Artificial intelligence (AI) innovation is often celebrated as a powerful catalyst for servitization, yet its revenue implications remain paradoxical and underexplored. Building on organizational learning theory and socio-technical systems theory, this study theorizes and tests the nonlinear influence of AI innovation on firms’ service revenue, using panel data from 796 Chinese manufacturing firms between 2015 and 2022. It reveals an inverted U-shaped relationship, suggesting that while AI innovation initially enhances revenue through exploratory learning and customer value creation, excessive reliance may induce organizational rigidity and misaligned priorities that erode service outcomes. Moreover, coordination capability stabilizes AI innovation by moderating both its benefits and risks, while human capital amplifies these dual effects. These findings transcend the prevailing view of AI as a uniformly positive enabler, offering a more nuanced understanding of how organizational and technical subsystems interact to shape the trajectory of service-led growth.
In response to intensified global competition and shrinking product margins, manufacturing firms increasingly pursue servitization—the integration of value-added services into product offerings—to sustain growth and differentiation (Sahoo et al., 2024). In manufacturing contexts, service value typically exhibits a dual character: it is knowledge-intensive, relying on predictive maintenance, real-time monitoring, and intelligent platforms, and it is relationally embedded, requiring personalized solutions and responsive customer engagement (Kohtamäki et al., 2019; Heikka & Pohjosenperä, 2025; Rohit et al., 2025). This duality heightens the organizational complexity of generating service revenue—the financial returns from service-based value propositions—because performance depends not only on operational efficiency but also on durable customer value and business-model transformation (Kohtamäki et al., 2020; Lexutt, 2020; Song et al., 2024).
Despite notable progress, converting servitization into sustained service revenue remains contingent on how firms mobilize technological and organizational enablers (Li et al., 2021)— with artificial intelligence (AI) emerging as a critical enabler and organizational conditions supporting its effective use (Sjödin et al., 2023). Within this discourse, AI innovation has attracted growing attention for its transformative potential in service design and delivery (Enholm et al., 2021; Jiang et al., 2023). Distinct from AI application, which emphasizes the adoption of externally sourced tools for operational gains (Raisch & Krakowski, 2021; Dong et al., 2024), AI innovation reflects a firm’s capability to reconfigure service systems through data-driven model creation, proprietary algorithm design, and intelligent platform development (Zhang et al., 2024). Often formalized via patenting and R&D, such innovation seeks not merely automation but the reframing of the value logic underlying service provision (Zhai & Liu, 2023), thereby enabling predictive, customized, and adaptive offerings that could enhance service revenue for servitized manufacturers (Sullivan & Wamba, 2024; Canboy & Khlif, 2025).
The performance implications of AI innovation are, however, unlikely to be linear. Drawing on organizational learning theory (OLT), AI innovation unfolds along a trajectory that couples exploration—experimentation, novelty search, and ideation—with exploitation—scaling, codification, and systematization (March, 1991; Crossan & White, 1999; Lin et al., 2025). The evolving balance between these learning modes, and how firms manage the transition, varies substantially across and within organizations (Thomas, 2024). In service-revenue contexts where technological sophistication must be complemented by relational depth, such learning dynamics can induce nonlinear effects: early-stage exploration may unlock knowledge-intensive service offerings and strengthen engagement through personalization and responsiveness (Paiola et al., 2024), whereas routinization at higher intensities can generate diminishing technical returns and over-standardization, potentially eroding relational quality that underpins service-based financial value (Hoyer et al., 2020; Lee et al., 2023). These considerations motivate the first research question:
RQ1: How does AI innovation affect service revenue in manufacturing firms?
Beyond the core relationship, the organizational context in which AI innovation unfolds critically shapes financial outcomes (Tan et al., 2024). Socio-technical systems theory (STST) posits that value creation depends on the alignment between technological change and an organization’s structural and human subsystems (Trist & Bamforth, 1951; Sony & Naik, 2020; Gillani et al., 2024). This study focuses on two internal capabilities that capture this alignment: coordination capability, that is, the ability to integrate AI innovation across workflows and departments (Mikalef & Gupta, 2021; Zhang et al., 2024), and human capital, comprising employees’ skills, adaptability, and capacity to co-evolve with intelligent systems (Sjödin et al., 2023; Lee et al., 2025). As salient features of the social subsystem, these capabilities are likely to moderate how AI innovation translates into service revenue by shaping both technical quality and relational performance. This leads to the second research question:
RQ2: How do coordination capability and human capital moderate the AI-innovation–service-revenue relationship in manufacturing firms?
To address these questions, this study develops an integrated OLT–STST framework and test hypotheses using a panel of 796 Chinese manufacturing firms (2015–2022). The setting enables us to trace the temporal evolution of AI innovation and its revenue implications in a highly relevant industrial context. Our findings reveal an inverted U-shaped relationship between AI innovation and service revenue. Moreover, coordination capability attenuates the nonlinearity, while human capital amplifies it.
This study contributes to the literature on AI-enabled servitization in two ways. First, it identifies a nonlinear link between AI innovation and service revenue, showing an inverted-U trajectory that nuances prevailing assumptions about monotonic returns to digital innovation and foregrounds service revenue as a central, yet underexplored, servitization outcome. Second, it demonstrates the contingent roles of coordination capability and human capital, offering a socio-technical account of when AI innovation converts into financial value in service-intensive manufacturing. These insights inform managerial choices about investing in AI innovation and developing supportive capabilities to optimize service-oriented revenue growth.
The remaining paper proceeds as follows: we review the existing literature on service revenue and AI innovation in Section 2. Section 3 develops a theoretical framework that integrates OLT and STST, building upon which we propose a set of hypotheses concerning the nonlinear relationship between AI innovation and service revenue, as well as the moderating roles of coordination capability and human capital. Sections 4 and 5 present the research design and empirical analyses, a discussion of the findings, implications, and future research directions.
Literature reviewService revenue as a focal servitization outcomeService revenue denotes the financial returns generated from services provided either in conjunction with, or independently of, physical goods (Lexutt, 2020). Relative to aggregate financial indicators such as total revenue, return on assets (ROA), or Tobin’s Q, service revenue more directly captures a manufacturer’s capability to convert knowledge-intensive and relationally embedded service value into sustained cash flows (Li et al., 2021). In manufacturing contexts, three features make service revenue theoretically distinctive and managerially salient. The first is knowledge intensity: value realization often rests on predictive maintenance, sensor-based monitoring, and AI-driven diagnostics and optimization (Kohtamäki et al., 2019; Sjödin et al., 2023). The second is relational embeddedness: service monetization depends on responsiveness, trust, and personalization along customer interfaces (Hoyer et al., 2020). The third is business-model attributes: service revenue is frequently tied to recurring and outcome-oriented payment schemes—e.g., subscriptions, pay-per-use, and outcome-based contracting—rather than one-off product sales (Ulaga & Reinartz, 2011; Visnjic et al., 2013).
While a substantial body of research reports positive associations between servitization and firm performance, evidence on the service paradox—rising service investments without commensurate financial gains—remains nontrivial (Gebauer et al., 2005; Benedettini et al., 2015). One reason is that aggregate indicators obscure the mechanisms by which service value is monetized. When studies default to ROA or Tobin’s Q as outcomes (e.g., Zhang et al., 2024; Buck et al., 2025), they risk masking the revenue consequences specific to service-based business models. Elevating service revenue as the focal outcome, therefore, provides a closer yardstick for assessing how digital/AI efforts translate into recurring, service-driven cash flows.
AI innovationAI innovation is defined as a cross-functional, dynamically evolving capability by which firms generate, develop, adapt, and materialize AI-based technologies to reconfigure service systems and value logic (Wu & Zhang, 2025; Mancuso et al., 2025). This construct is analytically distinct from AI application, which typically refers to adopting externally sourced AI tools for operational enhancement (Raisch & Krakowski, 2021). Whereas application reflects “using AI to use,” innovation reflects “using AI to innovate,” shaping model architectures, training regimes, and platform designs to fit idiosyncratic organizational contexts and strategic aims (Zhang et al., 2024).
Two complementary mechanisms form the central mechanisms underlying AI innovation. On one hand, data orchestration addresses data comparability, interoperability, and availability across processes, enabling knowledge flows and reuse (Bessen et al., 2022). On the other hand, algorithmic advancement—context-specific model design and continuous refinement—translates novelty into codified, reusable service routines and platform capabilities (Iansiti & Lakhani, 2021; Climent et al., 2024). Empirically, AI innovation is often institutionalized and observable via patents and R&D, and can manifest as product-/service-oriented outcomes (e.g., intelligent services, embedded systems) or process-oriented improvements (e.g., prediction, optimization, decision support) (Brynjolfsson & Mitchell, 2017; Shrestha et al., 2019; Kellogg et al., 2020; Ku & Chen, 2024). Beyond short-term efficiency gains, AI innovation seeks to accumulate knowledge-platform-routine assets that can generate a flywheel effect: each iteration of models and platforms produces immediate benefits and raises the marginal efficiency of future innovation and service monetization (Wamba-Taguimdje et al., 2020; Cassânego et al., 2025).
AI innovation in servitizationIn servitization, AI innovation shapes value capture through mutually reinforcing pathways. By enabling condition monitoring, diagnostics, and failure prediction across the installed base, firms convert one-off product sales into recurring revenues via preventive maintenance, availability guarantees, and performance- or usage-based contracts (Kohtamäki et al., 2019; Sjödin et al., 2023). Embedding algorithms at customer touchpoints further supports personalization and configurability, yielding a higher willingness to pay and stronger relational lock-in (Hoyer et al., 2020). Simultaneously, the codification and platformization of service routines allow knowledge assets to be standardized and replicated at scale, lowering marginal costs and expanding the monetizable scope of service portfolios (Visnjic et al., 2013). However, these pathways do not guarantee monotonic gains. As AI efforts intensify, attention overload, cross-functional integration bottlenecks, and over-standardization can depress conversion efficiency and erode the relational quality that underpins service-based financial outcomes (Lee et al., 2023).
Against this background, current literature exhibits three particular gaps that limit our understanding of how AI innovation is monetized in servitized contexts. First, outcomes are frequently misaligned with the servitization phenomenon. A large stream of digital/AI studies relies on aggregate financial indicators (e.g., ROA, Tobin’s Q, total revenue) to infer performance effects (e.g., Zhang et al., 2024; Buck et al., 2025). Such proxies blur the mechanisms by which AI-enabled services generate cash flows and tend to mask service-specific monetization. Focusing on service revenue as the primary outcome provides a stronger empirical yardstick for assessing whether and when AI innovation yields recurring, service-driven income.
Second, prior work often treats AI’s consequences statically, paying limited attention to dynamic and potentially nonlinear returns as AI intensity rises. Although emerging research acknowledges that AI unfolds through experimentation, refinement, and integration (Ku & Chen, 2024), few studies explicitly theorize or test nonlinear effects in servitized manufacturing, where value realization depends on both technological codification and relational embeddedness. Simultaneously, conceptual clarity is hindered when AI innovation is blurred with AI adoption. Without clean construct boundaries, it is difficult to align theory with measurement and attribute observed effects to AI’s innovative versus adoption component.
Third, the literature has yet to fully consider the organizational contingencies likely to moderate the effects of AI innovation on service revenue. For instance, Zhai and Liu (2023) acknowledge firm heterogeneity in absorbing AI technologies, but do not explore the role of internal capabilities. Sjödin et al. (2023) emphasize the importance of organizational preparedness, but stop short of identifying specific capability configurations that affect AI’s impact on service outcomes.
In summary, this study addresses the three gaps by examining the evolving relationship between AI innovation and service revenue and highlighting the need for a more nuanced framework that incorporates coordination capability and human capital. Fig. 1 presents the research model.
Theory and hypothesesIntegration of organizational learning theory and socio-technical systems theoryOrganizational learning theory (OLT) conceptualizes organizations as adaptive systems that evolve through continuous learning from experience and feedback (March, 1991; Crossan & White, 1999). It emphasizes two fundamental learning modes—exploration, involving search, experimentation, and discovery, and exploitation, involving refinement, implementation, and efficiency improvement (March, 1991; Levinthal & March, 1993).
This study adopts the exploration–exploitation framework of OLT as the primary theoretical lens, distinguishing between exploration—involving experimentation, novelty search, and ideation—and exploitation—involving scaling, codification, and systematization—in the AI innovation context (March, 1991; Levinthal & March, 1993; O’Reilly & Tushman, 2013). However, OLT often under-specifies the contextual conditions that trigger shifts in learning behaviors—why and how exploration transitions into exploitation in AI-related organizational contexts, and how this transition subsequently affects service performance.
Socio-technical systems theory (STST) refines this account by situating learning in the dynamic interaction between human and technical subsystems (Trist, 1981; Muller & Pasmore, 1989). STST centers on the alignment of a firm’s technical subsystem—tools, algorithms, platforms—with its social subsystem—workflows, roles, skills, and communication patterns (Trist & Bamforth, 1951; Ropohl, 1999). In the process of organizational learning, human factors play a crucial role as buffers to transit socio-technical misalignment to alignment, to maximize the outcomes from both exploratory to exploitative learning modes (Sony & Naik, 2020).
AI technology intrinsically alters the relationship between human and technical subsystems in a firm. Technological novelty usually outpaces the organization’s existing cognitive schemas and established organizational routines, creating an initial socio-technical misalignment that fuels exploratory learning motives until the subsequent alignment is achieved. As learning gradually closes this gap, incentives to explore weaken, and organizations shift toward an exploitation-dominated mode of standardization and automation to maximize immediate gains. This proposition, elaborated in the following section, offers an integrated OLT–STST perspective on the non-linear evolution of AI innovation on its service outcome.
The nonlinear direct effect between AI innovation and service revenueLearning is activated at the interface —where technical advancement happens and exceeds the firm’s socio adaptation, forcing organizations to explore, recalibrate, and re-align. In this phase, learning is driven by curiosity and adaptation, as the organization seeks to integrate new technological possibilities with existing human capabilities. When the gap closes, exploratory learning expands and recombines the firm’s knowledge base, increases codifiability of service routines, and accelerates the translation of technical advances into monetizable offerings.
In the rising phase, AI innovation amplifies exploratory learning: firms integrate operational signals, customer feedback, and market cues into analyzable inputs, hypothesis spaces widen, and cross-functional sensemaking (intuiting–interpreting–integrating–institutionalizing in Crossan & White’s 1999 terms) becomes faster and more reliable, with a twofold outcome. First, exploratory search produces more accurate diagnostics and better-tuned solutions, raising willingness to pay for service contracts (Wang et al., 2023). Second, early rounds of innovative solutions translate emergent know-how into codified routines—templates, checklists, parameter libraries, and platform modules—that can be replicated with increasing returns to scale (Fink et al., 2017). Together, the expansion of knowledge variety and its timely codification increase the conversion efficiency of learning into monetizable offerings (e.g., availability guarantees, performance- or usage-based contracts), thereby steepening the positive slope of the AI-innovation–revenue relationship curve at low-to-moderate intensities (Xie et al., 2016).
Beyond an intermediate turning point, however, the same mechanisms that initially created efficiency begin to bind. As AI innovation intensifies and learning accumulates, the initial gap between technical advancement and social adaptation gradually closes, shifting organizational learning motives from experimentation toward exploitation. As codified solutions accumulate and pipelines routinize, managerial attention shifts toward exploiting validated templates, search focuses on familiar data streams, and interfaces harden around prevailing workflows. OLT predicts such competency traps when local success reinforces the reallocation of attention from variety generating to variance reducing activities (March, 1991). In servitized settings, these dynamics have at least three revenue-relevant consequences.
First, the marginal informational yield of additional AI artifacts declines: new models increasingly overlap with existing ones, improvements become incremental, and knowledge redundancy rises, all of which reduce the return to each extra unit of innovative effort (Li et al., 2023). Second, coordination and integration costs escalate as more actors, datasets, and rules must be synchronized; what began as scalable routines becomes a dense governance structure whose overheads dilute net revenue gains (Agndal et al., 2023). Third, over-standardization compromises relational quality: uniform templates crowd out fine-grained adaptation, eroding responsiveness and personalization that underpin service monetization (Kasiri et al., 2017). In other words, as exploitation dominates, firms risk trading off the very properties—novel cue detection, rapid reframing, bespoke configuration—that make AI innovation valuable for services in the first place (Luger et al., 2018; Osiyevskyy et al., 2020). Attention overload, integration bottlenecks, and over-standardization can reduce learning conversion efficiency and erode the relational quality that underpins service-based financial outcomes, thereby producing diminishing returns (Crossan & White, 1999; Mittone et al., 2024).
The resulting pattern is a concave mapping from AI innovation to service revenue. At lower intensities, exploratory learning expands the stock and variety of usable knowledge while initial codification enables efficient reuse, and revenues rise because firms learn more and convert faster (Ceptureanu & Ceptureanu, 2025). As intensity grows, diminishing informational returns, rising coordination load, and relational erosion jointly depress the learning-to-revenue conversion rate, and the incremental revenue attributable to each additional unit of AI innovation tapers and may eventually decline. OLT thus provides a coherent mechanism—rooted in the exploration–exploitation tension and its attention and integration implications—for expecting nonlinearity in a context where value realization hinges on both reliable codification and adaptive, customer-embedded enactment (March, 1991). STST complements this view by anchoring the turning point: as socio-technical alignment tightens through automation and standardization, learning motives shift from exploration to exploitation. Accordingly, we posit the following hypothesis:
H1: An inverted U-shaped relationship exists between AI innovation and service revenue in manufacturing firms.
The study theorizes two social-subsystem capabilities that condition how the technical subsystem (AI innovation) maps into service revenue: coordination capability and human capital.
Coordination capability refers to the organizational capacity to align activities and resources across functional units and hierarchical levels to effectively integrate technological innovation efforts into service delivery (Okhuysen & Bechky, 2009). Rather than being confined to isolated technical achievements, coordination ensures that AI-related initiatives are embedded in broader routines and processes. This capacity allows firms to manage the inherent tension between experimentation and routinization by linking novel technical outcomes with operational workflows in a timely manner (Parida et al., 2019).
At initial levels of AI innovation, extensive coordination is likely to dampen the revenue impact of exploratory efforts. Early AI initiatives are variety-creating and benefit from broad problem framing, rapid iteration, and local discretion (Rashid & Kausik, 2024). Heavy horizontal–vertical alignment at this stage adds governance and approval overhead, compresses design freedom, and slows experimentation—particularly when enterprise-wide standards are imposed before local learning has stabilized (Hendra et al., 2024). Temporal synchronization can also suppress momentum: strict release calendars and cross-unit dependencies may delay deployment of promising solutions until downstream readiness is secured (Hilbolling et al., 2022). These mechanisms narrow the breadth of search and lengthen the cycle from insight to enactment, thereby weakening the marginal uplift of AI innovation on service revenue in the ascending portion of the curve.
As AI innovation intensifies, the binding constraints shift from fragmentation to rigidity and integration overhead (Belhadi et al., 2021; Mariani et al., 2022). Interdependencies among models, datasets, and service rules proliferate, local optimizations harden into routines, and asymmetries between strategic narratives and frontline realities become costlier. Under these conditions, coordination functions as an integrator. Cross-level information channels reduce misinterpretation, dependency mapping and version governance contain duplication, and cadence-matching mechanisms align model updates with service rhythms so that technical improvements are fielded without disrupting delivery (Parida et al., 2019; Cao et al., 2021). Buffering slack—time windows and resource cushions—further absorbs shocks from change. By preserving local variety within standards and protecting managerial attention for anomaly detection and adaptation, coordination attenuates the negative revenue effects associated with over-routinization in the descending portion of the curve. Accordingly, we posit:
H2: Coordination capability flattens the inverted-U relationship between AI innovation and service revenue such that it weakens the positive effect of AI innovation at low-to-moderate levels, but attenuates the negative effect at high levels.
Human capital represents the stock of employees’ knowledge, skills, and adaptive capacities (Barney, 1991; Becker, 1994), and constitutes a central mechanism by which technological innovation is translated into service outcomes. In the context of AI innovation, human capital provides not only the technical literacy required to interpret algorithmic insights, but also the cognitive flexibility to recombine these insights into new customer-oriented service logics (Cao et al., 2021). High-quality human capital enhances firms’ absorptive capacity by enabling employees to recognize valuable external knowledge, assimilate it, and apply it to service redesign (Aboelmaged & Hashem, 2019). Thus, human capital shapes how AI innovation exerts its influence on service revenue across different levels of intensity.
At lower levels of AI innovation, human capital magnifies the positive effect on service revenue. Employees with superior problem-solving skills and tacit knowledge can experiment with early AI innovations, pilot solutions in collaboration with clients, and adapt workflows to capture incremental service value (Robbins, 2020). Their expertise reduces the risk of superficial adoption, ensuring that even exploratory AI initiatives are integrated into routines that enhance reliability, personalization, and responsiveness in service delivery (Nguyen & Malik, 2022). For instance, when predictive maintenance systems are in the nascent stage, employees with high technical literacy can translate algorithmic predictions into actionable schedules, thereby demonstrating tangible value to customers and boosting their willingness to adopt AI-enabled services (Sjödin et al., 2023).
However, at higher levels of AI innovation, human capital also exacerbates the negative consequences. Employees with strong professional specialization may advocate for rapid and deep integration of AI systems, accelerating resource commitments and pushing adoption beyond what service structures can absorb (Chowdhury et al., 2022). This may result in misalignment between algorithmic prescriptions and client-facing realities. Moreover, skilled employees may become locked into their own expertise domains, reinforcing path dependencies and reducing organizational flexibility to recalibrate when AI-driven processes misfit customer needs (Kim & Lee, 2022). The very same interpretive and absorptive strengths that amplified benefits at low intensity can, at high intensity, accelerate the crystallization of rigid routines and amplify customers’ dissatisfaction with overly automated, less personalized services (Huikkola et al., 2022). Together, we propose the final hypothesis:
H3: Human capital amplifies the inverted U-shaped relationship between AI innovation and service revenue, such that it strengthens both the positive effect at lower levels of AI innovation and the negative effect at higher levels.
This study utilizes a sample of listed firms in China’s advanced manufacturing sector. Servitization has emerged as a strategic priority for China’s economic development, particularly through initiatives such as Made in China 2025, which emphasizes innovation and the high-value-added manufacturing capabilities (Zhou & Song, 2021). Furthermore, AI innovation is rapidly increasing in China’s manufacturing sector, particularly in advanced manufacturing1 (Li et al., 2024). Rapid AI innovation, combined with the strategic push towards servitization, makes this a highly relevant context. Additionally, 2015 is a critical year that witnessed the early wave of AI commercialization and subsequent large-scale AI applications (Mallah, 2015). Therefore, we set the study period from 2015 to 2022, based on data availability.
We retrieved data on AI patents from the Patsnap Global Patent Database and service revenue data from listed firms’ annual reports. Other data were obtained from the China Stock Market & Accounting Research (CSMAR) Database. After excluding delisted firms, those labeled as special treatment (ST) or ST*, and firms with key indicators missing during the sample period, we conducted a small amount of data extrapolation using interpolation methods. Winsorization was applied at the 1 % upper and lower ends of the variables to mitigate the impact of outliers. The final dataset comprises an unbalanced panel with 5,565 observations from 796 firms. Table 1 presents the descriptions of the sample.
Sample firms’ characteristics (N=5565).
This study adopted a mixed-effects model, with fixed effects of time and random effects of industry and provinces, for three reasons. First, the sampled observations within the same province or industry can be highly correlated due to provincial and industrial policies. The use of random effects better accounts for this clustering effect, ensuring the accurate estimation of standard errors. Second, fixing the year effect aims at controlling for common factors such as time trends and the macroeconomic environment so that the results are not affected by common external factors (such as policy changes) in specific years. Third, F-tests, LM tests, and Hausman tests were conducted with the sample, and the results favored the mixed-effects model over other models.
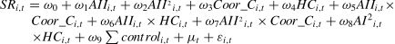
The nonlinear AI innovation-service revenue relationship and the moderating role of coordination capability and human capital are examined in Models (1)–(7).
Subscript i denotes the firm, and t denotes the time period. SRi,t represents the service revenue of firm i in period t; AIIi,t and AII2i,t represent the measurements of AI innovation and the square of AI innovation, respectively; Coor_Ci,t and HCi,tare the moderating variables of coordination capability and human capital, respectively; ∑Controli,t refers to the set of control variables; μt is the year fixed effect; and εi,t is the random error term.
MeasuresDependent variableService revenue: The study first examined the annual reports to determine whether firms in the sample categorized their business revenue into service and product revenue, or provided the proportion of service revenue. For firms that disclosed this information, the reported service revenue was used or calculated based on the given proportion. For firms that did not explicitly disclose service revenue, we followed Benedettini et al.’s (2017) approach and applied the 12 service classification criteria proposed by Neely (2008). Specifically, a manual examination of the detailed breakdown of main business revenue in annual reports was conducted, through which service-related revenue items were systematically identified and classified. This manual coding procedure ensured consistency and accuracy in distinguishing service categories from product-oriented revenues. After verification, all identified service items were aggregated to compute the total revenue attributable to service activities for each firm-year observation.2 This approach provides an objective financial measure of servitization outcomes and minimizes common method bias.
Independent variableArtificial intelligence (AI) innovation: The number of patents granted in the AI domain was used as a proxy for AI innovation. As patents represent codified knowledge embodying novel and non-obvious technological advances, they are widely recognized as a reliable output-based measure of innovation (Henderson et al., 2005). In the AI context, patents capture firms’ technological achievements in algorithms, models, and applications, reflecting their knowledge creation and accumulation in this emerging domain (Mann & Püttmann, 2023). Following Wang (2020), relevant patents were identified by combining the International Patent Classification categories recommended by WIPO (World Intellectual Property Organization) with AI-related keyword searches in the Patsnap Global Patent Database. To mitigate skewness, the annual number of granted AI patents was log-transformed after adding one.
The operationalization of AI innovation follows the dynamic capabilities perspective (Teece et al., 1997; Teece, 2007), which defines the sets of microfoundations—sensing, seizing, and transforming—as a collection of capabilities that enable firms to continuously renew their resource base. Within this framework, innovation reflects the firm’s systemic capabilities to identify opportunities, integrate technical and human resources, and reconfigure routines to generate novel solutions (Motamedimoghadam et al., 2025). While patents are the outputs of these innovation processes rather than the capabilities themselves, they serve as capability-revealing, observable, and externally validated traces (e.g., Zhang et al., 2024). The sustained ability to produce patentable AI innovations presupposes cross-functional integration, knowledge recombination, and transformation routines—all core manifestations of dynamic capabilities. Empirical studies have also adopted this logic to measure innovation with patent data (e.g., Lou & Wu, 2021). Similar reasoning underlies studies linking firms’ innovative capacity to observable innovation outputs (e.g., Rajapathirana & Hui, 2018; Wang & Hu, 2020; Zhai & Liu, 2023).
Moderating variablesCoordination capability: This variable is proxied by the total asset turnover ratio, which captures firms’ efficiency in orchestrating resources and aligning operational processes across units (Zhang & Liu, 2023). A higher ratio indicates stronger coordination in synchronizing asset utilization with revenue generation (Zhou, 2011). Model (8) presents the calculation formula.
where TATi,t is the total asset turnover of firm i in period t, Incomei,t represents the operating income of firm i in period t, and Assets_Oi,t and Assets_Ei,t are the opening and closing balances of assets, respectively.Human capital: This is measured as the proportion of R&D personnel to total employees (Fang & Yang, 2018) and reflects the extent to which a firm’s workforce is knowledge-intensive and thus capable of assimilating and applying AI-related innovations (Tunio et al., 2021).
Control variablesWe used firm growth, global reporting initiative (GRI), firm size, return on equity (ROE), ownership, and firm age as control variables, which are suggested to impact service revenue (Chen et al., 2024).
Firm growth: Measured by the ratio of net profit to total assets for the firm.
GRI: A dummy variable assigned a value of 1 if the firm adopts the environment, social, and governance (ESG) reporting standard, and 0 otherwise.
Firm size: Measured by the total assets disclosed in the firm’s balance sheet (log transformed).
ROE: Calculated as the ratio of net profit to the average balance of shareholders’ equity.
Ownership: A dummy variable where state ownership is coded as 1 and non-state as 0.
Firm age: Measured as the number of years since the firm’s IPO.
Empirical resultsResults of the main and moderating effectsTable 2 presents the descriptive statistics and correlations for the variables. All variables are significantly correlated with service revenue. Correlations between the main research variables and the control variables are significant, supporting the selection of control variables. To address potential multicollinearity concerns, decentralization was performed. The variance inflation factor values for all variables are less than 5, indicating no multicollinearity.
Descriptive statistics and correlation analysis.
| Variable | Mean | SD | 1 | 2 | 3 | 4 | 5 | 6 | 7 | 8 | 9 | 10 | 11 |
|---|---|---|---|---|---|---|---|---|---|---|---|---|---|
| AII | 0.656 | 1.109 | 1 | ||||||||||
| AII2 | 1.660 | 4.561 | 0.896⁎⁎⁎ | 1 | |||||||||
| SR | 6.683 | 9.035 | 0.048⁎⁎⁎ | 0.031⁎⁎ | 1 | ||||||||
| CC | 0.253 | 0.121 | 0.134⁎⁎⁎ | 0.129⁎⁎⁎ | -0.082⁎⁎⁎ | 1 | |||||||
| HC | 0.175 | 0.111 | 0.272⁎⁎⁎ | 0.213⁎⁎⁎ | 0.073⁎⁎⁎ | -0.176⁎⁎⁎ | 1 | ||||||
| Growth | 0.486 | 0.187 | -0.020 | -0.012 | -0.054⁎⁎⁎ | 0.098⁎⁎⁎ | -0.011 | 1 | |||||
| GRI | 0.921 | 0.270 | -0.259⁎⁎⁎ | -0.288⁎⁎⁎ | -0.023* | -0.089⁎⁎⁎ | -0.098⁎⁎⁎ | -0.011 | 1 | ||||
| Assets | 22.32 | 1.198 | 0.374⁎⁎⁎ | 0.386⁎⁎⁎ | 0.106⁎⁎⁎ | 0.205⁎⁎⁎ | 0.073⁎⁎⁎ | 0.043⁎⁎⁎ | -0.397⁎⁎⁎ | 1 | |||
| ROE | 4.044 | 0.009 | 0.025⁎⁎ | 0.024* | -0.018 | 0.075⁎⁎⁎ | 0.018 | 0.213⁎⁎⁎ | -0.024* | 0.061⁎⁎⁎ | 1 | ||
| Ownership | 0.278 | 0.448 | 0.079⁎⁎⁎ | 0.088⁎⁎⁎ | 0.048⁎⁎⁎ | 0.129⁎⁎⁎ | 0.152⁎⁎⁎ | -0.056⁎⁎⁎ | -0.110⁎⁎⁎ | 0.308⁎⁎⁎ | 0.010 | 1 | |
| Age | 2.981 | 0.278 | 0.081⁎⁎⁎ | 0.097⁎⁎⁎ | -0.001 | 0.089⁎⁎⁎ | 0.078⁎⁎⁎ | -0.133⁎⁎⁎ | -0.102⁎⁎⁎ | 0.200⁎⁎⁎ | 0.006 | 0.237⁎⁎⁎ | 1 |
Two-tail t-test was performed.
Given the potential lagged effect of AI innovation on service revenue, the one-period lagged service revenue was used as the dependent variable. Table 3 reports the results of the main and moderation effects. Model 1 presents the regression results of the relationship between AI innovation, its quadratic term, and service revenue. The findings reveal that while the coefficient for AI innovation is not significant, the coefficient for AI innovation² is significantly negative (β = -0.139, p < 0.05). When AI innovation takes the minimum value of 0, the curve slope is greater than 0 (β1 + 2β2 × AImin = 0.346); when AI innovation takes the maximum value of 7.63, the slope is below 0 (β1 + 2β2 × AImax = -1.774). The gradients at the sample border exhibit opposing signals. The inflection point of the curve is 1.245, situated within the range of the sample interval. Collectively, the results indicate an inverted U-shaped AI innovation–service revenue link (Duan et al., 2021; Jiang et al., 2023). With rising AI innovation, service revenue initially increases and then decreases, supporting H1.
Results of main and moderating effects (N=5565).
| Variables | Model 1 | Model 2 | Model 3 | Model 4 | Model 5 | Model 6 | |
|---|---|---|---|---|---|---|---|
| SR | SR | SR | SR | SR | SR | ||
| Main effects | |||||||
| AII | 0.346 | 0.365 | 0.450+ | 0.153 | -0.075 | 0.092 | |
| (0.235) | (0.234) | (0.235) | (0.237) | (0.256) | (0.258) | ||
| AII2 | -0.139* | -0.139* | -0.178⁎⁎ | -0.137* | -0.063 | -0.108+ | |
| (0.055) | (0.054) | (0.056) | (0.054) | (0.064) | (0.065) | ||
| Moderating effects | |||||||
| CC | -6.695⁎⁎⁎ | -6.041⁎⁎⁎ | -5.181⁎⁎⁎ | ||||
| (1.031) | (1.133) | (1.153) | |||||
| HC | 6.469⁎⁎⁎ | 6.251⁎⁎⁎ | 5.042⁎⁎⁎ | ||||
| (1.196) | (1.263) | (1.282) | |||||
| AII*CC | -6.526⁎⁎⁎ | -6.166⁎⁎ | |||||
| (1.892) | (1.908) | ||||||
| AII2*CC | 1.641⁎⁎⁎ | 1.536⁎⁎ | |||||
| (0.486) | (0.487) | ||||||
| AII*HC | 3.454+ | 2.750 | |||||
| (1.804) | (1.817) | ||||||
| AII2*HC | -0.893* | -0.755+ | |||||
| (0.387) | (0.387) | ||||||
| Control variables | |||||||
| Growth | -2.389⁎⁎⁎ | -1.966⁎⁎ | -1.980⁎⁎ | -2.457⁎⁎⁎ | -2.429⁎⁎⁎ | -2.064⁎⁎ | |
| (0.684) | (0.685) | (0.685) | (0.683) | (0.682) | (0.684) | ||
| GRI | 1.434⁎⁎ | 1.372⁎⁎ | 1.274⁎⁎ | 1.435⁎⁎⁎ | 1.448⁎⁎⁎ | 1.306⁎⁎ | |
| (0.461) | (0.459) | (0.460) | (0.460) | (0.460) | (0.459) | ||
| Assets | 1.130⁎⁎⁎ | 1.212⁎⁎⁎ | 1.227⁎⁎⁎ | 1.271⁎⁎⁎ | 1.274⁎⁎⁎ | 1.329⁎⁎⁎ | |
| (0.124) | (0.124) | (0.124) | (0.126) | (0.126) | (0.126) | ||
| ROE | -10.693 | -7.924 | -8.186 | -8.897 | -9.100 | -7.206 | |
| (11.804) | (11.770) | (11.757) | (11.780) | (11.779) | (11.743) | ||
| Ownership | 0.188 | 0.383 | 0.370 | 0.182 | 0.188 | 0.346 | |
| (0.300) | (0.300) | (0.300) | (0.299) | (0.299) | (0.299) | ||
| Age | -0.769 | -0.542 | -0.504 | -0.552+ | -0.550 | -0.364 | |
| (0.501) | (0.501) | (0.500) | (0.502) | (0.501) | (0.501) | ||
| Constant | 25.911 | 13.583 | 14.174 | 13.956 | 14.714 | 6.621 | |
| (47.682) | (47.548) | (47.497) | (47.614) | (47.609) | (47.462) | ||
| Year effect | Yes | Yes | Yes | Yes | Yes | Yes | |
| Industry | Yes | Yes | Yes | Yes | Yes | Yes | |
| Province | Yes | Yes | Yes | Yes | Yes | Yes | |
Standard errors in parentheses.
Model 3 in Table 3 investigates the moderating effect of coordination capability on the AI innovation-service revenue link. The results show that while the interaction term between AI innovation and coordination capability is significantly negative (β = -6.526, p < 0.001), the interaction term between AI innovation² and coordination capability is significantly positive (β = 1.641, p < 0.001). The negative AI innovation–coordination capability interaction term (β = -6.526) at the low-to-middle level of AI innovation indicates that coordination capability compromised the output of service revenue by minimizing short-term disruptions. The positive interaction term between AI innovation2 and coordination capability (β = 1.641) suggests that coordination capability reduces the steep decline in service revenue as AI innovation increases, making the downward slope less pronounced.
The inflection point of the inverted U-shaped relationship, considering the moderation effect of coordination capability, was calculated following Huang et al. (2022). Compared to the original inflection point of 1.245 without the moderating effect, the new inflection point shifted right. This shift suggests that coordination capability stabilizes AI innovation’s impact on service revenue, allowing the benefits of AI innovation to infuse less impactful in the beginning while persisting a longer term with more gradual decline. Therefore, H2 is supported.
Model 5 in Table 3 reports the moderating effect of human capital on the AI innovation-service revenue link. The results indicate that the AI innovation–human capital interaction is significantly positive (β = 3.454, p < 0.1), and the AI innovation²–human capital interaction is significantly negative (β = -0.893, p < 0.05). The positive interaction term suggests that human capital accelerates the positive impact of AI innovation on service revenue at lower levels of AI innovation, enabling AI innovation to deliver value more quickly. The negative interaction term of the quadratic component indicates that higher levels of human capital make the U-shaped relationship steeper, leading to a more rapid decline in performance as AI innovation passes an optimal point.
In sum, high human capital enables AI innovation to realize its potential more quickly at lower adoption levels, but at higher levels, it accelerates the performance decline, leading to a sharper transition from an improvement to a decline in service revenue. In addition, the inflection points with human capital as a moderator shift left compared to the original inflection point, indicating a sharper and earlier turning. Collectively, the results suggest that human capital amplifies both the positive and negative effects of AI innovation on service revenue, thereby reinforcing the inverted U-shaped relationship. Thus, H3 is supported.
To further test H2 and H3, both coordination capability and human capital were included in the same model. Model 6 in Table 3 shows that the coefficient of the AI innovation²–coordination capability interaction is significantly positive (β = 1.536, p < 0.01), while the coefficient of the AI innovation²–human capital interaction is significantly negative (β = -0.755, p < 0.1). The interaction plots (see Fig. 2) confirm the findings.
Robustness testsSample reductionExcluding 2020 data. To account for potential exogenous shocks of the COVID-19 pandemic, a baseline regression excluding data from 2020 was conducted. Column 1 of Table 4 confirms that the coefficient of AI innovation² remains significantly negative (β = -0.122, p < 0.05).
Robustness analysis of baseline regression.
| Sample reduction-One | Sample reduction-Two | |
|---|---|---|
| Variables | SR | SR |
| AII | 0.277 | 0.471⁎⁎ |
| (0.256) | (0.238) | |
| AII2 | -0.122* | -0.160⁎⁎⁎ |
| (0.060) | (0.055) | |
| Growth | -2.542⁎⁎⁎ | -2.185⁎⁎⁎ |
| (0.734) | (0.690) | |
| GRI | 1.325⁎⁎ | 1.377⁎⁎⁎ |
| (0.494) | (0.464) | |
| Assets | 1.153⁎⁎⁎ | 1.075⁎⁎⁎ |
| (0.133) | (0.126) | |
| ROE | -8.519 | -11.020 |
| (11.880) | (11.811) | |
| Ownership | 0.203 | 0.250 |
| (0.324) | (0.301) | |
| Age | -0.493 | -0.519 |
| (0.535) | (0.509) | |
| Constant | 16.048 | 27.457 |
| (47.993) | (47.708) | |
| Year effect | Yes | Yes |
| Industry | Yes | Yes |
| Province | Yes | Yes |
| N | 4771 | 5396 |
Standard errors in parentheses.
+ p < 0.1.
Excluding partial industry sample. Firms in the railway, shipbuilding, aerospace, and other transportation equipment manufacturing industries (C37) were excluded to avoid potential bias arising from China’s policy reforms aimed at enhancing production efficiency in this sector (Yu, 2019). The coefficient for AI innovation² is significantly negative (β = -0.160, p < 0.001) (Column 2 of Table 4), reaffirming the inverted U-shaped relationship.
EndogeneityInstrumental variable (IV) approach. To address the potential endogeneity issue between AI innovation and service revenue, the IV method is employed. Given that service revenue is unlikely to influence AI innovation one or two years in advance, the AI innovation variable was lagged by one period. The lagged AI innovation variable, along with its quadratic term, was used as IVs and subjected to two-stage least squares (2SLS) regression (Stock & Yogo, 2005) (Columns 1–3 of Table 5).
2SLS and PSM regression results.
| IV-L.AI | PSM | |||
|---|---|---|---|---|
| First stage | First stage | Second stage | ||
| Variables | AII | AII2 | SR | SR |
| AII | 0.939⁎⁎⁎ | 1.088⁎⁎⁎ | ||
| (0.327) | (0.254) | |||
| AII2 | -0.226⁎⁎⁎ | -0.273⁎⁎⁎ | ||
| (0.075) | (0.059) | |||
| IV-L.AII | 0.804⁎⁎⁎ | 0.133⁎⁎ | ||
| (0.016) | (0.055) | |||
| IV-L.AII2 | 0.028⁎⁎⁎ | 0.963⁎⁎⁎ | ||
| (0.004) | (0.014) | |||
| Growth | 0.009 | -0.019 | -3.449⁎⁎⁎ | -3.215⁎⁎⁎ |
| (0.047) | (0.159) | (0.727) | (0.863) | |
| GRI | -0.043 | -0.223⁎⁎ | 0.617 | 0.960* |
| (0.030) | (0.104) | (0.476) | (0.458) | |
| Assets | 0.060⁎⁎⁎ | 0.220⁎⁎⁎ | 0.928⁎⁎⁎ | 0.947⁎⁎⁎ |
| (0.008) | (0.026) | (0.124) | (0.132) | |
| ROE | 0.534 | 1.494 | -9.948 | 21.649+ |
| (0.827) | (2.823) | (12.920) | (11.537) | |
| Ownership | -0.011 | -0.011 | 0.390 | 0.780* |
| (0.018) | (0.062) | (0.286) | (0.322) | |
| Age | -0.100⁎⁎⁎ | -0.211⁎⁎ | -0.926* | -1.535⁎⁎ |
| (0.030) | (0.104) | (0.477) | (0.540) | |
| Constant | -3.008 | -9.832 | 29.633 | -97.225* |
| (3.338) | (11.391) | (52.145) | (46.415) | |
| N | 5565 | 5565 | 5565 | 4532 |
| R2 | 0.752 | 0.833 | 0.019 | 0.023 |
| F-value | 2108.42⁎⁎⁎ | 3473.15⁎⁎⁎ | 12.22⁎⁎⁎ | 13.565⁎⁎⁎ |
| Kleibergen-Paap rk LM | 389.134⁎⁎⁎ | - | ||
| Cragg-Donald Wald F statistic | 3096.825>16.380 | - | ||
Standard errors in parentheses.
The relevance of the IVs was tested using the Kleibergen-Paap rk LM statistic, which yielded 389.134 (p < 0.001). The null hypothesis of “insufficient identification of IVs” is rejected (Khan et al., 2022). The weak instruments were also tested by the Cragg-Donald Wald F statistic, which produced a value of 3096.825, significantly surpassing the critical value of 16.380 at the 10 % level of the Stock-Yogo test, indicating that the chosen IVs are valid.
In the first-stage estimation, the IVs are significantly correlated with both the first-order term of the core explanatory variable (β = 0.804, p < 0.001) and the second-order term (β = 0.133, p < 0.01). In the second-stage estimation, the relationship between AI innovation and service revenue remains inverted U-shaped (β = -0.226, p < 0.001), confirming the results after accounting for potential endogeneity issues.
Propensity score matching (PSM). Since AI innovation is affected by various factors such as managerial practices and technological capabilities, self-selection bias may exist. Following Tian et al. (2023), PSM was applied; firms were classified into a treatment group (those holding AI patents each year) and a control group (those without AI patents), with control variables used as matching criteria. The 1:1 nearest neighbor-matching method with replacement was applied. The inverted U-shaped relationship remains valid (β = -0.273, p < 0.001 for AI innovation²), indicating that our findings are robust after addressing self-selection bias (Column 4 of Table 5).
Heterogeneity testsRegional heterogeneityTo further explore regional-specific heterogeneity, the sample was classified into two groups: the Eastern and the Central-Western regions of China. The impact of AI innovation on service revenue was not significant in the Central-Western region. In the Eastern region, the coefficient of AI innovation² is significantly negative (β = -0.148, p < 0.05), indicating an inverted U-shaped AI innovation–service revenue relationship (see, Table 6).
Results of the heterogeneity analysis.
| Central-Western region | Easternregion | High-techindustry | Non-high-techindustry | |
|---|---|---|---|---|
| Variables | SR | SR | SR | SR |
| AII | -0.083 | 0.442 | 0.091 | 0.496 |
| (0.458) | (0.278) | (0.321) | (0.359) | |
| AII2 | -0.078 | -0.148* | -0.077 | -0.190* |
| (0.115) | (0.063) | (0.069) | (0.094) | |
| Growth | 0.174 | -2.986⁎⁎⁎ | -0.444 | -2.993⁎⁎ |
| (1.287) | (0.831) | (1.084) | (0.919) | |
| GRI | -0.017 | 2.149⁎⁎⁎ | 0.989+ | 1.798* |
| (0.739) | (0.585) | (0.599) | (0.717) | |
| Assets | 1.544⁎⁎⁎ | 1.020⁎⁎⁎ | 0.574⁎⁎⁎ | 1.637⁎⁎⁎ |
| (0.213) | (0.152) | (0.171) | (0.180) | |
| ROE | -192.740* | -6.095 | -138.954⁎⁎⁎ | -0.496 |
| (85.566) | (12.280) | (41.297) | (12.506) | |
| Ownership | 0.740 | 0.045 | 0.538 | -0.244 |
| (0.485) | (0.382) | (0.398) | (0.452) | |
| Age | -4.820⁎⁎⁎ | 0.610 | -0.116 | -1.308+ |
| (0.916) | (0.600) | (0.683) | (0.731) | |
| Constant | 764.393* | 5.819 | 553.680⁎⁎⁎ | -24.438 |
| (345.462) | (49.610) | (166.689) | (50.560) | |
| Year effect | Yes | Yes | Yes | Yes |
| Industry | Yes | Yes | Yes | Yes |
| Province | Yes | Yes | Yes | Yes |
| N | 1940 | 3625 | 2697 | 2868 |
Standard errors in parentheses.
The regional disparity can be attributed to differences in market maturity, technological infrastructure, and human capital reserves. The Eastern region has more advanced technological infrastructure, a relatively higher degree of marketization, and a stronger pool of digital talent (Suo et al., 2024). These factors make advanced manufacturing firms in the Eastern region more likely to reach highly integrated system solutions. However, as technological adoption progresses, path dependence and organizational inertia tend to set in (Cao et al., 2021). Consequently, the technological subsystem advances ahead of the social subsystem, necessitating transformative learning to realign organizational logic (Argote & Hora, 2017). However, existing inertia hinders the adaptive adjustment of the social subsystem, causing misalignment between the technical and social subsystems. This misalignment ultimately leads to a decline in service revenue from its peak, leading to the inverted U-shaped curve. By contrast, the Central-Western region, with less profound AI innovation and fewer opportunities for technological adaptation and learning, shows no significant effect on service revenue.
Industry heterogeneityThe AI innovation-service revenue link may also vary across industries. The sample was categorized into high-tech and non-high-tech industries3 and subgroup regressions were performed. The results show that in high-tech industries, AI innovation does not exhibit an inverted U-shaped relationship with service revenue. Such an effect is observed primarily in non-high-tech industries (β = -0.190, p < 0.05) (reported in Table 6).
This divergence can be explained by the differing levels of technological expertise and infrastructure across industries. In non-high-tech industries, the low-to-middle level of AI innovation significantly enhances service efficiency and reduces costs. However, as AI innovation becomes more advanced, challenges such as over-reliance on technology, insufficient employee adaptation, or inadequate infrastructure may emerge, leading to diminishing returns, ultimately resulting in an inverted U-shaped relationship. Conversely, in high-tech industries, firms’ long-standing technological expertise and experience have already allowed them to achieve highly technological integration. Consequently, the incremental benefits of AI innovation are nonsignificant.
Discussion and conclusionDrawing upon OLT and STST, this study explores how organizational learning, coupled with the dynamic alignment between technological and social subsystems, shapes the relationship between AI innovation and service revenue in manufacturing firms. Our findings show that the relationship between AI innovation capability and service revenue in manufacturing firms follows an inverted U-shape, and coordination capability flattens this curve. By contrast, high human capital intensifies both the rise and fall, accelerating early gains but also amplifying later declines.
Discussion of findingsFirst, the empirical results highlight an inverted U-shaped relationship between AI innovation and service revenue, which adds nuance to the literature on digitalization and servitization. In the early stages, AI innovation generates efficiency gains and service opportunities through exploratory learning, a finding consistent with Kohtamäki et al. (2020), who emphasized AI’s role in enhancing service-oriented outcomes. However, the study extends this line of research by showing that beyond a certain threshold, the benefits decline due to excessive routinization and the crowding out of human-centric engagement (Kasiri et al., 2017). This result, contrasting with studies that assume AI innovation exerts only linear, positive impacts (e.g., Babina et al., 2024), suggests that firms must carefully balance exploration and exploitation over time.
Second, our analysis shows that coordination capability functions as a stabilizer in the AI innovation–service revenue relationship. By improving alignment between technical and social subsystems, coordination capability not only mitigates the risks of over-exploitation in later stages but also dampens the steepness of early-stage gains. In other words, while firms with stronger coordination capability are less likely to suffer severe downturns, they also experience more moderate increases in service revenue at the beginning of the AI innovation process (Cao et al., 2021). This “stabilizer” effect suggests that coordination capability does not simply eliminate risks but redistributes outcomes, smoothing fluctuations over time. These findings extend Parida et al. (2019), who emphasized the integrative role of coordination, by highlighting that its influence operates in both directions—curbing excessive optimism in the early phase and cushioning potential declines in the later phase.
Third, our findings regarding human capital highlight its dual role. Prior research has largely emphasized human capital as a positive enabler of digital transformation (e.g., Tunio et al., 2021). Our results confirm this view in the early stages, as higher R&D intensity accelerates the translation of AI innovation into service revenue. Yet, in later stages, abundant human capital amplifies the negative returns by locking firms into rigid exploitation routines and limiting attention to relational aspects of service (Kim & Lee, 2022). This resonates with Raisch and Krakowski (2021), who warned of the double-edged nature of AI-human interaction, while empirically demonstrating that human capital can both facilitate and constrain AI-enabled servitization.
Theoretical implicationsThis study makes two major theoretical contributions. First, it enriches the servitization and AI innovation literature by uncovering the nonlinear dynamics of their relationship. Existing research has predominantly treated AI’s role in service performance as either beneficial or detrimental, often adopting linear or static assumptions (e.g., Kohtamäki et al., 2020). By theorizing and validating an inverted U-shaped relationship, our study transcends these dichotomous accounts and highlights that AI innovation operates as a dynamic capability with time-varying effects. This reconceptualization shifts the debate from whether AI is “good or bad” to how its temporal trajectory shapes service revenue. Such theorization responds to recent scholarly calls for capturing the multi-stage and ambivalent nature of digital innovations (Brynjolfsson et al., 2021; Babina et al., 2024).
Second, the findings advance organizational theory by foregrounding the internal organizational moderators of AI-enabled transformation. The literature has often emphasized external contingencies, such as environmental dynamism or competitive intensity (Abou-Foul et al., 2023), whereas this study highlights coordination capability and human capital as critical intra-firm mechanisms. Conceptually, coordination capability emerges as a stabilizer that redistributes both positive and negative effects, while human capital intensifies the dual outcomes of AI innovation. This lens reframes the understanding of the organizational consequences of AI innovation as being moderated by firm-level capacities. By theorizing these dual moderating logics, this study contributes to a more nuanced account of how organizational foundations condition the benefits and risks of AI innovation, addressing recent calls to explore the nuances of “AI-organization/human collaboration” and offering fresh insights into how firms can navigate the complexities of AI-enabled transformations (Raisch & Krakowski, 2021; Sjödin et al., 2023).
Theoretically, this study advances theoretical development by proposing the integration of OLT and STST. While prior research has often treated the technical and social dimensions of AI innovation in isolation—emphasizing either technological determinism (Kapoor et al., 2021) or organizational/social constructionist perspectives (Hughes et al., 2017)—our study demonstrates that neither framework alone can fully explain the nonlinear, multi-stage effects we uncover. The integrated perspective of OLT and STST provides an account of the shifting dynamics between exploration and exploitation for the following two questions. First, it explains the process of how the exploration–exploitation shift takes place during the learning. The integrated perspective explains the drivers of this shift by explicitly accounting for the heterogeneous characteristics of AI innovation. It highlights the alignment challenge between technical efficiency and human-centric adaptation, particularly emphasizing the critical role of human actors. Second, the integrated perspective highlights that misalignment between technical and social subsystems is not merely a negative friction in learning process, but a productive source of exploratory motivation, stimulating experimentation to close cognitive and operational gaps. Conversely, a full alignment, especially when reinforced by AI-enabled automation, does not necessarily signal an optimal state; rather, it can dampen exploratory incentives and intensify competency traps, ultimately undermining sustainable service revenue.
This theoretical framework not only explains the underlying mechanisms but also advances a perspective that departs meaningfully from traditional theoretical paradigms. Specifically, the integrated OLT–STST perspective moves beyond piecemeal explanations and offers a holistic lens that captures both the temporal learning dynamics and the structural misalignment-alignment mechanisms underpinning AI-driven transformation. On one hand, it differs from the resource-based view (Barney, 1991; Peteraf, 1993), which attributes nonlinearity to diminishing marginal returns caused by resource saturation, by emphasizing learning-induced structural shifts rather than static accumulation. On the other hand, it departs from the ambidexterity perspective (March, 1991; Gupta et al., 2006; Lavie et al., 2010; O’Reilly & Tushman, 2013), which focuses on firms’ managerial orchestration to balance exploration and exploitation, by explaining how this balance endogenously evolves through socio-technical alignment and human-technology interaction. This integrative framework enriches the theoretical foundations of AI-enabled servitization research and illustrates how future inquiries into digital transformation can transcend dichotomous perspectives and adopt multi-theoretical approaches to better capture the complexity of technology-driven organizational change.
Practical implicationsThis study provides several practical insights for managers, policymakers, and other stakeholders in manufacturing sectors undergoing AI-enabled servitization.
The inverted U-shaped relationship between AI innovation and service revenue highlights the need for careful management of AI adoption. In the early stages, managers should emphasize structured exploration, experimenting with diverse applications that address customer-specific needs. As innovation matures, it is crucial to continuously adapt organizational processes and employee roles to evolving AI capabilities to prevent over-reliance on exploitation and efficiency-driven routines. Strengthening coordination capability through cross-functional teams, AI coordinators, or dedicated innovation units can serve as a “stabilizer,” balancing short-term gains and long-term adaptability. In parallel, managers should invest in human capital development by not only providing technical training but also fostering soft skills such as problem-solving and customer interaction, while avoiding organizational rigidity caused by over-dependence on a few highly skilled experts.
For the broader manufacturing industry, the findings underscore the necessity of building supportive ecosystems that encourage both AI exploration and exploitation. Governments and industry associations can design incentive schemes, such as subsidies, tax breaks, or innovation grants, that specifically reward exploratory AI projects which often lack immediate financial returns but are vital for long-term competitiveness. Moreover, policy support for cross-industry collaboration platforms, where manufacturers, AI developers, and service providers co-innovate, can reduce coordination barriers and accelerate the alignment of technical and social subsystems across firms, echoing industrial policy debates on how to foster “responsible AI” while ensuring firms do not fall into the trap of reinforcing product-centric logic.
The results also have broader societal relevance. By showing that human capital amplifies both the opportunities and risks of AI innovation, this study suggests that workforce upskilling is not only a firm-level responsibility but also a societal challenge. National and regional governments should strengthen education and training systems to prepare workers for hybrid human-AI service environments. This is critical for mitigating potential negative consequences, such as job polarization, organizational rigidity, or the erosion of human-centered service .Simultaneously, successful AI innovation in manufacturing can generate broader social value by enabling firms to deliver more customized, responsive, and sustainable services, thereby contributing to long-term economic resilience.
Limitations and future directionsThis study has several limitations that suggest promising avenues for future research. First, AI innovation was measured through patent data, which captures formalized innovation outputs but does not fully reflect tacit or application-oriented AI adoption. Future studies could complement this approach with survey measures, text-mined disclosures, or case-based evidence. Moreover, once data availability permits, subsequent research could incorporate AI-specific R&D expenditures (in total or as a proportion of overall R&D) to provide a more granular reflection of firms’ innovation efforts. Second, future work may distinguish different scopes and magnitudes of AI patents through content coding or natural language mining, allowing a more refined identification of the underlying heterogeneity of AI innovation types and service performance pathways. Third, while coordination capability and human capital were conceptualized as moderators, other organizational and contextual factors—such as leadership styles, data governance, or market turbulence—may also shape how AI innovation influences service revenue. Fourth, the empirical setting of advanced manufacturing firms in China may limit generalizability. Comparative studies across countries could illuminate how institutional contexts condition the AI–servitization link. Finally, this study focuses on service revenue as the outcome, but future research may examine broader dimensions such as service profitability, customer retention, or organizational resilience for a more holistic assessment
Funding informationThis research was supported by National Natural Science Foundation of China [NO. 72402171, 72302069]; Youth Elite Scientists Sponsorship Program [NO. 2023QNRC001]; Postdoctoral Research Foundation of China [NO. 2023M732767]; Soft Science Program of Shaanxi Province [NO. 2025KG-YBXM-009]; Shaanxi Province Postdoctoral Science Foundation [NO. 2023BSHEDZZ88]; Natural Science Basic Research Program of Shaanxi (NO. 2024JC-YBQN-0748).
CRediT authorship contribution statementKaining Yan: Writing – original draft, Supervision, Investigation, Funding acquisition, Formal analysis, Conceptualization. Xue Pang: Writing – review & editing, Writing – original draft, Supervision, Investigation, Formal analysis, Conceptualization. Qingxue Li: Supervision, Methodology, Investigation, Funding acquisition, Data curation, Conceptualization. Ge Tian: Software, Methodology, Investigation, Formal analysis, Data curation. Xinyu Dong: Writing – review & editing, Visualization, Resources, Data curation.
Advanced manufacturing encompasses a systematic and integrated approach to modern industry, defined by the combination of “advanced technology + advanced production + advanced management + advanced industry” (Jin et al., 2017). Based on the OECD’s technological classification and Yong’s (2021) suggestion, we categorized the following industries as advanced manufacturing sector: pharmaceutical manufacturing (C27), general-purpose machinery manufacturing (C34), special-purpose machinery manufacturing (C35), automobile manufacturing (C36), railway, shipbuilding, aerospace, and other transportation equipment manufacturing (C37), electrical machinery and equipment manufacturing (C38), computer, communication, and other electronic equipment manufacturing (C39), and instrumentation manufacturing (C40).
These 12 types of services are: installation and implementation services, maintenance and support services, financial services, consulting services, systems and solutions, retail and distribution services, design and development services, leasing services, property and real estate services, outsourcing and operating services, procurement services, and transportation and trucking services.
















