Introducción
Se han descrito hasta la fecha diferentes escalas que incluyen múltiples criterios para intentar predecir el curso y pronóstico de los pacientes adultos con pancreatitis aguda (PA); sin embargo, la desventaja que tienen es que la mayoría se obtiene hasta las 48 horas del ingreso de paciente y algunas tienen costo alto.1,2 Diversos marcadores bioquímicos únicos, como leucocitosis, creatinina sérica, glucosa sérica, hematócrito, proteína C reactiva, amiloide sérico A y una gran variedad de interleucinas se han utilizado para predecir la ocurrencia de complicaciones y muerte en PA.3,4 Incluso se han aplicado escalas no específicas para PA con el fin de establecer el riesgo de complicaciones. Se sabe que el 25% de los casos de PA llega a ser grave, y la mortalidad dada a conocer oscila entre un 2% y hasta un 18%.5 La presencia de proteinuria es una característica frecuente en los pacientes con PA, pero no se ha caracterizado por completo y tampoco se ha definido su posible utilidad clínica.6
Se han utilizado técnicas de análisis proteinómico que intentan caracterizar los diversos picos de proteínas observados en la orina de los pacientes con PA, con la idea de poder predecir las complicaciones, pero hasta el momento los resultados han sido inciertos.7,8 La microalbuminuria se define como la excreción de albúmina en orina en cantidad mínima, que excede los límites normales, pero que no se detecta mediante los métodos ordinarios (por lo regular, < 20 mg/L). La microalbuminuria es secundaria a un aumento de la permeabilidad vascular glomerular en condiciones de inflamación aguda.9-11 Se sabe que el factor de necrosis tumoral alfa, algunas interleucinas y los radicales libres de oxígeno pueden alterar el endotelio glomerular en enfermedades agudas y particularmente en la sepsis.12 Se ha descrito que en las primeras 48 horas postrauma, quemaduras, isquemia, trastornos cardiovasculares, actos quirúrgicos y el hábito de fumar aumentan la permeabilidad capilar renal y pueden ocasionar microalbuminuria. Asimismo, se ha descrito muy bien que la presencia de este trastorno se vincula con el desarrollo de neuropatía diabética.13,14
Existen algunos informes acerca de la utilidad de buscar microalbuminuria en pacientes con pancreatitis aguda. En 1986, Meier y colaboradores6 observaron la presencia de albúmina en valores superiores a 20 mg/ día en pacientes con PA reciente y que los pacientes con PA en resolución tenían concentraciones menores. Shearman y colaboradores también observaron un aumento de albúmina en la orina en aquellos pacientes con PA que tuvieron complicaciones, lo que apoyó la teoría de que el aumento temprano de la permeabilidad renal refleja un proceso inflamatorio más intenso.15
El objetivo de nuestro estudio fue determinar la posible relación entre las concentraciones de microalbuminuria con falla orgánica y muerte en pacientes con PA, y además, tratar de establecer la concentración de microalbuminuria a partir de la cual tuviera utilidad como factor predictivo de PA grave.
Material y métodos
Se estudiaron de manera prospectiva todos los enfermos consecutivos con diagnóstico de PA admitidos en este hospital en el periodo de un año. El estudio fue aprobado por el comité de ética de esta Institución, y todos los pacientes firmaron el consentimiento informado antes de participar en este estudio. El diagnóstico de PA se basó en la presencia de un cuadro clínico compatible caracterizado por dolor abdominal en epigastrio, o mesogastrio, o en ambos y un valor de amilasa sérica mayor o igual a tres veces su valor normal (límite superior normal de 125 UI/L).
Se excluyó a los pacientes con padecimientos renales per se, diabetes mellitus, infecciones concurrentes (neumonía, tuberculosis, entre otras), artritis, enfermedad inflamatoria intestinal, infarto agudo del miocardio, neoplasias y embarazo, o bien, que tuvieran más de tres días de evolución de su cuadro de PA en el momento del ingreso hospitalario. Se eliminó a aquellos pacientes que fueron trasladados de esta institución y cuya evolución integra de la PA se desconociera.
Se evaluaron las siguientes variables: género, edad, causa de la PA investigada por historia clínica, ultrasonido de abdomen superior, pruebas de función hepática, perfil de lípidos, así como el tiempo de evolución en el momento del ingreso, glucosa sérica al ingresar, diagnóstico previo de diabetes mellitus, criterios de Ranson, estudios de imagen de abdomen si se consideraba necesario (CT-scan), presencia de complicaciones locales y sistémicas desarrolladas durante la estancia hospitalaria, según los criterios de Atlanta,16 y mortalidad.
La microalbuminuria se determinó en el momento de ingresar, y luego a las 24, 48, 72 y 96 horas. Se requirió una muestra de al menos 30 mL de orina. La determinación se llevó a cabo mediante el uso de tiras reactivas Clinitek® Microalbumin, que proporciona resultados semicuantitativos. Este método detecta la presencia de enlaces covalentes para lo cual se usa un colorante de sulfoneftaleína (1.9% p/p del colorante bis (3',3''-diyodo-4',4''-dihidroxi-5',5''-dinitrofenil)-3,4,5,6-tetrabromo sulfoneftaleína; 94.2% p/p de amortiguador; 3.9% p/p de ingredientes no reactivos). Después de sumergir la tira reactiva en la orina, la presencia de cualquier color azul se debe a la presencia de albúmina en valores que oscilan entre 20 y 200 mg/L; la concentración precisa se determinó con un analizador de Clinitek 50 (sensibilidad 90%, especificidad 84% y exactitud 87%).
En el análisis estadístico, las variables continuas se expresaron como promedio, intervalos y desviaciones estándar. Se realizó un análisis de varianza de las concentraciones de microalbuminuria en el periodo del estudio y se comparó la concentración de ésta de acuerdo con el número de criterios de Ranson (> 3) y presencia de falla orgánica y muerte. Se trazaron curvas ROC para determinar la concentración de microalbuminuria que predice falla orgánica y muerte, y se calculó el rendimiento diagnóstico de este valor (sensibilidad, especificidad, valores predictivos positivo y negativo y exactitud). Para las comparaciones se utilizó la prueba de X2 o exacta de Fisher y t de Student. Las diferencias se consideraron significativas si el valor de p < 0.05.
Resultados
Se evaluaron 127 pacientes con diagnóstico de PA, se excluyeron a 27 personas (21%); 13 de ellos por ser portadores de diabetes mellitus, cinco por tener más de tres días de evolución en el momento del ingreso, cinco por no haber terminado la evaluación, dos mujeres por estar embarazadas, un individuo por tener enfermedad inflamatoria intestinal y otro por neumonía. Se incluyó finalmente a 100 pacientes, 71 mujeres y 29 varones; la edad promedio fue de 42 + 19 años (intervalo 16 a 96). En la Cuadro 1 se muestran las características demográficas y la causa de la PA en el presente estudio.
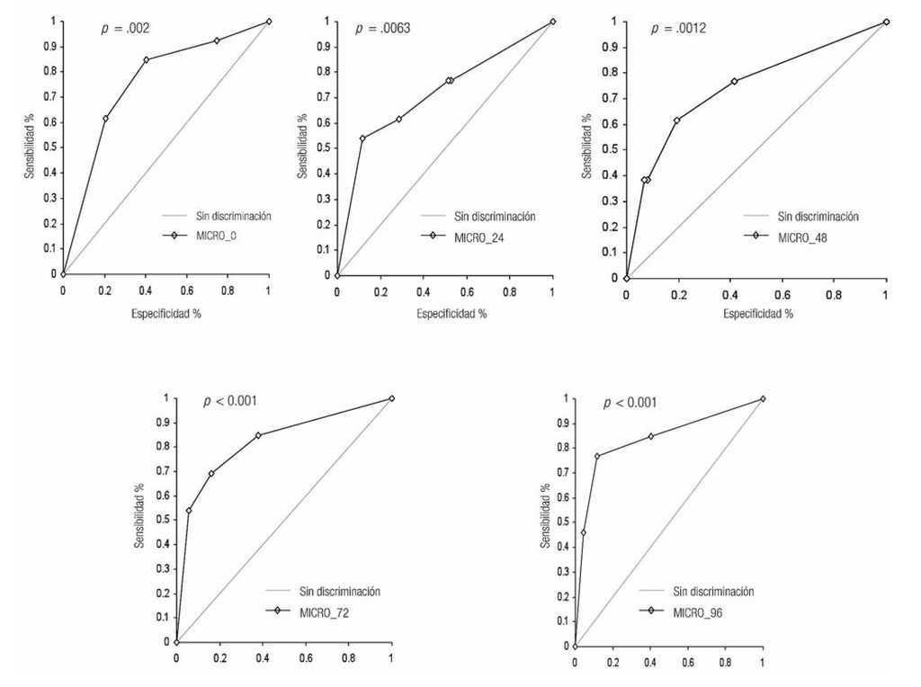
Se desarrolló falla orgánica en un total de 13 pacientes; cuatro enfermos tuvieron complicaciones locales (4%); fallecieron cinco (5%) personas, y las causas de muerte fueron por falla orgánica (falla pulmonar, renal y estado de choque) en cuatro y una por necrosis pancreática infectada. Las fallas orgánicas más frecuentes fueron insuficiencia pulmonar, insuficiencia renal, estado de choque y hemorragia de tubo digestivo. Sólo tres pacientes tenían falla orgánica al ingresar al hospital (uno con insuficiencia renal y dos con insuficiencia respiratoria) y en los 10 enfermos restantes se manifestó durante su estancia hospitalaria (en cuatro hubo insuficiencia respiratoria, en tres, insuficiencia renal, en dos, estado de choque y en uno, hemorragia de tubo digestivo). El grupo de pacientes con ≥ de 3 criterios de Ranson tuvo concentraciones significativamente mayores de microalbuminuria que el grupo con menos de 3 criterios de Ranson, 69 mg/L y 37 mg/L, respectivamente -(p < 0.001) (Figura 1). Al comparar al grupo de pacientes que sufrieron complicaciones sistémicas con los enfermos sin complicaciones sistémicas, los valores de microalbuminuria fueron más altos (98 vs. 38 mg/L; p < 0.001, Figura 2), mientras que al analizar a los pacientes que fallecieron se determinaron mayores valores a partir de las 72 horas (Figura 3). Las curvas ROC para falla de órgano demuestran significancia estadística para microalbuminuria al ingresar, 24, 48, 72 y 96 horas después (Figura 4).
Figura 1. Análisis de varianza de medidas repetidas de MA y criterios de Ranson.
Figura 2. Análisis de varianza de medidas repetidas de MA y complicaciones sistémicas.
Figura 3. Análisis de varianza de medidas repetidas de MA y muerte.
Figura 4. Curvas ROC y MA al ingreso, 24, 48, 72 y 96 h en relación con falla orgánica.
Después de analizar los valores predictivos de la microalbuminuria con los diferentes puntos de corte, el valor de microalbuminuria a las 24 horas ≥ 80 mg/L fue el que obtuvo el mejor rendimiento diagnóstico con una especificidad de 89%, un valor predictivo negativo de 93% y una exactitud de 84% para falla orgánica. Las curvas ROC para mortalidad no demostraron significancia al ingresar, 24 y 48 horas después, pero sí fueron significativas a partir de las 72 horas (Figura 5).
Figura 5. Curvas ROC y MA a las 72 y 96 horas de la microalbuminuria en relación a muerte.
Se compararon los grupos con concentraciones de microalbuminuria mayor y menor de 80 mg/L, y se determinó que ningún paciente con concentraciones menores de 80 mg/dL tuvo complicaciones o murió (Cuadro 2).
Discusión
Desde hace varias décadas se sabe que ante la presencia de cualquier fenómeno agresivo para el organismo, puede haber proteinuria, la que se debe a un aumento en la permeabilidad capilar como respuesta a factores circulantes, como interleucinas, radicales libres de oxígeno y factor de necrosis tumoral alfa.12-14 Hay pocos estudios publicados en las revistas especializadas acerca del valor de la microalbuminuria en pacientes con PA.6,15,16
El desarrollo de falla orgánica en los pacientes con PA es uno de los hechos iniciales que marcan la evolución clínica posterior, por lo que se han utilizado diversos marcadores para determinar a tiempo la aparición de este fenómeno, como la medición de proteína C reactiva y el hematócrito, sin embargo, la primera alcanza su máxima utilidad a las 72 horas de iniciada la PA17, lo que limita la toma de decisiones en forma oportuna.
Abid y colaboradores determinaron en 40 pacientes de una unidad de cuidados intensivos el valor diagnóstico de la excreción urinaria de albúmina, medida en forma sucesiva, en relación con la ocurrencia de falla respiratoria y multiorgánica, y determinaron un valor predictivo negativo de 100% y 96%, respectivamente, y valores predictivos positivos de 50%. Concluyeron que la determinación de la albúmina urinaria durante las primeras 48 horas podría ser útil en los pacientes con enfermedades graves. En este estudio sólo se incluyeron dos casos de PA.18
La población estudiada por el grupo de los autores incluyó fundamentalmente el caso representativo de mujeres en la cuarta década de la vida con diagnóstico de PA de origen biliar, que es la causa más frecuente de PA en el mundo occidental. Se excluyeron pacientes con enfermedades crónicas, sobre todo diabetes mellitus, ya que representan un sesgo de medición de la microalbuminuria. En esta población hubo 14% de pacientes con falla orgánica y 5% de mortalidad. En general, estas cifras son menores a las dadas a conocer por los autores, los cuales piensan que se debe a la exclusión de pacientes con mayor número de comorbilidades.19,20
En el presente estudio, los niveles de la microalbuminuria demostraron un incremento en los pacientes con diagnóstico de PA grave (más de tres criterios de Ranson). Asimismo, una concentración ≥ 80 mg/L a las 24 horas del ingreso resultó ser el mejor punto de corte para determinar el riesgo de falla orgánica, pero no para riesgo de mortalidad. Cabe mencionar que los valores de microalbuminuria fueron diferentes de manera significativa con respecto a la mortalidad a partir de las 72 horas del ingreso al hospital, lo que se explica en parte porque los pacientes con PA más graves persistían con concentraciones de microalbuminuria altas un tiempo mayor; a pesar de que no se demostró que esto fuese un marcador temprano de mortalidad, el aumento persistente de la microalbuminuria (72 horas) sí alcanzó significancia estadística, por lo que esto abre un espacio para una investigación posterior.
Las semejanzas entre los resultados obtenidos en este estudio y los publicados por Meier y Shearman radican en que demuestran que la presencia de microalbuminuria es mayor en los pacientes estratificados con un proceso inflamatorio más grave, y esto se refleja en un mayor riesgo de falla orgánica. Una de las limitaciones del presente estudio es el hecho de que la mayoría de los pacientes tenía mínimas comorbilidades y la causa principal fue de origen biliar, por lo que estos resultados no se pueden extrapolar a pacientes con otras características.
Para finalizar se concluye que la microalbuminuria ≥ 80 mg/l a las 24 horas de ingresar al hospital demostró ser un factor de riesgo para falla orgánica, no así para muerte en enfermos de pancreatitis aguda. Su utilidad diagnóstica descansa en su alto valor predictivo negativo tanto para falla orgánica como para muerte, así como en la facilidad para realizar la prueba. Hasta donde saben los autores, éste es el primer trabajo prospectivo donde se evalúa la asociación de microalbuminuria con PA y su valor predictivo en relación a falla orgánica y muerte.
Correspondencia: Dr. José Alberto González González.
Centro Regional para el Estudio de las Enfermedades Digestivas. Servicio de Gastroenterología, Facultad de Medicina y Hospital Universitario Dr. José Eleuterio González. Universidad Autónoma de Nuevo León. Edificio Dr. Rodrigo F. Barragán. 2º Piso. Avenida Francisco I. Madero y Gonzalitos s/n. Colonia Mitras Centro. CP 64460. Monterrey, Nuevo León, México. Teléfono: (+52 81) 8348 6068, 8333 3664.
Correo electrónico:joseagonz@yahoo.com
Recibido: noviembre, 2009. Aceptado: noviembre, 2009








