria. Adicionalmente, debe recogerse el tratamiento farmacológico activo y la respuesta o intolerancia a previos tratamientos de los FRV.
Características clínicas que sugieren hipertensión arterial secundaria
| Criterios basados en la presentación clínica | |
| Pacientes jóvenes (< 40 años) con PAS ≥ 160mmHg o PAD ≥ 100mmHg, o niños con cualquier grado de HTA | |
| HTA de inicio brusco en sujetos previamente normotensos | |
| Empeoramiento brusco de la PA previamente bien controlada | |
| HTA de grado 3 o HTA maligna | |
| Emergencia hipertensiva | |
| HTA resistente confirmada | |
| LOD extensa o grave, especialmente si es desproporcionada en relación con la duración o gravedad de la HTA | |
| Clínica sospechosa de HTA secundaria | Sospecha clínica |
| Elevación paroxística de la PA o HTA establecida con crisis añadidas, y la tríada clásica de cefalea, sudoración y palpitaciones | Feocromocitoma |
| Respuesta paradójica a betabloqueantes | Feocromocitoma |
| Presencia de soplos abdominales | HTA vasculorrenal |
| Ronquidos e hipersomnia | SAHOS |
| Calambres musculares, debilidad (hipopotasemia) | Hiperaldosteronismo |
| Edemas, astenia, tenesmo y polaquiuria | Enfermedad renal |
| Obesidad central, facies luna llena, equimosis, estrías | Síndrome de Cushing |
| Fármacos o drogas de abuso (alcohol, AINE, cocaína, anfetamina, regaliz, corticoides tópicos, etc.) | HTA secundaria a fármacos |
AINE: antiinflamatorios no esteroideos; HTA: hipertensión arterial; LOD: lesión de órgano diana; PA: presión arterial; PAD: presión arterial diastólica; PAS: presión arterial sistólica; SAHOS: síndrome de apnea-hipopnea obstructiva del sueño.
Elaborada a partir de7-9.
Debe registrarse el peso, la talla, el perímetro abdominal y calcularse el IMC. La PA debe medirse de acuerdo con las recomendaciones de la tabla 3, tanto en la consulta como en el domicilio10. La exploración cardiocirculatoria básica es obligada, en especial la presencia de soplos, y la presencia y simetría de los pulsos arteriales; la interpretación de los hallazgos dependerá del contexto: una ausencia de pulsos pedios puede indicar en un anciano claudicante una enfermedad arterial periférica (EAP), mientras que una asimetría de pulsos en un joven hipertenso puede indicar coartación de la aorta. Debe recogerse el hallazgo de hepatomegalia y/o esplenomegalia. La presencia de xantomas, su morfología y su localización en muchos casos constituyen un factor diagnóstico de primer nivel.
Condiciones básicas para una adecuada medida de la presión arterial en la consulta
| Condiciones básicas |
| • La PA se medirá con un aparato oscilométrico validado de brazo |
| • El paciente estará cómodamente sentado y en un ambiente relajado durante 5 minutos antes de iniciar la medida de la PA |
| • Se realizarán y registrarán 3 medidas separadas 1-2 minutos; se realizará alguna medida adicional si entre alguna de las lecturas hay una diferencia en la PAS > 10 mmHg; se considerará como resultado la media de las 2 últimas lecturas |
| • En pacientes con arritmias, particularmente fibrilación auricular, se realizarán medidas adicionales y se considerará el uso de la técnica auscultatoria clásica en el caso de no disponer de un aparato oscilométrico validado al efecto |
| • El manguito estándar, útil para la mayoría de los pacientes, medirá 12-13cm de ancho y 35cm de largo; se dispondrá de manguitos de talla más grande para brazos con una circunferencia > 32cm y de talla más pequeña para brazos de circunferencia < 26 cm |
| • El brazo donde se realiza la medida estará apoyado, relajado y el manguito a la altura del corazón |
| • Cuando se utilice la técnica auscultatoria se usarán las fases I y V de los ruidos de Korotkoff para identificar la PAS y la PAD, respectivamente |
| • La PA se medirá en ambos brazos en la primera visita para detectar posibles diferencias; se utilizará como referencia el brazo donde la PA sea más elevada |
| • Tras las medidas en sedestación se medirá la PA tras 1-3 minutos de bipedestación para detectar hipotensión ortostática (caída ≥ 20 o 10mmHg en la PAS o PAD, respectivamente); esta maniobra se realizará en la primera visita a todos los pacientes y también en visitas sucesivas en pacientes de edad avanzada, con diabetes mellitus o con otras condiciones en las que la hipotensión ortostática es frecuente |
PA: presión arterial; PAD: presión arterial diastólica; PAS: presión arterial sistólica.
Como ejemplo orientativo, los xantomas tendinosos sugieren HF, los tuberoeruptivos quilomicronemia y los xantomas estriados palmares son característicos de la disbetalipoproteinemia. La presencia de xantomas de consistencia pétrea adheridos a superficies óseas es sugestiva de xantomatosis cerebrotendinosa (fig. 1)11.
Hallazgos de la exploración física en dislipemias primarias. A) xantomas tendinosos en un caso de betasitosterolemia (imagen cedida por el autor); B) xantomas pétreos en un caso de xantomatosis cerebrotendinosa11; C) arco corneal en una mujer de 25 años.
Cedida por J. Mostaza.
La evaluación del RV y el diagnóstico de las dislipemias requieren análisis de sangre y orina. Las condiciones óptimas para su extracción, su procesamiento y su evaluación han sido publicadas en forma de consenso por las sociedades europeas de arteriosclerosis y medicina del laboratorio12 y pueden consultarse en los Anexos.
De acuerdo con el documento de consenso elaborado por 15 sociedades científicas españolas13, se debe contar con un perfil lipídico básico: colesterol total (CT), triglicéridos (TG), colesterol unido a lipoproteínas de alta densidad (cHDL), cLDL (estimado por la fórmula de Friedewald, Sampson-NIH o Martin Hopkins, o analizado por método directo) y el cálculo del colesterol no HDL (c-no-HDL), una medida del colesterol aterogénico no influido por la concentración de TG. Las últimas guías europeas de prevención cardiovascular de 202114 y la actualización de las guías europeas para el control de las dislipemias de 202515 lo incluyen para el cálculo del RV.
La determinación de la apolipoproteína B (Apo B) puede contribuir al cribado de disbetalipoproteinemia16. Adicionalmente, indica el número total de lipoproteínas aterogénicas y es un excelente marcador de eventos vasculares. Su determinación está recomendada por las guías europeas, sobre todo en pacientes con DM, obesidad visceral, síndrome metabólico (SM) o cuando existen niveles bajos de cLDL, circunstancias en las que la estimación del cLDL es menos fiable y es más frecuente la elevación de otras lipoproteínas aterogénicas que contienen Apo B (lipoproteínas de muy baja densidad [VLDL] y lipoproteínas de densidad intermedia [IDL]). La cuantificación de la concentración de lipoproteína(a) (Lp(a)) debe hacerse al menos una vez en la vida y lo ideal es hacerlo en la primera visita13. La elevación de la Lp(a) tiene un papel relevante en el incremento del RV que presentan algunos pacientes con HF y en sujetos con enfermedad isquémica prematura o recurrente, a pesar de que presenten un buen control del resto de los FRV17. Los pacientes con Lp(a) muy elevada (> 180mg/dL o> 430 nmol/L) tienen un RV equivalente al de los pacientes con HF heterocigota (HFHe).
En la primera visita debe solicitarse, además, un hemograma convencional y pruebas de bioquímica en sangre que incluyan el perfil glucémico (glucemia en ayunas, HbA1c), la función renal y hepática, así como los niveles de creatina-fosfocinasa (CPK), sodio (Na), potasio (K), calcio (Ca), ácido úrico y tirotropina (TSH). En la orina, preferentemente de primera hora de la mañana, se debe solicitar la determinación del cociente albuminuria/creatinina, pues su elevación participa junto con el filtrado glomerular (FG) en la definición de enfermedad renal crónica (ERC)18 y constituye un factor de riesgo independiente19. La medición de proteínas en la orina es necesaria para descartar el síndrome nefrótico. Puesto que el riesgo de hepatotoxicidad por los tratamientos es excepcional20, no se recomienda el control sistemático de transaminasas durante el tratamiento con estatinas, excepto cuando haya un incremento en la dosis (European Atherosclerosis Society/European Society Cardiology [EAS/ESC], 2019)21. Un electrocardiograma (ECG) en reposo aporta información de valor en pacientes que son evaluados por HTA y puede mostrar signos compatibles con isquemia o necrosis miocárdica, crecimiento ventricular izquierdo o alteraciones del ritmo, como la fibrilación auricular (FA).
Anamnesis, exploración y pruebas complementarias en consulta: recomendablesAnamnesis: cuestionario de Edimburgo y cuestionario de disfunción eréctilDebe realizarse una anamnesis específica sobre el hábito de fumar, incluyendo el test de Fagerström3,4 en los fumadores (véase más adelante, en el Paciente fumador). Ante la sospecha de claudicación intermitente, el cuestionario de Edimburgo, validado en nuestro país (Anexos), permite reforzar el diagnóstico clínico de la EAP1. El cuestionario para la valoración de la disfunción eréctil (Short Diagnostic Questionnaire for Erectile Dysfunction [SQUED])2 se muestra en los Anexos.
Exploración físicaEn los pacientes con cHDL muy bajo, deberá buscarse de forma específica la presencia de opacidad corneal (déficit de lecitina-colesterol aciltransferasa [LCAT]) o la hipertrofia amigdalar (enfermedad de Tangier). La fundoscopia aporta información valiosa en el examen del paciente con DM, en las quilomicronemias primarias (lipemia retinalis) y en las lesiones de órgano diana (LOD) de la HTA, imprescindible cuando las cifras de PAS ≥ 180mmHg y/o PAD ≥ 110mmHg.
Pruebas complementarias adicionalesLa SEA entiende aconsejable medir el tamaño y la concentración de las lipopartículas cuando exista:
- •
Sospecha de desajuste entre la concentración de lípidos y el número de partículas, situación común en la DM, la obesidad y en el SM.
- •
EVA precoz o recurrente sin FRV que la justifiquen.
- •
Trastornos lipídicos raros o complejos, como concentraciones extremas de cHDL.
- •
Situaciones clínicas en las que no se pueden aplicar técnicas analíticas clásicas, como cuando existen concentraciones muy bajas de cLDL22.
La separación de lipoproteínas por ultracentrifugación podría ser de interés para la confirmación de la disbetalipoproteinemia (cociente colesterol de lipoproteínas de muy baja densidad [cVLDL]/TG en mg/dL> 0,3)23 y para conocer la composición de las lipoproteínas plasmáticas, pero dado su elevado coste y complejidad, su uso queda bastante limitado. La determinación de la apolipoproteína A1 (Apo A1) se recomienda en el estudio de la hipercolesterolemia en la infancia. Un índice Apo B/Apo A1 superior a 0,82ha mostrado mayor sensibilidad y especificidad en la detección de los portadores de una variante genética asociada a HF24.
Ante la sospecha de HF debe utilizarse la escala clínica y bioquímica de la Dutch Lipid Clinic Network Diagnostic criteria for Familial Hypercholesterolemia (Anexos)25 y confirmarse con el diagnóstico genético. La existencia de procedimientos de secuenciación masiva y la comercialización de paneles genéticos para hipercolesterolemia permiten el diagnóstico de esta y la diferenciación entre formas heterocigotas, heterocigotas compuestas, dobles heterocigotas y homocigotas (estas tres últimas podrían agruparse como bialélicas). Entre todas estas formas puede haber solapamiento clínico y analítico26 o el hallazgo de otras enfermedades con las que puede compartir fenotipo (déficit de lipasa ácida lisosomal o betasitosterolemia)27. El genotipo o fenotipo de apolipoproteína E (Apo E) se debe solicitar cuando existe sospecha de disbetalipoproteinemia. Las pruebas genéticas deben solicitarse solo ante la sospecha de una dislipemia monogénica28. Actualmente, los estudios genéticos que evalúan el riesgo de hipercolesterolemia poligénica grave tienen un escaso impacto para el diagnóstico y el tratamiento de los pacientes con dislipemias primarias y no deben ser solicitados con fines clínicos, de forma rutinaria29.
Entre las pruebas complementarias adicionales, la monitorización ambulatoria de la PA (MAPA) durante 24 horas debería solicitarse a todos los pacientes con HTA o sospecha de esta, estando especialmente indicada cuando haya discordancia entre las tomas de PA en consulta y ambulatorias, cuando exista una elevada variabilidad en su medición, cuando se sospeche HTA nocturna (p. ej., apneas del sueño) y en casos de HTA resistente14. La AMPA durante cinco a siete días puede reemplazar a la MAPA, en especial durante el seguimiento, si se comprueba una buena concordancia entre ambas.
Modificadores del riesgo vascular por imagen en arteriosclerosisLas pruebas comentadas en este apartado se efectúan con la intención de reestratificar el RV, ya que conciernen a un paciente sin EVA establecida ni síntomas que hagan sospecharla. Se refieren a un periodo de la historia natural del proceso aterosclerótico durante el cual, en ausencia de síntomas y signos, existen alteraciones estructurales vasculares demostrables. Por definición, solo puede conocerse su existencia mediante la realización de pruebas diagnósticas específicas. Tanto los FRV como la enfermedad ateromatosa tienen carácter sistémico, por lo que el hallazgo de afectación vascular en un territorio también aporta información del estado de la enfermedad en los demás territorios. Las técnicas exploratorias disponibles deben ser no invasivas y su utilización se plantea para la obtención de información complementaria en la estimación del RV, para redefinir los objetivos lipídicos y para orientar las decisiones terapéuticas15. También se ha propuesto la utilización de alguna de estas exploraciones para el cribado sistemático.
Los modificadores de riesgo con mayor relevancia en las guías clínicas actuales son los que evalúan directamente la aterosclerosis mediante imagen14. Estas pruebas mejoran la predicción del RV y son los únicos marcadores que permiten tanto escalar como desescalar el riesgo, evitando tratamientos innecesarios si no hubiera aterosclerosis detectable. Más allá de la presencia de placas, el valor pronóstico mejora con parámetros como la carga aterosclerótica, la vulnerabilidad de la placa o la presencia de estenosis significativas (≥ 50%). Documentos recientes sugerirían su uso para decidir no solo el inicio de estatinas, sino también los objetivos de control lipídico y de PA, e incluso terapias propias de la prevención secundaria, basándose en que confieren un riesgo similar al de un paciente que ya hubiera tenido un evento clínico30,31.
La elección de las pruebas para evaluar la aterosclerosis debe basarse en la evidencia científica, su accesibilidad y en las características del paciente, priorizando las más eficaces según su etapa en la historia natural de la enfermedad, determinada por la edad, el sexo y los FRV.
La detección incidental de aterosclerosis en estudios de imagen solicitados por otro motivo debe considerarse como un hallazgo relevante, obligando a hacer una anamnesis detallada al paciente. Si se encontrara asintomático, se deberían tratar y optimizar sus FRV de forma similar a como actuaríamos si encontráramos aterosclerosis en un test específicamente dirigido a la valoración del riesgo.
Calcio score coronarioEl Ca score coronario (CSC) es el marcador más sólido para predecir eventos cardiovasculares y está respaldado por un gran número de guías clínicas como herramienta para guiar la prevención14,15,32,33. Se expresa en unidades Agatston asociadas al riesgo a corto plazo (cinco a 10 años) y en percentiles ajustados por la edad, el sexo y la raza (estudio MESA) útiles para estimar el riesgo a largo plazo (10-30 años), especialmente en personas jóvenes34. Existe consenso entre las sociedades científicas para los valores de corte que determinan la carga de aterosclerosis y que, por tanto, guían las estrategias de prevención31:
- •
1-99: carga de placa ligera.
- •
100-299 o percentil ≥ 75: carga de placa moderada.
- •
300-999: carga de placa grave, equivalente a prevención secundaria.
- •
≥ 1.000: carga de placa muy grave.
Un CSC entre 100-299 o percentil ≥ 75 es el punto de corte que se utiliza para reclasificar a un sujeto en una categoría de riesgo superior. Un CSC> 300 clasificaría a una persona directamente en la categoría de muy alto riesgo, equiparable al de un paciente con EVA establecida, dada la elevada tasa de eventos (≈ 20% a cinco años) observada en grandes estudios de cohortes poblacionales15,35–37. Un CSC=0 en personas sin DM, historia familiar de enfermedad cardiovascular (ECV) precoz o tabaquismo intenso indicaría un riesgo muy bajo a 10 años, siendo incluso mucho menor si este se repitiera a los cinco años y siguiera en 0, por lo que no se justificaría iniciar tratamiento farmacológico preventivo en ninguna de las situaciones previas35. Estudios recientes confirman que usar el CSC tras la valoración clínica (Systematic Coronary Risk Estimation 2 [SCORE2]/ Systematic Coronary Risk Evaluation 2-Older Persons [SCORE-OP]) sería eficiente (NNT a 10 años=12 en varones y 25 en mujeres)38.
Entre sus limitaciones, el CSC detecta aterosclerosis en fases avanzadas de la enfermedad (no detecta placas blandas), por lo que su utilización quedaría restringida a varones> 40 años y mujeres> 50 con FRV39. Además, la monitorización del CSC podría no ser útil en pacientes tratados con estatinas, dado que su efecto estabilizador de la placa cursa con incremento de la calcificación coronaria.
La cuantificación incidental del Ca coronario en una tomografía axial computarizada (TAC) torácica sin sincronización cardiaca muestra una buena concordancia (coeficiente de correlación ≥ 0,81) con el CSC40. También, el Ca coronario puede valorarse visualmente de forma estandarizada según las categorías del CSC41. Encontrar una calcificación coronaria grave no justifica la realización de un cateterismo por sí sola. Los pacientes claramente asintomáticos, de forma general, solo requerirían de tratamiento preventivo. Si hubiera síntomas, dado el alto riesgo pretest de enfermedad coronaria (EC) significativa, las guías de síndrome coronario crónico recomiendan realizar una prueba de isquemia mejor que una angio-TAC para decidir la necesidad de revascularización. El uso de angio-TAC coronaria en presencia de calcificación grave es controvertido, ya que el Ca puede limitar su utilidad. Su indicación dependerá de la experiencia del centro, la calidad esperada del estudio y la sospecha de anatomía coronaria de alto riesgo42.
Angiografía coronaria por tomografía computarizadaLa angio-TAC coronaria es la prueba de elección para evaluar un dolor torácico en personas de riesgo bajo o intermedio42. La presencia de estenosis significativa (> 50%) en imagen coronaria invasiva o en angio-TAC sitúa al paciente como de muy alto riesgo equivalente de EVA establecida14. Estudios como PROMISE, SCOT-HEART e ISCHEMIA han demostrado el valor pronóstico de la angio-TAC, incluso en ausencia de estenosis, al permitir optimizar el tratamiento médico guiados por parámetros como la presencia, la extensión y la caracterización de la aterosclerosis cuando esta no es obstructiva43,44. En ausencia de obstrucción coronaria, una alta carga de placa global predice un riesgo> 15% a 10 años45. Si hay placas de características adversas, el riesgo se multiplica por 346 y por 6 si predomina una alta carga de placas blandas47. Dada su repercusión en el control del paciente según CAD-RADS (tabla 4) y apoyados por la reciente actualización de las guías ESC/EAS 201915, toda esta información debe incluirse en los informes clínicos junto con la evaluación del grado de estenosis48. Fuera del estudio del dolor torácico, se ha propuesto la angio-TAC coronaria en personas asintomáticas con riesgo clínico aumentado, pero con baja probabilidad de calcificaciones coronarias para un CSC (jóvenes con HF, AF de ECV precoz, DM, infección por VIH, estados inflamatorios, etc.); sin embargo, su uso en la población general asintomática no está justificado. Estudios en marcha, como SCOT-HEART-2 y RESPECT-2, evaluarán su utilidad en el contexto de la prevención primaria.
CAD-RADS adaptado del documento original48
| Categorías del CAD-RADS | |||
|---|---|---|---|
| Score | Estenosis | Interpretación | Estudios posteriores |
| 0 | 0% | Ausencia de EC | Ninguno |
| 1 | 1-24% | EC no obstructiva mínima | Ninguno |
| 2 | 25-49% | EC no obstructiva leve | Ninguno |
| 3 | 50-69% | Estenosis moderada | Valorar estudio de su repercusión funcional |
| 4A | 70-99% | Estenosis grave | Valorar angiografía invasiva |
| 4B | Tronco > 50% o 3 vasos 70-99% | Angiografía invasiva | |
| 5 | 100% | Oclusión crónica total | Valorar angiografía invasiva y estudio de viabilidad |
| N | Estudio no diagnóstico | No puede ser excluida EC obstructiva | Necesita valoración adicional |
| Carga de placa coronaria | ||||
| Cantidad | CSC | SIS | Visual | |
| P1 | Leve | 1-100 | ≤ 2 | 1-2 vasos con leve carga de placa |
| P2 | Moderada | 101-300 | 3-4 | 1-2 vasos con moderada carga de placa; 3 vasos con leve carga |
| P3 | Grave | 301-999 | 5-7 | 3 vasos con moderada carga de placa; 1 vaso con carga grave |
| P4 | Extensa | ≥ 1.000 | ≥ 8 | 2-3 vasos con carga grave |
| Modificadores | ||||
| HRP (high risk plaques) | Placas con baja atenuación, remodelado positivo, calcificación puntiforme o presencia del signo del servilletero | |||
| Manejo del riesgo | ||||
| CAD-RADS 1 | P1: considerar modificación de factores de riesgo con o sin tratamiento preventivoP2: modificación de factores de riesgo y terapia preventivaP3/P4: manejo intensivo de factores de riesgo con terapia preventiva | |||
| CAD-RADS 2 | P1/P2: modificación de factores de riesgo y terapia preventivaP3/P4: manejo intensivo de factores de riesgo con terapia preventiva | |||
| CAD-RADS 3 | P1/P2/P3/P4: manejo intensivo de factores de riesgo con terapia preventiva, considerando antiagregación, incluso tratamiento sintomático antianginoso | |||
| CAD-RADS 4A/4B | P1/P2/P3/P4: manejo de prevención secundaria | |||
| CAD-RADS 5 | P1/P2/P3/P4: manejo de prevención secundaria | |||
CAD-RADS: Coronary Artery Disease Reporting and Data System; CSC: calcio score coronario; EC: enfermedad coronaria, SIS: score de segmentos involucrados derivado de la valoración de los 16 segmentos coronarios (17 si hay ramo intermedio) y la presencia de placas de aterosclerosis.
La medida del grosor íntima-media carotídeo (GIM) tiene actualmente una recomendación de clase III49 tras demostrarse que la detección de placas por ecografía tiene un mayor valor pronóstico. Una placa se define como una protrusión en la luz ≥ 50% del GIM adyacente o un aumento difuso del GIM ≥ 1,5mm50. Las guías consideran de muy alto riesgo a quienes presentan una estenosis carotídea significativa (> 50%), ya que una revisión de 17 estudios (11.391 pacientes) mostró una mortalidad cardiovascular anual del 2,9%51. Además, las guías apoyan la detección de placa para mejorar la estratificación del riesgo en sujetos en los que la realización de un CSC no fuera posible14. La cuantificación de la carga de aterosclerosis carotídea, más allá de la simple detección de placa, predice el riesgo cardiovascular con una eficacia similar al CSC52–54 y permite guiar la terapia con estatinas reduciendo los episodios cardiovasculares53,55. Un consenso de 202056 recomienda, por su simplicidad, reproducibilidad y valor pronóstico, medir el espesor máximo de la placa, aunque esta elección ha sido cuestionada57. Un espesor ≥ 2,5mm permite reclasificar como de alto riesgo a personas con un riesgo bajo o intermedio según las escalas convencionales. Las placas <1,5mm no modificarían el riesgo y su ausencia lo podría disminuir.
Incluir la evaluación femoral junto a la carotídea mejora la detección de aterosclerosis subclínica en adultos jóvenes y de mediana edad, superando a la ecografía carotídea sola y al CSC58,59. Además, ofrece una visión más global del estado vascular y del pronóstico60. Por todo ello, la ecografía femoral se menciona en las guías actuales15,61, si bien su bibliografía es todavía limitada para dar recomendaciones concretas.
Características de las placas, como su ecolucencia medida por el Grey Scale Mean (GSM) y la presencia de ulceraciones o de neovascularización con contraste de microburbujas, también han demostrado valor pronóstico, pero su valoración sistemática no se recomienda.
Parámetros funcionales, como la rigidez arterial (p. ej., velocidad de onda de pulso [PWV]), predicen los eventos cardiovasculares y mejoran la estratificación del riesgo62. Los umbrales de rigidez arterial asociados a mayor riesgo incluyen una PWV carotideofemoral> 10 m/s y una PWV braquial-tobillo> 14 m/s. No obstante, las guías europeas de 2021 no recomiendan su uso rutinario por su complejidad, baja reproducibilidad y evidencia no exenta de sesgos.
Índice tobillo/brazoEl índice tobillo/brazo (ITB) es el cociente de las PAS del tobillo frente al brazo para cada miembro inferior. Un valor inferior a 0,9 indica la existencia de una estenosis mayor del 50% entre la aorta y las arterias distales de la pierna, con alta especificidad (96%) y una sensibilidad aceptable (69%), lo que permite identificar EAP significativa que puede cursar de modo silente o con síntomas mal definidos. Un ITB ≤ 0,9 duplica el riesgo de eventos cardiovasculares mayores y la mortalidad a 10 años63. Valores ≥ 1,4 suelen indicar la presencia de calcificación arterial, una situación que también se asocia con un incremento del riesgo de complicaciones vasculares, especialmente frecuente en pacientes con DM. Por su sencillez, el ITB puede realizarse en la evaluación del estado vascular del paciente. Su medición está recomendada por las guías europeas de 2024 como screening de EAP64. Sin embargo, su uso sistemático para evaluar el RV ha perdido respaldo, ya que su rentabilidad es baja en la población general (prevalencia de ITB bajo entre 0,1 y 3,1%) e incluso en grupos de alto riesgo (diabéticos, fumadores o de edad avanzada) su prevalencia varía entre un 7 y un 29%, según las series65.
Cuestionarios de dieta y actividad física: escalas recomendadasMás allá de averiguar sobre datos generales de la dieta, como si esta es rica en carbohidratos o grasas saturadas, o sobre alteraciones del patrón alimentario, la dieta puede ser evaluada con un simple cuestionario de 14 preguntas: Mediterranean Diet Adherence Screener (MEDAS) sobre adherencia a la dieta mediterránea (Anexos), que ha sido validado en el ensayo Prevención con Dieta Mediterránea (PREDIMED) y se asocia con la presencia de FRV y con el RV66. Además, debe cuantificarse el consumo de alcohol, que puede hacerse anotando el número (volumen en mL) de cervezas, vino y/o licor a la semana o cuantificando los gramos del alcohol ingeridos por semana, estimando una graduación de 6, 12 y 40 grados, respectivamente, mediante la fórmula (volumen en mL×graduación×0,8) / 100. La actividad física puede evaluarse de una forma semicuantitativa durante el trabajo (1=no trabaja o sedentario; 2=camina regularmente durante el trabajo; 3=camina regularmente y levanta pesos; y 4=importante actividad física) como durante el tiempo de ocio (1=no realiza ejercicio; 2=camina al menos 4 horas en semana; 3=camina> 4 horas en semana; y 4=entrenamiento vigoroso)67. Por último, es también posible cuantificar de forma simple la actividad física usando el cuestionario International Physical Activity Questionnaire (IPAQ), también validado6 y disponible en línea68 (Anexos).
Indicación de pruebas especialesAlgunos biomarcadores han sido ampliamente investigados como predictores del RV (homocisteína, fosfolipasa A2 asociada con lipoproteína, factores trombogénicos y fibrinolíticos) y no han sido incorporados a la rutina clínica por no aportar información adicional relevante del RV. En su conjunto, estos biomarcadores no tienen justificación clínica, ya que no aumentan la capacidad predictora de episodios respecto del SCORE europeo14. Más controvertido es el papel del más estudiado de todos ellos, la proteína C reactiva (PCR) ultrasensible, que en diversos estudios ha mostrado su capacidad para predecir el RV. Su determinación en estudios epidemiológicos permite detectar pacientes que pueden presentar un riesgo residual independiente de los parámetros lipídicos, si bien presenta el inconveniente de una elevada variabilidad intraindividual que dificulta su utilización en la práctica clínica69. La última actualización de las guías europeas para el control de la dislipemia15 considera una PCR> 2mg/dL persistentemente elevada como factor modificador del riesgo, por lo que podría ser útil la determinación en pacientes cercanos a los umbrales de decisión de tratamiento.
En presencia de síntomas o signos sugestivos, o ante la sospecha de enfermedad, se deben solicitar las pruebas complementarias pertinentes, imagen coronaria no invasiva o test de detección de isquemia en caso de dolor torácico, o pruebas de imagen ante sospecha de HTA secundaria, test hormonales, etc.
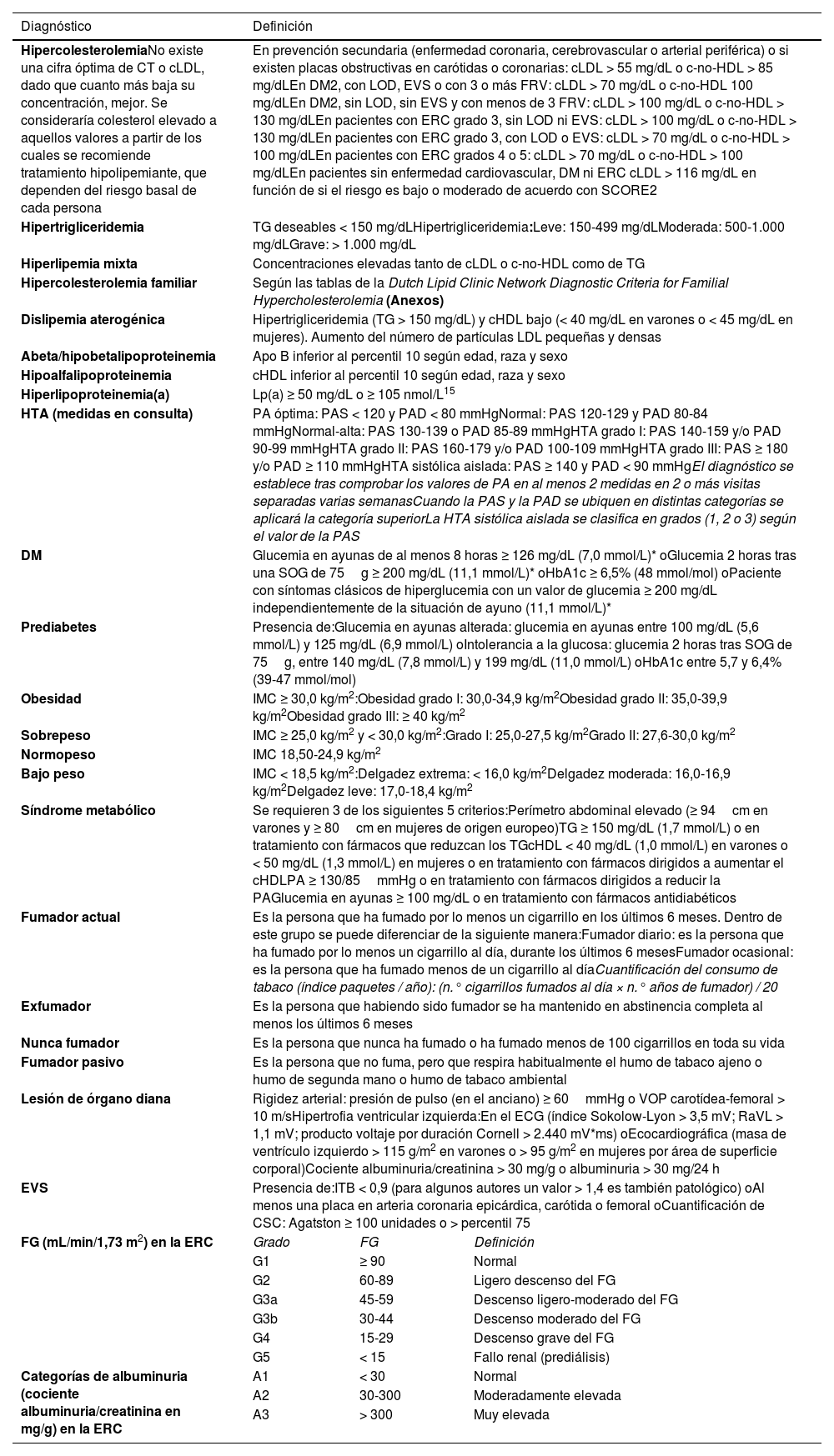
Diagnóstico del riesgo vascularRecogida de diagnósticos en la historia clínica: criterios diagnósticosTodo paciente atendido en una consulta de RV debe tener en su historia clínica un listado de diagnósticos estandarizados, que incluyen los recogidos en la tabla 5. Además, deben añadirse todos los diagnósticos derivados de las enfermedades que pudiera tener, tanto cardiovasculares como no cardiovasculares7,70–77.
Criterios diagnósticos
| Diagnóstico | Definición | ||
|---|---|---|---|
| HipercolesterolemiaNo existe una cifra óptima de CT o cLDL, dado que cuanto más baja su concentración, mejor. Se consideraría colesterol elevado a aquellos valores a partir de los cuales se recomiende tratamiento hipolipemiante, que dependen del riesgo basal de cada persona | En prevención secundaria (enfermedad coronaria, cerebrovascular o arterial periférica) o si existen placas obstructivas en carótidas o coronarias: cLDL > 55 mg/dL o c-no-HDL > 85 mg/dLEn DM2, con LOD, EVS o con 3 o más FRV: cLDL > 70 mg/dL o c-no-HDL 100 mg/dLEn DM2, sin LOD, sin EVS y con menos de 3 FRV: cLDL > 100 mg/dL o c-no-HDL > 130 mg/dLEn pacientes con ERC grado 3, sin LOD ni EVS: cLDL > 100 mg/dL o c-no-HDL > 130 mg/dLEn pacientes con ERC grado 3, con LOD o EVS: cLDL > 70 mg/dL o c-no-HDL > 100 mg/dLEn pacientes con ERC grados 4 o 5: cLDL > 70 mg/dL o c-no-HDL > 100 mg/dLEn pacientes sin enfermedad cardiovascular, DM ni ERC cLDL > 116 mg/dL en función de si el riesgo es bajo o moderado de acuerdo con SCORE2 | ||
| Hipertrigliceridemia | TG deseables < 150 mg/dLHipertrigliceridemia:Leve: 150-499 mg/dLModerada: 500-1.000 mg/dLGrave: > 1.000 mg/dL | ||
| Hiperlipemia mixta | Concentraciones elevadas tanto de cLDL o c-no-HDL como de TG | ||
| Hipercolesterolemia familiar | Según las tablas de la Dutch Lipid Clinic Network Diagnostic Criteria for Familial Hypercholesterolemia (Anexos) | ||
| Dislipemia aterogénica | Hipertrigliceridemia (TG > 150 mg/dL) y cHDL bajo (< 40 mg/dL en varones o < 45 mg/dL en mujeres). Aumento del número de partículas LDL pequeñas y densas | ||
| Abeta/hipobetalipoproteinemia | Apo B inferior al percentil 10 según edad, raza y sexo | ||
| Hipoalfalipoproteinemia | cHDL inferior al percentil 10 según edad, raza y sexo | ||
| Hiperlipoproteinemia(a) | Lp(a) ≥ 50 mg/dL o ≥ 105 nmol/L15 | ||
| HTA (medidas en consulta) | PA óptima: PAS < 120 y PAD < 80 mmHgNormal: PAS 120-129 y PAD 80-84 mmHgNormal-alta: PAS 130-139 o PAD 85-89 mmHgHTA grado I: PAS 140-159 y/o PAD 90-99 mmHgHTA grado II: PAS 160-179 y/o PAD 100-109 mmHgHTA grado III: PAS ≥ 180 y/o PAD ≥ 110 mmHgHTA sistólica aislada: PAS ≥ 140 y PAD < 90 mmHgEl diagnóstico se establece tras comprobar los valores de PA en al menos 2 medidas en 2 o más visitas separadas varias semanasCuando la PAS y la PAD se ubiquen en distintas categorías se aplicará la categoría superiorLa HTA sistólica aislada se clasifica en grados (1, 2 o 3) según el valor de la PAS | ||
| DM | Glucemia en ayunas de al menos 8 horas ≥ 126 mg/dL (7,0 mmol/L)* oGlucemia 2 horas tras una SOG de 75g ≥ 200 mg/dL (11,1 mmol/L)* oHbA1c ≥ 6,5% (48 mmol/mol) oPaciente con síntomas clásicos de hiperglucemia con un valor de glucemia ≥ 200 mg/dL independientemente de la situación de ayuno (11,1 mmol/L)* | ||
| Prediabetes | Presencia de:Glucemia en ayunas alterada: glucemia en ayunas entre 100 mg/dL (5,6 mmol/L) y 125 mg/dL (6,9 mmol/L) oIntolerancia a la glucosa: glucemia 2 horas tras SOG de 75g, entre 140 mg/dL (7,8 mmol/L) y 199 mg/dL (11,0 mmol/L) oHbA1c entre 5,7 y 6,4% (39-47 mmol/mol) | ||
| Obesidad | IMC ≥ 30,0 kg/m2:Obesidad grado I: 30,0-34,9 kg/m2Obesidad grado II: 35,0-39,9 kg/m2Obesidad grado III: ≥ 40 kg/m2 | ||
| Sobrepeso | IMC ≥ 25,0 kg/m2 y < 30,0 kg/m2:Grado I: 25,0-27,5 kg/m2Grado II: 27,6-30,0 kg/m2 | ||
| Normopeso | IMC 18,50-24,9 kg/m2 | ||
| Bajo peso | IMC < 18,5 kg/m2:Delgadez extrema: < 16,0 kg/m2Delgadez moderada: 16,0-16,9 kg/m2Delgadez leve: 17,0-18,4 kg/m2 | ||
| Síndrome metabólico | Se requieren 3 de los siguientes 5 criterios:Perímetro abdominal elevado (≥ 94cm en varones y ≥ 80cm en mujeres de origen europeo)TG ≥ 150 mg/dL (1,7 mmol/L) o en tratamiento con fármacos que reduzcan los TGcHDL < 40 mg/dL (1,0 mmol/L) en varones o < 50 mg/dL (1,3 mmol/L) en mujeres o en tratamiento con fármacos dirigidos a aumentar el cHDLPA ≥ 130/85mmHg o en tratamiento con fármacos dirigidos a reducir la PAGlucemia en ayunas ≥ 100 mg/dL o en tratamiento con fármacos antidiabéticos | ||
| Fumador actual | Es la persona que ha fumado por lo menos un cigarrillo en los últimos 6 meses. Dentro de este grupo se puede diferenciar de la siguiente manera:Fumador diario: es la persona que ha fumado por lo menos un cigarrillo al día, durante los últimos 6 mesesFumador ocasional: es la persona que ha fumado menos de un cigarrillo al díaCuantificación del consumo de tabaco (índice paquetes / año): (n.° cigarrillos fumados al día × n.° años de fumador) / 20 | ||
| Exfumador | Es la persona que habiendo sido fumador se ha mantenido en abstinencia completa al menos los últimos 6 meses | ||
| Nunca fumador | Es la persona que nunca ha fumado o ha fumado menos de 100 cigarrillos en toda su vida | ||
| Fumador pasivo | Es la persona que no fuma, pero que respira habitualmente el humo de tabaco ajeno o humo de segunda mano o humo de tabaco ambiental | ||
| Lesión de órgano diana | Rigidez arterial: presión de pulso (en el anciano) ≥ 60mmHg o VOP carotídea-femoral > 10 m/sHipertrofia ventricular izquierda:En el ECG (índice Sokolow-Lyon > 3,5 mV; RaVL > 1,1 mV; producto voltaje por duración Cornell > 2.440 mV*ms) oEcocardiográfica (masa de ventrículo izquierdo > 115 g/m2 en varones o > 95 g/m2 en mujeres por área de superficie corporal)Cociente albuminuria/creatinina > 30 mg/g o albuminuria > 30 mg/24 h | ||
| EVS | Presencia de:ITB < 0,9 (para algunos autores un valor > 1,4 es también patológico) oAl menos una placa en arteria coronaria epicárdica, carótida o femoral oCuantificación de CSC: Agatston ≥ 100 unidades o > percentil 75 | ||
| FG (mL/min/1,73 m2) en la ERC | Grado | FG | Definición |
| G1 | ≥ 90 | Normal | |
| G2 | 60-89 | Ligero descenso del FG | |
| G3a | 45-59 | Descenso ligero-moderado del FG | |
| G3b | 30-44 | Descenso moderado del FG | |
| G4 | 15-29 | Descenso grave del FG | |
| G5 | < 15 | Fallo renal (prediálisis) | |
| Categorías de albuminuria (cociente albuminuria/creatinina en mg/g) en la ERC | A1 | < 30 | Normal |
| A2 | 30-300 | Moderadamente elevada | |
| A3 | > 300 | Muy elevada | |
En ausencia de hiperglucemia inequívoca los resultados deben repetirse con un segundo análisis
Apo B: apolipoproteína B; CSC: calcio score coronario; cHDL: colesterol unido a lipoproteínas de alta densidad; cLDL: colesterol unido a lipoproteínas de baja densidad; c-no-HDL: colesterol-no-HDL; CT: colesterol total; DM: diabetes mellitus; DM2: diabetes mellitus de tipo 2; ECG: electrocardiograma; ERC: enfermedad renal crónica; EVA: enfermedad vascular aterosclerótica; EVS: enfermedad vascular subclínica; FG: filtrado glomerular; FRV: factores de riesgo vascular; GIM: grosor íntima-media; HbA1c: hemoglobina glicada; HTA: hipertensión arterial; IMC: índice de masa corporal; ITB: índice tobillo/brazo; LDL: lipoproteínas de baja densidad; LOD: lesión de órgano diana; Lp(a): lipoproteína(a); PA: presión arterial; PAD: presión arterial diastólica; PAS: presión arterial sistólica; RaVL: voltaje de la onda R en la derivación; SCORE2: Systematic Coronary Risk Estimation 2; SOG: sobrecarga oral de glucosa; TG: triglicéridos; VOP: velocidad de onda de pulso.
Definición adaptada de las sociedades europeas de HTA y de cardiología.
Uno de los primeros pasos que se deben realizar al evaluar a pacientes sin EVA con FRV, es el cálculo del RV, ya que hay determinadas decisiones que se tomarán en un sentido u otro según el nivel o valor del RV, como, por ejemplo, el momento de iniciar el tratamiento hipolipemiante y su objetivo terapéutico.
El riesgo (absoluto) es la probabilidad de que ocurra un determinado episodio vascular en un periodo de tiempo definido en función de los FRV que tiene el paciente que pertenece a un determinado grupo poblacional. Por lo tanto, no hay un sistema universal de cálculo del RV. Las guías europeas de prevención cardiovascular14 y las de control de la dislipemia15, a las que se adhiere la SEA a través del CEIPV, recomiendan el uso del sistema SCORE2 y SCORE2-OP78,79 para valorar el RV en su versión para países de bajo riesgo, en situación de prevención primaria, es decir, para individuos que aún no han tenido episodios vasculares.
Cálculo de riesgo vascular: proyectos SCORE2 y SCORE2-OPEl SCORE278,79 recoge el riesgo combinado de padecer una complicación vascular o de muerte vascular en los siguientes 10 años. Para obtener las tablas del sistema SCORE2, se realizó un análisis de 45 cohortes de 43 países, incluyendo 677.684 personas y 30.121 episodios CV. Las variables que predijeron el riesgo de complicaciones mortales y no mortales fueron el sexo, edad, tabaquismo (dicotómica), PAS y el c-no-HDL. No se incluye la DM dado que se considera a priori una condición de alto riesgo. Sin embargo, recientemente se han publicado tablas específicas de riesgo para los pacientes con DM80. La ecuación de riesgo está modulada por la incidencia de eventos vasculares de cada país, por lo que los índices finales están distribuidos en cuatro zonas: riesgo bajo (en la que se incluye España), moderado, alto y muy alto, mostrando un claro gradiente este-oeste. Los valores son aplicables hasta los 70 años, habiéndose desarrollado por separado unas tablas específicas para personas de edad superior que alcanza hasta los 89 años (SCORE2-OP)79 a partir de otras cohortes, pero con el mismo análisis matemático que SCORE2 (fig. 2)14.
Tablas del Systematic Coronary Risk Estimation 2 (SCORE2) y el Systematic Coronary Risk Estimation 2-Older Persons (SCORE2-OP) para países de bajo riesgo cardiovascular15.
CV: cardiovascular; HDL: lipoproteína de alta densidad.
Reproducido con permiso de Oxford University Press.
En función de estos nuevos índices SCORE2 y SCORE2-OP, el RV a 10 años se distribuye en tres categorías en tres franjas de edad (tabla 6).
Recientemente, se ha publicado una actualización de las guías europeas del control de las dislipidemias de las sociedades europeas de cardiología y arteriosclerosis15, que aconsejan utilizar SCORE2 y SCORE2-OP. No obstante, a diferencia de las Guías Europeas de Prevención Cardiovascular de 2021, consideran los mismos puntos de corte del riesgo a cualquier edad, pero diferencian entre valores de riesgo bajo y riesgo intermedio, estableciendo riesgo bajo cuando es <2%, moderado> 2% y <10%, alto> 10% y <20% y riesgo muy alto> 20%. También consideran otras situaciones que definen riesgo moderado, alto y muy alto en concordancia con la tabla 7, así como una nueva clase denominada riesgo extremo que está definida por la recurrencia de nuevos eventos vasculares en pacientes con dosis máximas toleradas de estatinas o por la presencia de enfermedad vascular en varios territorios.
Estimación del riesgo vascular global
| Criterios | |||
|---|---|---|---|
| Sin LODa, EVSa u otros factores moduladores del riesgob | Con LODa, EVSa u otros factores moduladores del riesgob | Presión arterial ≥ 180/110mmHg o cLDL ≥ 190 mg/dL (especialmente HF) | |
| Sin EVA, DM ni ERC | El estimado según SCORE2 | Incrementar en un escalón la categoría obtenida con el SCORE2 | Alto |
| ERC moderadacDM1o DM2d | Alto | Muy alto | Muy alto |
| Enfermedad vascular clínica o equivalenteeERC grave, DM con 3 o más FRV; DM de tipo 1 de más de 20 años de evolución | Muy alto | Muy alto | Muy alto |
El incremento del riesgo depende del número y la intensidad de los factores moduladores. En general, se precisa de varios de ellos o de una extrema gravedad de estos para elevar la categoría de riesgo al mismo nivel que lo hacen la presencia de EVS o LOD. Los factores moduladores serían:
Obesidad o sedentarismo
Síndrome metabólico
Individuos en situación de exclusión social
Intolerancia a la glucosa o glucemia en ayunas alterada
Elevación persistente de TG, Apo B, Lp(a) o PCR
AF de EVA precoz (en varones < 55 años o mujeres < 60 años)
Enfermedades que supongan aumento de estrés inflamatorio-metabólico: enfermedades autoinmunes, EPOC, AR, SM, lupus eritematoso sistémico, psoriasis, cáncer, VIH
Enfermedades psiquiátricas graves (ansiedad y depresión)
Hígado graso no alcohólico
Enfermedades hipertensivas del embarazo
Menopausia prematura
SAHOS
La enfermedad renal crónica avanzada confiere per se un riesgo vascular muy alto y se define como la presencia de insuficiencia renal en estadios 4 y 5 de FGe (< 30 mL/min 1,73 m2) o estadios 3b (30-45 mL/min) + albuminuria de cualquier grado, o estadio 3a (45-60 mL/min) con albuminuria grave (> 300 mg/g creatinina). La enfermedad renal crónica moderada confiere un riesgo vascular elevado y se define por un estadio 3b de insuficiencia renal crónica (FGe 30-60 mL/ min) sin albuminuria, 3a (FGe 45-60 mL/ min) con albuminuria moderada (30-300 mg/g creatinina) o por la presencia de albuminuria grave (> 300 mg/g creatinina) con FGe > 60 mL/min
Los pacientes con DM1 menores de 35 años o de tipo 2 menores de 50 años y con menos de 10 años de evolución pueden tener un riesgo CV moderado
Se considera EVA o equivalente a las siguientes condiciones:
EVA clínica establecida:
• Episodio coronario (SCA, angina estable, procedimiento de revascularización)
• Episodio cerebrovascular: ictus o AIT
• EAP sintomática
• Aneurisma de aorta abdominal
CSC > 300
EVA evidente por técnicas de imagen, es decir, presencia de placa de ateroma significativa:
• Mediante coronariografía invasiva o angio-TAC coronaria (obstrucción > 50% en al menos una arteria epicárdica)
• Mediante ecografía carotídea o femoral (estenosis > 50%)
AF: antecedentes familiares; AIT: ataque isquémico transitorio; Apo B: apolipoproteína B; AR: artritis reumatoide; cLDL: colesterol unido a lipoproteínas de baja densidad; CSC: calcio score coronario; CV: cardiovascular; DM: diabetes mellitus; DM1: diabetes mellitus de tipo 1; DM2: diabetes mellitus de tipo 2; EAP: enfermedad arterial periférica; EPOC: enfermedad pulmonar obstructiva crónica; ERC: enfermedad renal crónica; EVA: enfermedad vascular aterosclerótica; EVS: enfermedad vascular subclínica; FRV: factores de riesgo vascular; HF: hipercolesterolemia familiar; HTA: hipertensión arterial; IC: insuficiencia cardiaca; LOD: lesión de órgano diana; Lp(a): lipoproteína(a); RV: riesgo vascular; SAHOS: síndrome de apnea-hipopnea obstructiva del sueño; SCA: síndrome coronario agudo; SCORE2: Systematic Coronary Risk Estimation 2; SM: síndrome metabólico; TAC: tomografía computarizada; TG: triglicéridos; VIH: virus de la inmunodeficiencia humana
El cálculo general del RV debe realizarse mediante una valoración global del paciente que no incluya exclusivamente el valor del riesgo calculado con SCORE2, sino que integre factores modificadores del riesgo, datos de LOD y la presencia de EVA (tabla 7)7,14,21.
Se aconseja seguir la estrategia de las guías europeas de prevención cardiovascular y de control de dislipemia, así como las de HTA, que clasifican a los sujetos en 4 categorías de riesgo: bajo, moderado, alto y muy alto.
Hay situaciones que cualifican directamente a un riesgo alto o muy alto: HTA de grado 3, hipercolesterolemia con cLDL> 190mg/dL, DM, LOD, ERC estadio 3 o mayor, o EVA establecida. En el resto de las situaciones utilizaremos el sistema SCORE2 con los puntos de corte indicados en el apartado anterior. La presencia de varios modificadores de riesgo supone incrementar una categoría de riesgo en caso de valores próximos a una categoría superior. El incremento del riesgo depende del número y la intensidad de los factores moduladores. En general, se precisa de varios de ellos o de una extrema gravedad de estos para elevar la categoría de riesgo al mismo nivel que lo hacen la presencia de enfermedad vascular subclínica (EVS) o LOD (tabla 5)81.
Edad vascular y velocidad de envejecimientoEn los adultos jóvenes con elevación importante de múltiples FRV se puede calcular la edad vascular (fig. 3)82. Comunicar al paciente este dato suyo es una forma de transmitir la información de su estado de RV que se puede entender mejor que el valor matemático del riesgo absoluto. Las personas deben ser conscientes de su estado de riesgo para que adopten las medidas terapéuticas de estilos de vida y, si es el caso, farmacológicas.
Tabla de la edad vascular según Systematic Coronary Risk Estimation 2 (SCORE2) para países de bajo riesgo cardiovascular82.
Reproducido con permiso de Oxford University Press.
Mediante la tabla de edad vascular derivada del SCORE2 se puede informar del riesgo absoluto y de la edad vascular. El cálculo de esta última no requiere calibración, por lo que puede ser aplicado a cualquier población general, no existiendo diferencias territoriales.
La edad vascular se puede emplear a cualquier edad y tiene más utilidad clínica para sujetos con un riesgo absoluto a corto plazo no elevado, especialmente los adultos de menor edad. La consideración exclusiva del riesgo absoluto puede conducir a infravalorar los FRV controlables con importantes efectos en el riesgo a lo largo de la vida.
Derivada del concepto de edad vascular está la velocidad de envejecimiento vascular83, que relaciona la edad vascular y la cronológica.
Riesgo vascular en pacientes con hipercolesterolemia familiarPara pacientes con HF, que no aplican para las tablas habituales de cálculo del RV, se han creado varias herramientas específicas. Una de ellas está basada en los datos de seguimiento de la cohorte española Spanish Familial Hypercholesterolemia Cohort Study (SAFEHEART)84. Esta ecuación tiene en cuenta diversos factores como la edad, el tabaquismo, los niveles de cLDL en tratamiento, el IMC, la PA y los niveles de Lp(a), y permite matizar el riesgo en esta población. El registro de la SEA aporta otro instrumento de estratificación del RV en pacientes con HF en tratamiento con estatinas basado en la presencia de otros FRV (sexo masculino, obesidad, HTA, DM), niveles máximos de cLDL y test genético positivo para HF85. Por último, en pacientes con fenotipo de HF, se ha desarrollado una herramienta para el cálculo de riesgo: el Catalan Primary Care System Database-Familial Hypercholesterolemia Phenotype (SIDIAP-FHP), con mejor capacidad predictiva tanto en prevención primaria como en secundaria86.
Riesgo vascular según los niveles de lipoproteína(a)La Lp(a) es una partícula de LDL unida a la apolipoproteína(a), lo que le confiere una aterogenicidad aumentada. Diversos estudios han demostrado una relación positiva y continua entre los niveles de Lp(a) y el riesgo de complicaciones vasculares y estenosis aórtica. Según se recoge en el Consenso sobre lipoproteína(a) de la SEA17, se puede establecer la tabla 8 de corrección del riesgo cardiovascular según los niveles de Lp(a), multiplicando el riesgo obtenido mediante las tablas del SCORE2 por dicho coeficiente.
Coeficiente de corrección del riesgo vascular (RV) en función de la concentración de lipoproteína(a)17. Calculado a partir de los cambios de RV estimados en el UK Biobank para caucásicos con las escalas de RV británicas de riesgo «a lo largo de la vida»
| Estimación del RV estimado con ajuste por niveles de Lp(a) | |||
|---|---|---|---|
| Lp(a) | Coeficiente de corrección del RV estimado | Exceso de riesgo por niveles de Lp(a) | |
| mg/dL | nmol/L | ||
| 25 | 50 | 1,16 | Ninguno o leve |
| 37,5 | 75 | 1,24 | |
| 50 | 100 | 1,34 | Moderado |
| 75 | 150 | 1,54 | |
| 100 | 200 | 1,78 | Alto |
| 125 | 250 | 2,05 | |
| 150 | 300 | 2,36 | |
| 175 | 350 | 2,73 | |
| > 200 | > 400 | > 3 | Muy alto |
Lp(a): lipoproteína(a).
El Grupo de Trabajo de Nutrición y Estilo de Vida de la SEA dispone de un documento de consenso87 que actualiza al del año 2018, que aporta evidencias útiles y jerarquizadas, que sirven de herramienta a los profesionales de la salud para ayudar a sus pacientes, partiendo del concepto de que las recomendaciones saludables deben ser las mismas para el control de cualquier FRV y para la prevención primaria y secundaria de la EVA. En él se resume la evidencia acumulada sobre componentes del estilo de vida como la dieta87. Además, se hace un especial hincapié, no en el consumo de nutrientes aislados, sino en el de alimentos y, sobre todo, en los patrones alimentarios más importantes para la prevención vascular. Este concepto de patrón alimentario se ha afianzado en los últimos años como modelo para examinar la relación entre nutrición y salud, y para servir de herramienta educativa para la población, modificando el paradigma tradicional de que la unidad nutricional básica de la dieta no son los nutrientes (p. ej., los ácidos grasos), sino los alimentos que los contienen (aceites, frutos secos, carnes rojas, productos lácteos, etc.), ya que en sus matrices existen multitud de componentes capaces de interaccionar sinérgicamente o de modo antagónico sobre vías metabólicas determinantes para la salud vascular.
En esta guía se recopilan las principales recomendaciones de los referidos documentos87,88. Las diferentes dietas saludables tienen muchos componentes en común, algunos de ellos recomendables, como las frutas, las verduras, los frutos secos, las legumbres y el pescado, mientras que otros se deben restringir, como algunos alimentos ricos en grasa saturada, los que tienen azúcar añadido, abundante sal o han sido procesados. Hay una fuerte evidencia de que los patrones alimentarios de base vegetal, bajos en ácidos grasos saturados, colesterol y Na, con un alto contenido en fibra, K y ácidos grasos insaturados, son beneficiosos y reducen la expresión de los FRV. En este contexto destacan la dieta mediterránea, la dieta Dietary Approaches to Stop Hypertension (DASH), la dieta vegano-vegetariana y la dieta MIND, todas de base vegetal y con abundantes hidratos de carbono complejos. Los datos de grandes estudios de cohortes y, en el caso de la dieta mediterránea, el estudio clínico aleatorizado PREDIMED, indican que la adherencia a estos patrones de alimentación confiere un claro beneficio vascular89. Por el contrario, la dieta baja en grasas está actualmente en entredicho por su escaso potencial de protección vascular. Con relación a las grasas comestibles, el aceite de oliva virgen es la grasa culinaria más eficaz en la prevención de la EVA90. La intervención nutricional durante unos cinco años en el estudio PREDIMED, demostró que los participantes asignados a la dieta mediterránea suplementada con aceite de oliva virgen extra o con frutos secos experimentaron una reducción media de 30% de episodios vasculares mayores89, aparte de otros efectos beneficiosos, entre ellos la reducción del riesgo de DM2 y de FA91.
En el año 2022, se publicaron los resultados del estudio CordioPrev92, un ensayo clínico aleatorizado que incluyó 1.002 pacientes con EC establecida, que recibieron una intervención dietética con dieta mediterránea rica en aceite de oliva virgen frente a una dieta baja en grasa rica en hidratos de carbono complejos, durante siete años. El evento cardiovascular adverso mayor del estudio se produjo en 198 participantes, 87 en el brazo de la dieta mediterránea (17,3%) y 111 en el de la dieta baja en grasas (22,2%), lo que supuso una disminución de la tasa de eventos del 26% en los participantes que siguieron la dieta mediterránea (Hazard Ratio [HR] de los diferentes modelos de 0,719 –intervalo de confianza del 95%: 0,541-0,957– a 0,753 –0,568-0,998–). Estos efectos fueron más evidentes en los hombres, donde la diferencia entre dietas fue del 33% en favor de la dieta mediterránea. Los resultados son relevantes para la práctica clínica, apoyando el beneficio de la dieta mediterránea para prevenir la recurrencia de la EVA y complementando los resultados del estudio PREDIMED, realizado en pacientes en prevención primaria.
En relación con el consumo de los grandes grupos de alimentos, destaca que la ingesta de pescado o marisco al menos tres veces por semana, dos de ellas en forma de pescado azul, reduce el RV. Por ello, incentivar su consumo es un importante componente de las modificaciones del estilo de vida para la prevención de la EVA y especialmente interesante cuando sustituye a la carne como plato principal en las comidas. Aun así, por su riqueza en contaminantes marinos, los niños y mujeres en edad fértil no deben consumir pescado graso de gran tamaño (atún rojo, pez espada, tiburón) o la caballa, porque contienen más contaminantes que las especies más pequeñas. Las evidencias sobre las carnes indican que el consumo de carne blanca o carne magra (sin grasa visible), tres a cuatro raciones por semana, no incrementa el RV, a diferencia del consumo de carnes procesadas (tocino, salchichas, embutidos), que contienen aditivos perjudiciales, como sal y nitratos, que aumenta la mortalidad total y el riesgo de desarrollo de DM2 y EVA. Sin embargo, en los últimos años se está planteando la necesidad de transformar el sistema alimentario, adoptando un nuevo modelo que sea saludable para la población humana y también para el propio planeta. Las carnes rojas y sus derivados son una fuente muy importante de calentamiento global, de sobreutilización de la tierra y de consumo de agua. Del mismo modo, los ultraprocesados, cárnicos o no, y la gran mayoría de los precocinados, contienen productos como azúcares añadidos o grasas trans y deben estar alejados de nuestra dieta. Por ello, deben evitarse y aumentar el consumo de alimentos ricos en proteínas vegetales frente a los de proteína animal93.
Con relación a los lácteos, es deseable consumir al menos dos raciones diarias (leche, leche fermentada, queso, yogur, etc.), por su importante papel nutricional en el metabolismo del Ca y por su riqueza en proteínas de alta calidad biológica. Se desaconseja el consumo habitual de lácteos con azúcares añadidos y en caso de sobrepeso u obesidad con el objeto de reducir la ingesta calórica, es preferible elegir el consumo de lácteos desnatados. Para la prevención vascular es recomendable reducir el consumo de grasa láctea concentrada, como la mantequilla y la nata. Los huevos contienen ovoalbúmina (una proteína de alto valor biológico), minerales, vitaminas y antioxidantes como la luteína y la zeaxantina, y aunque es un alimento rico en colesterol, la evidencia científica actual sugiere que su consumo no es perjudicial en el contexto de una dieta saludable94. Tanto la población general sana como las personas con FRV o EVA previa pueden consumir hasta un huevo al día sin temor por su salud cardiometabólica87. En individuos con DM2, en estudios observacionales, aparece un incremento del RV con el consumo de huevos, pero los ensayos clínicos no demuestran ningún efecto adverso; un análisis agregado de cohortes norteamericanas muestra una relación directa entre el consumo de huevos y el riesgo de DM2, asociación que no aparece en otras cohortes europeas y asiáticas95, lo que plantea la posible influencia del patrón alimentario y de las formas culinarias de preparación de los huevos o los alimentos que los acompañan.
Las legumbres y cereales de grano completo son semillas que contienen múltiples nutrientes saludables y su consumo frecuente se asocia con reducción de los FRV y de la EVA. Para promover la salud vascular y disminuir la colesterolemia se recomienda un consumo de legumbres de un mínimo de dos raciones semanales (200g) y, a ser posible, cuatro raciones por semana87. El consumo recomendado de cereales es de unas cuatro raciones/día, incluyendo pan en todas las comidas del día, pasta dos a tres veces/semana y arroz dos a tres veces/semana. Se aconseja consumir pan integral, pero en la dieta mediterránea se suele consumir pan blanco y raramente se usan el arroz o la pasta integrales; sin embargo, no consumimos los cereales refinados de forma aislada, sino con otros alimentos (el pan), en platos con verduras y hortalizas, o mezclados con sofrito, lo que mejora su palatabilidad y reduce su índice glucémico87.
En cuanto al consumo de frutas y verduras, con las evidencias existentes se recomienda el consumo de cuatro a cinco raciones diarias entre frutas y verduras, dado que reduce la mortalidad global y vascular. El consumo de tubérculos (sobre todo, patatas) no se asocia con un aumento del RV excepto si son fritas en aceites no recomendables y saladas. El consumo frecuente de frutos secos se asocia con la reducción de EVA, sobre todo EC, y de mortalidad por cualquier causa89. Consumir con frecuencia (a diario o al menos tres veces por semana) un puñado de frutos secos (equivalente a una ración de 30g) es muy recomendable para el control del colesterol y la salud en general. Se aconseja consumirlos crudos y sin pelar (no tostados ni salados) si es factible, ya que la mayor parte de los antioxidantes están en la piel. Para mantener el efecto saciante y evitar ganar peso, deben consumirse durante el día, no como postre. Entre los frutos secos que se recomienda consumir se incluyen las avellanas, nueces, almendras, pistachos, anacardos, macadamias, piñones, etc. Si bien los cacahuetes no son realmente frutos de un árbol, sino legumbres, su composición general y alto contenido en ácidos grasos insaturados los asimila a los frutos secos tanto desde el punto de vista nutricional como por sus efectos biológicos.
El cacao es una semilla con abundantes nutrientes y el consumo de su principal derivado, el chocolate, mejora los FRV y se asocia con reducción de la EVA y la DM2. Hay información que indica que tiene efectos hipocolesterolemiantes y antihipertensivos, reduciendo la resistencia a la insulina, de forma que puede consumirse chocolate negro ≥ 70% sin azúcar añadido, en el contexto de una dieta saludable. Además, se aconseja hacerlo durante el día y no por la noche después de cenar, cuando el efecto saciante no se puede compensar ingiriendo menos alimentos en la comida siguiente.
Las bebidas azucaradas forman parte de la dieta habitual de muchas personas y pueden suponer hasta un 20% del consumo calórico diario, favoreciendo un aumento de EVA, de obesidad y de DM2. La sustitución de este tipo de bebidas por agua sería muy importante para reducir el consumo energético y el riesgo de estas patologías y sus complicaciones. Las últimas evidencias sugieren un incremento de la mortalidad cardiovascular y por cualquier causa, y del riesgo de ictus, EC y DM2 con un mayor consumo de refrescos edulcorados artificialmente, por lo que no resulta adecuado recomendarlos como sustitutos de las bebidas azucaradas96.
El consumo de bebidas alcohólicas y el RV es un tema controvertido, por lo que no se debe promover su consumo en las personas que habitualmente no lo hacen. Se puede permitir su consumo moderado siempre con las comidas y en el marco de una dieta saludable como la dieta mediterránea, siendo diferentes las recomendaciones para hombres y mujeres, ya que estas son más sensibles a los efectos del alcohol. El café (tanto el normal como el descafeinado) y el té son ricos en polifenoles y hay evidencias de alto nivel de que su consumo habitual se asocia con reducción de RV y de desarrollar DM2. Existen numerosos alimentos funcionales y nutracéuticos dirigidos a reducir el RV, principalmente por reducción de la colesterolemia. Desde la SEA se ha elaborado un documento de posicionamiento sobre su utilidad, identificando los siguientes escenarios clínicos en los que se podrían utilizar estos productos97:
- •
Tratamiento hipolipemiante en sujetos con intolerancia a estatinas.
- •
Tratamiento hipolipemiante «a la carta» en personas en prevención primaria.
- •
Prevención vascular a largo plazo en personas sin indicación de tratamiento hipolipemiante.
- •
Pacientes con tratamiento hipolipemiante optimizado que no alcanzan los objetivos terapéuticos.
La SEA subraya que no se dispone de estudios de morbimortalidad vascular con nutracéuticos o con alimentos funcionales, y que hay pocos datos de seguridad a largo plazo o son limitados. Ambos aspectos deben ser discutidos con el paciente antes de proceder a recomendar su uso. Se debe tener en cuenta que recientemente la Comisión Europea, mediante el Reglamento (UE) 2024/2041 de 29 de julio de 2024, ha eliminado la monacolina K del arroz de levadura roja de la lista de declaraciones saludables por motivos de seguridad.
El consumo excesivo de sal se asocia con EVA y mortalidad de causa cardiometabólica. Debe recomendarse una dieta baja en sal (< 5g/día) a nivel poblacional y con mayor justificación en pacientes hipertensos y sus familiares, recordando que para calcular la cantidad de sal total hay que multiplicar por 2,5 el contenido de Na de los alimentos. Medidas especialmente eficaces para este fin son limitar el consumo de alimentos ricos en sal, como precocinados, enlatados, salazones, embutidos y bebidas carbónicas. Una alternativa a la sal es utilizar zumo de limón, ajo o hierbas aromáticas.
Es razonable pensar, y así lo muestran evidencias recientes, que no existe un modelo estándar de dieta saludable, sino que la respuesta biológica varía entre las personas, especialmente por diferencias individuales en el genoma y en el microbioma. En los próximos años, la nutrición personalizada y de precisión, junto con otras ciencias como la cronobiología, en la que cada uno adopte la dieta que le sea personalmente más beneficiosa, serán un reto de la comunidad científica. Finalmente, uno de los problemas más complejos de la relación entre las personas y su dieta es la adherencia, que depende de factores muy diferentes, como los propios del paciente, la familia, el equipo de salud que le acompaña y el propio sistema sanitario. Por ello, es fundamental poner en marcha las estrategias para conseguirlo.
La tabla 9, recogida del documento de actualización de dieta y prevención cardiovascular de la SEA de 202487, incluye de forma práctica la frecuencia en la forma y en la cantidad de consumo de alimentos. Una manera de evaluar la adherencia a la dieta mediterránea se puede obtener utilizando el cuestionario MEDAS (Anexos).
Frecuencia deseable en la forma y la cantidad de consumo de alimentos87
| Frecuencia de consumo | Diario | 3 veces por semana máximo | Desaconsejado u ocasional |
|---|---|---|---|
| Grasas comestibles | Aceite de oliva virgen | Margarina para untar | Freír con aceites de semillas, margarina o mantequilla |
| Cereales | Pan, de preferencia integral. Pasta, arroz, maíz, otros | Bollería, repostería, galletas, etc. | |
| Frutas y verduras | 5 raciones combinando los distintos tipos de frutas y verduras, incluyendo zumos naturales (sin azúcar) | Jugos de fruta comercialesFruta en almíbar | |
| Legumbres | Alubias, garbanzos, lentejas, etc., cocidas | Cocinadas con grasas de tipo chorizo, beicon, etc. | |
| Tubérculos | Patatas y boniato, cocidos con verduras | Patatas fritas comerciales | |
| Frutos secos y cacahuetes | Crudos o tostados (30 a 45 g) | Salados | |
| Huevos | No se desaconsejan los huevos enteros | ||
| Pescado y mariscoa | Azul o blancoMarisco (crustáceos y moluscos)Conservas al natural o en aceite de oliva | Conservas en aceites vegetales | Frituras comerciales, salazones, ahumados |
| Carnesb | Volatería y conejo | Carnes rojas magras | Carnes procesadas, embutidos |
| Productos lácteos | Leche y yogur enteros o desnatados (sin azúcar)Quesos de cualquier tipo | Mantequilla, nata | Quesos curados en pacientes hipertensos |
| Chocolate | Negro con cacao ≥ 70% | Negro con cacao <70% | Chocolate con leche y blanco |
| Café y té | Té sin limitación y café hasta 5 diarios, sin azúcar ni edulcorantes artificiales | ||
| Bebidas azucaradas o con edulcorantes artificiales | Evitar | ||
| Bebidas alcohólicas | Limitar a 30g de alcohol en hombres bebedores y 15g en mujeres. Preferentemente bebidas fermentadas (vino, cerveza) con las comidas | No bebedores | |
| Sal | Entre 2,5 y 4g diarios | Salazones | |
| Preparación de los alimentosc | Preferiblemente cocidos, a la plancha o rehogados | Fritos en aceite de oliva virgen | Evitar ahumados, procesados y fritos con aceites de semillas |
La actividad física es, según la Organización Mundial de la Salud (OMS), cualquier movimiento corporal producido por los músculos esqueléticos y que exija gasto de energía. Cuando se realiza de forma regular y mantenida, protege del RV y mejora sus FRV. Su práctica debe adaptarse a las particularidades propias de cada individuo, partiendo del principio de que poco es mejor que nada y considerando que abarca actividades como las que se realizan durante el trabajo, las formas de transporte activas, las tareas domésticas o las recreativas. A su vez, el ejercicio físico es una variedad de la actividad física pero que se realiza de forma planificada, estructurada, repetitiva y con un objetivo relacionado con la mejora o el mantenimiento de la aptitud física. Ambos se deben hacer de forma pausada y moderada, más que intensa y concentrada.
Recomendaciones farmacológicas generales en pacientes en prevención primariaLas recomendaciones de manejo clínico del RV en pacientes sin EVA, DM ni ERC se recogen en la figura 4.
Recomendaciones de manejo clínico del riesgo vascular en pacientes sin enfermedad vascular establecida, diabetes mellitus (DM) ni insuficiencia renal crónica (ERC).
ECV: enfermedad cardiovascular; FA: fibrilación auricular; HTA: hipertensión arterial; PA: presión arterial; RV: riesgo vascular; SM: síndrome metabólico.
Se ha demostrado que el tratamiento con dosis bajas de ácido acetilsalicílico (AAS) reduce el riesgo de complicaciones vasculares, principalmente en personas de mediana edad, a expensas de la reducción de los infartos de miocardio no fatales, sin afectar al riesgo de ictus, ni a la mortalidad. Sin embargo, parte del beneficio del AAS es contrarrestado por sus efectos adversos, sobre todo los relacionados con su potencial hemorrágico, de ahí que el balance de riesgos y beneficios de las dosis bajas de AAS no estén claramente establecidos en prevención primaria. Las guías norteamericanas de la U.S. Preventive Service Task Force (USPSTF)98 recomiendan iniciar el uso de AAS a dosis bajas (≤ 100mg/día) para la prevención primaria de la EVA en adultos de 50 a 59 años que tengan un riesgo de morbimortalidad vascular mayor o igual al 10% a 10 años, que no tengan aumentado el riesgo de hemorragia, tengan una expectativa de vida de al menos 10 años y estén dispuestos a tomar este tratamiento diariamente durante al menos 10 años. La decisión de iniciar tratamiento en adultos de entre 60 y 69 años con un RV mayor o igual a 10% a 10 años debe ser individualizada98.
Sin embargo, las guías europeas para la prevención cardiovascular de 2021 no recomiendan sistemáticamente el tratamiento antiagregante para pacientes sin EVA debido al aumento del riesgo de sangrado14. En este sentido, recientemente se han publicado varios ensayos clínicos con AAS en prevención primaria, en pacientes con y sin DM, no encontrando un beneficio en su utilización en la prevención primaria de la EVA99–101, en especial cuando se controlan adecuadamente los FRV presentes.
Tratamiento hipolipemianteEn numerosos ensayos clínicos y metaanálisis102, las estatinas han demostrado reducir los episodios vasculares en pacientes sin EVA, incluso con concentraciones no elevadas de colesterol. La reducción del riesgo relativo de EVA es independiente del RV basal, siendo de aproximadamente un 22% por cada mmol/L de reducción del cLDL. Sin embargo, para que el tratamiento sea eficiente, es importante seleccionar a los pacientes con un alto RV basal para que la reducción absoluta del RV sea mayor. Otros fármacos como ezetimiba, inhibidores de proproteína convertasa de proteínas subtilisina/kexina 9 (iPCSK9) o ácido bempedoico han demostrado reducir los eventos vasculares de modo equivalente a las estatinas en proporción con su potencia hipolipemiante.
Las indicaciones de tratamiento hipolipemiante en prevención primaria se exponen en el capítulo correspondiente (recomendaciones terapéuticas en pacientes con dislipemia, en el apartado «Recomendaciones terapéuticas específicas»).
Suplementos vitamínicosMuchos estudios observacionales prospectivos de casos y controles han descrito asociaciones inversas entre la ingesta o las concentraciones séricas de vitaminas (A, grupo B, C, D y E) y el riesgo de EVA. Sin embargo, los datos de estudios prospectivos y los ensayos clínicos de intervención con suplementos vitamínicos y minerales no han demostrado ningún beneficio vascular103. Por lo tanto, no está indicado el empleo de suplementos vitamínicos para la prevención de la EVA.
Recomendaciones generales en pacientes con enfermedad vascular subclínica y en prevención secundariaPrevención primaria en pacientes con aterosclerosis detectada por las técnicas de imagenLa imagen en aterosclerosis ha puesto de manifiesto que el RV es un continuo y que no solo debemos guiarnos por la presencia o la ausencia de eventos. Algunas lesiones ateroscleróticas implican un riesgo similar al de la enfermedad vascular establecida. Por ello, los objetivos de cLDL y de PA deben adaptarse al riesgo individual, definido por parámetros clínicos y de imagen (cuando estén disponibles), según lo descrito en el apartado de modificadores del riesgo por imagen en aterosclerosis. En resumen, existen marcadores de imagen que permiten reestratificar el riesgo en los pacientes de riesgo intermedio o incluso incrementar el riesgo directamente a muy alto, recomendando un manejo con hipolipemiantes con objetivos similares a los de prevención secundaria.
La presencia de un CSC entre 100 y 299 o mayor del percentil 75, así como una alta carga de placa en la angio-TAC o la ecografía vascular, podría incrementar el riesgo estimado mediante el SCORE2. Del mismo modo, un CSC> 300, la presencia de estenosis significativa en las arterias epicárdicas por imagen invasiva o en la angio-TAC, o la presencia de una estenosis carotídea> 50% permitirían considerar a estos sujetos como de muy alto riesgo. En todas estas situaciones habría que alcanzar objetivos de cLDL en consecuencia con su nivel de riesgo.
El CSC también ayudaría a identificar a los pacientes que se beneficiarían de iniciar tratamiento antihipertensivo, aun en niveles de «presión elevada» sin hipertensión, si su RV global se reclasificara como alto8. Incluso pacientes con un CSC> 220 se beneficiarían potencialmente de intensificar los objetivos de control, hasta 120/70mmHg según la estrategia SPRINT104.
Respecto a la indicación de antiagregación, encontrar una carga de placa alta o muy alta (CSC> 300), lesiones de características adversas o estenosis significativa (coronaria o vascular periférica) podría llevar a recomendar AAS, por ser equivalentes de muy alto riesgo. La indicación de AAS fuera de estos supuestos se ha evaluado sobre todo para el CSC, encontrando un potencial beneficio frente al riesgo de sangrado cuando se indica en un CSC> 100, pero sobre todo cuando es> 300105. Existe interés en identificar el umbral de Ca coronario a partir del cual el beneficio de antiagregar supere los riesgos del sangrado, por lo que es predecible que se realicen ensayos clínicos al respecto106,107.
La utilización de antiagregantes en pacientes con EVS cuenta con escasa evidencia que la soporte. En sujetos con ITB bajo, pero sin claudicación intermitente, el tratamiento con antiagregantes no ha demostrado ser eficaz108.
La evidencia es también muy limitada en sujetos con estenosis carotídea asintomática> 50%, si bien la European Society of Vascular Surgery (ESVS) recomienda el uso de AAS a dosis de 75-325mg o, en caso de intolerancia, clopidogrel, con el objetivo de reducir la tasa de complicaciones coronarias o complicaciones en otros lechos vasculares109.
Algunos ensayos clínicos con diferentes tratamientos preventivos han incluido a sujetos asintomáticos que presentaban arteriosclerosis confirmada por imagen, lo cual abre la puerta a la posible utilidad de otras terapias en estas circunstancias, como el estudio LoDoCo2 con colchicina110 o el estudio REDUCE-IT con icosapento de etilo (IPE)111.
Es importante resaltar que la detección de cualquier grado de aterosclerosis, aunque sea leve, siempre debe ir asociada a recomendaciones sobre hábitos de vida, en las que se revise el tabaquismo, la dieta, la actividad física y la calidad del sueño, entre otros.
Conviene destacar que la progresión de la aterosclerosis, objetivada por imagen, implica un riesgo muy alto de complicaciones vasculares112 y, si lo hace a pesar de un tratamiento óptimo o si existe afectación vascular significativa en varios territorios, indica un riesgo extremo. Aunque la evidencia aún es limitada para estas definiciones, son casos en los que se podrían plantear objetivos de cLDL más exigentes (< 40mg/dL) y, además, incidir en la búsqueda de otros posibles FRV no convencionales en ese individuo que requieran una intervención específica.
La mayoría de las recomendaciones actuales, respaldadas por las guías, se basan principalmente en estudios de cohortes de población observacionales que muestran el riesgo clínico asociado con la aterosclerosis. Existen algunos ensayos clínicos en curso para demostrar la eficacia y coste-efectividad de estrategias basadas en la imagen, los cuales permitirían identificar a la población con mayor beneficio potencial, haciendo los estudios más eficientes y económicos. Usar estrategias de reestratificación con imagen facilitaría demostrar la potencial reducción de eventos con un número menor de pacientes y en un menor tiempo, superando una de las principales barreras que ha limitado la realización de ensayos aleatorizados en estrategias de prevención poblacional113,114.
Prevención secundariaEn los pacientes en prevención secundaria, además de las medidas higiénico-dietéticas previamente comentadas (véase el apartado «Recomendaciones generales a la población para reducir su riesgo vascular») y de los tratamientos indicados para el control de los FRV, existen una serie de tratamientos que han demostrado reducir el riesgo de nuevos episodios vasculares (tabla 10)115–117.
Medidas farmacológicas que han demostrado reducir la tasa de complicaciones vasculares ateroscleróticas en sujetos en prevención secundaria
| Tratamiento | Indicaciones potenciales |
|---|---|
| Antiagregantes | AAS a dosis bajas o clopidogrel en pacientes con enfermedad coronaria, cerebrovascular o arterial periférica sintomáticaAAS más clopidogrel tras un AIT o ictus leve115,116AAS y dipiridamol en sujetos con ictus o AIT previosAAS más un iP2Y12 en sujetos con SCA o con colocación de stent, mantenido al menos 12 meses |
| Hipolipemiantes | Estatinas asociadas o no a ezetimiba o ácido bempedoico para reducir el cLDL al menos un 50% y por debajo de 55 mg/dL. iPCSK9 si no se consiguen las reducciones adecuadas con el tratamiento hipolipemiante previo y de acuerdo con los criterios de la Tabla 13 (véase más adelante)Ezetimiba y ácido bempedoico, en pacientes con intolerancia a las estatinas y en aquellos en los que no se alcancen objetivos con otras terapias hipocolesterolemiantesIPE purificado 4 g/día en hipertrigliceridemias> 150 mg/dL que persisten a pesar del tratamiento con estatinas en pacientes de alto RV117. Su efecto protector es independiente de su efecto sobre los TG |
AAS: ácido acetilsalicílico; AIT: ataque isquémico transitorio; cLDL: colesterol unido a lipoproteínas de baja densidad; IPE: icosapento de etilo; iP2Y12: inhibidor del quimiorreceptor para adenosín difosfato; iPCSK9: inhibidor de la convertasa de proteínas subtilisina/kexina 9; RV: riesgo vascular; SCA: síndrome coronario agudo; TG: triglicéridos
El AAS es el antiagregante plaquetario más estudiado en la prevención vascular a largo plazo en pacientes con infarto agudo de miocardio, ictus isquémico o EAP sintomática. En un metaanálisis de 16 estudios clínicos con más de 17.000 pacientes, el tratamiento con AAS redujo significativamente los episodios vasculares graves (coronarios y cerebrovasculares) y la mortalidad total118. Asimismo, el tratamiento con AAS se asoció con un exceso significativo de sangrados graves y desarrollo de anemia, incluso sin sangrado aparente; no obstante, los beneficios vasculares del AAS superaron claramente el riesgo de sangrado.
El clopidogrel tiene un efecto similar al AAS en pacientes con infarto de miocardio o ictus isquémico, pero puede ser superior a este en sujetos con EAP sintomática. La asociación de AAS y clopidogrel en prevención secundaria disminuye significativamente los episodios cardiovasculares graves en comparación con el AAS en monoterapia, pero con un incremento significativo del riesgo de sangrado.
En pacientes con ictus isquémico no cardioembólico o ataque isquémico transitorio (AIT), el AAS se puede usar en monoterapia o asociado a dipiridamol, y también se puede utilizar el clopidogrel en monoterapia. En pacientes con un AIT o ictus menor, el beneficio del doble tratamiento antiagregante durante un máximo de 90 días supera los riesgos de aumento de sangrado115,116. La protección ocurre durante los primeros 21 días, por lo que este es el intervalo más recomendable para el doble tratamiento119.
El tratamiento estándar para un paciente que ha sufrido un síndrome coronario agudo (SCA), con o sin la colocación de stents, es la doble antiagregación plaquetaria (AAS con un inhibidor de quimiorreceptor para adenosín difosfato [iP2Y12]) durante 12 meses. En pacientes con alto riesgo de sangrado, el tiempo con la doble antiagregación se puede acortar hasta uno a tres meses.
HipolipemiantesNumerosos ensayos clínicos y metaanálisis102 han demostrado que el tratamiento con fármacos hipolipemiantes (resinas, estatinas, ezetimiba, iPCSK9, ácido bempedoico, ácido icosapentaenoico) en pacientes con EVA establecida disminuye los episodios vasculares graves y la mortalidad (ver capítulo de tratamiento de la dislipemia véase el apartado «Paciente con dislipemia»).
Los pacientes con EC multivaso (especialmente si no es revascularizable) o con afectación de múltiples lechos arteriales tienen un riesgo de complicaciones vasculares especialmente elevado, por lo que puede considerarse un tratamiento hipolipemiante más intensivo (p. ej., objetivo de cLDL <40mg/dL)120.
Otros fármacosSi bien diferentes fármacos han demostrado reducir la tasa de complicaciones vasculares en pacientes en prevención secundaria, se revisan aquí aquellos que presumiblemente la reducen a través de acciones sobre la placa de ateroma. En pacientes en prevención secundaria o con DM de alto riesgo en tratamiento con estatinas (cLDL medio de 75mg/dL y TG entre 150 y 499mg/dL), el tratamiento con 4g de IPE redujo en un 25% el riesgo de episodios vasculares graves117 probablemente de forma independiente a su acción hipotrigliceridemiante. Este fármaco ha demostrado también reducir la progresión de la placa de ateroma en pacientes con hipertrigliceridemia tratados con estatinas121.
La utilización en un mismo comprimido de AAS, una estatina y un inhibidor de la enzima convertidora de la angiotensina (IECA) facilita la adherencia al tratamiento en pacientes en prevención secundaria122 y ha demostrado reducir la tasa de complicaciones vasculares con respecto al tratamiento estándar de la enfermedad123.
Por último, intervenciones específicas sobre la inflamación han demostrado también reducir el número de complicaciones vasculares. El uso de un anticuerpo monoclonal anti-interleucina-1β (anti-IL-1β), canakinumab, redujo significativamente la tasa de recurrencia de EVA, mostrando beneficio pese al incremento de infecciones graves y fatales124.
Diversos ensayos clínicos y metaanálisis han demostrado que la colchicina a dosis bajas (0,5mg diarios) reduce de manera significativa la incidencia de eventos cardiovasculares mayores, sin reducir la mortalidad cardiovascular o la mortalidad total125. Por lo tanto, se puede considerar su utilización en la prevención secundaria de la EC ateroesclerótica para prevenir nuevos eventos126.
Recomendaciones terapéuticas específicasPaciente con dislipemiaPaciente con hipercolesterolemiaLa dieta de tipo Mediterráneo, rica en productos vegetales y pobre en grasas de origen animal es recomendable para la prevención cardiovascular en la población general y muy en especial para prevenirla en pacientes con hipercolesterolemia, tal y como recogen las recomendaciones sobre alimentación de la SEA (véase el apartado de recomendaciones dietéticas véanse las recomendaciones dietéticas en el apartado «Recomendaciones generales a la población para reducir su riesgo vascular»).
Además de la dieta, la indicación para iniciar tratamiento hipolipemiante se basa tanto en la concentración de cLDL como en el RV basal15. Dicho tratamiento debe dirigirse a alcanzar los objetivos de cLDL indicados en los siguientes apartados. Para alcanzar dichos objetivos, en la mayoría de las ocasiones se precisa utilizar combinaciones de fármacos, por lo que se hace énfasis en el uso de terapias hipolipemiantes de alta intensidad, en las que las estatinas deben estar incluidas según la tabla 11127.
Terapias hipolipemiantes, en monoterapia o combinación, según su intensidad hipocolesterolemiante
| Terapias hipolipemiantes | ||||||||||
|---|---|---|---|---|---|---|---|---|---|---|
| Terapia hipolipemiante de BAJA INTENSIDADReducción de cLDL ≤ 30% | Terapia hipolipemiante de MODERADA INTENSIDADReducción de cLDL> 30% y ≤ 50% | Terapia hipolipemiante de ALTA INTENSIDADReducción de cLDL> 50% y ≤ 60% | Terapia hipolipemiante de MUY ALTA INTENSIDADReducción de cLDL> 60% y ≤ 80% | Terapia hipolipemiante de MÁXIMA INTENSIDADReducción de cLDL> 80% | ||||||
| % reducción de cLDLa:Monoterapia | cLDL basal con el que se puede alcanzar ≤ 55 mg/dL (1,4 mmol/L)c | % reducción de cLDL:Combinada con estatina de moderada intensidad | cLDL basal con el que se puede alcanzar ≤ 55 mg/dL (1,4 mmol/L)c | % reducción de cLDL:Combinada con estatina de alta intensidad | cLDL basal con el que se puede alcanzar ≤ 55 mg/dL (1,4 mmol/L)c | % reducción de cLDL:Combinada con estatina de alta intensidad + ezetimibad | cLDL basal con el que se puede alcanzar ≤ 55 mg/dL (1,4 mmol/L)c | % reducción de cLDL:Combinada con estatina de alta intensidad + ezetimibad + ácido bempedoico | cLDL basal con el que se puede alcanzar ≤ 55 mg/dL (1,4 mmol/L)c | |
| Estatina de moderada intensidade | 40 | 92 (2,4) | ||||||||
| Estatina de alta intensidadf | 50 | 110 (2,8) | ||||||||
| Ezetimiba | 25 | 73 (1,9) | 55 | 122 (3,1) | 63 | 149 (3,8) | ||||
| Ácido bempedoico | 23 (18,0)b | 71 (1,8) | 51 | 112 (2,9) | 59 | 134 (3,5) | 69 | 183 (4,7) | ||
| Ácido bempedoico + ezetimiba | 42 (38,0)b | 89 (2,3) | 63 | 149 (3,8) | 69 | 177 (4,6) | ||||
| Evolocumab 140 (cada 14 días) | 65 | 157 (4,1) | 79 | 262 (6,8) | 83 | 324 (8,4) | 87 | 423 (10,9) | 89 | 500 (13,0) |
| Alirocumab 150 (cada 14 días) o 300 (una vez al mes) | 62 | 145 (3,7) | 77 | 239 (6,2) | 81 | 289 (7,5) | 85 | 367 (9,5) | 88 | 458 (12,0) |
| Alirocumab 75 (cada 14 días) | 53 | 117 (3,0) | 72 | 196 (5,1) | 77 | 239 (6,2) | 82 | 305 (7,8) | 85 | 367 (9,5) |
| Inclisirán (dos veces al año) | 50 | 110 (2,8) | 70 | 183 (4,7) | 75 | 220 (5,7) | 81 | 289 (7,5) | 85 | 367 (9,5) |
Eficacia teórica del tratamiento hipolipemiante con monoterapia y terapia combinada. Reducción promedio de colesterol unido a lipoproteínas de baja densidad (cLDL) por monoterapia hipolipemiante y terapias combinadas y cLDL basal adecuado para ser reducido al objetivo de cLDL de 55 mg/dL (1,4 mmol/L) por diferentes terapias127
% medio de reducción del cLDL con estatinas de moderada y alta intensidad según definición. El % de reducción de cLDL por otros fármacos se tomó de Toth P, et al.127
Concentración máxima de cLDL con la que el tratamiento hipolipemiante puede alcanzar una reducción media del cLDL hasta 55 mg/dL (1,4 mmol/L)
La eficacia de las terapias combinadas se calculó de acuerdo con la siguiente fórmula: %A + %B (1 − %A) + %C [1 − (%A + %B (1 − %A))]; donde %A es la reducción teórica de cLDL inducida por el fármaco A, %B por el fármaco B y %C por el fármaco C128
Hace referencia a pacientes en prevención primaria, sin DM, con función renal preservada, sin HF y un RV según las tablas de SCORE2 inferior al 10% en 10 años sin que coexistan factores moduladores del riesgo, ni EVS, ni LOD (tabla 7). En esta situación clínica, si el cLDL fuera menor de 115mg/dL se consideraría ideal y no habría que realizar ninguna acción concreta. Por el contrario, si el cLDL fuera superior a 190mg/dL, el paciente se consideraría de alto riesgo por definición y debería descartarse una HF e iniciar tratamiento hipolipemiante. La concentración de cLDL recomendada, en estas circunstancias, sería un cLDL <70mg/dL (tabla 12).
Indicaciones de tratamiento hipolipemiante según el riesgo vascular y la concentración de colesterol unido a lipoproteínas de baja densidad
| RV | cLDL | ||||
|---|---|---|---|---|---|
| 55-70 mg/dL | <70 mg/dL | 70-115 mg/dL | 116-190 mg/dL | > 190 mg/dL | |
| Bajo o moderado | Recomendaciones de hábitos de vidaNo precisa tratamiento | Recomendaciones de hábitos de vidaNo precisa tratamiento | Modificación de hábitos de vidaValorar alimentos funcionales o tratamiento hipolipemiante | Riesgo alto por definiciónModificación de hábitos de vidaIniciar tratamiento hipolipemiante de alta intensidad | |
| Objetivo: cLDL <100 mg/dL | Objetivo: cLDL <70 mg/dL | ||||
| Alto | Recomendaciones de hábitos de vidaNo precisa tratamiento | Modificación de hábitos de vidaIniciar tratamiento hipolipemiante si no se alcanzan objetivos | Modificación de hábitos de vidaIniciar tratamiento hipolipemiante de alta intensidad | Modificación de hábitos de vidaIniciar tratamiento hipolipemiante de alta intensidad | |
| Objetivo: cLDL <70 mg/dL | Objetivo: cLDL <70 mg/dL | Objetivo: cLDL <70 mg/dL | |||
| Muy alto | Modificación de hábitos de vidaValorar tratamiento hipolipemiante | Modificación de hábitos de vidaIniciar tratamiento hipolipemiante | Modificación de hábitos de vidaIniciar tratamiento hipolipemiante de alta/muy alta intensidad | Modificación de hábitos de vidaIniciar tratamiento hipolipemiante de alta/muy alta intensidad | Modificación de hábitos de vidaIniciar tratamiento hipolipemiante de alta/muy alta intensidad |
| Objetivo: cLDL <55 mg/dL | Objetivo: cLDL <55 mg/dL | Objetivo: cLDL <55 mg/dL | Objetivo: cLDL <55 mg/dL | Objetivo: cLDL <55 mg/dL | |
cLDL: colesterol unido a lipoproteínas de baja densidad; RV: riesgo vascular.
Si el cLDL se encontrara entre 115 y 190mg/dL, el tratamiento se basará en cambios terapéuticos del estilo de vida (CTEV), que incluirían una alimentación según los estándares de la dieta mediterránea, junto a incremento de la actividad física, abstención tabáquica y pérdida de peso si fuera necesaria. También podría estar indicado el uso de alimentos funcionales enriquecidos en fitoesteroles y fibra para descender el colesterol. La prescripción de fármacos hipolipemiantes no está universalmente aceptada en este grupo de población y deberá considerarse de forma individualizada si un paciente presenta dos de los siguientes FRV: edad (hombres> 45 años; mujeres> 50 años), IMC> 30kg/m2, tabaquismo, HTA, AF de EVA precoz, dislipemia aterogénica, SM, Lp(a)> 50mg/dL o una HF con un fenotipo más leve. El tratamiento hipolipemiante debería valorarse juntamente con el paciente.
Paciente de alto riesgo vascularEl objetivo terapéutico es reducir el cLDL <70mg/dL y al menos un 50% de descenso de los valores basales de cLDL.
El tratamiento inicial se basará en la aplicación de CTEV. Si persisten cifras de cLDL> 70mg/dL, se recomienda tratamiento hipocolesterolemiante de alta intensidad que garantice un descenso de cLDL de al menos un 50% (tabla 12). El tratamiento inicial debe ser con estatinas y, en caso de no alcanzarse el objetivo, con ezetimiba o ácido bempedoico. La combinación debe valorarse de inicio en pacientes con cifras basales de cLDL> 140mg/dL.
Paciente de muy alto riesgo vascularEl objetivo terapéutico es un cLDL <55mg/dL y un descenso de al menos el 50% de los valores basales.
El tratamiento inicial se basará en la aplicación de CTEV y simultáneamente tratamiento hipocolesterolemiante de alta/muy alta intensidad que garantice un descenso de cLDL de al menos un 50% y permita alcanzar el objetivo terapéutico (tabla 12). La práctica común de iniciar tratamiento con estatinas y posteriormente añadir otros hipolipemiantes en una segunda fase se ha mostrado insuficiente por varios motivos: en una proporción importante de los pacientes no se alcanzan reducciones> 50%, lo que sumado a la inercia terapéutica y la falta de adherencia se traduce en que la mayoría de los pacientes no alcanzarán los objetivos terapéuticos en el futuro. Por este motivo, es razonable considerar desde el inicio el uso de terapia oral combinada (estatinas + ezetimiba/ácido bempedoico), lo que facilitará conseguir los objetivos terapéuticos en un menor tiempo, favorecer la adherencia y reducir el riesgo de efectos secundarios de la dosis máxima de estatinas. La combinación es obligatoria de inicio durante la hospitalización por un SCA si se estima que no se alcanzarán los objetivos con estatinas en monoterapia.
La utilización de iPCSK9 estaría recomendada según las indicaciones que se enumeran en la tabla 13, en particular en pacientes que requieran reducciones de cLDL superiores al 60%. Debemos tener en cuenta que la obtención de concentraciones de cLDL inferiores a las que marcan los objetivos beneficia a los pacientes. No se han detectado efectos adversos asociados a valores extremadamente bajos de cLDL. Además, se ha demostrado que con descensos muy importantes de cLDL se reduce el tamaño de las lesiones ateromatosas y las placas se hacen más estables. En nuestro país, este tratamiento debe ser planteado en aquellos pacientes que tengan un cLDL> 100mg/dL en tratamiento con estatinas de alta potencia a dosis elevadas y en los que no se prevea que la adición de ezetimiba/ácido bempedoico vaya a alcanzar los objetivos terapéuticos.
Criterios de la Sociedad Española de Arteriosclerosis (SEA) para la utilización de iPCSK9
| Situaciones clínicas | Condicionantes adicionales | cLDL |
|---|---|---|
| Hipercolesterolemia familiar homocigota (HFHo) | – | > 100 |
| Hipercolesterolemia familiar heterocigota (HFHe) | <4 FRV asociados | > 160 |
| ≥ 4 FRV asociados | > 130 | |
| Con DM | > 100 | |
| Con EVA | > 70 | |
| Prevención secundaria | Estable | > 130 |
| SCA (< 1 año) | > 100 | |
| DM + FRV adicional | > 100 | |
| Más de 2 FRV adicionales no controlados | > 100 | |
| Lp(a)> 50 mg/dL (100 nmol/L) | > 70 | |
| Enfermedad coronaria recurrente o multivaso no revascularizable | > 70 | |
| EAP sintomática aislada o enfermedad polivascular | > 70 | |
| SCA <1 año + DM | > 70 | |
| IRC estadio ≥ 3 + 1 FRV | > 70 | |
| Prevención primaria con riesgo muy alto | IRC ≥ 3b (no en diálisis) + DM | > 130 |
cLDL: colesterol unido a lipoproteínas de baja densidad; DM: diabetes mellitus; EAP: enfermedad arterial periférica; EVA: enfermedad vascular aterosclerótica; FRV: factores de riesgo vascular; iPCSK9: inhibidor de la convertasa de proteínas subtilisina/kexina 9; IRC: insuficiencia renal crónica; Lp(a): lipoproteína(a); SCA: síndrome coronario agudo.
Adaptada de 129.
Los pacientes infectados por el VIH tienen un elevado riesgo de complicaciones vasculares. En prevención primaria, el estudio REPRIEVE128 ha demostrado que el tratamiento con pitavastatina reduce las complicaciones vasculares mayores. Por este motivo, las recomendaciones de las EAS/ESC15 indican que cualquier paciente mayor de 40 años infectado por VIH, debería recibir tratamiento hipolipemiante, independientemente de su estimación de riesgo y de su concentración de cLDL. Recomiendan también valorar la estatina que se va a utilizar en función de las interacciones medicamentosas potenciales. Conviene considerar que el beneficio neto es mayor en los sujetos con un riesgo estimado de complicaciones vasculares> 5% a 10 años, dado que riesgos inferiores suponen un NNT muy elevado.
Pacientes con dislipemia aterogénicaEn pacientes con dislipemia aterogénica, el objetivo principal es conseguir un cLDL y un c-no-HDL en objetivos terapéuticos según el nivel de riesgo, utilizando, además de una alimentación saludable87, tratamiento con estatinas o combinaciones terapéuticas de alta intensidad. Una vez alcanzado este objetivo, en pacientes en prevención primaria con DM o en prevención secundaria que a pesar de un tratamiento hipolipemiante óptimo mantengan una concentración de TG> 150mg/dL, se debe valorar la utilización de IPE 4g/día (recomendación IIa en las recientes guías de 2025)15.
Paciente con hipertrigliceridemiaSalvo en hipertrigliceridemias graves, la aproximación terapéutica consiste en la reducción del RV mediante el control del cLDL, con especial atención en estos casos al control del c-no-HDL.
Triglicéridos entre 200 y 500mg/dLEn estos pacientes se debe actuar según lo mencionado anteriormente para su nivel de RV y sus cifras de cLDL y c-no-HDL. Según las recomendaciones de la EAS, en los pacientes de muy alto riesgo en los que después de controlar el cLDL con estatinas junto a ezetimiba/ácido bempedoico/iPCSK9 persistiera una concentración de TG> 150mg/dL, se debe considerar el uso de IPE. Los resultados de diferentes ensayos clínicos, incluido el estudio PROMINENT130 cuestionan el uso de fibratos para la reducción del RV. Sin embargo, las recomendaciones de la EAS/ESC15 indican que, si tras conseguir los objetivos de cLDL con estatinas los TG se mantienen por encima de 200mg/dL y no se puede utilizar IPE, podría considerarse la utilización de fenofibrato/bezafibrato (nivel de recomendación IIb).
Triglicéridos entre 500 y 1.000mg/dLEn estas circunstancias, se debe actuar según lo mencionado anteriormente, utilizando el tratamiento hipocolesterolemiante según el nivel de RV y las cifras de c-no-HDL (aplicando los mismos criterios que los del cLDL más 30mg/dL).
Si tras la aplicación de estas medidas persisten cifras de TG> 500mg/dL, se debe valorar la asociación de fenofibrato y/o ácidos grasos omega-3 (a dosis ≥ 3g al día)131, dirigidas a reducir el riesgo de pancreatitis.
Triglicéridos> 1.000mg/dLEs prioritario disminuir los TG con la dieta para prevenir una pancreatitis, reduciendo la ingesta de alcohol, de hidratos de carbono y, en las formas resistentes, la cantidad total de grasa a menos de 30g diarios. Además, se debe recomendar la pérdida de peso, la actividad física y el control glucémico en pacientes con diabetes. En los casos graves y persistentes, en general afectos del síndrome de quilomicronemia multifactorial (SQM), se debe iniciar tratamiento con fenofibrato y/o ácidos grasos omega-3 (3-6g al día) y valorar su asociación ante un inadecuado control. Además, se debe valorar la introducción de aceite de TG de cadena media (TCM) si los TG persistieran muy elevados. Existen tratamientos específicos en pacientes con síndrome de quilomicronemia familiar (SQF) que se explican en la sección correspondiente. El volanesorsén (un oligonucleótido antisentido anti-apoC3) está indicado y aprobado para su uso en pacientes con SQF y episodios de pancreatitis.
Paciente con dislipemias genéticasHipercolesterolemia familiarLos pacientes con HF se consideran por definición de riesgo alto y deben alcanzar un cLDL <70mg/dL o <55mg/dL en caso de asociar FRV mayores o EVA. Además de la dieta y el estilo vida saludable, la mayor parte de los pacientes deben recibir una combinación de estatinas de alta potencia con ezetimiba132 valorando también la triple terapia con ácido bempedoico. De acuerdo con su riesgo basal (que como ya se ha comentado previamente, debe estratificarse), estos pacientes pueden ser tratados con iPCSK9 (tabla 13). Es necesario proceder a un tratamiento precoz para evitar el desarrollo de complicaciones vasculares futuras. Los pacientes con la forma homocigota de la enfermedad deben recibir, además de la terapia hipolipemiante convencional (estatinas a altas dosis y ezetimiba), iPCSK9 si tiene al menos un alelo defectuoso (no nulo). Si bien la LDL aféresis se ha considerado el estándar de oro terapéutico en estos pacientes, las nuevas recomendaciones de la EAS de 2023133 y la actualización de 202515 recomiendan valorar terapias hipocolesterolemiantes que actúan por vías independientes a la del receptor de LDL, como la lomitapida, indicado y aprobado en adultos y con datos clínicos positivos en niños a partir de los cinco años, o el evinacumab, cuyo uso está aprobado a partir de los seis meses de edad.
La lomitapida es una pequeña molécula que se administra por vía oral e inhibe la proteína trasferidora de TG a nivel microsomal (MTP) limitando la formación de VLDL. Reduce el cLDL en más del 50%. Debe controlarse la ingesta de grasa, suplementarse la dieta con vitamina E y ácidos grasos, y controlar el incremento de grasa hepática. El evinacumab es un anticuerpo monoclonal anti-angiopoyetina like 3 (ANGPTL3), una proteína que inhibe a la lipoproteína lipasa (LPL) y la lipasa endotelial, cuyo déficit se asocia a hipolipemia generalizada. Se administra por perfusión endovenosa una vez al mes y permite un remodelado de las VLDL que permite su eliminación del plasma por vías independientes de la del receptor de LDL. El objetivo de cLDL recomendado en los niños es <115mg/dL y en adultos inferior a 70 o 55mg/dL, dependiendo de la presencia de EVA.
DisbetalipoproteinemiaEsta es una rara hiperlipemia caracterizada por elevación de las IDL, que se traduce en una hiperlipemia mixta grave, la presencia ocasional de xantomas estriados palmares y un elevado riesgo de EVA precoz, con una especial predilección por la EAP. Suele estar causada por la combinación de un genotipo E2/E2 en el gen de la Apo E y uno o varios factores ambientales (hipotiroidismo, obesidad, etc.). Debe ser sospechada en cualquier hiperlipemia mixta con niveles bajos de Apo B (< 120mg/dL)134. El tratamiento va dirigido a controlar el factor ambiental coexistente, en especial la obesidad, y a utilizar estatinas combinadas o no con ezetimiba y/o fibratos. Dadas las características de la dislipemia, el objetivo principal es controlar el c-no-HDL135.
Síndrome de quilomicronemiaConsiste en el acúmulo de quilomicrones en el torrente sanguíneo debido a una falta de actividad de la LPL, lo que conduce a un insuficiente catabolismo de los TG con un aumento grave de su concentración en sangre136. Existe un grupo de quilomicronemias de base genética grave, el SQF137,138 y otro mucho más frecuente, debido a la asociación de variantes genéticas menos patogénicas con factores agravantes, el SQM139. El SQF es una enfermedad minoritaria, ya que afecta a 1/1.000.000 de la población. Se debe a variantes recesivas con pérdida de función, de carácter homocigoto o heterocigoto compuesto, de los genes de la LPL, de la apolipoproteína C2 (Apo C2), la apolipoproteína A5 (Apo A5), el factor 1 de maduración de la lipasa (LMF1), la proteína 1 de unión a las lipoproteínas de alta densidad anclada en el glicosilfosfatidilinositol (GPIHBP1) o el glicerol 3-fosfato deshidrogenasa 1 (G3PDH1)140,141. La quilomicronemia aparece aun sin factores agravantes y las concentraciones de TG se mantienen muy altas de forma crónica, en general> 10 mmol/L (885mg/dL)142. La complicación más grave de esta enfermedad es la pancreatitis aguda, que es tanto más frecuente y recidivante cuanto mayor es la concentración de TG y puede aparecer en los primeros años de la vida143. La pancreatitis puede evolucionar a pancreatitis crónica con insuficiencia pancreática y DM pancreopriva. También pueden aparecer xantomas eruptivos que afectan a la superficie de extensión de las extremidades y al tronco, hepatoesplenomegalia y lipemia retinalis144.
El SQM es debido a la asociación de distintos factores genéticos de menor patogenicidad, asociado a entidades responsables de hipertrigliceridemia secundaria145. Existe riesgo de pancreatitis, pero es menor que el del SQF por la menor gravedad y persistencia de la hipertrigliceridemia146. La respuesta a la dieta, la actividad física y a los fármacos hipotrigliceridemiantes suele ser buena. El SQM suele aparecer en la edad adulta o media de la vida.
En ambas situaciones el tratamiento se basa en una dieta con importante restricción de la cantidad total de grasa (< 30g al día), utilización de aceite rico en TCM, fibratos y ácidos grasos omega-3 a dosis superiores a los 3g al día, si bien en el SQF la respuesta a fibratos y omega 3 puede ser muy pobre o estar ausente al no ser estimulable la actividad de LPL. En la actualidad, se dispone de volanesorsén, un oligonucleótido antisentido que bloquea la síntesis de la apolipoproteína C3 (Apo C3), proteína involucrada en el metabolismo de las lipoproteínas ricas en TG, dificultando entre otros efectos su aclaramiento del plasma. Produce una reducción de TG superior al 50%. Debe monitorizarse el número de plaquetas, dado que puede provocar trombopenia. Otros fármacos futuros para el tratamiento de esta enfermedad son el olezarsen y el plozasirán.
HipoalfalipoproteinemiaLas causas más comunes de hipoalfalipoproteinemia son las ligadas a la hipertrigliceridemia y a la denominada dislipemia aterogénica. Las formas primarias son excepcionales y comprenden la enfermedad de Tangier, el déficit de LCAT y variantes genéticas del gen de la Apo A1147. No existen tratamientos específicos para estas entidades y el manejo de estos sujetos debe ir encaminado al control estricto de los restantes FRV y de las alteraciones orgánicas asociadas, como la afectación renal en algunas de las patologías148.
HipobetalipoproteinemiaSe trata de pacientes con valores muy bajos de lipoproteínas que contienen Apo B. Se presentan en la clínica con valores muy bajos (inferior al percentil 10) de cLDL. Incluyen entidades como la abetalipoproteinemia (déficit de MTP), hipobetalipoproteinemia (alteración en los genes de Apo B homo- o heterocigota), déficit de iPCSK9 y de proteína 4 del tipo angiopoyetina (ANGPTL4), enfermedad por retención de quilomicrones (déficit de la GTPasa 1B relacionada con Ras asociada a la secreción [SAR1B]). En las formas con déficit total de Apo B se producen manifestaciones clínicas graves, incluyendo malabsorción intestinal, hígado graso, anemia hemolítica y trastornos neurológicos por déficits vitamínicos y de ácidos grasos esenciales. Se tratan con suplementos de estos elementos deficitarios. Las formas moderadas de hipobetalipoproteinemia no suelen dar complicaciones y en general se deben considerar benignas y asociadas a menor RV. En las debidas a menor síntesis de Apo B se ha comunicado un incremento en el riesgo de padecer hígado graso149.
Hiperlipoproteinemia(a)La presencia de una concentración elevada de Lp(a) se considera un factor modulador del riesgo para el desarrollo de complicaciones vasculares y de estenosis aórtica17. Sin embargo, la relación de la Lp(a) con el RV es continua, cuanto mayor su nivel, mayor el riesgo. Es por ello que su concentración debe considerarse al estimar el riesgo global de un individuo, multiplicándose el riesgo calculado en las tablas por el incremento del riesgo atribuible a la concentración de Lp(a)17 (tabla 8). Próximamente se dispondrá de tratamientos eficaces para su control clínico. Referimos al lector al documento de la SEA sobre este tema17.
Paciente con hipertensión arterialSe recomienda una medida adecuada de la PA para confirmar el diagnóstico de HTA (tabla 3). Una diferencia de PA entre ambos brazos, medida de forma simultánea> 10-15mmHg se asocia a un aumento del riesgo de EVA.
En la primera visita es preciso medir la PA en decúbito supino, tras 5 minutos de reposo, y posteriormente en bipedestación, tras 1-3 minutos. La hipotensión ortostática se define como una reducción de la PAS en bipedestación> 20mmHg y se ha de tener en cuenta al inicio o tras instaurar o intensificar el tratamiento antihipertensivo, especialmente en pacientes de edad avanzada o con DM de larga evolución.
La MAPA y la AMPA se correlacionan más estrechamente con el pronóstico y la LOD que la medida clínica, por lo que su uso es altamente recomendado10,150. Debe tenerse en cuenta que los umbrales de PA que definen la HTA varían en función de la técnica empleada: PA clínica, AMPA o MAPA durante 24 horas.
La MAPA no solo es útil para el diagnóstico en pacientes no tratados y la detección de HTA de bata blanca (PA elevada en consulta, pero valores normales en la MAPA), sino que también constituye una herramienta valiosa para el seguimiento terapéutico, la evaluación de la adherencia al tratamiento y la identificación de HTA enmascarada, caracterizada por cifras tensionales normales en el consultorio, pero elevadas fuera de este entorno.
La tabla 14 muestra las categorías de la PA según las cifras obtenidas mediante la medida de la PA clínica y la tabla 15 la definición de HTA según los valores umbrales de PA clínica, ambulatoria o automedida en el domicilio.
Clasificación de la presión arterial en adultos
| Categoría | PAS (mmHg) | PAD (mmHg) |
|---|---|---|
| Óptima | <120 | <80 |
| Normal | 120-129 | 80-84 |
| Normal alta | 130-139 | 85-89 |
| Hipertensión de grado 1 | 140-159 | 90-99 |
| Hipertensión de grado 2 | 160-179 | 100-109 |
| Hipertensión de grado 3 | ≥ 180 | ≥ 110 |
| Hipertensión sistólica aislada | ≥ 140 | <90 |
El diagnóstico de hipertensión arterial (HTA) se establecerá tras la comprobación de los valores de presión arterial (PA) en dos o más medidas tomadas en cada una de dos o más visitas.
Cuando la PA sistólica (PAS) y la PA diastólica (PAD) se encuentren en distintas categorías se aplicará la categoría superior.
La HTA sistólica aislada se clasifica en grados (1, 2 o 3) según el valor de la PAS.
Definiciones de hipertensión arterial según los valores de presión arterial clínica, ambulatoria o automedida en domicilio
| Categoría | PAS (mmHg) | PAD (mmHg) |
|---|---|---|
| PA en la consulta | ≥ 140 | ≥ 90 |
| PA ambulatoria | ||
| Diurna (o en vigilia) | ≥ 135 | ≥ 85 |
| Nocturna (o durmiendo) | ≥ 120 | ≥ 70 |
| 24 horas | ≥ 130 | ≥ 80 |
| PA en el domicilio | ≥ 135 | ≥ 85 |
PA: presión arterial; PAD: presión arterial diastólica; PAS: presión arterial sistólica.
Adaptado de 7.
Los valores de PA obtenidos mediante la MAPA permiten identificar 4 fenotipos:
- •
Normotensión arterial: valores de PA normales en la clínica y en la MAPA.
- •
HTA de bata blanca: valores de PA clínica elevados, pero con niveles de PA normales en la MAPA.
- •
HTA enmascarada: niveles de PA clínica normales, pero valores elevados en la MAPA.
- •
HTA establecida: valores de PA elevados en la clínica y en la MAPA.
Los valores de PA obtenidos mediante AMPA también se correlacionan mejor con la LOD y con la incidencia de EVA, pero la MAPA aporta información sobre la PA nocturna, que tiene una fuerte correlación con el pronóstico. Su elevación es especialmente prevalente en determinadas situaciones clínicas, como la HTA resistente, o en la HTA asociada a DM o ERC avanzada, y la asociada al síndrome de apnea-hipopnea obstructiva del sueño (SAHOS).
Inicio del tratamiento antihipertensivoLa decisión de iniciar el tratamiento farmacológico dependerá no solo del nivel de PA, sino también del RV global en función de otros FRV asociados, de la presencia de LOD, que predice la mortalidad cardiovascular de forma independiente a la puntuación del SCORE2/SCORE2-OP7,14,78,79 especialmente en el grupo de riesgo moderado, y de la presencia de EVA o enfermedad renal establecida.
El tratamiento inicial se decidirá en función de los niveles de PA (grados 1-3) (tabla 14) y en función del estadio de la HTA (1-3):
- •
Estadio 1: HTA no complicada, sin LOD, sin DM, sin EVA y con FG estimado (FGe)> 60mL/min/1,73 m2.
- •
Estadio 2: HTA en presencia de LOD, DM o ERC estadio 3.
- •
Estadio 3: presencia de EVA o ERC estadios 4 (FGe <15-29mL/min/1,73 m2) o 5 (FGe <15mL/min/1,73 m2).
El tratamiento de la HTA debe incluir siempre los cambios de estilo de vida. En casos de HTA de grado 1, en estadio 1 y con un riesgo cardiovascular bajo o moderado, se recomienda comenzar únicamente con medidas no farmacológicas. Si el riesgo es alto o existe LOD (HTA estadio 2), debe añadirse tratamiento farmacológico una vez confirmado el diagnóstico.
En pacientes con HTA de grado 2 (PAS 160-179mmHg y/o PAD 100-109mmHg) o de grado 3 (PAS ≥ 180mmHg o PAD ≥ 110mmHg), debe añadirse tratamiento farmacológico desde el inicio y la mayoría de ellos requerirán tratamiento antihipertensivo combinado con al menos dos agentes hipertensivos. Aproximadamente el 10-12% de los hipertensos tratados precisarán más de tres antihipertensivos151.
El principal beneficio del tratamiento antihipertensivo deriva de la reducción de la PA152, independientemente del fármaco utilizado, pudiendo iniciarse el tratamiento con diuréticos tiazídicos o similares (indapamida, clortalidona), IECA o antagonistas de los receptores AT1 de la angiotensina II (ARA-II), antagonistas del Ca o betabloqueantes. La posición de estos últimos como fármacos de primera línea ha sido cuestionada debido a su menor efectividad en la prevención del ictus o a sus posibles efectos metabólicos desfavorables (aunque esto puede no ser aplicable a todos los betabloqueantes), excepto en las situaciones clínicas con indicación específica para estos agentes (EC, insuficiencia cardiaca [IC] con fracción de eyección ventricular izquierda [FEVI] reducida, etc.). También pueden estar indicados como tratamiento inicial en hipertensos jóvenes con un patrón hipercinético y tendencia a la taquicardia, o en mujeres en edad fértil, en las que el uso de inhibidores del sistema renina-angiotensina (SRA) están contraindicados desde las fases iniciales de la gestación.
Una reducción de 5mmHg de la PAS disminuye los episodios cardiovasculares graves aproximadamente en un 10%, tanto en prevención primaria como en prevención secundaria153.
Objetivo terapéutico del tratamiento antihipertensivoLas nuevas guías de la ESH de 2023 aconsejan metas terapéuticas en función de la edad7, aunque la evidencia actual aconseja una meta terapéutica (si se tolera), inferior a 130mmHg de PAS y una PAD entre 70 y 79mmHg.
En sujetos ancianos con HTA sistólica aislada, suele ser necesario intensificar el tratamiento si la PAS es> 160mmHg, aunque la PAD sea <70mmHg.
No se aconseja una PAS <120mmHg o una PAD <70mmHg.
Tratamiento de la hipertensión arterial en pacientes con comorbilidadesHipertensión arterial y diabetes mellitusLa prevalencia de HTA en los pacientes con DM es de hasta el 80%, siendo el doble de la observada en población no diabética de la misma edad y características. La coexistencia de HTA y DM incrementa el riesgo de desarrollar EVA, con una mayor incidencia de cardiopatía isquémica (CI), IC, EAP, ictus y mortalidad cardiovascular.
Se recomienda iniciar el tratamiento con una combinación de un inhibidor del SRA más un antagonista del Ca o un diurético tiazídico o tiazida-like, excepto cuando el FGe sea <30mL/min/1,73 m2, en cuyo caso estaría indicado el diurético de asa. La combinación de dos inhibidores del SRA está desaconsejada.
El tratamiento farmacológico debería iniciarse cuando la PAS sea ≥ 140mmHg o la PAD ≥ 90mmHg, y el objetivo terapéutico será una PAS de <130mmHg, pero no inferior a 120mmHg, con una PAD <80mmHg, pero no <70mmHg.
Hipertensión arterial y enfermedad renal crónicaLa prevalencia de HTA en estos pacientes es del 67-92% y representa su comorbilidad más frecuente. Por otra parte, la presencia de HTA puede acelerar el daño renal, además de incrementar el RV. Como en todos los sujetos con HTA, el tratamiento farmacológico debe acompañarse de cambios de estilo de vida, haciendo especial énfasis en la reducción de la ingesta de Na. Los diuréticos de asa deben sustituir a los diuréticos de tipo tiazida o tiazida-like cuando el FGe sea <30mL/min/1,73 m2.
Un ensayo clínico publicado en 2021 mostró que en sujetos con ERC avanzada (FGe de 23± 4,2mL/min/1,73 m2), la clortalidona a dosis de 12,5-50mg/día mejora el control de sujetos con HTA mal controlada en relación con placebo a las 12 semanas de seguimiento154.
Debido a que el descenso de la PA disminuye la presión de perfusión, no es infrecuente una reducción del FGe de entre el 10 y el 20% al inicio del tratamiento. Se debe hacer una cuidadosa monitorización de los electrolitos.
El objetivo terapéutico es una PAS <130mmHg, pero no por debajo de 120mmHg, y una PAD <80mmHg, pero no <70mmHg.
Se recomienda como tratamiento inicial un inhibidor del SRA más un antagonista del Ca o un diurético. No se recomienda el uso simultáneo de IECA y ARA-II.
Hipertensión arterial y enfermedad coronaria estableLa HTA es un FRV mayor de CI. Numerosos ensayos clínicos han demostrado los beneficios del tratamiento antihipertensivo en la reducción de la incidencia de CI, tanto en prevención primaria como en prevención secundaria.
Excepto en algunos casos, como ancianos frágiles o mayores de 80 años, en general se recomienda como tratamiento inicial la terapia doble con un inhibidor del SRA (IECA o ARA-II) más un betabloqueante o antagonista del Ca, aunque pueden ser utilizadas otras combinaciones como antagonista del Ca dihidropiridínico más betabloqueante. En un segundo escalón, si no se controla la HTA, el paciente debe ser tratado con triple terapia, en general añadiendo un diurético a alguna de las combinaciones anteriores.
Si presentan angina sintomática, se recomienda una combinación de betabloqueantes y antagonistas del Ca dihidropiridínicos.
Se aconseja el inicio del tratamiento farmacológico cuando la PA sea ≥ 130/80mmHg y el objetivo terapéutico sería una PAS de 130mmHg o inferior si es tolerado, pero no <120mmHg, y una PAD <80mmHg, pero no <70mmHg.
Hipertensión arterial e insuficiencia cardiacaEl antecedente de HTA está presente en el 75% de los pacientes con IC crónica. Se recomienda el tratamiento antihipertensivo cuando la PA clínica sea ≥ 130/80mmHg, tanto en pacientes con IC con FEVI reducida como en los que presentan IC con FEVI preservada. En los pacientes con IC y FEVI reducida, se recomienda el tratamiento con un inhibidor del SRA (IECA o ARA-II) o sacubitrilo/valsartán, un betabloqueante y un diurético, asociado a un inhibidor del cotransportador de Na y glucosa de tipo 2 (iSGLT2) y a un antagonista de los receptores mineralcorticoides, si no presenta contraindicaciones. Si no se logra el control de la HTA a pesar del tratamiento anterior, se podría añadir un antagonista del Ca dihidropiridínico.
En los pacientes con IC y FEVI preservada, se recomienda para el control de la HTA el uso de IECA o ARA-II, betabloqueantes, antagonistas del Ca y tiazidas o diuréticos tiazida-like asociados al uso de iSGLT2.
Hipertensión arterial y fibrilación auricularLa HTA es el FRV modificable más común para evitar la aparición de FA. La coexistencia de HTA y FA aumenta de forma importante el riesgo de ictus isquémico y hemorrágico. Todos los fármacos antihipertensivos de primera línea estarían indicados para el control de la HTA, pero el uso de inhibidores del SRA y betabloqueantes podría ser considerado en la FA para prevenir su recurrencia. El umbral para el inicio del tratamiento antihipertensivo y el objetivo terapéutico serían los mismos que para la población general.
En los pacientes con FA y PAS> 160mmHg, es preciso mejorar el control de la HTA antes de iniciar el tratamiento anticoagulante.
Hipertensión arterial e ictusEl ictus es una causa importante de mortalidad, incapacidad y demencia, y está asociado de forma independiente con el incremento de eventos vasculares mayores en ambos sexos155. Dado que el ictus es un grupo heterogéneo en cuanto a causa etiológica y hemodinámica subyacente, el control de la HTA en estos pacientes es complejo y supone un auténtico reto. El objetivo terapéutico es una PA <130/80mmHg156. Este objetivo de PA <130/80mmHg es el recomendado también en el AIT, tal como aconseja un reciente documento de la American Heart Association (AHA), pues reduce un 22% el riesgo de recurrencia del ictus157.
Hipertensión arterial resistente e hipertensión arterial refractariaExisten diversas causas del mal control de la HTA en la práctica clínica, que deberían ser tenidas en cuenta antes de etiquetar a un paciente de HTA resistente (fig. 5)158.
La HTA resistente representa aproximadamente un 10-12% de los hipertensos tratados151. Una HTA se considera resistente cuando no se ha conseguido reducir la PA <140/90mmHg a pesar de dosis óptimas (o las dosis máximas toleradas) de 3 fármacos y un plan terapéutico que incluya un diurético (típicamente IECA o ARA-II más un antagonista del Ca y un diurético).
Se debe confirmar el mal control mediante MAPA (preferible) o AMPA y se han de excluir las causas de pseudorresistencia (p. ej., mala adherencia) y la HTA secundaria.
En los últimos años se ha descrito un nuevo fenotipo de HTA refractaria cuando no se alcanza una PA <140/90mmHg a pesar del uso de ≥ 5 antihipertensivos159,160. Es poco frecuente (1,4% de los hipertensos tratados) y también precisa de la realización de una MAPA de 24 horas para su confirmación, así como descartar las causas de pseudorresistencia, como se ha mencionado anteriormente en la HTA resistente. Un estudio de cohorte prospectivo161 demostró que los pacientes con HTA refractaria, confirmada por MAPA-24h, presentan un riesgo más elevado de eventos cardiovasculares mayores y de mortalidad.
En la figura 6 se muestra un algoritmo práctico para el diagnóstico y el seguimiento de la HTA resistente y de la HTA refractaria.
Seguimiento del paciente con hipertensión arterialTras el inicio del tratamiento farmacológico antihipertensivo, es importante efectuar un seguimiento de este al menos una vez dentro de los dos primeros meses para evaluar el efecto sobre la PA, detectar los posibles efectos adversos y descubrir una posible mala adherencia. Posteriormente, se recomienda una visita de seguimiento a los tres meses para verificar el control de la PA y evaluar la adherencia.
La deficiente adherencia es una causa frecuente de falta de control de la PA. Para su detección y evaluación desempeña un papel fundamental enfermería, los farmacéuticos comunitarios y otros profesionales sanitarios, que son también de gran ayuda para la educación, el apoyo y el seguimiento a largo plazo de los pacientes hipertensos, por lo que han de formar parte de la estrategia global para la mejora del control de la PA. La simplificación del tratamiento y la reducción del número de comprimidos ayudarán sin duda a una mejor adherencia y a un mejor control de la PA a medio y largo plazo.
En los sujetos con PA normal-alta, aunque no sean tratados farmacológicamente, se recomiendan cambios de estilo de vida y un seguimiento periódico (al menos una visita anual) para medir la PA clínica y ambulatoria, así como para revaluar su RV.
Paciente con hiperglucemia (prediabetes y diabetes mellitus)Clasificación y pruebas diagnósticasSe considera hiperglucemia cuando existen al menos dos valores de glucosa plasmática en ayunas ≥ 100mg/dL y DM a cifras, en dos ocasiones, de glucemia plasmática en ayunas ≥ 126mg/dL. Además del criterio de glucemia en ayunas, la prediabetes y la DM pueden diagnosticarse si se cumple al menos uno de los criterios de HbA1c, los valores de glucemia aleatorios o los valores de glucemia plasmática a las 2 horas de la prueba de la sobrecarga oral de glucosa (SOG) descritos en la tabla 16162.
Criterios diagnósticos de prediabetes y de diabetes mellitus de la American Diabetes Association (ADA)162
| Criterios de diagnóstico de prediabetes y DM* | Normal | Prediabetes | DM |
|---|---|---|---|
| HbA1c (%) o | <5,7 | 5,7-6,4 | ≥ 6,5 |
| Glucemia plasmática en ayunas (mg/dL) o | <100 | 100-125 | ≥ 126 |
| Glucemia 2 h SOG con 75g (mg/dL) o | <140 | 140-199 | ≥ 200 |
| Glucemia al azar con clínica hiperglucémica (mg/dL) | ≥ 200 |
La prueba de SOG se realiza administrando 75g de glucosa en un adulto o 1,75g/kg de peso (máximo 75g) en niños en condiciones estandarizadas. Es una prueba muy útil para confirmar el diagnóstico de DM en pacientes que por los valores de glucemia en ayunas o de HbA1c no quedan diagnosticados, pero tienen una alta probabilidad de serlo: sujetos obesos, con SM, DM gestacional, sujetos con criterios de prediabetes74,162. La medición de los valores de HbA1c debe realizarse utilizando un método estandarizado y de referencia162.
Recomendamos realizar despistajes de DM en sujetos asintomáticos con el fin de hacer un diagnóstico precoz (tabla 17). En este caso, para facilitar el diagnóstico, utilizaremos los valores en ayunas de glucemia y HbA1c. No es necesario utilizar la SOG para el despistaje. Además, deben instaurarse protocolos de cribado basados en nuevas tecnologías de la información e inteligencia artificial para detectar precozmente personas con DM utilizando los análisis bioquímicos realizados en un departamento de salud.
Sujetos a los que realizar despistaje de la diabetes mellitus74
| Edad ≥ 35 años | Edad <35 años |
|---|---|
| En todos los casos | Con el diagnóstico de prediabetes oCon antecedentes de DM gestacional oVIH oSi presentan IMC ≥ 25 kg/m2, en asiáticos ≥ 23 kg/m2, con al menos uno de los siguientes:DM en familiares de primer gradoPertenencia a un grupo étnico de alto riesgo de DM (afroamericanos, latinos, etc.)Historia de EVAHTA (≥ 140/90mmHg o en tratamiento)cHDL <35 mg/dL, TG> 250 mg/dL o ambosSOPVida sedentariaOtras condiciones asociadas a resistencia a la insulina (acantosis nigricans, hígado graso no alcohólico, hiperlipemia familiar combinada, etc.) |
DM: diabetes mellitus; EVA: enfermedad vascular aterosclerótica; cHDL: colesterol unido a lipoproteínas de alta densidad; HTA: hipertensión arterial; IMC: índice de masa corporal; SOP: síndrome de ovario poliquístico; VIH: virus de la inmunodeficiencia humana.
Los pacientes con DM recién diagnosticados tienen elevado RV sin necesariamente tener LOD o EVA. En este grupo de pacientes para valorar el RV se puede utilizar el SCORE-2 DM80.
Objetivos de control en la prediabetes y la diabetes mellitusLos objetivos generales de control se presentan en la tabla 18.
Objetivos generales de control de la prediabetes y la diabetes mellitus
| Objetivos |
|---|
| Establecer, conseguir y mantener un buen control metabólicoPrevenir las complicaciones de la DMPreservar la vida del paciente y aliviar los síntomas de la hiperglucemiaCapacitar al paciente para conseguir una buena calidad de vida (personal, familiar, laboral y social)Individualizar el valor de HbA1c |
| DM: diabetes mellitus; HbA1c: hemoglobina glicada |
Para obtener un buen control glucémico, en primer lugar, es necesario individualizar el objetivo de HbA1c162. Para fijar el valor de HbA1c tendremos en cuenta: el grado de motivación, la presencia de complicaciones crónicas o de comorbilidades graves, la edad del paciente, la supervivencia estimada y el tiempo de evolución (fig. 7). En pacientes jóvenes, sin complicaciones crónicas ni comorbilidades, con tiempos de evolución cortos y larga supervivencia estimada, buscaremos intensificar el tratamiento para alcanzar HbA1c de entre el 6 y el 7%162 y si es posible ≤ 6%.
Para tratar adecuadamente a los pacientes con DM, es necesario no solo controlar la glucemia y buscar un valor individualizado de HbA1c, sino que debemos controlar los valores de PA, de lípidos, de peso y el tabaquismo. Es lo que se conoce como tratamiento global de la DM. Este tratamiento siempre será individualizado y precoz. Los objetivos específicos de IMC, tabaquismo, PA y bioquímicos del tratamiento de la DM vienen recogidos en la tabla 19.
Objetivos específicos clínicos y bioquímicos del tratamiento en el adulto diabético
| Objetivos | Óptimo | Aceptable | No deseable |
|---|---|---|---|
| Glucemia basal (mg/dL) | 80-130 | 130-179 | ≥ 180 |
| Glucemia posprandial 2 h (mg/dL) | <180 | 180-199 | ≥ 200 |
| HbA1c (%) | <7,0 | 7,0-7,9 | ≥ 8,0 |
| cLDL (mg/dL)* | Variable | Variable | Variable |
| PA (mmHg) | <130/<80 | 130-139/80-89 | ≥ 140/≥ 90 |
| Tabaco | NO FUMAR | ||
| IMC (kg/m2) | Ideal <25; en obesos, <30 |
cLDL en función del riesgo cardiovascular: DM de muy alto riesgo cLDL <55 mg/dL, DM de alto riesgo cLDL <70 mg/dL, DM de moderado riesgo cLDL <100 mg/dL
cLDL: colesterol unido a lipoproteínas de baja densidad; DM: diabetes mellitus; HbA1c: hemoglobina glicada; IMC: índice de masa corporal; PA: presión arterial.
El tratamiento de la prediabetes y de la diabetes se basa en cambios en el estilo de vida, dieta y utilización de fármacos para conseguir los objetivos terapéuticos comentados.
Dieta y cambios en el estilo de vidaEl tratamiento debe ir orientado a cumplir con todos los objetivos globales expuestos. El pilar del tratamiento de la prediabetes y de la DM2 es la dieta, los cambios en el estilo de vida y la actividad física14,162,163. Como la mayor parte de los afectados presenta obesidad, el tratamiento dietético es similar al descrito en el apartado del paciente obeso.
La modificación en el estilo de vida en la DM es una intervención esencial para mejorar no solo el control glucémico, sino también las comorbilidades asociadas, como la dislipemia, la obesidad y la HTA. Los cambios hacia un estilo de vida saludable deben incluir los siguientes aspectos: cese del tabaquismo y moderación de la ingesta alcohólica, pérdida de peso (> 5%) en caso de sobrepeso u obesidad, asesoramiento personalizado nutricional y actividad con una supervisión continua. Se recomienda la ingesta de hidratos de carbono procedentes de las verduras, frutas, cereales integrales, legumbres y productos lácteos sobre otras fuentes14,163. Limitar especialmente los alimentos procesados que contienen grasas añadidas, azúcares o Na. Recomendamos el consumo de ácidos grasos poliinsaturados omega-3 presentes en el pescado, especialmente en el azul (sardina, salmón, atún, caballa, jurel, etc.). En resumen, una dieta de tipo mediterráneo rica en ácidos grasos monoinsaturados (aceite de oliva virgen y frutos secos) puede ser útil para el control global del RV en estos pacientes14,163.
Por otro lado, diferentes estudios recogidos en metaanálisis han evaluado los efectos de intervenciones en los estilos de vida en personas con prediabetes y han encontrado que previenen de forma eficaz el desarrollo de DM162. Estos estudios avalan el uso de una dieta de tipo mediterráneo en sujetos con prediabetes163.
Las recomendaciones generales de la actividad física en personas con prediabetes o DM vienen recogidas en la tabla 20. Es necesario instaurar un programa de actividad física progresivo.
Recomendaciones generales de la actividad física en personas con prediabetes y diabetes mellitus
| Recomendaciones generales |
|---|
| Realizar como mínimo 150 minutos por semana de actividad aeróbica moderada a intensa, repartidos en al menos 3 días a la semana. Evitar pasar más de 2 días sin actividad física |
| Realizar de 2 a 3 sesiones por semana de ejercicios de resistencia en días no consecutivos |
| Disminuir el tiempo diario dedicado a actividades sedentarias |
| Para los adultos mayores, realizar de 2 a 3 veces por semana ejercicios de flexibilidad y equilibrio |
En sujetos con prediabetes, la ADA recomienda el tratamiento con metformina en aquellos con un IMC> 35kg/m2, antecedentes de diabetes gestacional, en los sujetos con glucemia en ayunas ≥ 110mg/dL y HbA1c ≥ 6,1% y en obesos con depósito de grasa visceral162.
Los objetivos del tratamiento del paciente con DM son: prevenir y retardar las complicaciones macrovasculares y microvasculares, y reducir la elevada morbimortalidad vascular. El máximo beneficio en la prevención cardiovascular del paciente con DM se obtiene interviniendo de forma simultánea en todos los FRV: tabaco, dislipemia, HTA e hiperglucemia14,162.
Centrándonos en el tratamiento farmacológico de la hiperglucemia, una vez establecido el valor objetivo de HbA1c, la elección de los fármacos dependerá de la edad, el grado y el tipo de obesidad, la eficacia y la tolerancia de los fármacos, el coste y las comorbilidades (prevención secundaria, IC o enfermedad renal diabética).
En la tabla 21 presentamos los principales fármacos utilizados para el tratamiento de la hiperglucemia en la DM y su indicación.
Principales fármacos utilizados en el tratamiento de la diabetes mellitus
| Fármaco | Dosis | Indicación |
|---|---|---|
| Metformina | 850mg × 3Titular de forma gradual | DM2DM1 obesoDM gestacional |
| Pioglitazona | 30-45 mg/díaVisado | DM2DM2 e hígado graso |
| iDPP-4 | Sitagliptina 100 mg/díaVildagliptina 50mg × 2Saxagliptina 5 mg/díaLinagliptina 5 mg/díaAlogliptina 25 mg/día | DM2 |
| arGLP-1 | Exenatida 5μg s.c. × 2 1.er mes, 10μg s.c. × 2 2.° mesLiraglutida 0,6 mg/día, 1,2 mg/día 2.ª semana y si es necesario 1,8 mg/díaExenatida LAR, 2 mg/semanaLixisenatida, 10μg/día 2 semanas, aumentar hasta 20μg/díaDulaglutida 0,75 mg/semana aumentar 1,5 mg/semanaSemaglutida 0,25 mg/semana durante 4 semanas y subir a 0,5 mg/semana. Máximo 1 mg/semana | DM2 obeso en prevención secundariaDM2 con obesidad |
| arGLP-1 y GIP (duales) | Tirzepatida 2,5 mg/semana hasta un máximo de 15 mg/semana | DM2 con obesidad |
| iSGLT2 | Empagliflozina 10 y 25 mg/díaCanagliflozina 100 y 300 mg/díaDapagliflozina 10 mg/díaErtugliflozina 5 y 15 mg/día | DM2DM2 con ICDM2 en prevención secundariaDM2 con nefropatía |
| Meglitinidas | Repaglinida 0,5-4mg antes de las 3 comidas principalesNateglinida 120mg, en las 3 comidas principales. Visado | DM2 con ERC |
| Sulfonilureas 3.ª generación | Iniciar con dosis bajas e ir incrementado la dosis | DM2 |
| Inhibidores de alfa-glucosidasa | Acarbosa o miglitol 50mg × 3/día, al inicio de la comida. Máximo 100mg × 3/día | DM2 |
arGLP-1: agonistas del receptor de GLP-1; DM: diabetes mellitus; DM1: diabetes mellitus de tipo 1; DM2: diabetes mellitus de tipo 2; ERC: enfermedad renal crónica; GIP: polipéptido insulinotrópico dependiente de glucosa; IC: insuficiencia cardiaca; iDDP-4: inhibidores de la dipeptidil peptidasa 4; IMC: índice de masa corporal; iSGLT2: inhibidores del cotransportador sodio y glucosa de tipo 2; LAR: long-acting release; s.c.: subcutánea.
En la tabla 22162,164–171 resumimos los principales beneficios, contraindicaciones, efectos adversos y la capacidad de prevención cardiovascular independiente de su efecto hipoglucemiante.
Beneficios, contraindicaciones, principales efectos adversos y capacidad de prevención vascular de los principales fármacos hipoglucemiantes utilizados en el tratamiento de la diabetes mellitus
| Fármaco | Beneficios | Contraindicación | Desventajas/Efectos adversos | Prevención CV |
|---|---|---|---|---|
| Metformina | ↓ HbA1c 1%↓ peso (1,5-2 kg)↓ costeNo hipoglucemias | FGe <30 mL/min/1,73 m2Insuficiencia hepática grave24 h antes de cirugías | Náuseas, vómitos, dolor abdominalExcepcionales: déficit vitamina B12 y acidosis láctica | Sí162 |
| Pioglitazona | ↓ HbA1c 0,5-1%↓ TG y ↑ cHDL | Insuficiencia cardiaca | ↑ peso↑ costeEdemasICFracturasen posmenopáusicas | Sí, en prevención primariaIctus162 |
| IDPP-4 | ↓ HbA1c 0,8%Peso=No hipoglucemias | FG <60 mL/min/1,73 m2 ajustar dosis sitagliptina 25 y 50 mg/día, alogliptina 6,25 y 12,5 mg/díaNo requiere linagliptina | ↑ costeLesiones cutáneas (penfigoide ampolloso)No combinar con arGLP-1Raro pancreatitis | NoSaxagliptina ↑ ingresos por IC |
| arGLP-1 | ↓ HbA1c 1%↓↓ pesoNo hipoglucemias | EmbarazoPrecaución en insuficiencia renal (véase el apartado del paciente con obesidad) | Náuseas, vómitos, diarrea↑ costeRaro pancreatitis | SíLiraglutida y semaglutida en prevención secundaria164,165. Dulaglutida prevención primaria y secundaria166Liraglutida, semaglutida y dulaglutida ↓ progresión enfermedad renal diabética |
| arGLP-1 y GIP (duales) | ↓ HbA1c 1%↓↓↓ pesoNo hipoglucemias | EmbarazoPrecaución en insuficiencia renal (véase el apartado del paciente con obesidad) | Náuseas, vómitos, diarrea, estreñimiento↑ costeRaro pancreatitis | En estudio |
| iSGLT2 | ↓ HbA1c 1%↓ peso↓ PANo hipoglucemias | Embarazo | Infecciones urinariasMicosis genitalesRara hipotensión ortostática, fascitis necrotizante, deshidratación y cetoacidosis euglucémica | SíEmpagliflozina y canagliflozina en prevención secundaria167,168Empagliflozina mortalidad167Dapagliflozina mortalidad CV169Empagliflozina, canagliflozina, dapagliflozina, ertugliflozina ingresos por IC167–169Canagliflozina y dapagliflozina preservación función renal y ↓ progresión enfermedad renal diabética170,171 |
| Meglitinidas | ↓ HbA1c 0,8%↑ PesoUso en ERC | Embarazo y lactancia | Hipoglucemias | No |
| Sulfonilureas 3.ª generación | ↓ HbA1c 1%↑ Peso (2-4 kg) | Embarazo y lactanciaPaciente ingresado | HipoglucemiasNo usar si ERC, insuficiencia hepática e IC | No |
| Inhibidores de alfa-glucosidasa | ↓ HbA1c 0,5%Peso= | DM1Gestación y lactanciaEnf. gastrointestinal | Gastrointestinales: flatulencia, distensión, dolor | No |
arGLP-1: agonistas del receptor de GLP-1; cHDL: colesterol unido a lipoproteínas de alta densidad; CV: cardiovascular; DM: diabetes mellitus; DM1: diabetes mellitus de tipo 1; ERC: enfermedad renal crónica; FG: filtrado glomerular; FGe: filtrado glomerular estimado; GIP: polipéptido insulinotrópico dependiente de glucosa; HbA1c: hemoglobina glicada; IC: insuficiencia cardiaca; iDDP-4: inhibidores de la dipeptidil peptidasa 4; iSGLT2: inhibidores del cotransportador de sodio y glucosa de tipo 2; PA: presión arterial; TG: triglicéridos.
En la figura 8 se presentan las diferentes pautas terapéuticas en función de la presencia o no de EVA, enfermedad renal diabética, IC y del IMC. En pacientes con EVA o de muy alto RV, son de elección los iSGLT2 o los agonistas del receptor del péptido similar al glucagón 1 (arGLP-1), con estudios que demuestren prevención de episodios vasculares. En caso de presentar obesidad grave o mórbida, recomendamos usar los arGLP-1 (fig. 8A)162.
A) pauta terapéutica en pacientes con diabetes mellitus de tipo 2, con enfermedad vascular arteriosclerótica establecida, con muy alto riesgo vascular, con insuficiencia cardiaca o con enfermedad renal diabética; B) pauta terapéutica en pacientes con diabetes mellitus de tipo 2 y moderado/bajo riesgo vascular, sin enfermedad vascular aterosclerótica establecida, sin insuficiencia cardiaca o sin enfermedad renal diabética.
arGLP-1: agonistas del receptor del péptido similar al glucagón 1; DM: diabetes mellitus; ECV: enfermedad cardiovascular; HbA1c: hemoglobina glicada; IC: insuficiencia cardiaca; iDPP-4: inhibidores de la dipeptidil peptidasa-4; IMC: índice de masa corporal; iSGLT2: inhibidores del cotransportador de sodio y glucosa tipo 2; SU: sulfonilureas.
Existen numerosos estudios de intervención que demuestran la capacidad de los iSGLT2167–169 o los arGLP-1 en la prevención vascular164–166 y en la prevención de la progresión de la enfermedad renal diabética170,171. Por tanto, deben constituir los fármacos de uso prioritario en el tratamiento de la DM2.
En personas con DM y obesidad grave o mórbida se deben utilizar de forma preferente semaglutida o tirzepatida por su elevada eficacia en la pérdida ponderal (fig. 8B).
En función del valor de la HbA1c, el tratamiento inicial de la hiperglucemia variará. Si la HbA1c es menor de 7,5% optaremos por una monoterapia, si está entre 7,5 y 9% con doble terapia y en casos de glicadas> 9% con clínica cardinal optaremos por la insulinización.
La insulinización en la DM2 con una insulina de acción prolongada o basal estará indicada si falla la triple asociación (tercer escalón terapéutico, fig. 8), siempre después de haber ensayado un arGLP-1. En los casos en los que existe una clara clínica de hiperglucemia con HbA1c elevada también será necesario insulinizar, como hemos comentado anteriormente. La dosis total diaria para comenzar la insulinización es de 0,1-0,3 U/kg de peso, con modificación de la dosis cada tres días hasta conseguir los objetivos. Debe valorarse en cada ocasión la necesidad real de aumentar la dosis, ya que en sujetos con obesidad e insulinorresistencia dosis elevadas pueden aumentar el peso y, con ello, la resistencia a la insulina, sin mejoría del control glucémico162.
Prevención cardiovascular en la diabetes mellitusTratamiento y prevención de la enfermedad vascular aterosclerótica en la persona con diabetes mellitusLa prevención cardiovascular en la DM requiere una intervención precoz, intensiva y mantenida de todos los FRV: dislipemia, PA, tabaquismo y obesidad abdominal (tabla 23)14,162,172.
Tratamiento y prevención de la enfermedad vascular aterosclerótica en la persona con diabetes mellitus
| FRV | Objetivo | Tratamiento |
|---|---|---|
| Control de la hiperglucemia | HbA1c <7% | Dieta hipoglucemianteFármacos hipoglucemiantes |
| HTA | PAS de <130mmHg, pero no inferior a 120mmHg, con una PAD <80mmHg, pero no <70 mmHg | Reducción ingesta de sal <3 g/24 hSi macroalbuminuria o insuficiencia renal, restringir el consumo de proteínas a 0,6-0,8 g/kg/24 horasReducir el alcohol (máximo tolerado 30 g/día)Consumo moderado de café (2 tazas/24 h)IECA o ARA-II |
| Tabaco | No fumar ni activa ni pasivamente | |
| Obesidad | IMC <30 kg/m2 | Estrategia dietoterapia y fármacos |
| Dislipemia | Primario: descenso de cLDL según el riesgo del pacienteSecundario TG <200 mg/dL | Estatinas asociadas o no a ezetimiba/ácido bempedoico, iPCSK9 en prevención secundaria según recomendaciones de la SEA (Tabla 13)IPE para reducir el riesgo en pacientes seleccionados |
ARA-II: antagonistas de los receptores AT1 de la angiotensina II; arGLP-1: agonistas del receptor del péptido similar al glucagón 1; cLDL: colesterol unido a lipoproteínas de baja densidad; DM: diabetes mellitus; EVA: enfermedad vascular arteriosclerótica; FRV: factores de riesgo vascular; HbA1c: hemoglobina glicada; IECA: inhibidor de la enzima convertidora de la angiotensina I; IMC: índice de masa corporal; iPCSK9: inhibidor de la convertasa de proteínas subtilisina/kexina 9; IPE: icosapento de etilo; iSGLT2: inhibidores del cotransportador de sodio y glucosa tipo 2; SEA: Sociedad Española de Arteriosclerosis; TG: triglicéridos; PA: presión arterial.
En general, las personas con DM2 son consideradas de alto RV14,173. Las personas con DM2 y múltiples FRV (dislipemia, HTA, tabaquismo), EVS o LOD, o aquellas que estén en prevención secundaria, son consideradas de muy alto RV14. El objetivo primario para la prevención es obtener un valor objetivo de cLDL o de c-no-HDL, recogidos en la tabla 7, según el riesgo del paciente14.
Para obtener estos objetivos será necesario utilizar estatinas de alta intensidad, en la mayor parte de los casos asociadas a ezetimiba o ácido bempedoico. Una vez alcanzado el objetivo de cLDL o c-no-HDL, debemos valorar el alcanzar un objetivo secundario de concentración de TG14,71.
Paciente con obesidad y síndrome metabólicoPaciente con síndrome metabólicoEn la tabla 24 se definen los criterios que componen el SM74.
Criterios diagnósticos del síndrome metabólico
| Criterios diagnósticos* | Descripción |
|---|---|
| Obesidad abdominal | Perímetro de cintura (por encima de las crestas iliacas) elevado según sexo y etnia (≥ 94 H y ≥ 80M caucásicos) |
| Glucemia en ayunas (mg/dL) | ≥ 100 o tratamiento previo específico |
| TG plasmáticos (mg/dL) | ≥ 150 o tratamiento previo específico |
| cHDL (mg/dL) | <40 en H o <50 en M o en tratamiento específico |
| PA (mmHg) | Sistólica ≥ 130 o diastólica ≥ 85 o con tratamiento antihipertensivo |
Entre las alteraciones metabólicas relacionadas con el SM destacan74:
- •
Dislipemia, fundamentalmente hipertrigliceridemia, descenso del cHDL y presencia de partículas cLDL pequeñas y densas, con aumento plasmático de los ácidos grasos libres. A este conjunto de alteraciones se le conoce como dislipemia aterogénica.
- •
Hiperglucemia o DM.
- •
PA elevada.
Estas alteraciones, junto con la obesidad abdominal, son los parámetros que se han establecido para el diagnóstico de SM. Además, otras muchas alteraciones no utilizadas para el diagnóstico son habituales en estos pacientes, como la hiperuricemia, la gota, la hipercoagulabilidad y los defectos de la fibrinólisis, que con frecuencia cursan con una elevación del inhibidor del activador del plasminógeno-1 (PAI-1), la esteatosis hepática no alcohólica y el hiperandrogenismo. La relevancia clínica del SM se relaciona con su prevalencia, un 20-40% de la población general y un 80-85% de los sujetos con DM2. Los pacientes con SM tienen un riesgo elevado de desarrollar EVA y DM2.
Datos de diferentes metaanálisis indican que las personas con SM duplican su riesgo de episodios vasculares e incrementan en 1,5 veces la mortalidad por todas las causas, comparado con aquellos sin SM74. Estudios recientes encuentran un incremento en el riesgo relativo de desarrollar DM2 de entre cinco y 10 veces. Otras complicaciones relacionadas con el SM son: enfermedad hepática esteatósica asociada a disfunción metabólica, SAHOS, insuficiencia respiratoria o síndrome de hipoventilación alveolar idiopática y diversas formas de cáncer (mama, útero, colon, esófago, páncreas, riñón, próstata, etc.).
El tratamiento está dirigido a controlar todos los componentes del síndrome (tabla 25 y tabla 26). El pilar del tratamiento se basa en el cambio del estilo de vida, buscando una reducción ponderal y un control de la dislipemia aterogénica74,172,174, y en el control farmacológico, si fuera necesario, de los componentes individuales del síndrome (tabla 26).
Tratamiento del síndrome metabólico
| Tratamientos | |
|---|---|
| Dieta | De tipo mediterráneo (saturadas <7% del aporte calórico total, colesterol <200 mg/día, evitar grasas trans)Rica en fibraLimitar consumo de Na (5-6 g/día)Alimentos con índice glucémico bajo. Evitar azúcares simplesAumentar frutas, vegetales y cereales integralesAceite de oliva como grasa culinaria principalEvitar alimentos procesados |
| Actividad física | Moderada-intensa30 minutos/día (preferible 45-60 min)Continua/intermitenteAl menos 5 días/semanaAdaptada a edad y estado cardiovascular del paciente |
min: minutos; Na: sodio; SM: síndrome metabólico.
Tratamiento de otros componentes del síndrome metabólico
| Componentes | Objetivo | Objetivos secundarios | Tratamiento |
|---|---|---|---|
| Dislipemia | cLDL en función de los FRV asociados*Si hipertrigliceridemia → c-no-HDL (30 mg/dL superior al objetivo de LDL) o Apo B | cHDL mg/dL> 40 H y> 50 MTG <150 mg/dL | Medidas higiénico-dietéticasEstatinas, ezetimiba y/o fibratos si se precisa |
| Hipertensión y microalbuminuria | PAS <130 y PAD <80 mmHg | Medidas higiénico-dietéticasIECA o ARA-II± otros fármacos | |
| Otros FRV | Abandono tabacoValorar antiagregación en casos seleccionados de muy alto riesgo (AAS) |
El SM no es un equivalente coronario, pero sí es un modulador del riesgo vascular (Tabla 7)
AAS: ácido acetilsalicílico; Apo B: apolipoproteína B; ARA-II: antagonistas de los receptores AT1 de la angiotensina II; cLDL: colesterol unido a lipoproteínas de baja densidad; cHDL: colesterol unido a lipoproteínas de alta densidad; c-no-HDL: colesterol-no-HDL; H: hombres; IECA: inhibidor de la enzima convertidora de la angiotensina I; FRV: factores de riesgo vascular; M: mujeres; PA: presión arterial; SM: síndrome metabólico; TG: triglicéridos
La obesidad es una enfermedad crónica causada por la disfunción del tejido adiposo como consecuencia de una acumulación excesiva y/o anormal de este. En la actualidad, el concepto de obesidad centrado únicamente en el IMC puede ser considerado impreciso, pero debido a la dificultad de la cuantificación de la masa grasa, este parámetro se sigue utilizando en su diagnóstico y clasificación. La obesidad se define como un IMC ≥ 30kg/m2175. La clasificación de los pacientes en función de su valor de IMC viene recogida en la tabla 27. El perímetro de la cintura permite diagnosticar el tipo de obesidad (obesidad abdominal) y el riesgo cardiometabólico. El valor del perímetro abdominal difiere según los grupos étnicos175. Debemos añadir al IMC la presencia o no de comorbilidades, que definen mejor el riesgo del paciente y la individualización de su tratamiento.
Clasificación de las personas según el índice de masa corporal. Definición de delgadez y obesidad
| Clasificación | IMC |
|---|---|
| Peso insuficiente | <18,5 kg/m2 |
| Normopeso | 18,5-24,9 kg/m2 |
| Sobrepeso de grado 1 | 25-26,9 kg/m2 |
| Sobrepeso de grado 2 | 27-29,9 kg/m2 |
| Obesidad de grado 1 | 30-34,9 kg/m2 |
| Obesidad de grado 2 | 35-39,9 kg/m2 |
| Obesidad de grado 3 o mórbida | 40-49,9 kg/m2 |
| Obesidad de grado 4 o extrema | ≥ 50 kg/m2 |
La obesidad es muy prevalente en nuestro país. Según la Encuesta Europea de Salud en España (EESE), en 2020 un 16,5% de hombres y un 15,5% de mujeres padecían obesidad, y un 44,9% de hombres y un 30,6% de mujeres sobrepeso. La obesidad es el principal FRV para desarrollar DM2 y se asocia, especialmente la obesidad abdominal, con un alto RV175.
El tratamiento de la obesidad es complejo y debe ser individualizado175. Se basa en estrategias de dietoterapia (tabla 28 y fig. 9)176, cambios de estilo de vida, psicoterapia y fármacos (tabla 29)175.
Indicaciones de dietas de muy bajo contenido calórico
| Indicaciones | Contraindicaciones |
|---|---|
| Pacientes con IMC> 35 kg/m2 en los que ha fracasado el tratamiento convencional y además presentan:Necesidad de una pérdida de peso rápida, p. ej., insuficiencia respiratoria grave o cirugía ortopédicaPatología grave asociada a la obesidad que responde a la reducción ponderal, como la DM2, HTA, dislipemia o SAHOS | IMC <30 kg/m2Embarazo y lactanciaPatología grave sistémica o de órgano, salvo en situaciones que se vean francamente agravadas por el sobrepeso, en las que se recomienda valoración individual de la relación riesgo-beneficioDM1Alteraciones psiquiátricas: trastorno de la conducta alimentaria, depresión grave, psicosis, adicción a drogas o alcoholTrastornos hidroelectrolíticos e hipotensión ortostáticaEnfermedades con pérdidas proteicas: enfermedad de Cushing, lupus eritematoso sistémico, proteinuria, neoplasias, malabsorción, enfermedad inflamatoria intestinal, etc.Enfermedades agudas cardiovasculares, arritmias cardiacas, ictusCirugía mayor o trauma en los últimos 3 meses |
DM1: diabetes mellitus de tipo 1; IMC: índice de masa corporal; HTA: hipertensión arterial; SAHOS: síndrome de apnea-hipopneas obstructiva del sueño.
Tratamiento farmacológico de la obesidad
| Liraglutida (Saxenda®) | |
| Posología1.ª semana 0,6 mg/día; 2.ª semana 1,2 mg/día; 3.ª semana 1,8 mg/día; 4.ª semana 2,4 mg/díaMantenimiento 3 mg/día | |
| Efectos clínicosPérdida de peso del 8% mantenido a 3 añosDisminución progresión prediabetes a DM | |
| Efectos adversosNáuseas y vómitos | |
| ContraindicacionesEmbarazo y lactanciaNeoplasia endocrina múltiple (MEN-2)Carcinoma medular tiroidesNo se recomienda en:• Insuficiencia renal grave (aclaramiento de creatinina <30 mL/min) o terminal• Insuficiencia hepática grave• Pacientes con antecedentes personales de pancreatitis agudaUsar con precaución en pacientes con insuficiencia hepática leve o moderada | |
| Semaglutida (Wegovy®) | |
| Posología | |
| Escalado de la dosis | Dosis semanal |
| Semana 1 a 4 | 0,25 mg |
| Semana 5 a 8 | 0,5 mg |
| Semana 9 a 12 | 1 mg |
| Semana 13 a 16 | 1,7 mg |
| Dosis de mantenimiento | 2,4 mg |
| Efectos clínicosPérdida de peso del 14,9% a las 68 semanas | |
| Efectos adversosNáuseas y vómitosDiarrea | |
| ContraindicacionesEmbarazo y lactanciaNeoplasia endocrina múltiple (MEN-2) o carcinoma medular de tiroidesNo se recomienda en:• Insuficiencia renal grave (FGe <30 mL/min/1,73 m2)• Insuficiencia hepática grave y se debe usar con precaución en pacientes con insuficiencia hepática leve o moderada• Insuficiencia cardiaca congestiva de clase IV• DM1• Pacientes con antecedentes personales de pancreatitis agudaExiste una experiencia limitada en pacientes (usar con precaución): ≥ 75 años, con enfermedad inflamatoria intestinal y con gastroparesia diabética | |
| Tirzepatida (Mounjaro®) | |
| Posología | |
| Escalado de la dosis | Dosis semanal |
| Semana 1 a 4 | 2,5 mg |
| Semana 5 a 8 | 5 mg |
| Semana 9 a 12 | 7,5 mg |
| Semana 13 a 16 | 10 mg |
| Semana 17 a 20 | 12,5 mg |
| Dosis máxima | 15 mg |
| Mantenimiento: 10-15 mg/semana | |
| Efectos clínicos↓ 20% peso a las 68 semanas↓ 2% HbA1c | |
| Efectos adversosNáuseas, vómitos, diarrea o estreñimiento | |
| ContraindicacionesNeoplasia endocrina múltiple (MEN-2) o carcinoma medular de tiroidesNo se recomienda en:• El embarazo ni en mujeres en edad fértil que no utilicen métodos anticonceptivos• La lactancia• Pacientes con antecedentes personales de pancreatitis agudaExiste una experiencia limitada en pacientes (usar con precaución): ≥ 85 años, con insuficiencia renal grave y terminal, con insuficiencia hepática grave | |
| Orlistat | |
| PosologíaOrlistat 120 mg/2-3 veces día en las comidas principales (requiere prescripción médica)Orlistat 60 mg/2-3 veces día en las comidas principales (no requiere prescripción médica) | |
| Efectos clínicos↓ 37% progresión a DM2Dosis 120 mg/3 veces día ↓ 3,1% peso inicial al año↓ PAS, PAD, CT, cLDL | |
| Efectos adversos15-25% gastrointestinalesPuede ↓ absorción de vitaminas liposolublesNefrolitiasis por oxalatos (orlistat ↑ niveles de oxalato en orina y debe usarse con precaución en pacientes con historia de nefrolitiasis por oxalatos) | |
| ContraindicacionesSíndrome de malabsorción crónicaColestasisEmbarazoLactancia | |
| Naltrexona/Bupropión (no comercializado en España) | |
| PosologíaAl iniciar el tratamiento, la dosis se debe aumentar durante 4 semanas:• Semana 1: un comprimido por la mañana• Semana 2: un comprimido por la mañana y otro por la noche• Semana 3: dos comprimidos por la mañana y uno por la noche• Semana 4 y posteriores: dos comprimidos por la mañana y dos por la nocheLa última dosis se recomienda que se tome por la tarde para evitar la aparición de insomnio si se ingiere a la hora de cenar | |
| Efectos clínicos50% de los pacientes pierden ≥ 5% del peso | |
| Efectos adversosNáuseasIncremento de la frecuencia cardiaca | |
| ContraindicacionesEmbarazo y lactanciaHTA no controladaPacientes que padezcan en la actualidad trastornos convulsivos o presenten antecedentes de convulsionesNeoplasia conocida en el sistema nervioso centralSíndrome de abstinencia al alcohol o benzodiacepinasAntecedentes de trastorno bipolarCualquier tratamiento simultáneo que contenga bupropión o naltrexonaDiagnóstico actual o previo de bulimia o anorexia nerviosaDependencia de los opiáceos de administración prolongada o de los agonistas opiáceos (p. ej., metadona) o con un síndrome agudo de abstinencia a los opiáceosTratamiento simultáneo con inhibidores de la monoaminooxidasa (IMAO). Entre la interrupción de la administración de IMAO y el inicio del tratamiento con naltrexona/bupropión deben haber transcurrido un mínimo de 14 díasInsuficiencia hepática graveInsuficiencia renal terminal | |
cLDL: colesterol unido a lipoproteínas de baja densidad; CT: colesterol total; DM: diabetes mellitus; DM1: diabetes mellitus de tipo 1; DM2: diabetes mellitus de tipo 2; GLP-1: péptido similar al glucagón de tipo 1; HTA: hipertensión arterial; PAS: presión arterial sistólica; PAD: presión arterial diastólica; FGe: tasa de filtración glomerular estimada.
La intervención dietética tiene como principal objetivo reducir la ingesta. Diferentes patrones dietéticos son efectivos en la pérdida de peso. Los planes deben adaptarse a las características clínicas y preferencias del paciente (fig. 9). En general, una dieta de tipo mediterráneo debe ser la base del tratamiento en nuestro medio.
Una reducción calórica diaria entre 500 y 1.000kcal puede producir una pérdida ponderal de entre 0,5 y 1kg/semana. Las reducciones de peso entre un 7 y un 10% producen beneficios para la salud y cambios metabólicos significativos.
Además, es importante prescribir ejercicio físico adecuado a cada paciente y el soporte psicológico con modificación de la conducta alimentaria.
El tratamiento farmacológico en la obesidad debe ser individualizado. La selección de los fármacos dependerá de la edad, la presencia o no de DM y las contraindicaciones (tabla 29).
El tratamiento quirúrgico de la obesidad se reserva para un grupo de pacientes tras el fracaso terapéutico de otras opciones conservadoras177. La cirugía bariátrica está indicada en la obesidad mórbida o en la obesidad grave con múltiples complicaciones no controladas médicamente y que han fracasado con otras estrategias terapéuticas. Es un tratamiento efectivo no exento de complicaciones. Las indicaciones y contraindicaciones quedan recogidas en la tabla 30.
Tratamiento quirúrgico de la obesidad
| Indicaciones y contraindicaciones | |
|---|---|
| Indicaciones de cirugía bariátrica | IMC ≥ 40 kg/m2IMC ≥ 35 kg/m2 con una o más comorbilidades graves:DM2HTADislipemiaTrastornos respiratorios secundarios a obesidadEnfermedad hepática esteatósica con disfunción metabólicaArtrosisIncontinencia urinaria |
| Requisitos | Edad 18 a 60 años. En mayores se debe individualizarDescartar endocrinopatíasHistoria de obesidad mórbida de al menos 5 añosFracaso o respuesta insuficiente del tratamiento médico-nutricionalCapacidad de adherencia a las recomendaciones y cambios en el estilo de vida posteriores a la cirugíaEl paciente debe entender el tratamiento al que va a ser sometido y las consecuencias a largo plazoValoración psiquiátrica en caso de antecedente relevante o sospecha de enfermedad mental |
| Contraindicaciones | Patología psiquiátrica grave: esquizofrenia, depresión mayor, retraso mentalInestabilidad psiquiátricaTCAAbuso de alcohol u otras drogas |
DM2: diabetes mellitus de tipo 2; HTA: hipertensión arterial; IMC: índice de masa corporal; TCA: trastorno de la conducta alimentaria.
El tabaquismo es, según la OMS, una tragedia humana y económica evitable178. En la Encuesta Europea de Salud de 2020 se constató que, en España, un 16,4% de mujeres y un 23,3% de hombres fuman a diario179. Cada año mueren en el mundo más de 7 millones de personas a causa del tabaco y, de estos, 1,6 millones se deben al tabaquismo pasivo178. El tabaquismo es la primera causa de mortalidad evitable, ya que duplica el riesgo de muerte por EVA y la multiplica por 5 en los menores de 50 años. Fumar tabaco contribuye a la formación y la rotura de las placas de ateroma; además, favorece la inflamación, la oxidación y la disfunción del endotelio arterial, que predispone al espasmo arterial, a la trombosis y a la obstrucción vascular. Fumar tabaco es perjudicial en todas sus formas, de una forma proporcional a la cantidad fumada180. Dejar de fumar es, entre todas las medidas preventivas, la más rentable en cuanto a la disminución del RV, cuyo beneficio aparece ya en los primeros meses de la abstinencia. En España, en el periodo 2009-2012 la población fumadora disminuyó un 3,13% y en el periodo 2009-2017 un 4,81%181. Sin embargo, el tabaco se sigue promocionando182 y, una vez adquirido el hábito de fumar, su interrupción es compleja, ya que el número de intentos fallidos antes del abandono del tabaco oscila, según distintos informes, entre 5 y 14183. En todos los fumadores y en cualquier interacción con los profesionales sanitarios, se debe aconsejar el abandono del tabaco, lo cual aumenta en más de un 50% la probabilidad de que el paciente lo consiga. Se considera que una persona ha dejado de fumar cuando han transcurrido seis meses desde que fumó el último cigarrillo. En la tabla 31 se muestran las recomendaciones sobre las estrategias para tratar el tabaquismo contenidas en las guías europeas de prevención cardiovascular14.
Recomendaciones sobre las estrategias para tratar el tabaquismo
| Recomendación | Clase | Nivel |
|---|---|---|
| Cualquier consumo de tabaco debe ser interrumpido, dado que el uso de tabaco se asocia de forma intensa e independiente con el desarrollo de enfermedad vascular | I | A |
| Se debe ayudar a los fumadores a abandonar el tabaco, ofreciéndoles sustitutos de nicotina y fármacos (vareniclina y bupropión solos o en combinación), cuando sea necesario | IIa | A |
| El cese del tabaquismo es recomendable a pesar de la ganancia de peso, dado que dicha ganancia no reduce el beneficio vascular derivado de su abandono | I | B |
| Debe evitarse el tabaquismo pasivo | I | B |
Adaptado de14.
Toda visita médica de control del RCV ha de incluir los siguientes apartados referentes al tabaquismo:
- •
Anamnesis sobre el hábito de fumar:
- –
¿Ha sido fumador en algún periodo de su vida (ha fumado con regularidad al menos 1 cigarrillo al mes)? (No/ Sí).
- –
¿Cuántos cigarrillos fuma al día?
- –
Si ha dejado de fumar, ¿cuántos meses han transcurrido desde que lo dejó?
- –
¿Cuántos intentos serios de dejar de fumar ha realizado a lo largo de su vida?
- –
- •
Aconsejar con convencimiento de la necesidad de dejar de fumar. Información sobre los beneficios de dejar de fumar y las estrategias facilitadoras. También sobre el potencial incremento de peso (3-5kg de promedio) y su irrelevancia en comparación con el beneficio preventivo vascular y la mejora del estado de salud general.
- •
Valoración del grado de adicción mediante el test de Fagerström184 (Anexos) o mediante un cuestionario abreviado de solo dos preguntas185 (Anexos) para orientar sobre la necesidad de utilizar medidas farmacológicas y de sustitución de la nicotina. Cuanto menos tiempo transcurre desde que el paciente se despierta por la mañana hasta que se fuma el primer cigarrillo y cuanto mayor es el número de cigarrillos que fuma al día, mayor es la dependencia a la nicotina.
- •
Valoración de la actitud del paciente frente al tabaquismo. Se pueden realizar tres preguntas clave:
- –
¿Cree que el tabaco le perjudica?
- –
¿Le gustaría dejar de fumar?
- –
¿Cree que podrá dejarlo?
- –
- •
Si el paciente ha respondido afirmativamente a las tres preguntas anteriores, hay que asistirlo mediante una estrategia planificada, incluyendo la fijación de la fecha, terapia conductual/motivacional y apoyo farmacológico o de consultas de tabaco específicas. Si no lo ha hecho, habrá que informarlo, motivarlo e insistir.
- •
Establecer un programa de seguimiento.
Tanto el tratamiento conductual como el farmacológico son eficaces y seguros para dejar de fumar y ello ha sido demostrado con una máxima calidad de la evidencia. Es más eficaz la combinación de ambos tratamientos que la monoterapia. Por otro lado, no hay evidencias suficientes de la eficacia de la hipnosis o la acupuntura186.
Tratamiento conductualEl tratamiento conductual incluye una amplia variedad de intervenciones que han de animar al paciente a reflexionar sobre su hábito de fumar para aumentar su motivación y confianza en su capacidad para abandonarlo. Se trata de ofrecer habilidades para gestionar el deseo de fumar y superar las emociones negativas que provoca la abstinencia de la nicotina, promover cambios ambientales que disminuyan los estímulos que inducen a fumar y ofrecer apoyo social. El consejo para dejar de fumar se puede dar de forma breve e individualizada (< 5 minutos) o de forma más prolongada y en visitas repetidas presenciales, virtuales o telefónicas, y en reuniones grupales o con materiales de autoayuda, siendo el consejo individualizado el más eficaz187. El tratamiento conductual también puede promover la adherencia al tratamiento farmacológico y ayudar a superar los efectos adversos de este.
Tratamiento farmacológicoLa farmacoterapia del tabaquismo incluye el tratamiento de sustitución de la nicotina, la vareniclina, la citisiniclina (citisina) y el bupropión188. Aunque estos productos suelen prescribirse cuando la persona que fuma abandona o va a abandonar en los próximos días el hábito, distintos estudios sugieren que la eficacia del tratamiento aumenta cuando se inicia semanas o incluso meses antes de la interrupción del tabaquismo186.
- •
Tratamiento de sustitución de la nicotina. Puede prescribirse en forma de chicles, parches o espráis bucales. Todos ellos son eficaces y aumentan la probabilidad de abandono del tabaquismo. El abandono del tabaquismo en los individuos que responden a la terapia de sustitución con nicotina suele producirse en las primeras cuatro semanas, si bien prolongar el tratamiento hasta ocho a 12 semanas aumenta la probabilidad de remisión a largo plazo189.
Fumar un cigarrillo aporta 1-2mg de nicotina y la dosis de nicotina administrada en forma de sustitutos ha de adaptarse al número de cigarrillos fumados. Los parches de nicotina se aplican cada 24 horas y se presentan en tres dosis, de 7, 14 y 21mg. El pico máximo de concentración de nicotina en sangre se alcanza tras una hora de su aplicación cutánea y su efecto se prolonga 24 horas. Los chicles de nicotina se presentan en dosis de 2 y 4mg, aunque solo se absorbe alrededor de un 50% de la dosis y el espray bucal contiene 1mg de nicotina por pulverización. Tanto con los chicles como con el espray bucal, el pico máximo de nicotina se alcanza a los 20-30 minutos y se disipa en unas 2 horas. Las personas que fuman menos de 10 cigarrillos al día pueden utilizar los chicles o el espray bucal, y en las que fuman 10 o más cigarrillos son preferibles los parches. En estas últimas, los parches pueden combinarse con chicles o espray bucal para combatir los síntomas de abstinencia y con ello se consiguen resultados algo mejores que con los parches en monoterapia190. El tratamiento con sustitutos de la nicotina no se asocia con un mayor riesgo de episodios de EVA y se ha demostrado con una alta calidad de la evidencia que tiene un efecto significativo en el abandono del tabaquismo186.
- •
Bupropión. El bupropión es un antidepresivo que podría inhibir la recaptación de adrenalina y noradrenalina. Una amplia base de ensayos clínicos ha demostrado que incrementa en más de un 50% las posibilidades de abandono del tabaquismo. Se administra en forma de un comprimido de 150mg de liberación prolongada al día durante tres días y después se aumenta la dosis a 150mg dos veces al día para completar 12 semanas de tratamiento. A los siete días de iniciar el tratamiento se recomienda dejar de fumar. Sus principales inconvenientes son un riesgo pequeño (1/1.000) de convulsiones y el insomnio, que si aparece puede evitarse disminuyendo la dosis a un comprimido de 150mg/día. No se ha demostrado que aumente el riesgo de EVA o enfermedad neuropsiquiátrica. El tratamiento puede prolongarse 12 semanas, si bien cabe mantenerlo hasta 52 semanas en los pacientes con alto riesgo de recurrencias190.
- •
Vareniclina. La vareniclina es un agonista parcial de los receptores de la nicotina, que median la dependencia de la nicotina a través de la liberación de dopamina, y disminuye los síntomas de la abstinencia tabáquica y también el grado de satisfacción asociado a fumar. Una amplia base de ensayos clínicos ha demostrado que su uso incrementa en más de dos veces la probabilidad de abandonar el tabaco. Se administra en forma de un comprimido de 0,5mg una vez al día durante tres días, un comprimido de 0,5mg cada 12 horas del cuarto al séptimo día y, a partir del octavo día, un comprimido de 1mg cada 12 horas hasta completar 12 semanas de tratamiento. Igual que con el bupropión, se recomienda dejar de fumar al séptimo día de iniciado el tratamiento. Su principal efecto secundario son las náuseas, que pueden mitigarse con un aumento progresivo de las dosis y evitando las dosis más altas191. No se ha demostrado que la vareniclina se asocie con efectos adversos cardiovasculares o neuropsiquiátricos graves192.
- •
Citisiniclina (citisina). La citisina es un alcaloide vegetal que, como la vareniclina, es un agonista parcial de los receptores de la nicotina193. Su eficacia para lograr el abandono del tabaco podría ser similar a la de la vareniclina, pero con una tolerancia algo mejor194. La citisina se presenta en comprimidos de 1,5mg y su posología se muestra en la tabla 32.
Tabla 32.Posología de la citisina
Días de tratamiento Dosis recomendada Dosis diaria máxima Del 1.° al 3.er día 1 comprimido cada 2 horas 6 comprimidos Del 4.° al 12.° día 1 comprimido cada 2,5 horas 5 comprimidos Del 13.° al 16.° día 1 comprimido cada 3 horas 4 comprimidos Del 17.° al 20.° día 1 comprimido cada 5 horas 3 comprimidos Del 21.° al 25.° día 1-2 comprimidos al día Hasta 2 comprimidos
El paciente ha de dejar de fumar no más tarde del 5.° día de tratamiento y, si no lo consigue, ha de interrumpir el tratamiento, que puede reanudarse a los dos o tres meses.
Combinación de tratamientos farmacológicosLa combinación del tratamiento de sustitución de la nicotina con otros fármacos, como la vareniclina, la citisina o el bupropión, podría aumentar el grado de éxito en el abandono del tabaco. La asociación de fármacos distintos a los de la sustitución de la nicotina, como el bupropión con la vareniclina o la citisina, podría plantearse solo cuando la monoterapia con uno de ellos no consigue la abstinencia186.
Cigarrillos electrónicos (e-cigarettes)Los cigarrillos electrónicos autorizados son dispositivos que, mediante calentamiento sin combustión, generan un aerosol que habitualmente contiene nicotina. Al no producirse combustión se genera una cantidad menor de toxinas, lo que hace que sean menos perjudiciales que los cigarrillos convencionales. En una reciente revisión de la fundación Cochrane se concluye que existe una alta calidad de la evidencia sobre la mayor eficacia de los cigarrillos electrónicos con nicotina respecto a otros tratamientos de sustitución de la nicotina para dejar de fumar195. Sin embargo, las evidencias son limitadas sobre sus efectos sobre la salud a largo plazo. Los cigarrillos electrónicos pueden ser efectivos cuando la persona que fuma sustituye completamente los cigarrillos convencionales por los electrónicos, lo que disminuye de forma significativa el riesgo cardiovascular, pero ello supone aún un alto riesgo en comparación con el abandono del tabaco196, que es el objetivo terapéutico. Entre otros cigarrillos electrónicos, el consumo de los productos de tabaco calentado es el que más se ha incrementado197, lo que podría explicarse por su aprobación en 2020 por la U.S. Food and Drug Administration (FDA) como un producto del tabaco de riesgo modificado198.
Paciente con fibrilación auricularLa FA es la arritmia más frecuente, aumentando su prevalencia mundial de 33,5 millones de casos en 2010 a más de 59 millones en la actualidad199. Es probable que esta cifra sea aún mayor debido a su infradiagnóstico, especialmente en las fases iniciales de la enfermedad, como consecuencia de la ausencia de síntomas notables. La mayor disponibilidad de dispositivos para el registro del ritmo cardiaco, junto con una creciente conciencia sobre la FA, ha contribuido de manera importante al aumento general en su detección199. La prevalencia de la FA depende de las características de la población, relacionadas con la edad, el sexo, la raza y la zona geográfica.
- •
Edad y sexo. La FA está estrechamente relacionada con el envejecimiento, afectando principalmente a la población de edad avanzada200. La franja etaria en la que más prevalencia de FA se observa es en pacientes mayores de 75 años, siendo del 9%, doblándose (hasta el 18%) en mayores de 85201,202. En pacientes entre 55 y 75 años la prevalencia oscila entre el 1 y el 6%, mientras que en pacientes menores a 55 años es del 0,1%202. La prevalencia es similar en ambos sexos, pero algo superior en los hombres (1,1 vs. 0,8%), cifra que se ajusta a lo largo de la vida202.
- •
Raza, etnia y zona geográfica. Los adultos de raza negra y los hispanos tienen un riesgo más bajo de FA que los blancos no hispanos203. Esta diferencia se acentúa en edades más avanzadas. Los países desarrollados presentan una prevalencia mayor de FA en comparación con los países en desarrollo, siendo las más altas en Norteamérica y las más bajas en Asia y África subsahariana199.
El riesgo de la FA a lo largo de la vida aumenta con el incremento de la carga de FRV. Identificarlos, prevenirlos y tratarlos es clave para reducir la prevalencia de la FA y su carga de morbilidad.
Hipertensión arterialUna PA alta e incontrolada puede modificar la estructura de la pared miocárdica, favoreciendo el desarrollo de una FA e incrementando la posibilidad de hacerla recurrente. El riesgo relativo que tienen los pacientes hipertensos de presentar FA es de 1,50 con respecto a los normotensos204. Este hecho hace que la elevada prevalencia de hipertensión en la población general convierta a este FRV en la causa subyacente más frecuente entre los pacientes con FA, por lo que su control debería ser una parte integral del tratamiento204. Por otra parte, la HTA aumenta el riesgo de ictus lacunar y hemorrágico.
Diabetes mellitusLa DM está presente en alrededor del 25% de los pacientes con FA205. Aunque se conoce la influencia de la DM en el remodelado miocárdico y su predisposición al desarrollo de una FA, el control glucémico intensivo no disminuye la tasa de FA de nueva aparición. Aquellos pacientes con diabetes y mayor variabilidad glucémica presentan un riesgo relativo de 1,2 de desarrollar FA206. Por el contrario, una DM de larga evolución predispone a un mayor riesgo de ictus y de fenómenos tromboembólicos en pacientes con FA. No obstante, el tratamiento con metformina en pacientes con DM e iSGLT2 está asociado con un menor riesgo de FA206. En este sentido, pese a que los estudios con iSGLT2 han demostrado una reducción del volumen auricular izquierdo, hay datos contradictorios sobre si reducen la incidencia de FA207.
Obesidad y síndrome metabólicoLa obesidad incrementa la probabilidad de desarrollar una FA de forma paralela al aumento del IMC208. Este hecho puede ser debido al aumento de la presión y el volumen de la aurícula izquierda. La reducción ponderal, del orden de 10-15kg, disminuye la recurrencia de la FA, mientras que la pérdida> 10% del peso en pacientes con sobrepeso y obesidad con FA disminuye los síntomas205,208. Asimismo, la mejora de la capacidad cardiorrespiratoria y el ejercicio pueden disminuir aún más la carga de FA en los pacientes obesos con FA209. El SM incluye la presencia de HTA, DM y obesidad, entidades que como hemos visto se relacionan con la presencia de FA, por lo que la unión de estas acentúa el riesgo210.
Insuficiencia cardiacaLa prevalencia de FA en pacientes con IC es ligeramente superior en aquellos con FEVI deprimida con respecto a preservada (46 vs. 34%)211. Los pacientes con FA e IC, tanto deprimida como reducida, se benefician de la optimización de la terapia de la IC, en particular de los iSGLT2, para reducir las hospitalizaciones y recurrencias de FA205.
Síndrome de apnea-hipopnea obstructiva del sueñoLa FA se asocia con la EPOC y el SAHOS. La remodelación auricular secundaria a la hipoxia relacionada con el SAHOS impulsa la fibrosis y el enlentecimiento de la conducción, lo que conlleva una mayor prevalencia de FA212. El riesgo de FA en estos pacientes crece según aumenta la gravedad del SAHOS213. En aquellos pacientes tratados con ventilación mecánica la incidencia y recurrencia de FA es menor.
Enfermedad renal crónicaLa incidencia de FA es más frecuente en pacientes con microalbuminuria y/o FG inferior a 60mL/min/1,73 m2, siendo mayor en aquellos en estadios terminales de la enfermedad o en diálisis, provocando mayor mortalidad y eventos tromboembólicos214.
Diagnóstico de la fibrilación auricular y estrategias de cribadoEl diagnóstico de FA se realiza al objetivar irregularidad en los intervalos RR con ausencia de ondas P en un ECG de 12 derivaciones o durante al menos 30 segundos en un ECG realizado mediante otros dispositivos de 1 o múltiples derivaciones. Se distinguen 4 patrones temporales basados en la presentación, la duración y la resolución espontánea de los episodios de FA:
- •
FA diagnosticada por primera vez: FA no diagnosticada previamente, independientemente de los síntomas o del patrón temporal.
- •
FA paroxística: aquella que revierte espontáneamente o con intervención en <7 días.
- •
FA persistente: se mantiene durante> 7 días y <1 año. Dentro de esta categoría se puede hablar de FA persistente de larga duración: si se mantiene> 1 año, pero es planteable una estrategia de control del ritmo como opción terapéutica.
- •
FA permanente: aquella FA asumida por paciente y médico, no adoptándose nuevas medidas para restaurar o mantener el ritmo sinusal.
La recurrencia de FA tras un primer episodio cardiovertido se encuentra en alrededor del 70%, influyendo varios factores como la disfunción del ventrículo izquierdo y el diámetro de la aurícula izquierda, y su progresión a FA persistente es del 8 al 25% durante el primer y el quinto año215,216. Según su componente clínico, la FA puede ser sintomática o clínica, asintomática o subclínica, cuando se hace evidente tras un evento agudo, es detectada por un dispositivo o tras la realización de ECG.
Control integral del paciente con fibrilación auricularSe ha reemplazado el enfoque AF Better Care (ABC) en las guías previas por el protocolo AF-CARE, que promueve la colaboración multidisciplinaria centrada en el paciente y organizada en torno a 4 pilares: detección y tratamiento de comorbilidades y FRV (C), prevención del ictus y la tromboembolia (A), reducción de los síntomas mediante estrategias de control del ritmo y la frecuencia (R), y evaluación y revaluación periódica (E)205. Asimismo, estudios recientes destacan la importancia de la involucración de los profesionales sanitarios en el conocimiento de las opciones para el control multidisciplinario de la FA217:
- •
(C) Comorbilidades y FRV: sitúa el tratamiento de las comorbilidades y los FRV como el primer paso en la atención del paciente con FA, tratando adecuadamente la HTA, la DM, la IC, la obesidad, el sedentarismo y el consumo de alcohol.
- •
(A) Prevención del ictus y la tromboembolia: se recomienda la anticoagulación oral (ACO) en pacientes de alto riesgo tromboembólico, para prevenir el ictus tras una evaluación de los factores de riesgo mediante la escala CHA2DS2-VA.
- •
(R) Reducción de los síntomas, mediante control del ritmo o de la frecuencia cardiaca: priorizando el control del ritmo en la FA paroxística y en la persistente, ya sea farmacológico con fármacos antiarrítmicos o mediante ablación de venas pulmonares, según cada caso; y control de la frecuencia cardiaca en el caso de FA permanente o cuando se decida no insistir en una estrategia de control del ritmo.
- •
(E) Evaluación y revaluación periódica: implica revisar de forma sistemática la eficacia del tratamiento, la adherencia y la progresión de enfermedad.
La FA clínica asintomática se ha asociado de forma independiente con un mayor riesgo de ictus y mortalidad en comparación con la FA sintomática, por lo que se recomienda la realización de cribado a pacientes de> 65 años con HTA, SAHOS o IC, o en mayores de 75 años, mediante la palpación del pulso o ECG de 12 derivaciones205. Pese a que el ECG reglado es considerado el método de diagnóstico convencional, en los últimos años se ha subrayado el papel de las nuevas tecnologías, como las aplicaciones móviles y los relojes inteligentes. Diferentes estudios como el Apple Heart y el Huawei Heart describieron una alta capacidad para describir episodios autolimitados de FA, pero estos deben ser confirmados con ECG218,219. En las recientes guías de la ESC de 2024 se aceptan como ECG distintas modalidades, el de 12 derivaciones, pero además el de dispositivos que hagan ECG de 1 o múltiples derivaciones. Para la evaluación inicial y el tratamiento de todos los pacientes con FA se recomienda la realización de ecocardiografía transtorácica, donde podemos evaluar la función y la estructura cardiaca.
Prevención y medidas no farmacológicasLa reducción intensa de peso con un control integral de los FRV concomitantes resulta en menos recurrencias y síntomas de FA. El consumo excesivo de alcohol es un factor de riesgo de FA y sangrado en pacientes anticoagulados, mientras que la abstinencia de alcohol reduce la recurrencia en bebedores habituales con FA220. El consumo habitual de cafeína podría estar asociado con un menor riesgo de FA, pero la ingesta de cafeína puede aumentar los síntomas de palpitaciones no relacionadas con la FA. El ejercicio físico (> 150min a la semana de ejercicio moderado o> 75min de ejercicio vigoroso) ha demostrado beneficios vasculares. Si bien es cierto que la incidencia de FA parece estar aumentada en los atletas de élite, se debe aconsejar a los pacientes la realización de ejercicios de intensidad moderada para prevenir la incidencia o recurrencia de FA, evitando ejercicios de resistencia excesiva (maratones o triatlones) especialmente en mayores de 50 años221.
Control del ritmo o de la frecuencia cardiaca. Fármacos antiarrítmicos, ablación por catéter y cirugía de la fibrilación auricularLa terapia temprana de control del ritmo se asocia a un menor riesgo de eventos en pacientes con FA de reciente diagnóstico222, mientras que en la FA de larga duración el control de la frecuencia es la terapia más recomendada223. Tanto las estrategias de control de la frecuencia como las de control del ritmo tienen como objetivo aliviar las consecuencias fisiopatológicas de la FA y los síntomas. En aquellos pacientes con FA de nueva aparición se puede observar una restauración espontánea en alrededor del 75% durante las primeras 24-48 horas, por lo que no iniciar tratamiento durante las primeras 24 horas en aquellos pacientes hemodinámicamente estables sin síntomas puede ser una alternativa. La elección de la terapia de control del ritmo dependerá de las características del paciente, los síntomas y la FEVI.
Mientras que en pacientes inestables optamos por la cardioversión eléctrica, en aquellos estables el tratamiento dependerá del tiempo de aparición (mayor o menor de 48 horas) o la anticoagulación previa, debiendo discutir la posibilidad de cardioversión eléctrica con el paciente si esta fuese posible (en tratamiento anticoagulante, en los que se haya descartado la presencia de trombo en la aurícula y la orejuela izquierdas o con duración menor a 24 horas) o seguir una estrategia de espera y observación como alternativa205.
Control de la frecuenciaEn pacientes con FA, se recomienda un control laxo de la frecuencia cardiaca (< 110 lpm), ya que esta estrategia mostró resultados no inferiores al control estricto (< 80 lpm)217.
- •
Betabloqueantes: son los fármacos de primera línea para el control de la frecuencia debido a su rápido efecto, sobre todo en aquellos pacientes con FEVI deprimida, aumento inapropiado de la frecuencia ventricular durante el ejercicio o infarto reciente.
- •
Calcioantagonistas no dihidropiridínicos (verapamilo y diltiazem): son una alternativa eficaz en ausencia de IC con FEVI deprimida o en aquellos pacientes con efectos secundarios a betabloqueantes o mala tolerancia a estos. Al igual que los betabloqueantes, son eficaces reduciendo la frecuencia tanto en reposo como en ejercicio.
- •
Digoxina: es considerado un tratamiento útil pese a estar previamente restringida debido a un posible aumento de la mortalidad, siempre con monitorización estricta de sus niveles224.
- •
Amiodarona: es útil en combinación tras el fracaso de la terapia previa, limitándose su uso en esta indicación tras la terapia combinada máxima tolerada y debiendo evitarse en aquellos con patología tiroidea.
Se recomienda el tratamiento para el control del ritmo con el objetivo de mejorar los síntomas y la calidad de vida en pacientes sintomáticos con FA217. Mientras que la cardioversión eléctrica directa sincronizada es el método preferido para pacientes con FA y deterioro hemodinámico, en pacientes estables su uso y el de la cardioversión farmacológica es indistinto, aunque hay que valorar que esta última es menos efectiva que la eléctrica, sobre todo cuanto mayor sea el tiempo de instauración de la FA, pero por el contrario no requiere ayuno, sedación ni anestesia.
- •
Flecainida y propafenona (clase Ic): están indicadas en pacientes sin cardiopatía estructural ni síndrome de Brugada, y deben usarse con precaución debido a su efecto proarritmogénico (menor con propafenona) asociadas a un fármaco frenador del nodo AV por el riesgo de inducir flutter auricular IC y con monitorización del QRS y el QT la primera vez que se utilizan. Su efecto es rápido (3-5 horas) en más del 50% de los casos. El uso de «la pastilla de bolsillo» o pill-in-the-pocket con flecainida o propafenona es seguro y recomendado en aquellos pacientes con FA paroxística tras entrenamiento y habiéndose testado previamente en el hospital su seguridad225.
- •
Amiodarona: la elección de amiodarona intravenosa se realiza en pacientes con IC con FEVI deprimida, siendo el fármaco que asocia una menor tasa de recurrencias, pero disponiendo de un efecto cardioversor tardío (8-12 horas), menor que otros antiarrítmicos, además de requerir monitorización226. Debemos tener precaución si se asocia con otro fármaco que prolongue el QT e interrumpirse cuando este sea> 500ms. En cambio, el uso de dronedarona ha demostrado tasas de conversión muy bajas.
- •
Vernakalant: posee un efecto cardioversor más rápido que la amiodarona (1 hora)217. No debe usarse en pacientes hipotensos, con CI reciente, IC en clase funcional III-IV, FEVI reducida, estenosis aórtica grave o prolongación de QT, y debe usarse con precaución en concomitancia con dabigatrán.
La ablación por catéter de venas pulmonares es una técnica efectiva para el control del ritmo indicada para pacientes sintomáticos con FA paroxística, con FA persistente en la que los fármacos antiarrítmicos han fallado o con FA que haya producido taquimiocardiopatía con disfunción ventricular. Se podría plantear ablación en pacientes asintomáticos en casos muy concretos en los que se haya demostrado reducir la morbimortalidad. Otra técnica de ablacionar las venas pulmonares es mediante cirugía, indicándose esta cuando el paciente va a ser sometido a una cirugía cardiaca, sobre todo si es sobre la válvula mitral y se piensa que se puede obtener un control del ritmo.
Tratamiento anticoagulante para la prevención del ictusLa anticoagulación es el tratamiento de elección para la prevención del ictus isquémico, independientemente de si se trata de FA permanente, persistente o paroxística217,227. La mayoría de las guías y revisiones sistemáticas recomiendan anticoagulantes orales, con preferencia por los anticoagulantes orales de acción directa (ACOD) en todos los pacientes, excepto en aquellos considerados de bajo riesgo de ictus (CHA2DS2-VA 0). En aquellos pacientes con válvulas cardiacas mecánicas, estenosis mitral grave o enfermedad renal avanzada, los antagonistas de la vitamina K (AVK) serían de elección. La indicación de anticoagulación oral viene establecida por modelos pronósticos que han incorporado la edad y las comorbilidades del paciente, siendo la escala más utilizada chronic heart failure, hypertension, age> 75, diabetes, previous stroke, vascular disease, age 65-74 (CHA2DS2-VA) (tabla 33), que ha excluido el género, habiéndose excluido también la valoración del riesgo hemorrágico (HAS-BLED) en relación con guías previas. La anticoagulación estaría indicada en pacientes con CHA2DS2-VA ≥ 2 con indicación de clase I y con CHA2DS2-VA 1 con indicación de clase IIA, nivel de evidencia C. En la tabla 34 se resumen las recomendaciones de clase I para anticoagulación oral en FA, de acuerdo con la guía europea217. Es importante señalar que el riesgo de ictus no es fijo, sino dinámico y puede fluctuar con la edad, el desarrollo de nuevas comorbilidades y cambios en polifarmacia que deben ser tenidos en cuenta para una apropiada dosificación.
Escala de riesgo trombótico CHA2DS2-VA en fibrilación auricular
| FRV | Valor ponderal |
|---|---|
| IC congestiva | 1 |
| Hipertensión | 1 |
| Edad ≥ 75 años | 2 |
| DM | 1 |
| Ictus/AIT/Embolismo periférico previo | 2 |
| Enfermedad vascular (arteriopatía periférica, CI, placa aórtica) | 1 |
| Edad entre 65 y 74 años | 1 |
| Puntuación máxima | 9 |
| Interpretación: bajo riesgo=0; riesgo moderado=1; riesgo alto ≥ 2 |
AIT: ataque isquémico transitorio; CHA2DS2-VA: chronic heart failure, hypertension, age> 75, diabetes, previous stroke, vascular disease, age 65-74; CI: cardiopatía isquémica; DM: diabetes mellitus; FA: fibrilación auricular; FRV: factores de riesgo vascular; IC: insuficiencia cardiaca.
Recomendaciones de clase I para anticoagulación oral en fibrilación auricular (FA)
| Clase | Nivel de evidencia | |
|---|---|---|
| Se recomienda anticoagulación oral en pacientes con FA clínica y elevado riesgo tromboembólico | I | A |
| Una escala CHA2DS2-VA ≥ 2 es un indicador de riesgo tromboembólico elevado que requiere anticoagulación | I | C |
| Se recomienda anticoagulación oral en todos los pacientes con FA y cardiopatía hipertrófica o amiloidosis cardiaca independientemente de CHA2DS2-VA para la prevención de ictus y tromboembolismo | I | B |
| Se recomienda valoración individualizada periódica del riesgo trombótico para asegurar el empleo óptimo de anticoagulación | I | B |
| ACOD en preferencia a AVK para prevenir ictus o tromboembolismo, excepto en pacientes con válvulas cardiacas mecánicas o estenosis mitral moderada o grave | I | A |
| Se recomienda un INR 2-3 en pacientes con FA que reciben AVK para la prevención del ictus | I | B |
ACOD: anticoagulantes orales de acción directa; AVK: antagonistas de la vitamina K; CHA2DS2-VA: chronic heart failure, hypertension, age> 75, diabetes, previous stroke, vascular disease, age 65-74; INR: índice normalizado internacional (international normalized ratio).
Los pacientes en tratamiento con AVK (warfarina o acenocumarol) necesitan control frecuente del índice normalizado internacional (international normalized ratio [INR] 2-3) para asegurar que los niveles de anticoagulación sean seguros. La calidad del control analítico, como medida del tiempo en rango terapéutico (time in therapeutic range [TTR]) es crucial para optimizar la eficacia y la seguridad del tratamiento, ya que existe correlación entre un TTR mayor del 65% y la reducción de la incidencia de ictus228.
Se han realizado cuatro grandes estudios aleatorizados con ACOD: dabigatrán (RELY), rivaroxabán (ROCKET-AF), apixabán (ARISTOTLE) y edoxabán (ENGAGE-AF), y metaanálisis de estudios pivotales y en la vida real que han demostrado una eficacia igual o superior a los AVK, con menor incidencia de complicaciones hemorrágicas. Los ACOD muestran indudables beneficios en relación con los AVK, tales como efecto anticoagulante estable, inicio rápido de acción, escasas interacciones farmacológicas o dietéticas, y no necesidad de monitorización. Por otro lado, los pacientes que utilizan ACOD, si bien en general no requieren monitorización, deben ser evaluados regularmente para asegurar que no haya interacciones medicamentosas y para ajustar la dosis si fuera necesario dependiendo de la función renal y otros factores217. Un metaanálisis de estudios pivotales mostró una reducción del 19% de ictus o embolismo sistémico, del 8% de mortalidad y del 65% de hemorragia intracraneal de los ACOD en comparación con los AVK229. Asimismo, metaanálisis en la vida real han demostrado que apixabán y dabigatrán se asocian con un menor riesgo de complicaciones hemorrágicas230.
Los ACOD están contraindicados en el embarazo, en pacientes con válvulas cardiacas mecánicas y estenosis mitral moderada o grave. En la tabla 35 se muestran las dosis recomendadas de ACOD en FA.
Dosis recomendadas de anticoagulantes orales de acción directa (ACOD) en fibrilación auricular (FA)
| ACOD | Dosis estándar | Criterio reducción dosis | Dosis reducidas |
|---|---|---|---|
| Apixabán | 5 mg/12 horas/día | Al menos 2:Edad ≥ 80 añosPeso ≤ 60 kgCreatinina ≥ 135μmol/L | 2,5 mg/12 horas/día |
| Dabigatrán | 150 mg/12 horas/día | Al menos 1:Edad ≥ 80 añosTratamiento con verapamilo | 110 mg/12 horas/día |
| Edoxabán | 60 mg/día | Al menos 1:Insuficiencia renal moderada o grave (aclaramiento de creatinina 15-50 mL/min)Peso ≤ 60 kgUso concomitante de ciclosporina, dronedarona, eritromicina o ketoconazol | 30 mg/día |
| Rivaroxabán | 20 mg/día | Aclaramiento de creatinina 15-49 mL/min | 15 mg/día |
Si bien los AVK son de elección en pacientes con enfermedad renal avanzada, los ACOD muestran eficacia y seguridad en relación con los AVK en pacientes con insuficiencia renal moderada (aclaramiento de creatinina> 30mL/min), si bien se requiere ajuste de dosis (tabla 35). En Europa, se han aprobado dosis reducidas de rivaroxabán, apixabán y edoxabán en pacientes con insuficiencia renal grave (aclaramiento de creatinina 15-29mL/min), pero son escasos los sujetos incluidos en estudios aleatorizados. Las guías americanas recomiendan AVK (INR 2-3) o apixabán en pacientes con FA y aclaramiento de creatinina <15mL/min o en diálisis231. Finalmente, en pacientes con contraindicación para el uso de ACOD, el cierre de la orejuela representa una alternativa prometedora para la prevención del ictus isquémico217,227.
Es importante involucrar al paciente en el proceso de decisión sobre las diferentes opciones de anticoagulación y considerar la polimedicación y las comorbilidades que pueden favorecer la aparición de hemorragias. Hay que tener en cuenta la edad, la fragilidad, el peso y la función renal, ya que pueden influir en la elección del tipo de anticoagulante y su dosis, así como educar a los pacientes sobre los signos de posibles complicaciones y la importancia de la adherencia al tratamiento para prevenir eventos adversos.
Entre las opciones emergentes de anticoagulación en FA está el empleo de inhibidores del factor XI de la coagulación, como anticuerpos monoclonales, oligonucleótidos antisentido y pequeñas moléculas. Algunos estudios en fase 2, como el PACIFIC-AF, y otros en fase 3, como OCEANIC-AF, indican una reducción significativa de las complicaciones hemorrágicas, por lo que representan una alternativa prometedora para la anticoagulación de los pacientes con FA232.
Anticoagulación en pacientes que requieren cardioversiónEs importante iniciar precozmente la anticoagulación de los pacientes programados para cardioversión, dado que este procedimiento está asociado con riesgo de tromboembolismo. Los pacientes que se han mantenido en FA durante más de 48 horas deben comenzar la anticoagulación al menos tres semanas antes de la cardioversión y, después, continuar durante cuatro semanas (siempre que no requieran anticoagulación indefinida). Las directrices actuales recomiendan una anticoagulación adecuada con AVK o ACOD, siendo estos de elección para la cardioversión, tanto eléctrica como farmacológica, debido a su eficacia y menor riesgo de complicaciones en comparación con los AVK227,231.
Organización y funcionamiento de la consulta de riesgo vascular: profesionales y dispositivos. Criterios de calidadEn los últimos años diferentes e importantes estudios a escala nacional e internacional han confirmado un deficiente control global de los FRV, especialmente en pacientes de alto y muy alto RV233–241. La escasa consecución de los objetivos terapéuticos puede atribuirse a diversos factores, entre los que cabe destacar la falta de adherencia al tratamiento, la inercia terapéutica, el estatus socioeconómico de la población y también los modelos organizativos242–245. La tendencia actual es crear modelos multidisciplinarios integrados, que permiten una colaboración fluida y bidireccional entre niveles asistenciales, posicionando al paciente como centro del proceso, a diferencia de los modelos asistenciales clásicos estancos, con escasa interacción entre niveles y habitualmente unidireccionales245,246.
El control multidisciplinario del RV tiene unas claras ventajas245:
- •
Homogeneizar entre los diferentes niveles asistenciales el abordaje y el tratamiento de los FRV, y así dar continuidad asistencial en la prevención vascular.
- •
Mejorar la detección de todos los FRV en pacientes de alto RV que facilite la intervención terapéutica más adecuada y precoz para cada paciente.
- •
Optimizar los recursos sanitarios, evitando duplicidades de visitas y exploraciones complementarias.
- •
Definir y consensuar criterios de derivación, para generar un flujo bidireccional que facilite, en la mayoría de los casos, el retorno del paciente a la atención primaria tras efectuar las evaluaciones e intervenciones que requirieron la derivación a la atención especializada. Así se garantiza que esta información llegue al médico de atención primaria y que el paciente reciba mensajes sanitarios unificados desde ambos niveles asistenciales.
- •
Promover la docencia y la investigación en RV.
Una consulta de RV, como una unidad organizativa dentro del ámbito de la atención programada, precisa de245:
- •
Profesionales de distintas especialidades (Medicina Interna, Endocrinología, Cardiología, Nefrología, Neurología, Endocrinología, Bioquímica Clínica), en coordinación con otros profesionales del ámbito de atención primaria (Medicina de Familia, Enfermería, Nutrición) y de otros profesionales como unidades de deshabituación tabáquica o profesionales de salud mental, para facilitar la implementación de estrategias globales de prevención vascular.
- •
Protocolos unificados basados en las guías de práctica clínica para el control global de los principales FRV.
- •
Unos requisitos estructurales básicos247. Ello incluye la posibilidad de realizar una adecuada medida de la PA con dispositivos validados (tabla 36)247,248.
Tabla 36.Recursos de una consulta hospitalaria para el control global de los principales factores de riesgo vascular
Arquitectura Recursos materiales Recursos informáticos Consulta para cada profesional sanitarioEspacio para enfermería para la medida de la PA, educación sanitaria y revisión de la adherencia al tratamientoEs deseable que las consultas de los profesionales que participan en la consulta de riesgo vascular (CRV) se sitúen en la misma áreaControl de la temperatura ambiente Mobiliario completo en la consulta (mesa de despacho y camilla de exploración) y material básico: fonendoscopio, oftalmoscopio, linterna, báscula, tallímetro y cinta métricaDispositivos de medida de la PA validados248Es aconsejable disponer de:Dispositivo de medida de PA semiautomático para que de forma programada se puedan hacer varias medidas automáticas (en general 3) sin presencia de observador. Se aconseja que en la primera visita las 3 medidas automáticas se hagan de forma simultánea en ambos brazosAcceso a la MAPADoppler portátil para la determinación del ITBElectrocardiógrafo Historia clínica digital, accesible al área sanitaria de referenciaAcceso online a escalas de riesgo y cuestionariosPrescripción electrónica, según modelo del servicio de saludPosibilidad de consulta online por atención primariaPosibilidad de realizar videoconsulta ITB: índice tobillo-brazo; MAPA: monitorización ambulatoria de la presión arterial; PA: presión arterial
Adaptado de247.
Como herramienta básica para medir la calidad asistencial se han de establecer unos indicadores (tabla 37) que permitan detectar los aspectos de posible mejora para optimizar el control global de los FRV y que han de ser utilizados como un sistema de autoevaluación245,247,249.
Indicadores para medir la calidad asistencial en el control global del paciente con alto riesgo vascular
| Indicadores | ||
|---|---|---|
| Estructura o actividad | Proceso o calidad | Resultado |
| Número total de pacientes derivados a consulta de RVNúmero de sesiones del equipo de RVNúmero de sesiones de consultoría realizadas con atención primariaNúmero de visitas telemáticas realizadas por los integrantes de la consulta de RV: consulta virtual, sesiones de consultoría, telemedicinaProducción científica: comunicaciones y publicaciones compartidas por varios miembros del grupo | Número derivaciones a consulta de RV que cumplen criterios de derivación previamente definidos y consensuados / número total de derivacionesNúmero de pacientes con primera visita en la consulta de RV con tiempo de respuesta dentro de los márgenes establecidos / número total de primeras visitasNúmero pacientes visitados con codificación de diagnósticos (según CIE-10 / número total de pacientes visitadosNúmero de pacientes en prevención primaria y no DM que tienen estimado su riesgo por alguna escala / número total de pacientes en prevención primaria y no DM atendidos en la consulta de RV | Número de pacientes visitados que cumplen objetivos de control de FRV según su categoría de riesgo / número total de pacientes visitadosAdecuación del consumo de recursos (exploraciones complementarias) / número total de pacientes visitadosNúmero de episodios de consulta de RV cerrados por alta a atención primaria con informe de asistencia consensuado / número altas consulta de RV |
CIE-10: Clasificación Internacional de Enfermedades, 10.ª revisión; DM: diabetes mellitus; FRV: factores de riesgo vascular; RCV: riesgo cardiovascular.
Adaptado de245.
Las consultas donde se atiende a pacientes de RV deben adecuarse al sistema organizativo del servicio de salud correspondiente, público o privado. La incorporación en los últimos años de elementos como la digitalización de las historias clínicas, con la posibilidad de añadir indicadores y extraer información, la prescripción electrónica que facilita conocer el grado de adherencia al tratamiento y las opciones de telemedicina (tanto para la interacción entre paciente y médico como médico-médico) pueden facilitar el acceso a la información clínica del paciente y al mejor control de los FRV.
En este sentido, la creación de alertas en los laboratorios clínicos también puede contribuir a mejorar la detección, el tratamiento y el seguimiento de determinados FRV (dislipemia, DM) desde atención primaria, así como facilitar el contacto efectivo entre profesionales de atención primaria y hospitalaria, mediante teleconsultas basadas en criterios de derivación consensuados250.
La pandemia de COVID-19ha provocado cambios sustanciales en la atención médica, entre los que se incluyen un creciente protagonismo de las consultas telemáticas, que han quedado incorporadas junto a las presenciales en múltiples ámbitos asistenciales. En las consultas de RV se han propuesto criterios para la elección de consultas presenciales o telemáticas como los descritos en la tabla 38251. Para facilitar el diagnóstico y el control de las dislipemias mediante e-consultas en las unidades de RV se ha propuesto igualmente cuáles deben ser los parámetros mínimos necesarios13.
Criterios de elección del tipo de consulta
| Preferencia consulta presencial | Preferencia consulta telemática |
|---|---|
| Sospecha de problemas potencialmente graves o urgentes, tener que dar malas noticias. Cambios clínicos, descompensación o empeoramiento del paciente, necesidad de entrevista con acompañantes, primera visita | Situación clínica estable |
| Dificultades en la comunicación con el paciente (idioma, hipoacusia, problemas cognitivos) | Sin dificultades en la comunicación |
| Requiere exploración física | No requiere exploración física |
| Requiere adiestramiento en autoexamen físico:PesoMedida de PAAMPA | Está adiestrado en autoexamen físico |
| Requiere pruebas complementarias a corto plazo:AnalíticaECGRadiologíaÍndice tobillo-brazoVOPMAPA | Requiere pruebas complementarias a medio o largo plazo (gestionar las peticiones por vía administrativa) |
| Requiere adiestramiento en educación sanitaria más personalizada o cambios de tratamientos importantes, o titulación de estos | No va a requerir a priori cambios de tratamiento |
| ECV descontrolada | No ECV o en situación estable |
| Presencia de múltiples comorbilidades | Sin comorbilidades importantes |
AMPA: automedida de la presión arterial; ECG: electrocardiograma; ECV: enfermedad cardiovascular; MAPA: monitorización ambulatoria de la presión arterial; PA: presión arterial; VOP: velocidad onda del pulso
Adaptado de251.
Los pacientes con RV elevado son remitidos a consultas por norma general para el control de alguno de los FRV, fundamentalmente la HTA, la DM y la dislipemia, ya sea en el ámbito de la prevención primaria o en el de la secundaria. En este sentido, es frecuente que se deriven a las consultas de RV pacientes con EVA establecida (coronaria, cerebrovascular o arterial periférica), a veces jóvenes, en los que no se identifican FRV (para el estudio diagnóstico de trombofilia) o bien que desconocían o no controlaban adecuadamente los FRV detectados durante la valoración hospitalaria.
No es habitual recibir pacientes para deshabituación tabáquica, aun siendo este un FRV mayor; esta tarea suele recaer en unidades especializadas de neumología o de atención primaria. En cualquier caso, cada servicio público de salud suele establecer sus propios criterios de derivación a unidades especializadas, en función de sus propias agendas, de la disponibilidad de recursos y del nivel asistencial (hospitales comarcales frente a hospitales de referencia de tercer nivel).
Las principales causas de derivación para pacientes con DM quedan reflejadas en la tabla 39.
Causas de derivación de pacientes con diabetes mellitus
| Diabetes mellitus |
|---|
| DM1DM gestacionalDiabetes no filiada correctamenteMal control glucémico, diabetes inestable, hipoglucemiasComorbilidades (p. ej., obesidad mórbida)Enfermedad microvascular grave (polineuropatía, pie diabético, IRC, retinopatía avanzada) |
DM: diabetes mellitus; DM1: diabetes mellitus de tipo 1; IRC: insuficiencia renal crónica.
En el contexto del RV, el principal tipo de DM que considerar es la de tipo 2, asociada con la dislipemia, la obesidad, la HTA y el SM; por ello, la causa más habitual va a ser la falta de un control glucémico adecuado, a pesar de que en los últimos años el arsenal terapéutico en el campo de la DM2 es enorme252,253.
Los criterios de derivación para pacientes con HTA según la guía práctica de la Sociedad Española de Hipertensión-Liga Española para la Lucha contra la Hipertensión Arterial (SEH-LELHA) publicada en 2022 son los siguientes254:
- •
Sospecha de HTA secundaria.
- •
Edad de comienzo <40 años con HTA de grado 2-3 (PAS ≥ 160mmHg o PAD ≥ 100mmHg).
- •
Crisis hipertensivas repetidas en pacientes con PA previa normal o con HTA bien controlada.
- •
Indicación de estudios complementarios no disponibles en atención primaria, particularmente indicación de exploraciones vasculares avanzadas que puedan influir en las decisiones terapéuticas.
- •
HTA resistente (HTA no controlada con tres fármacos de acción complementaria en dosis adecuadas, uno de ellos un diurético), especialmente después de descartar pseudorresistencia por fenómeno de bata blanca con MAPA y de descartar falta de adherencia al tratamiento no farmacológico o farmacológico.
- •
HTA de difícil control en relación con intolerancias medicamentosas múltiples, contraindicaciones múltiples, falta constante de cumplimiento o variabilidad extrema de las cifras de PA.
La SEA ha publicado los criterios de derivación de pacientes con dislipemia a sus unidades de lípidos (tabla 40)255.
Criterios de derivación a unidades de lípidos de la Sociedad Española de Aterosclerosis
| Dislipemia | Dinteles | Contexto clínico | Diagnóstico | Tratamiento |
|---|---|---|---|---|
| Hipercolesterolemia | CT> 300 mg/dLcLDL> 200 mg/dLLp(a)> 150 mg/dL (300 nmol/L) | Xantomas tendinososArco corneal <45 añosAF +++CI o EAP prematuraCI recurrenteEnfermedad vascular sin FRV evidentesSospecha de HFEsteatosis y/o cirrosis | Cribado en cascada de HFCribado en cascada de elevación grave de lp(a)Test genéticosTécnicas de imagen para detectar EVS | Triple terapiaNuevos tratamientos (iPCSK9/inclisirán)Intolerancia farmacológicaRefractariedad al tratamientoAféresis |
| Hipertrigliceridemia | TG en ayunas> 1.000 mg/dLTG> 500 mg/dL pese a tratamientoHipertrigliceridemia y CT> 350 mg/dL | XantomasHepatomegaliaEsplenomegaliaLipemia retinalisDebut en la infanciaPancreatitis | Análisis de causas primariasTest bioquímicos.Diagnóstico molecular | Excluir causa primariaTratamiento ineficazDietas especiales |
| cHDL | cHDL <20 mg/dLcHDL> 100 mg/dL | HepatomegaliaEsplenomegaliaHipertrofia amigdalarOpacidad cornealInsuficiencia renal | Excluir causas primariasTest bioquímicosDiagnóstico molecular | Control causas primarias |
| Hipocolesterolemia | cLDL <50 mg/dL sin tratamiento | MalabsorciónEsteatosis | Excluir causas primariasTest bioquímicosDiagnóstico molecular |
AF: antecedentes familiares; cHDL: colesterol unido a lipoproteínas de alta densidad; CI: cardiopatía isquémica; cLDL: colesterol unido a lipoproteínas de baja densidad; CT: colesterol total; EAP: enfermedad arterial periférica; EVS: enfermedad vascular subclínica; HF: hipercolesterolemia familiar; Lp(a): lipoproteína(a); iPCSK9: inhibidor de proproteína convertasa subtilisina/kexina de tipo 9; TG: triglicéridos; +++: positivos.
Adaptado de255.
Para el caso de la dislipemia, las causas más comunes de remitir a los pacientes son el mal control en los niveles de colesterol o TG séricos, el tratamiento y el diagnóstico de la HF, los efectos adversos de la medicación, en especial la intolerancia a las estatinas (fundamentalmente por toxicidad muscular) o la necesidad de tratamientos combinados, o de suministro hospitalario, especialmente con iPCSK9/inclisirán255.
Criterios de alta del paciente con riesgo vascularEs obvio que, una vez alcanzado el diagnóstico definitivo y controlado el FRV que motivó la consulta, los pacientes deben ser remitidos desde la unidad especializada para su seguimiento por atención primaria. Sin embargo, no es infrecuente que los pacientes sean revisados en las consultas por diversos motivos; entre otros, no alcanzar los objetivos terapéuticos, la necesidad de procedimientos no convencionales (cirugía bariátrica, aféresis de cLDL o perfusión en hospitales de día de terapia lisosomal sustitutiva), la necesidad de prescribir y dispensar determinados fármacos por la farmacia hospitalaria (como es el caso de los fármacos iPCSK9 e inclisirán), la polimedicación con elevado riesgo de interacciones farmacológicas (p. ej., en sujetos con infección por VIH y trasplantados) y aquellos que sufran efectos adversos derivados de la medicación, como por ejemplo las hipoglucemias. Los pacientes con hiperlipemias monogénicas deberían mantener el contacto (al menos anual, en ausencia de complicaciones o comorbilidades) con las unidades de lípidos para seguimiento compartido con atención primaria. Ello refuerza la adherencia a la medicación y los estilos de vida saludables, y favorece la incorporación ágil de las novedades terapéuticas para este grupo de pacientes. Algunos pacientes con HTA secundaria se mantienen hipertensos pese al tratamiento etiológico de su enfermedad, lo que sugiere el efecto prolongado de la HTA sobre el árbol vascular (remodelado) o bien que alguno de ellos pueda tener además una HTA esencial256.
En cualquier caso, sería conveniente que cada unidad estableciera sus propios criterios de alta, en función de su actividad clínica y su relación con primaria.
FinanciaciónEl presente trabajo ha sido parcialmente financiado por Laboratorios Ferrer. Los autores del documento son responsables de su contenido. Laboratorios Ferrer no ha intervenido en su diseño, redacción ni contenidos.
Conflicto de interesesLaboratorios Ferrer ha proporcionado apoyo para la realización de la edición y el soporte administrativo en relación con la actualización del documento Estándares SEA 2024 para el Control Global del Riesgo Vascular. Laboratorios Ferrer no ha intervenido ni en su redacción ni en su contenido.
Algunos autores han recibido honorarios de diferentes laboratorios farmacéuticos incluyendo a Laboratorios Ferrer por su participación en conferencias y asesorías, que se detallan en el apartado correspondiente. Los autores no han recibido ninguna remuneración para realizar este informe ni declaran otros conflictos de intereses directos en relación con este trabajo.
T. Arrobas-Velilla declara no tener ningún conflicto de intereses.
P. Armario declara no tener ningún conflicto de intereses.
R. Baeza-Trinidad declara no tener ningún conflicto de intereses.
P. Calmarza declara no tener ningún conflicto de intereses.
J. Cebollada ha recibido honorarios por conferencias, presentaciones, manuscrito o
eventos educativos de Astra-Zeneca, Daiichi-Sankyo, Pfizer, Ferrer y Amgen.
M. Civera-Andrés declara no tener ningún conflicto de intereses.
J.I. Cuende Melero ha recibido honorarios por conferencias de Daiichi-Sankyo España.
J.L. Díaz-Díaz ha recibido honorarios por conferencias, presentaciones, manuscrito o eventos educativos de Sanofi, MSD, Amgen, Viatris y Ferrer; soporte para reuniones de Viatris, Sanofi, Amgen, MSD y Ferrer; y participación en Advisory Boards de Amgen, Sanofi y Ferrer.
J. Fernández Pardo ha recibido honorarios por presentaciones de Servier, Mylan y Daiichi-Sankyo.
C. Guijarro ha recibido honorarios por consultoría de Sanofi, Amgen y Daiichi Sankyo; por conferencias, presentaciones, redacción de manuscritos o actos educativos de Sanofi, Amgen, Ferrer, Daiichi Sankyo, Amarin, Servier y Novartis; y apoyo para reuniones de Laboratorios Ferrer.
C. Jericó ha recibido honorarios por conferencias, presentaciones, agencias de conferenciantes, redacción de manuscritos o actos educativos de Amarin, Amgen, Daichii-Sankyo, Novo Nordisk, Sanofi y Viatris.
C. Lahoz declara no tener ningún conflicto de intereses.
B. López-Melgar ha recibido honorarios por conferencias, presentaciones, asesorías o eventos educativos de Almirall, Amgen, Daichii-Sankyo, Ferrer y Philips.
J. López-Miranda ha recibido honorarios por consultoría de Amgen y Sanofi; por conferencias, presentaciones, agencias de conferenciantes, redacción de manuscritos o actos educativos de Amgen, Sanofi, MSD, Ferrer, Novartis y Laboratorios Esteve; y soporte a reuniones de Amgen y Sanofi.
S. Martínez-Hervás declara no tener ningún conflicto de intereses.
L. Masana ha recibido honorarios de consultoría y/o conferencias de Chiesi, Daiichi-Sankyo, Ferrer, Novartis, Recordati, Sanofi y Ultragenix.
J.M. Mostaza ha recibido honorarios por conferencias, presentaciones, asesorías o eventos educativos de Sanofi, Amgen, Novartis, Daiichi-Sankyo, Servier, Viatris, Ultragenix y Ferrer.
O. Muñiz-Grijalvo ha recibido honorarios por conferencias y actividades educativas de Amgen, Sanofi, MSD, Sobi, Viatris, Amarin y Daichii-Sankyo, así como honorarios por consultoría, Advisory Boards y soporte a reuniones de Amgen, Sanofi, Sobi y Ultragenix.
J.A. Páramo declara no tener ningún conflicto de intereses.
V. Pascual ha recibido honorarios por conferencias y actividades educativas de Adamed, Amarin, Almirall, Astra-Zeneca, Daichii-Sankyo, Esteve, Ferrer, Novartis, Sanofi-Events, Servier y Viatris.
J. Pedro-Botet ha recibido honorarios por Advisory Boards de Amgen, Daiichi-Sankyo, Ferrer, Italfármaco, Viatris y Sanofi; y conferencias de Amarin Pharma, Amgen, Daiichi- Sankyo, Esteve, Ferrer, Organon, Viatris, Sanofi y Servier.
P. Pérez-Martínez ha recibido honorarios por conferencias, presentaciones, agencias de conferenciantes, redacción de manuscritos o actos educativos de Amgen, Ferrer, Esteve, Daiichi-Sankyo, Ultragenyx y Viatris.
X. Pintó ha recibido honorarios por consultoría de Menarini, Ultragenyx y Viatris; por conferencias, presentaciones, agencias de conferenciantes, redacción de manuscritos o actos educativos de Novartis, Daiichi-Sankyo, Sobi, Almirall y Ferrer; y por la participación en una Junta de Supervisión de la Seguridad de los Datos o en Advisory Boards de Amgen, Sanofi y Novartis.
J. Puzo ha recibido honorarios por conferencias y ponencias de Amgen, Sanofi y Beckman Coulter.
J.T. Real declara no tener ningún conflicto de intereses.
J.J. Tamarit ha recibido honorarios por Advisory Boards de Abbvie, Amgen, Daiichi-Sankyo, Ferrer, Novartis y Sanofi; y conferencias de Adamed, Amarin Pharma, Amgen, Daiichi-Sankyo, Esteve, Ferrer, GSK, Italfarmaco, Lilly, Novarits, Organon, Sanofi, Viatris y Servier.
Los autores no tienen otras afiliaciones relevantes o participación financiera con ninguna organización o entidad con un intereses o conflicto financieros con el tema o los materiales discutidos en el manuscrito, aparte de los divulgados.
La población diana es la población general de varones.
1. Durante los últimos 6 meses, ¿con qué frecuencia le ha sido posible la penetración?
- Ni lo intentó
- Nunca
- Menos de la mitad de las veces
- Aproximadamente la mitad de las veces
- Más de la mitad de las veces
- Casi siempre o siempre
2. Durante los últimos 6 meses, ¿con qué frecuencia le ha sido posible mantener la erección hasta finalizar el acto sexual?
- Ni lo intentó
- Nunca
- Menos de la mitad de las veces
- Aproximadamente la mitad de las veces
- Más de la mitad de las veces
- Casi siempre o siempre
3. Cuando intentó el acto sexual, ¿con qué frecuencia fue satisfactorio para usted?
- Ni lo intentó
- Nunca
- Menos de la mitad de las veces
- Aproximadamente la mitad de las veces
- Más de la mitad de las veces
- Casi siempre o siempre
El rango de puntuación se encuentra entre 0 y 15 puntos. Una puntuación igual o inferior a 12 sugiere disfunción eréctil. Las puntuaciones que corresponden a cada opción de respuesta son las siguientes:
- Ni lo intentó (0)
- Nunca (1)
- Menos de la mitad de las veces (2)
- Aproximadamente la mitad de las veces (3)
- Más de la mitad de las veces (4)
- Casi siempre o siempre (5)
Publicado con el permiso del editor. Fuente original: Martín-Morales A, et al.2
| 1. ¿Usa usted el aceite de oliva como principal grasa para cocinar?Sí = 1 punto |
| 2. ¿Cuánto aceite de oliva consume en total al día (incluyendo el usado para freír, comidas fuera de casa, ensaladas, etc.)?4 o más cucharadas = 1 punto |
| 3. ¿Cuántas raciones de verdura u hortalizas consume al día?(las guarniciones o acompañamientos = ½ ración); 1 ración = 200 g2 o más (al menos una de ellas en ensalada o crudas) = 1 punto |
| 4. ¿Cuántas piezas de fruta (incluyendo zumo natural) consume al día?3 o más al día = 1 punto |
| 5. ¿Cuántas raciones de carne roja, hamburguesa, salchichas o embutidos consume al día?(ración: 100-150 g)Menos de 1 al día = 1 punto |
| 6. ¿Cuántas raciones de mantequilla, margarina o nata consume al día?(porción individual: 12 g)Menos de 1 al día = 1 punto |
| 7. ¿Cuántas bebidas carbonatadas y/o azucaradas (refrescos, colas, tónicas, bíter) consume al día?Menos de 1 al día = 1 punto |
| 8. ¿Bebe usted vino? ¿Cuánto consume a la semana?7 o más vasos a la semana = 1 punto |
| 9. ¿Cuántas raciones de legumbres consume a la semana?(1 plato o ración de 150 g)3 o más a la semana = 1 punto |
| 10. ¿Cuántas raciones de pescado-mariscos consume a la semana?(1 plato pieza o ración: 100-150g de pescado o 4-5 piezas o 200g de marisco)3 o más a la semana = 1 punto |
| 11. ¿Cuántas veces consume repostería comercial (no casera) como galletas, flanes, dulce o pasteles a la semana?Menos de 2 a la semana = 1 punto |
| 12. ¿Cuántas veces consume frutos secos a la semana?(ración: 30 g)3 o más a la semana = 1 punto |
| 13. ¿Consume usted preferentemente carne de pollo, pavo o conejo en vez de ternera, cerdo, hamburguesas o salchichas?(carne de pollo: 1 pieza o ración de 100-150 g)Sí = 1 punto |
| 14. ¿Cuántas veces a la semana consume los vegetales cocinados, la pasta, el arroz u otros platos aderezados con salsa de tomate, ajo, cebolla o puerro elaborada a fuego lento con aceite de oliva (sofrito)?2 o más a la semana = 1 punto |
| PUNTUACIÓN TOTAL<9 = Baja adherencia≥ 9 = Buena adherencia |
Fuente 66.
| 1. Durante los últimos 7 días, ¿en cuántos realizó actividades físicas intensas tales como levantar pesos pesados, cavar, ejercicios aeróbicos o andar rápido en bicicleta? |
| Días por semana (indique el número) |
| Ninguna actividad física intensa (pase a la pregunta 3) |
| 2. Habitualmente, ¿cuánto tiempo en total dedicó a una actividad física intensa en uno de esos días? |
| Indique cuántas horas por día |
| Indique cuántos minutos por día |
| No sabe/No está seguro |
| 3. Durante los últimos 7 días, ¿en cuántos días hizo actividades físicas moderadas tales como transportar pesos livianos o andar en bicicleta a velocidad regular? No incluya caminar |
| Días por semana (indicar el número) |
| Ninguna actividad física moderada (pase a la pregunta 5) |
| 4. Habitualmente, ¿cuánto tiempo en total dedicó a una actividad física moderada en uno de esos días? Indique cuántas horas por día |
| Indique cuántos minutos por día |
| No sabe/No está seguro |
| 5. Durante los últimos 7 días, ¿en cuántos días caminó por lo menos 10 minutos seguidos? |
| Días por semana (indique el número) |
| Ninguna caminata (pase a la pregunta 7) |
| 6. Habitualmente, ¿cuánto tiempo en total dedicó a caminar en uno de esos días? |
| Indique cuántas horas por día |
| Indique cuántos minutos por día |
| No sabe/No está seguro |
| 7. Durante los últimos 7 días, ¿cuánto tiempo pasó sentado durante un día hábil? |
| Indique cuántas horas por día |
| Indique cuántos minutos por día |
| No sabe/No está seguro |
| VALOR DEL TEST1. Caminatas: 3,3 MET* × minutos de caminata × días por semana (p. ej., 3,3 × 30 minutos × 5 días = 495 MET)2. Actividad física moderada: 4 MET* × minutos × días por semana3. Actividad física vigorosa: 8 MET* × minutos × días por semanaA continuación, sume los 3 valores obtenidos: total = caminata + actividad física moderada + actividad física vigorosaCRITERIOS DE CLASIFICACIÓN:Actividad física moderada:3 o más días de actividad física vigorosa por lo menos 20 minutos por día5 o más días de actividad física moderada y/o caminata al menos 30 minutos por día5 o más días de cualquiera de las combinaciones de caminata, actividad física moderada o vigorosa logrando como mínimo un total de 600 MET*Actividad física vigorosa:Actividad física vigorosa por lo menos 3 días por semana logrando un total de al menos 1.500 MET*7 días de cualquier combinación de caminata, con actividad física moderada y/o actividad física vigorosa, logrando un total de al menos 3.000 MET** Unidad de medida del testRESULTADO: NIVEL DE ACTIVIDAD (señale el que proceda)NIVEL ALTONIVEL MODERADONIVEL BAJO O INACTIVO |
Fuente 68.
| Fase pre-pre-analítica (solicitud de análisis):1. Las pruebas de lipoproteínas aterogénicas deben incluir la evaluación del riesgo conferido por las partículas de LDL, partículas remanentes y, en casos seleccionados, Lp(a)Fase pre-analítica (toma de muestra):1. El ayuno no es necesario de forma rutinaria para evaluar el perfil lipídico2. Considerar una muestra en ayunas cuando los TG sin ayuno sean ≥ 400 mg/dL3. Tomar de 2 a 3 muestras de sangre en serie, con al menos 1 semana de diferencia, para permitir un promedio de variación biológica (más importante cuando los resultados de la prueba están cerca de los umbrales de decisión de tratamiento) |
| Fase analítica:1. El seguimiento de cLDL medido o calculado y c-no-HDL de un paciente debe ser idealmente realizado con el mismo método (y preferiblemente el mismo laboratorio)2. Los médicos deben ser notificados cuando la prueba de laboratorio cambia de un método a otro3. El cálculo de cLDL en pacientes con baja concentración de cLDL <70 mg/dL y/ o concentración de TG 175-400 mg/dL, y en muestras que no están en ayunas puede ser inadecuado e introducir errores por encima del 10%4. Es adecuado utilizar ensayos de cLDL directo para el cálculo del colesterol remanente y para la evaluación del cLDL en las situaciones anteriores y cuando la concentración de TG es ≥ 400 mg/dL5. El cLDL corregido con Lp(a) debe evaluarse al menos una vez en pacientes con Lp(a) alta sospechada o conocida, o si el paciente muestra una pobre respuesta a la terapia reductora de cLDL6. Los ensayos de Apo B actualmente proporcionan la medición más precisa de la carga total de partículas aterogénicas |
| Fase post-analítica (informe):1. Los laboratorios deben calcular e informar automáticamente del c-no-HDL en todos los perfiles de lípidos. También se podría informar en pacientes seleccionados sobre colesterol remanente. Colesterol remanente= CT − (cHDL + cLDL) (medido por método directo)2. Los informes de laboratorio deben señalar concentraciones anormales en función de los umbrales de decisión3. Las concentraciones extremadamente altas, más allá de los límites de referencia, deben alertar a los médicos (comentario interpretativo sobre el informe de la prueba)Fase post-post-analítica (interpretación y uso de la prueba):1. cLDL es el objetivo principal de la terapia de reducción de lípidos2. Cuando no se alcanza el objetivo de cLDL o no puede valorarse adecuadamente, debe utilizarse el c-no-HDL o la Apo B como objetivos de tratamiento secundario en pacientes con TG 2-10 mmol/L (175-880 mg/dL), diabetes, obesidad o síndrome metabólico |
Fuente 12.
Apo B: apolipoproteína B; cHDL: colesterol unido a lipoproteínas de alta densidad; cLDL: colesterol unido a LDL; c-no-HDL: colesterol no unido a lipoproteínas de alta densidad; CT: colesterol total; LDL: lipoproteínas de baja densidad; Lp(a): lipoproteína (a); TG: triglicéridos
| Historial familiar | |
| Familiar de 1.er grado con antecedentes de CI precoz y/oFamiliar de 1.er grado con cLDL> percentil 95 | 1 |
| Familiar de 1.er grado con xantomas y/o arco corneal y/oNiños <18 años con cLDL> percentil 95 | 2 |
| Historia personal | |
| Evidencia de enfermedad coronaria prematura | 2 |
| Evidencia de enfermedad cerebrovascular o periférica prematura | 1 |
| Examen físico | |
| Xantomas tendinosos | 6 |
| Arco corneal <45 años | 4 |
| Analítica | |
| cLDL> 330 mg/dL (> 8,5 mmol/L) | 8 |
| cLDL 250-329 mg/dL (6,5-8,4 mmol/L) | 5 |
| cLDL 190-249 mg/dL (5,0-6,4 mmol/L) | 3 |
| cLDL <190 mg/dL (> 5,0 mmol/L) | 1 |
| Análisis genético | |
| Mutación conocida del gen del receptor de las LDL | 8 |
| PUNTUACIÓN | |
| HF definida | > 8 |
| HF probable | 6 - 8 |
| HF posible | 3 - 5 |
| HF improbable | <3 |
| CI: cardiopatía isquémica; cLDL: colesterol de lipoproteínas baja densidad; HF: hipercolesterolemia familiar | |
Fuente 25.
| 1. ¿Cuánto tiempo tarda en fumarse su primer cigarrillo desde que se despierta por la mañana? | Puntuación |
|---|---|
| Más de 60 minutos | 0 |
| De 31 a 60 minutos | 1 |
| De 6 a 30 minutos | 2 |
| No más de 5 minutos | 3 |
| 2. ¿Le resulta difícil abstenerse de fumar en lugares donde está prohibido? | |
| No | 0 |
| Sí | 1 |
| 3. ¿Qué cigarrillo le cuesta más no fumarse? | |
| El primero de la mañana | 1 |
| Cualquier otro | 0 |
| 4. ¿Cuántos cigarrillos fuma al día? | |
| De 1 a 10 | 0 |
| De 11 a 20 | 1 |
| De 21 a 30 | 2 |
| 31 o más | 3 |
| 5. ¿Fuma más durante las primeras horas después de levantarse que durante el resto de la jornada? | |
| No | 0 |
| Sí | 1 |
| 6. ¿Fuma cuándo está enfermo y debe permanecer en cama gran parte del día? | |
| No | 0 |
| Sí | 1 |
| 7. ¿Qué tipo de tabaco fuma? | |
| Bajo en nicotina | 0 |
| Medio (1,0-1,2 mg) | 1 |
| Alto(> 1,2 mg) | 2 |
Fuente 184.


























































