Digital transformation is imperative for sustainable manufacturing in the digital era. However, it heightens competition, creating a dilemma between overinvestment and underinvestment, with inevitable digital technology spillovers further complicating market dynamics. This study investigates a supply chain comprising a single supplier and two competing manufacturers. A dynamic game model is employed to analyze the impact of manufacturers’ digital transformation and the associated technology spillover effects on market competition, and to explore the optimal digital transformation strategies and responses of supply chain participants in a competitive environment. The findings are as follows. First, a manufacturer who leads in digital transformation can gain a competitive advantage and expand market share, and the follower can also recover lost share through digital transformation. However, specific digital transformation strategies should be determined based on the availability of financial resources, consumers’ value perception, and digital spillover. Second, digital transformation reshapes pricing strategies, as the transformed manufacturers can adopt digital value-oriented or cost-oriented competition depending on the market and technological conditions. Moreover, digital technology spillover exerts dual effects, weakening differentiation yet fostering win–win outcomes under moderate investment. Finally, suppliers in a monopolistic position adjust wholesale prices strategically and also benefit from the overall expansion of digitalized supply chains.
The digital economy is characterized by rapid information dissemination, low costs, and efficient resource allocation, which enhance productivity and advance manufacturing toward digitalization and intelligence. Seizing digital opportunities is, therefore, central to manufacturers’ competitive advantage. For example, Huawei has shifted from a product-driven to a platform-driven model through digital transformation, building a digital ecosystem centered on cloud computing, big data, internet of things (IoT), and artificial intelligence (AI) to deliver end-to-end digital solutions. This shows that traditional manufacturers must quickly adapt to the new digital technology landscape to avoid being marginalized from the market. However, digital transformation does not imply mere technology adoption; it entails process redesign and business-model innovation and is shaped by external competitive pressures. Digital technologies can intensify rivalry by granting a first-mover advantage that motivates other enterprises to accelerate the digitalization process to maintain competitiveness (Fang & Liu, 2024; Liu et al., 2023). Conversely, intense competition may trigger “digital involution,” wherein manufacturers’ expectations of digital transformation diminish, leading to the “digital paradox”—a situation where digital investments fail to achieve the expected value creation (Qin, 2025). Accordingly, it is critical to analyze how competing manufacturers’ digital transformation strategies reshape market competition, pursue strategic transformation paths under digital competition, and enhance manufacturers’ resilience in the digital economy.
Among manufacturers, digital competition manifests in various dimensions, including improvement in production efficiency, operational optimization, and product innovation and customization. Digitally transformed manufacturers can automate and optimize their production and operations processes through technologies such as IoT devices and smart manufacturing systems, thereby reducing operating costs and enhancing production capacity and quality (Cheng et al., 2024; Fang & Liu, 2024; Xiong et al., 2025). Cost reductions strengthen pricing flexibility, which can expand demand and reshape competitive dynamics. Regarding product innovation and customization, digital tools enable faster design, simulation, and prototyping, allowing firms to respond to shifting needs and deliver higher-quality, personalized offerings. Consequently, consumers are often willing to pay a premium for digitally enabled products and services (Matarazzo et al., 2021). Manufacturers that act as early movers in digital transformation outperform their competitors in innovation, cost management, and service capabilities, thus securing competitive advantages. However, as a long-term strategic initiative, digital transformation entails substantial resource investments, high technological thresholds, and extended payback periods (Qin, 2025). Coupled with fierce market and technological competition, manufacturers often face a trade-off between controlling costs and accelerating transformation: overinvestment imposes financial pressure, while underinvestment risks competitive lag. Therefore, a digital transformation strategy should be grounded in a systematic assessment of competitors’ transformation paths, and the firm’s own market position and digital strengths, rather than in blind imitation that can lead to missteps and wasted resources.
As a general-purpose technology, digital technology diffuses easily when integrated into traditional industries, accelerating the replication, adoption, and dissemination of new knowledge. As a result, manufacturers often struggle to prevent unintended spillovers to peer firms. Such spillovers can raise industry productivity by allowing more firms to access advanced technologies at a lower cost, supporting broader industrial upgrading. Yet, under competition, they can also encourage imitation and convergence, weakening differentiation and making it challenging to sustain advantage through proprietary innovation. Competitors can leverage these spillovers to adjust and optimize their operations, improving efficiency and reducing costs to enhance their competitiveness (Xu et al., 2020). Thus, digital spillovers accelerate transformation and intensify homogenization, price competition, and margin compression. A manufacturer’s transformation outcomes, therefore, depend not only on own actions but also on peer-generated externalities—while own transformation can, in turn, generate spillovers for competitors. Accordingly, manufacturers should explicitly incorporate digital spillovers when designing digital transformation and pricing strategies, as they materially shape competitive outcomes.
Given that upstream suppliers typically provide components or raw materials to multiple manufacturers—for instance, CATL is a core battery supplier for automakers such as Tesla, NIO, and XPeng, and Intel supplies processors to computer manufacturers like Huawei, Dell, and HP—downstream manufacturers are in a competitive relationship in the market. Manufacturers’ digital transformation strategies not only reshape market competition but also influence their cooperative relationships with suppliers, potentially leading to behaviors such as resource bias or price discrimination. Therefore, theoretically and practically it is significant to investigate the impact of the digital transformation efforts of two competing manufacturers themselves, their upstream suppliers, and horizontal competitors. Furthermore, it is important to explore how manufacturers should respond to competitors’ digital transformation initiatives, and the pricing strategies adopted by both suppliers and manufacturers.
Accordingly, this study focuses on answering the following questions: (1) How does a manufacturer’s digital transformation influence the competitive landscape, and its impact on the pricing decisions and profits of the manufacturer, competitors, and the upstream supplier? (2) What are the boundary conditions for a manufacturer’s digital transformation when competitors take the lead in implementing such a strategy? (3) How does digital technology spillover affect the transformation strategies, pricing decisions and outcomes of both the manufacturer itself and competitor? To answer these questions, this study examines a supply chain comprising a single supplier and two competing manufacturers. The analysis is conducted under three scenarios: neither manufacturer adopts digital transformation (NN), one manufacturer adopts digital transformation (TN), and both manufacturers adopt digital transformation (TT). Considering the digital technology spillover between competing manufacturers, a comparative analysis is performed on the market competition landscape, pricing decisions of the supplier and manufacturers, and equilibrium profits across the three scenarios. The findings reveal how manufacturers’ digital transformation strategies and digital technology spillovers reshape market competition and influence the profitability of supply chain participants, thereby offering insights for articulating effective transformation strategies and competitive responses under digital competition.
Literature reviewThis study is related to several research areas, including supply chain digital transformation, technological spillovers, and supply chain competition. The following contents provide a detailed review of the existing literature, identify key research gaps, and clarify how this study seeks to address these gaps.
Supply chain digital transformationWith the rapid development of information technologies, digital transformation has emerged as increasingly critical in supply chain management (Tiwari et al., 2018; Xiong et al., 2025), bringing both opportunities and challenges to supply chain development (Al Mashalah et al., 2022; Nguyen et al., 2018). Existing studies have shown that digital transformation can enhance supply chain performance. For instance, Belhadi et al. (2022) analyzed the relationship between Industry 4.0 technologies, digital transformation, and supply chain performance, proposing that digital transformation can improve sustainable supply chain outcomes. Nayal et al. (2022) found that digital technologies improve visibility, information sharing, and real-time forecasting among supply chain members, thereby strengthening collaboration and overall performance. Furthermore, digital transformation helps to overcome the paradox between R&D investment and total factor productivity by improving innovation quality and enhancing firms’ absorptive and transformative capacities (Wang & Shao, 2024). It enhances resource allocation efficiency, which is key for firms to reduce costs and improve operational effectiveness (Huang et al., 2023; Liu & He, 2024). In addition, some scholars have explored the link between digital transformation and market competition, finding that intense competitive pressure motivates firms to accelerate their digital transformation processes (Singh et al., 2021).
Existing studies have demonstrated that digital transformation can enhance manufacturing firms’ performance. Studies have also examined its impact on firm-level resource allocation efficiency, innovation quality, and related outcomes through empirical and theoretical analysis. However, most prior research focuses on the performance impact of digital transformation at the individual-firm level, overlooking strategic interdependencies among manufacturers in competitive environments. Fundamentally, digital transformation alters firms’ operations, processes, and modes of value creation, thereby reshaping market competition. The existing literature lacks micro-level analysis of manufacturers’ digital transformation strategies under competitive conditions, particularly the interactions between two competing manufacturers—whether and when to adopt digital transformation—and the consequent effects on market participants’ pricing strategies, demand, and profits.
Technological spilloverMany studies have focused on the impact of technological spillovers on inter-firm competition. The adoption of new technologies often generates spillovers from adopters to non-adopters, enabling non-adopters to access information about these technologies at lower costs, thereby producing a “free-rider” phenomenon (Zhang et al., 2018). As a result, firms possessing advanced technologies are likely to experience losses due to spillovers, while their competitors gain advantages (Nie et al., 2022). The spillover effect of digital technologies has dual effects. On one hand, the digital economy generates spillovers on the traditional economy, enabling traditional firms to achieve digital transformation and upgrading. This process stimulates competition between the two sectors and contributes to overall social welfare (Xu et al., 2020). On the other, horizontal technology spillovers intensify competitive pressure among firms, and this can suppress efficiency (Jiang et al., 2024). Furthermore, some studies examined the role of technology spillovers in cooperative relationships. For instance, Wei et al. (2024) found that the digital transformation of upstream and downstream firms enhances supply chain efficiency, efficiently optimizes supply-demand matching, stabilizes supply-demand relationships, and thereby improves midstream firms’ innovation capabilities. The digital transformation of core firms can promote the digital transformation of both upstream and downstream firms, with spillover effects being particularly pronounced for upstream suppliers (Geng et al., 2024).
The literature on technology spillovers has extensively examined the external effects of individual firms’ innovation efforts and impact on the productivity of related firms. However, research on how technology spillovers influence strategic interactions among related firms has largely been limited to studies of vertical spillovers within supply chains, with relatively little focus on horizontal spillovers between competing firms, whether unilateral or bilateral. Moreover, existing studies often treat spillovers as an exogenous phenomenon, than as an endogenous factor that can be strategically considered by firms. Specifically, under the context of competitive digital transformation, digital transformation of one manufacturer generates cost- or capability-related spillovers to its competitors. How such spillovers influence transformation incentives, operational strategies, and ultimate market positions of both firms remains an unresolved “black box.”
Supply chain competitionThe literature on supply chain competition provides valuable insights for this study, with existing studies primarily focusing on channel and overall supply chain competition. Research on supply chain channel competition is well-developed. For example, Cai et al. (2009) evaluated the impact of price discount contracts and pricing strategies on competition in a dual-channel supply chain. Wang and Shin (2015) examined if a supplier prefers its direct sales channel or multiple differentiated retailers, finding that even under price competition, the supplier tends to collaborate with as many retailers as possible. Wu and Zhou (2017) investigated the influence of supply chain competition on remanufacturers’ optimal reverse channel choices. Zhang and Hezarkhani (2021) analyzed the role of competitors’ channel strategies in shaping a manufacturer’s channel preferences. Pi et al. (2019) explored pricing and service strategies under both cooperation and competition among retailers, revealing that cooperation improves individual retailer performance but could unexpectedly reduce the profits of both the manufacturer and the overall system. Rezapour et al. (2017), using a case study from the automobile industry, examined the impact of supplier disruptions and intense competition on supply chains, and proposed mitigation strategies to enhance supply chain resilience. In recent years, green competition has attracted increasing scholarly attention. Zhu and He (2017) studied the impact of supply chain competition on green product decisions and found that price competition among retailers positively affects the equilibrium level of greenness, while green competition has a negative impact. Xia et al. (2023) analyzed how market competition intensity and consumer preferences for low-carbon products influence equilibrium decisions and firm profitability, concluding that intense competition weakens manufacturers’ emission reduction efforts. Wang et al. (2020) examined equilibrium retail pricing and carbon emissions under a two-stage supply chain competition model.
Research on supply chain competition has primarily focused on channel conflicts and competitive relationships within supply chains. However, prior studies have rarely compared or analyzed equilibrium outcomes when digital transformation acts as a strategic tool that simultaneously drives horizontal competition among manufacturers and vertical interactions with upstream suppliers. A dynamic framework capable of capturing how digital transformation reshapes competitive structures and influences firms’ pricing, demand, and profit equilibria remains lacking, particularly in the presence of digital technology spillovers among competing manufacturers. Existing research has neglected how differences in digital transformation costs between competing manufacturers affect their respective transformation and operating strategies.
To address these research gaps, this study develops a supply chain model comprising two competing manufacturers and an upstream supplier, integrating digital transformation, horizontal technology spillovers, and supply chain competition into a unified analytical framework for the first time. Three dynamic game models are established under different scenarios (NN, TN, and TT) to examine the strategic interactions in manufacturers’ digital transformation decisions. This study contributes to the understanding of manufacturers’ digital transformation strategies under competitive conditions, particularly by examining the strategic interactions between two competing manufacturers—whether and when to adopt digital transformation—and the resultant effects on market participants’ pricing strategies, market demand, and profits. In addition, this study endogenizes horizontal digital spillovers and shows how these spillovers reshape digital transformation strategies, competitive dynamics, and pricing decisions, thereby offering valuable insights for the formulation of competitive and cooperative strategies in the presence of digital spillovers. Furthermore, by comparing different digital transformation scenarios, this study explores how digital transformation and related spillovers reshape competitive dynamics, and the equilibrium results further provide actionable insights on how to respond to the dynamic changes in the competitive landscape.
Model descriptionThis study examines strategic interactions between a supplier and two competing manufacturers, where each participant’s digital transformation and pricing decisions depend on the anticipated actions of others. Such interdependence, profit-maximizing objectives, and forward-looking responses align closely with the rationality and strategic decision-making assumptions of game theory. Moreover, in a digitalized environment, firms are closely interconnected, competitive, and cooperative relationships become more complex, and strategic interactions are further intensified. By itself, digital transformation constitutes a typical strategic decision that can reshape market competition, trigger competitors’ strategic responses, and alter upstream supply chain pricing or service strategies. Guided by the methodological framework proposed by (Hanafizadeh & Alipour, 2025), the assumptions and reasoning mechanisms of game theory are not only consistent with the type of problem but also fit the characteristics of the digital context. Therefore, constructing a game-theoretic model to analyze digital transformation strategies and technology spillover effects in the supply chain represents an appropriate and theoretically coherent choice.
We considered three scenarios: neither manufacturer adopts digital transformation (NN), only one manufacturer adopts digital transformation (TN), and both manufacturers adopt digital transformation (TT), as illustrated in Fig. 1, where the dashed arrows indicate the direction of digital technology spillovers. Through a comparative analysis of these three scenarios, this study investigated the digital transformation strategies of manufacturers and the corresponding responses of other supply chain participants in a competitive environment. Supplier S produces components and sells them to the two manufacturers at a wholesale price of wi(i=1,2). Manufacturer M1 and M2 develop and produce substitutable products and compete in prices, denoted as p1 and p2, respectively (p1,p2>0).
Digital transformation enhances efficiency in production, operations, and distribution across the supply chain, while improving the visibility and integrity of product information. These improvements contribute to higher customer satisfaction, thereby increasing product demand (Feng et al., 2012; Liu et al., 2022; Tian & Hu, 2023). Accordingly, the demand function of manufacturer Mi is assumed to be qi=D−api+bpj+β(Fi−Fj), where β>0 denotes consumers’ perception of digital value, representing the relative advantage and differentiation brought by the manufacturer’s digital transformation, including the intensity of digital competition between manufacturers M1 and M2. D>0 represents the base market demand, a denotes price sensitivity, and b represents price competition between the two manufacturers, which also captures the substitutability between their products, and satisfies the condition a>b>0(Choi, 1991; Wang et al., 2017).
Before digital transformation, the unit production cost for both manufacturers is assumed to be c(c>0). Implementing digital transformation requires additional investment, denoted as a fixed cost Fi(Fi>0) for manufacturer Mi(i=1,2). The relative magnitude of Fi reflects the digitalization levels of the two competing manufacturers. As the adoption of digital technologies—such as big data and AI—can lead to process innovation and reengineering in product manufacturing, thereby exerting technological pressure on the efficiency of traditional production methods (Xu et al., 2020), it is further assumed that manufacturer Mi adopting digital transformation achieves a unit cost saving of αFi, where α>0 is the cost-saving coefficient (Huang et al., 2023; Liu & He, 2024).
In addition, as digital technologies possess the characteristics of general-purpose technologies, they inevitably generate horizontal technological spillovers among manufacturers. Specifically, manufacturer Mi generates digital technology spillover to its competitor Mj(j=3−i) (Zhang et al., 2022). Such spillovers provide imitable and shareable digital experience and infrastructure, thereby reducing R&D and trial-and-error costs, enhancing production efficiency or product quality, eventually increasing the competitor’s unit revenue by θFi (Gupta, 2008), where θ denotes the digital spillover coefficient, and 0<θ<α. Table 1 summarizes the notations used in this study.
Notations.
Neither manufacturer adopts digital transformation under the NN scenario, thus the demand function is denoted by qiNN=D−apiNN+bpjNN,(i,j=1,2,i≠j). In this scenario, the game sequence proceeds as follows: supplier S first sets the wholesale prices w1 and w2; subsequently, manufacturer M1 and M2 simultaneously determine their product prices p1 and p2, respectively. Using backward induction, we first analyzed manufacturers’ pricing decisions. The profit functions of both manufacturers are expressed as follows:
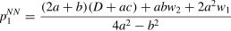
We then analyzed the supplier’s wholesale price decisions, and the profit function is:By solving the above optimization problems, we obtained the equilibrium decisions and corresponding profits of supplierSand manufacturers M1 and M2 under the NN Scenario, as shown in Table 2.
Equilibrium outcomes under the NN Scenario.
As shown in Table 2, under the NN scenario, both manufacturers have identical wholesale prices, retail prices, product demand, and profits (w1NN=w2NN, p1NN=p2NN, q1NN=q2NN, π1NN=π2NN). This result indicates that prior to digital transformation, the competing manufacturers shared the market equally.
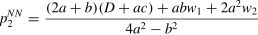
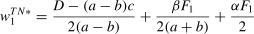
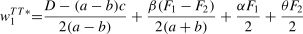
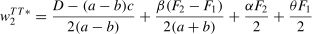
Analysis of equilibrium decisions under the TN scenarioOnly one manufacturer—assumed to be M1—adopted a digital transformation strategy under the TN scenario by incurring a fixed cost F1. Consequently, the demand functions of manufacturer M1 and M2 are denoted by q1TN=D−ap1TN+bp2TN+βF1 and q2TN=D−ap2TN+bp1TN−βF1, respectively. Through digital transformation, manufacturer M1 achieved cost saving of αFi per unit of production. Moreover, the digital technology spillover from manufacturer M1 enabled manufacturer M2 to gain an additional unit revenue of θF1. In the TN scenario, the game sequence is similar to that in the NN scenario. Using backward induction, we first analyzed the manufacturers’ pricing decisions. The profit functions of both manufacturers are as follows:
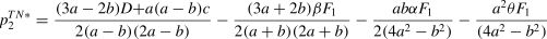
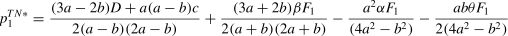
We then analyzed the supplier’s wholesale price decisions, and the profit function is:By solving the above optimization problems, we obtained the equilibrium decisions and corresponding profits of supplierSand the two manufacturers M1 and M2 under the TN scenario, as shown in Table 3.
Equilibrium outcomes under the TN Scenario.
Table 3 presents the pricing decisions and equilibrium profits of all supply chain participants under the TN scenario. The equilibrium results indicate that the competitive landscape under the TN scenario differs from that in the NN scenario. The two competing manufacturers adopted distinct pricing strategies across scenarios, which are influenced not only by the price competition coefficient but also by the impact of digital transformation on their costs and product demands. Meanwhile, the supplier does not adopt a uniform pricing strategy when setting the wholesale prices of components for the two competing manufacturers.
Proposition 1 (1) ∂w1TN∂β>0, ∂w2TN∂β<0; ∂p1TN∂β>0, ∂p2TN∂β<0; ∂q1TN∂β>0, ∂q2TN∂β<0; ∂π1TN∂β>0, ∂π2TN∂β<0;∂πSTN∂β>0. (2) ∂w1TN∂α>0,∂w2TN∂α=0; ∂p1TN∂α<0, ∂p2TN∂α<0; ∂q1TN∂α>0, ∂q2TN∂α<0;∂π1TN∂α>0, ∂π2TN∂α<0; ∂πSTN∂α>0. (3) ∂w1TN∂θ=0, ∂w2TN∂θ>0; ∂p1TN∂θ<0, ∂p2TN∂θ<0; ∂q1TN∂θ<0, ∂q2TN∂θ>0; ∂π1TN∂θ<0, ∂π2TN∂θ>0; ∂πSTN∂θ>0.
Proposition 1 characterizes how factors related to digital transformation shape pricing and equilibrium profits for two competing manufacturers and the upstream supplier under the TN scenario. Specifically, regarding the influence of consumers’ perceived digital value β, Proposition 1(1) shows that when only manufacturer M1 transforms, a higher β raises manufacturer M1’s product price, demand, and profit, while manufacturer M2 experiences declines in all three indicators. The supplier’s profit also increases with β; in particular, the wholesale price offered to M1 increases with β, while that offered to M2 decreases. This suggests that stronger perceived digital value amplifies the transforming manufacturer’s differentiation advantage and consumers’ willingness to pay, allowing M1 to charge a premium and expand market share. Consequently, the non-transforming manufacturer faces intensified competitive pressure. The monopolistic supplier, in turn, maximizes its profit by raising the wholesale price for the high-demand manufacturer (M1) and lowering that for the low-demand one (M2), thereby appropriating part of the value increment generated by digital transformation.
Second, regarding the cost-saving coefficient α, Proposition 1(2) shows that when only manufacturer M1 transforms, a higher α leads M1 to set a lower product price while achieving higher market demand and profit. In contrast, manufacturer M2 experiences decline in product price, market demand, and profit as α increases. The supplier’s profit rises with α, specifically, the wholesale price offered to manufacturer M1 rises with α, whereas that offered to M2 remains unchanged. The underlying mechanism is that a higher cost-saving coefficient α directly reduces the transforming manufacturer’s marginal production cost, allowing it to expand market share through price reductions while improving profitability. Conversely, the non-transforming manufacturer becomes increasingly disadvantaged, with both its price and demand forced to decline.
Third, regarding the digital technology spillover effect θ, Proposition 1(3) indicates that when only manufacturer M1 adopts digital transformation, an increase in θ reduces product price, market demand, and profit ofM1. In contrast, for manufacturer M2, the product price also decreases, while market demand and profit increase. The supplier’s equilibrium profit is positively correlated with θ; specifically, the wholesale price offered to M1 remains unchanged, whereas that offered to M2 rises with θ. This indicates that digital technology spillovers weaken the differentiation advantage of the transforming manufacturer while enabling the non-transforming manufacturer to benefit, for instance, through indirect improvements in production efficiency. This conclusion is consistent with the empirical findings of Li et al. (2023), Nie et al. (2022), and Jiang et al. (2024). As a result, the transforming manufacturer’s pricing power and market share are eroded, whereas the non-transforming manufacturer can produce at a lower cost (benefiting from the spillover), reduce prices, increase demand, and effectively “free-ride” on its competitor’s digital investments.
Proposition 2 (1)q1TN>q2TN; (2)w1TN>w2TN; (3) if β>y, then p1TN>p2TN; if β
Proposition 2 (1) shows that if only manufacturer M1 adopts digital transformation, its demand exceeds that of manufacturer M2, indicating that digital transformation helps improve the market share of the transforming manufacturer. Once manufacturer M1 adopts digital transformation, the two competing manufacturers exhibit different levels of market competitiveness, which induces price discrimination by the supplier. The supplier in a monopolistic position tends to set differentiated wholesale prices across manufacturers. Specifically, as the competitiveness of manufacturer M1 improves and its demand increases after digital transformation, the supplier is able to appropriate part of the transformation benefit by charging a higher wholesale price to M1 to maximize its own profit. This implies that although digital transformation creates additional value, part of that value may be captured by the supplier with market power—an ability manufacturers should anticipate in their strategic planning.
Additionally, a transforming manufacturer can build advantage through two distinct pathways, depending on market and technological conditions. First, when consumers’ perceived digital value β is high, the cost-saving coefficient α and the price competition coefficient b are relatively low, while the digital technology spillover θ is strong (i.e., β>y), a highly digitalized manufacturer can set higher prices with little demand loss. Under these conditions, digital transformation primarily increases customers’ willingness to pay a premium for enhanced digital value, while the cost-saving effect remains limited. Therefore, the transforming manufacturer adopts a digital value-oriented strategy, charging higher prices. Second, when consumers’ perceived digital value β is low, while the cost-saving coefficient α and the price competition coefficient b are relatively high, and the digital technology spillover θ is weak (i.e., β
Under the TT scenario, both manufacturers adopt digital transformation, with manufacturer Mi(i=1,2) incurring a fixed implementation cost Fi. Similar to the TN scenario, manufacturer Mi achieves a per-unit cost saving of αFi for production and, through digital technology spillovers, enhances the unit revenue of its competitor Mj(j=3−i) by θFi. Accordingly, the demand function for manufacturer Mi is given by qiTT=D−apiTT+bpjTT+β(Fi−Fj). In the TT scenario, the game sequence follows the same structure as in the NN scenario. Using backward induction, we first analyzed manufacturers’ pricing decisions. The manufacturers’ profit functions are defined as follows:
Next, we analyzed the supplier’s wholesale price decisions, and the profit function is:By solving the above optimization problems, we can obtain the equilibrium decisions and corresponding profits of supplier S and the two manufacturers M1 and M2 under the TT scenario, as shown in Table 4.
Equilibrium outcomes under the TT Scenario.
Table 4 presents the equilibrium decisions and profits of all supply chain participants under the TT scenario. As shown in Table 4, as both manufacturers adopt digital transformation in the TT scenario, both manufacturers and the supplier must focus on their relative level of digitalization—that is, their respective digital transformation investments—when making pricing decisions.
Proposition 3 (1) ∂w1TT∂β>0, ∂w2TT∂β>0,∂πSTT∂β>0; if Fi>Fj, then ∂piTT∂β>0, ∂qiTT∂β>0, ∂πiTT∂β>0, ∂pjTT∂β<0, ∂qjTT∂β<0, ∂πjTT∂β<0, where i=1,2,j=3−i. (2) ∂w1TT∂α>0,∂w2TT∂α>0,∂πSTT∂α>0; ∂p1TT∂α<0, ∂p2TT∂α<0; if FiFj>h, then ∂qiTT∂α>0, ∂πiTT∂α>0; if FiFj (3) ∂w1TT∂θ>0, ∂w2TT∂θ>0,∂πSTT∂θ>0; ∂p1TT∂θ<0, ∂p2TT∂θ<0; if FjFi>h, then ∂qiTT∂θ>0, ∂πiTT∂θ>0; if FjFi
Where i=1,2,j=3−i, h=ab(2a2−b2)<1.
Proposition 3 analyzes how factors related to digital transformation affect pricing and equilibrium profits for two competing manufacturers and the supplier under the TT scenario. A comparison between Propositions 3 and 1 reveals that while the impact of these factors remains qualitatively consistent across the two scenarios, the key distinction lies in the shift of competitive focus, that is, whether to transform and how much to invest, as both manufacturers engage in digital transformation in the TT scenario. This shift fundamentally alters the boundary conditions of their strategic interactions. Specifically, regarding consumers’ perceived digital value β, a higher β allows the manufacturer with greater digital investment (Fi>Fj) to charge a higher price and earn a higher profit. For the cost-saving coefficient α, provided that digital investment is not too small (Fi/Fj>h), an increase in α enhances both manufacturers’ market shares and profits. This implies that even the lower-investing firm (Fi
Synthesizing Propositions 1 and 3, a higher perceived digital value β consistently strengthens the competitive advantage of the digital leader, enabling it to raise product prices, expand market share, and enhance profitability. Accordingly, for the digitally advantaged manufacturer, investing in developing and reinforcing consumers’ perception of digital value serves as a critical strategic lever for achieving superior returns. An improvement in the cost-saving coefficient α benefits the transforming manufacturer by improving efficiency and supporting competitive pricing. When both manufacturers adopt digital transformation, as long as their investment gap remains moderate, a lower-investing firm can still gain from improved cost efficiency. This underscores the importance of benchmarking competitors’ digital investments to ensure one’s own spending reaches an effective threshold.
An increase in the digital technology spillover θ typically weakens the differentiation advantage of the technological leader. However, when both manufacturers transform and maintain comparable investment levels, such spillovers can enhance both parties’ profitability, resulting in a mutually beneficial outcome. Manufacturers, therefore, face a strategic choice: whether to establish protective barriers to preserve technological advantages or to pursue cooperative arrangements or industry alliances that facilitate positive spillovers, thereby achieving a balance between competition and mutual benefit.
Proposition 4 (1) If Fi>Fj, then qiTT>qjTT; if Fi (2) If Fi>Fj, then wiTT>wjTT; if Fi (3)If Fi>Fj, then piTT>pjTT when β>y,piTT
The conclusions drawn in Proposition 4 are consistent with those in Proposition 2, with the key distinction that under the TT scenario, both manufacturers implement digital transformation, thereby altering the boundary conditions of their strategic interactions. Overall, the manufacturer with a higher level of digitalization captures a larger market share and demonstrates stronger competitiveness. Moreover, it gains a competitive advantage through two distinct strategic pathways, depending on specific market and technological conditions. The supplier, meanwhile, adopts a differentiated pricing strategy—charging a higher wholesale price to the manufacturer with a higher level of digitalization and a lower price to the one with a lower level. The analytical reasoning behind these results mirrors that of Proposition 2 and is therefore not further elaborated here.
The analysis of Propositions 2 and 4 suggests that manufacturers with a digital advantage capture larger market shares and exhibit greater strategic flexibility. Managers’ critical decisions extend beyond the dilemma of whether to adopt digital transformation, encompassing the evaluation of its effects—such as consumer sensitivity to digital value and pricing, cost-saving benefits, and the implications of digital technology spillovers—and the selection of corresponding competitive strategies. For instance, digital transformation can function as a differentiation mechanism, facilitating value-based pricing, or as a cost-driven strategy, supporting aggressive pricing approaches. Suppliers, in turn, should recognize these dynamics and respond by implementing differentiated wholesale pricing.
Comparative analysis under three scenariosComparative analysis of product demand under three scenariosProposition 5 Comparative analysis of manufacturers’ product demand under three scenarios: For manufacturer M1: (a) q1TN>q1NN; (b) if F1/F2>x1, then q1TT>q1NN; if F1/F2 For manufacturer M2: (a) if θ>x2, then q2TN>q2NN; if θ
Where x1=MN<1, x2=(2a−b)β+abα2a2−b2, M=(2a−b)β−(2a2−b2)θ+abα2(4a2−b2), N=(2a−b)β+(2a2−b2)α−abθ2(4a2−b2).
According to Proposition 5, compared to the NN scenario, manufacturer M1’s demand increases under the TN scenario, implying that transforming earlier than its competitor yields a first-mover advantage and a larger market share. Furthermore, when the digital technology spillover effect θ is strong, while consumers’ perceived digital value β and the cost-saving coefficient α are relatively low (i.e., θ>x2), the digital transformation of manufacturer M1 can also raise demand for its competitor. This ensues because low β and α values indicate limited benefits from digital transformation for manufacturer M1, thereby reducing its capacity to capture a significant market share. Simultaneously, a strong spillover effect enables manufacturer M2 to reduce production costs, thereby enhancing product demand.
Compared with the NN scenario, under the TT scenario in which both competing manufacturers adopt digital transformation strategies and given that x1<1, it can be derived that an increase in market demand is not limited to the manufacturer with a higher digital investment. As long as the digital investment of manufacturer Mi is not too low (Fi/Fj>x1), the manufacturer with lower investment can experience increased demand. This indicates that the adoption of digital transformation by both manufacturers does not necessarily intensify competition; instead, it helps achieve a win-win situation to some extent (depending on the value of x1). Relative to the TN scenario, as manufacturer M2 also adopts digital transformation under the TT scenario, its market competitiveness improves, resulting in higher product demand. Similarly, when the digital technology spillover effect θ is strong, while consumers’ perceived digital value β and the cost-saving coefficient α are low (θ>x2), digital transformation of manufacturer M2 may also lead to increased demand for its competitor, M1.
Proposition 5 reveals the impact of different digital transformation strategies adopted by manufacturers on the market competition structure: (1) Taking the lead in digital transformation enables a manufacturer to gain a first-mover advantage and expand its market share. This finding is consistent with previous empirical studies that digital transformation enhances manufacturers’ overall competitiveness through various mechanisms (Fang & Liu, 2024; Huang et al., 2023; Rehman, 2025). However, a high level of digital technology spillover hampers a manufacturer’s attempt to maintain a digital competitive advantage through unique technological innovation, as competitors can imitate and engage in homogeneous competition. (2) If a competitor has already completed digital transformation, the manufacturer can enhance its competitiveness and expand market share by subsequently adopting digital transformation. Moreover, if the digital technology spillover effect is strong, the transformed competitor’s market share may also increase. (3) When both manufacturers adopt digital transformation, the manufacturer’s market share will increase if its investment level is not too low. Furthermore, a stronger spillover effect raises the likelihood that both manufacturers benefit from market expansion. This indicates that simultaneous digital transformation does not necessarily intensify competition but may instead promote a win-win outcome.
Proposition 6 Comparative analysis of manufacturers’ pricing decisions under three scenarios: For manufacturer M1: (a) if β>γ, then p1TN>p1NN; if β<γ, then p1TN For manufacturer M2: (a)p2TN
Where γ=(a+b)(2a2α+abθ)/(3a+2b)(2a−b), t=(3a+2b)(2a−b)β+(a+b)(abα+2a2θ)(3a+2b)(2a−b)β−(a+b)(2a2α+abθ)>1.
As shown in Proposition 6, manufacturers’ pricing decisions are interactively influenced by consumers’ perceived digital value, cost-saving effect, digital technology spillovers, price competition coefficient, and the relative level of digital investment. These influences are reflected in the following aspects: (a) Greater perceived digital value increases potential market demand and consumers’ willingness to pay, prompting transformed manufacturers to raise product prices. (b) Stronger cost-saving effects lower production costs, motivating transformed manufacturers to reduce prices to capture larger market shares. (c) A higher price competition coefficient reflects greater consumer price sensitivity, encouraging manufacturers to lower prices to remain competitive. (d) A stronger digital technology spillover effect enhances the competitor’ s cost efficiency and competitiveness by enabling them to benefit from the manufacturer’s digital transformation. In response, the manufacturer is more likely to reduce its product price to maintain relative competitive advantage.
Thus, it can be concluded that when consumers’ perceived digital value β is low, while the cost-saving coefficient α, digital technology spillover effect θ, and price competition coefficient b are relatively high (with ∂γ/∂α>0, ∂γ/∂θ>0, ∂γ/∂b>0, implying β<γ), the manufacturer adopting digital transformation tends to implement a cost-oriented competition strategy, focusing on reducing production costs to enhance pricing flexibility and lowering product prices to capture greater market share. In contrast, when β>γ, digital transformation attracts consumers who are willing to pay premium prices. Under such conditions, competition among manufacturers shifts toward digital differentiation, and the manufacturer is inclined to adopt a digital value-oriented competition strategy by enhancing product differentiation through digital investment. In this case, even with higher product prices, demand does not decline significantly, encouraging the manufacturer to further increase digital investment and raise product prices accordingly.
Furthermore, compared with the scenario without digital transformation (NN), when both manufacturers adopt digital transformation (TT), their pricing strategies must account for the relative levels of digital investment. When a manufacturer’s digital investment is significantly higher than that of its competitor (Fi/Fj>t), it has a substantial advantage in digital transformation and can increase its product price to maximize profits. Conversely, if the competitor’s digital investment is greater (Fi/Fj According to Proposition 6, manufacturers’ pricing competition strategies can be summarized as follows: (1) As digital transformation enables a manufacturer to capture a larger market share, a competitor’s adoption of digital transformation will inevitably force the manufacturer to lower its product price. (2) When a manufacturer adopts digital transformation while its competitor does not, and consumers’ perceived digital value is high while the cost-saving effect, digital technology spillover, and price competition coefficient are relatively low, the manufacturer should adopt a digital value-oriented competition strategy, leveraging digital transformation to differentiate its products and raise prices. Conversely, when these factors are reversed, the manufacturer should adopt a cost-oriented competition strategy, reducing prices to remain competitive. (3) When both competing manufacturers adopt digital transformation, if one manufacturer’s digital investment is significantly higher than that of its competitor, increasing product prices become the optimal strategy. Conversely, if the competitor’s digital investment is greater, the manufacturer should lower its price to maintain competitiveness.
Proposition 7 Comparative analysis of equilibrium profits of manufacturer M1 under three scenarios:(1) If F1>K1, then π1TN>π1NN; if F1 (2) If F1<λ1 or F1>λ2, then π1TT>π1NN; if λ1 (3) If θ>x2, then π1TT>π1TN; if θ
Where K1=1−aGNaN2, x2=(2a−b)β+abα2a2−b2, G=2(2a+b)[D−(a−b)c]2(4a2−b2), λ1=1−aGN+2aMNF2−a2G2N2+1−2aGN+4aMNF22aN2,λ2=1−aGN+2aMNF2+a2G2N2+1−2aGN+4aMNF22aN2.
According to Proposition 7, the manufacturer’s equilibrium profit under the three scenarios is influenced by digital transformation investment and its associated effects, including consumers’ perceived digital value, the cost-saving effect, and digital technology spillovers. Based on Proposition 7, the following conclusions can be drawn for manufacturer M1. First, compared to the NN scenario, although the TN scenario allows manufacturer M1 to exclusively capture the increased demand and cost savings generated by digital transformation, it must still balance these benefits against the transformation cost and potential technology spillover to its competitor. While digital transformation generates substantial benefits for manufacturer M1 the spillover effect on its competitor M2 is relatively limited (i.e., K1 is small), and the digital investment cost is high (F1>K1), and the equilibrium profit of manufacturer M1 under the TN scenario exceeds that under the NN scenario.
Second, compared with the TN situation, in the TT situation, its competitor M2 also implements digital transformation. As a result, manufacturer M1 no longer exclusively captures the benefits of digital transformation. When consumers’ perceived digital value and the cost-saving effect are high, but the digital technology spillover is relatively weak (θ
Proposition 8 Comparative analysis of equilibrium profits of manufacturer M2 under three scenarios: (1) If θ>x2, then π2TN>π2NN; if θ (2) If F2<λ3 or F2>λ4, then π2TT>π2NN; if λ3 (3) If F2>K2, then π2TT>π2TN; if F2>K2, then π2TT<π2TN.
Where K2=K1+2MF1/N, λ3=1−aGN+2aMNF1−a2G2N2+1−2aGN+4aMNF12aN2, λ4=1−aGN+2aMNF1+a2G2N2+1−2aGN+4aMNF12aN2.
Similar to Proposition 7, the equilibrium profit of manufacturer M2 under the three scenarios is influenced by digital transformation investment and its associated effects. First, compared with the NN scenario, under the TN scenario, although the competing manufacturer M1 exclusively captures the benefits of increased demand and cost savings from digital transformation, manufacturer M2’s equilibrium profit does not necessarily decrease because when the digital technology spillover effect is strong, M1’s digital transformation can generate significant spillover benefits for M2, enabling it to reduce production costs and enhance its competitiveness. In this case, both its product demand and equilibrium profit may increase. Second, in the TT scenario, manufacturer M2 must invest more in digital transformation (F2>K2>K1) to achieve a higher equilibrium profit, as its competitor has already implemented digital transformation in the TN scenario. Third, compared to the NN scenario, similar to manufacturer M1, when both manufacturers adopt digital transformation in the TT scenario, manufacturer M2’s equilibrium profit depends on the relative digital investment levels. If manufacturer M1’s digital investment is low while manufacturer M2’s digital investment is high (F2>λ4), or if manufacturer M2’s investment is low but the spillover effect is strong (F2<λ3), then the equilibrium profit of manufacturer M2 under the TT scenario will exceed that under the NN scenario.
According to Propositions 7 and 8, the manufacturer’s optimal digital transformation strategy can be summarized as follows. (1) When the competing manufacturer has not yet adopted digital transformation, taking the lead can improve equilibrium profit, provided that sufficient digital investment is available (F>K1). Specifically, this holds true when the impact of digital technology spillover is limited, and the benefits of digital transformation are substantial. Furthermore, if the spillover effect is strong, the competitor’s equilibrium profit will also increase. (2) If the competing manufacturer has already adopted digital transformation, the optimal strategy for would depend on its own digital investment capability. When its digital transformation investment is insufficient (F
Proposition 9 Comparison of the supplier’s wholesale prices under three scenarios: (1)For manufacturer M1: (a) w1TN>w1NN; (b) if F1F2>β−(a+b)θβ+(a+b)α, then w1TT>w1NN; if F1F2<β−(a+b)θβ+(a+b)α, then w1TT (2) For manufacturer M2: (a) if θ>βa+b, then w2TN>w1NN; if θ<βa+b, then w2TN
According to Proposition 9, when manufacturers adopt different digital transformation strategies, the supplier accordingly adjusts the wholesale prices to maximize its own profit. Specifically, compared with the NN scenario, in the TN scenario where only manufacturer M1 adopts digital transformation, the monopolistic supplier engages in price discrimination. As manufacturer M1 exclusively captures the benefits of digital transformation, which enhances its competitiveness and increases its product demand, the supplier responds by raising the wholesale price for manufacturer M1 to extract part of the transformation-driven profit. Moreover, when the digital technology spillover effect is strong and consumers’ perceived digital value is relatively low, the supplier will also raise the wholesale price for manufacturer M2 under the TN scenario. This is because the digital transformation of manufacturer M1 generates considerable spillover benefits for manufacturer M2, which in turn enhances M2’s competitiveness and boosts its product demand. In contrast, when the digital technology spillover effect is limited and consumers’ perceived digital value is high, product demand for manufacturer M2 declines. In this case, under the TN scenario, the supplier reduces the wholesale price for manufacturer M2.
In addition, compared with the NN scenario, in the scenario where both manufacturers adopt digital transformation (TT), the supplier raises the wholesale price for manufacturer Mi if its digital investment is not too small (Fi/Fj>[β−(a+b)θ]/[β+(a+b)α])because digital transformation by both manufacturers increases their respective product demand, enabling the supplier to maximize profit by raising component wholesale prices. Compared with the TN scenario, the supplier sets a higher wholesale price for manufacturer M2 under the TT scenario. Moreover, when the digital technology spillover effect is strong and consumers’ perceived digital value is low, the supplier also raises the wholesale price for manufacturer M1 in the TT scenario. The reason underlying these pricing adjustments is consistent with that observed in the comparison between the TN and NN scenarios.
Corollary 1 Changes in the supplier’s wholesale prices under different scenarios exhibit the following characteristics: (1) w1TN−w1NN>w2TN−w2NN;(2) w2TT−w2TN>w1TT−w1TN; (3) If Fi>Fj, then wiTT−wiNN>wjTT−wjNN; if Fi
Corollary 1 indicates that, compared with the NN scenario, under the TN scenario where only manufacturer M1 adopts digital transformation, increase in the wholesale price of components for manufacturer M1 is greater than that for manufacturer M2. Similarly, compared with the TN scenario, in the TT scenario where manufacturer M2 also adopts digital transformation, increase in manufacturer M2’s wholesale price exceeds that of manufacturer M1. Furthermore, relative to the NN scenario, in the TT scenario where both manufacturers implement digital transformation, the manufacturer with a larger digital investment has a digital transformation advantage and, therefore, experiences a greater increase in wholesale prices than the manufacturer with the smaller investment.
Based on Proposition 9 and Corollary 1, the monopolistic supplier’s wholesale pricing strategies can be summarized as follows. (1) If only one manufacturer adopts digital transformation, the supplier will raise the wholesale price of components for that manufacturer. Moreover, when the digital technology spillover effect is strong and consumers’ perceived digital value is low, the supplier will also increase the wholesale price for the competing manufacturer. However, the increase in the wholesale price for the manufacturer implementing digital transformation is greater than that for the competing manufacturer without digital transformation. (2) If both manufacturers simultaneously adopt digital transformation, the supplier will raise the wholesale prices for a manufacturer whose digital transformation investment is not too small. Furthermore, the increase in wholesale price is larger for the manufacturer with a higher level of digital transformation investment.
Proposition 10 Comparative analysis of supplier’s equilibrium profits under three scenarios: (1)πSTN>πSNN; (2) πSTT>πSNN; (3) If R1<0, then πSTT>πSTN; If R1>0, then we have πSTT>πSTN when F1
Where R1=2(2a−b)β2+2(a+b)(2a−b)(α−θ)β+ab(a+b)(α2+θ2)−2(a+b)(2a2−b2)αθ, R2=2(2a−b)β2+2(a+b)(2a−b)(α−θ)β+(a+b)(2a2−b2)(α2+θ2)−2ab(a+b)αθ, R3=(a+b)(2a+b)[D−(a−b)c](α+θ).
Proposition 10 shows that the manufacturer’s digital transformation contributes to an increase in the supplier’s profit. According to Proposition 5, digital transformation enables manufacturers to attract more consumers and increase product demand. Manufacturers with higher levels of digital investment can further enhance their profits through cost savings and increased output. Although, under the TN and TT scenarios, the supplier adopts differentiated wholesale pricing strategies in response to the manufacturers’ digital transformation decisions—which may lead to lower wholesale prices—the overall increase in product demand results in greater component demand. Therefore, compared with the scenario without digital transformation (NN), the supplier’s equilibrium profit improves under both the TN and TT scenarios.
Numerical analysisThe existing research suggests that digital transformation has emerged as a critical strategy for manufacturing firms to enhance competitiveness and achieve sustainable development. However, manufacturers must balance several factors while advancing digital transformation, including digital investment, consumer value perceptions, cost-reduction effects, and technological spillovers. For example, BMW, under its Neue Klasse and iFACTORY strategies, has made substantial investments in digital architecture and smart manufacturing. Its total investment in development and platform construction exceeds EUR 10 billion, while a single smart factory project in China involves an estimated investment of RMB 15 billion. Through large-scale cloud migration and back-end platform optimization, BMW has enhanced its data-processing efficiency and customer service capabilities, supporting tens of millions to hundreds of millions of data requests. Toyota Motor Corporation, in collaboration with NTT, has formulated a long-term investment plan toward 2030, with an estimated total investment of JPY 50 billion in AI infrastructure. The company has stated that its next-generation production system could achieve a 37 % reduction in unit costs under mass production conditions. Similarly, Volkswagen Group plans to invest about EUR 1 billion by 2030 in digitalization, industrial applications, and high-performance IT infrastructure, with projected efficiency gains and cost-saving potential of approximately EUR 4 billion by 2035.
Based on the above cases, the research assumptions of Wang et al. (2017) and Wei et al. (2024), as well as the conclusions drawn by prior researches (Huang et al., 2023; Liu & He, 2024; Nie et al., 2022), the key parameters in this study are assumed as D=30, a=3, b=2, c=1, α=0.6, β=1.5, θ=0.3, F1=10, and F2=6. Each parameter varies within a valid range, and when conducting sensitivity analysis on a specific parameter, the others are held constant at their baseline values. Subsequently, this section uses MATLAB to provide a visual examination of the variations in product demand, pricing decisions, and equilibrium profits under different digital transformation scenarios in a competitive environment. This analysis further verifies the main conclusions derived from Propositions 1–10 and performs sensitivity analysis on the key factors influencing digital transformation, namely consumers’ perceived digital value β, the cost-saving coefficient α, and the digital technology spillover effect θ.
Impact of digital transformation related factors on equilibrium outcomesFig. 2(a)–(b) presents numerical simulations illustrating the impact of three key digital transformation factors (α,β, and θ) on the profits of supply chain participants under the TN scenario. As shown in Fig. 2(a), the equilibrium profits of manufacturer M1 and the supplier increase monotonically with consumers’ perceived digital value β and the cost-saving coefficient α, whereas the profit of manufacturer M2 decreases monotonically with these factors. This confirms that increases in β and α consistently strengthen the competitive advantage of the first-mover in digital transformation. Fig. 2(b) shows that, under the TN scenario, the equilibrium profits of manufacturer M2 and those of the supplier increase monotonically with the digital technology spillover effect θ, while the profit of manufacturer M1 decreases. This indicates that when the competitor does not adopt digital transformation, an increase in θ always diminishes the differentiation advantage of the spillover-generating party. These results are consistent with the conclusions of Proposition 1.
Fig. 2(c)–(d) present numerical simulations illustrating the impact of three key digital transformation factors (α,β, and θ) on the profits of supply chain participants under the TT scenario. We assume F1=10 and F2=6, which satisfy the conditions F1>F2 and F2/F1>h. As shown in Fig. 2(c), the profits of all supply chain participants increase with the cost-saving coefficient α and the digital technology spillover effect θ. This confirms that even when digital investment is constrained, both manufacturers can benefit from increases in α and θ, provided that the gap in digital transformation investment is not excessively large. As illustrated in Fig. 2(d), when F1>F2, the profit of manufacturer M1 rises with consumers’ perceived digital value β, whereas the profit of manufacturer M2 declines; the opposite occurs when F1
Fig. 3 presents numerical simulations of the pricing strategies of both manufacturers under the TN and TT scenarios, along with the sensitivity analysis of three key digital transformation factors (α,β, and θ). As shown in Fig. 3(a) and 3(c), when β
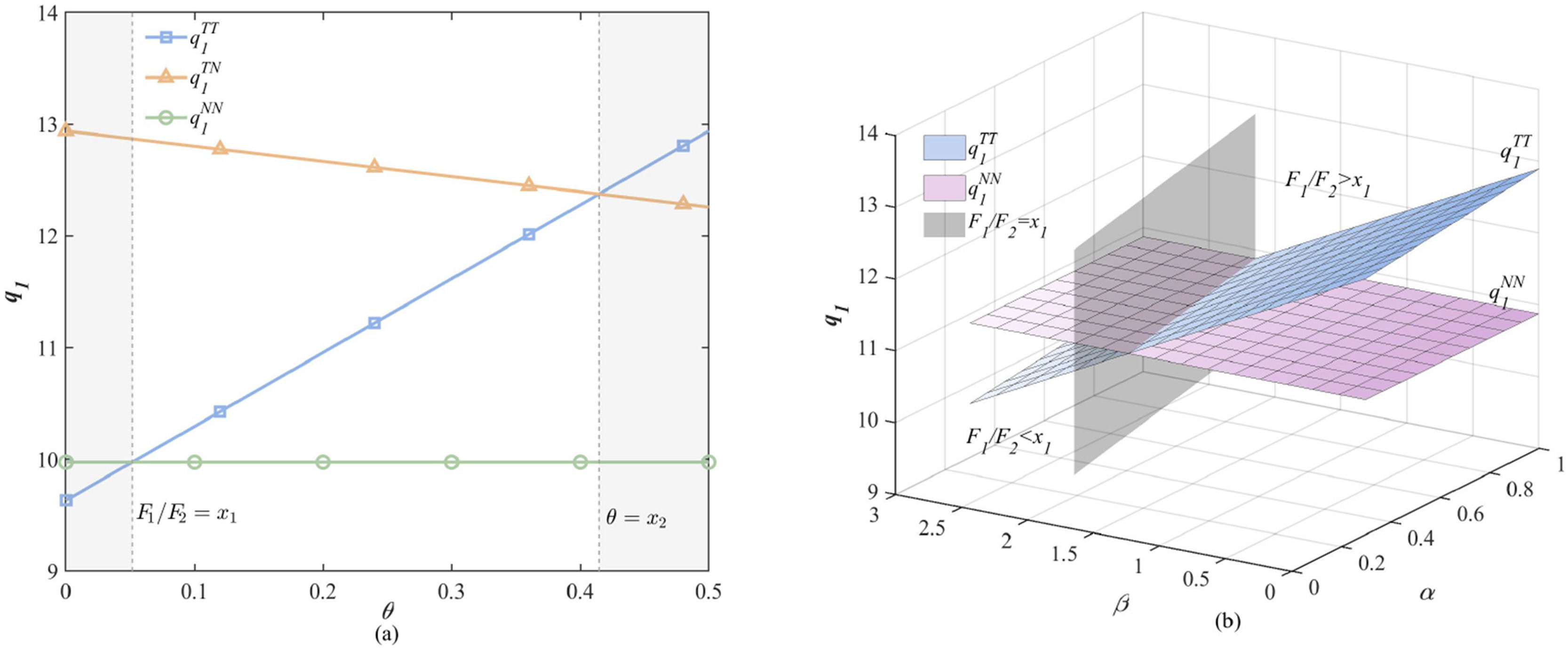
Fig. 4 presents numerical simulations and sensitivity analysis of manufacturer M1’s product demand across three scenarios. As shown in Fig. 4(a), regardless of the value of θ, M1’s demand under the TN scenario (q1TN) consistently exceeds that under the NN scenario (q1NN). This implies that adopting digital transformation before the competing manufacturer generates a first-mover advantage, enables the transformed manufacturer to capture a larger market share. Second, since x1 is negatively correlated with θ, the region to the right of the dashed line F1/F2=x1 satisfies F1/F2>x1, whereas the region to the left satisfies F1/F2
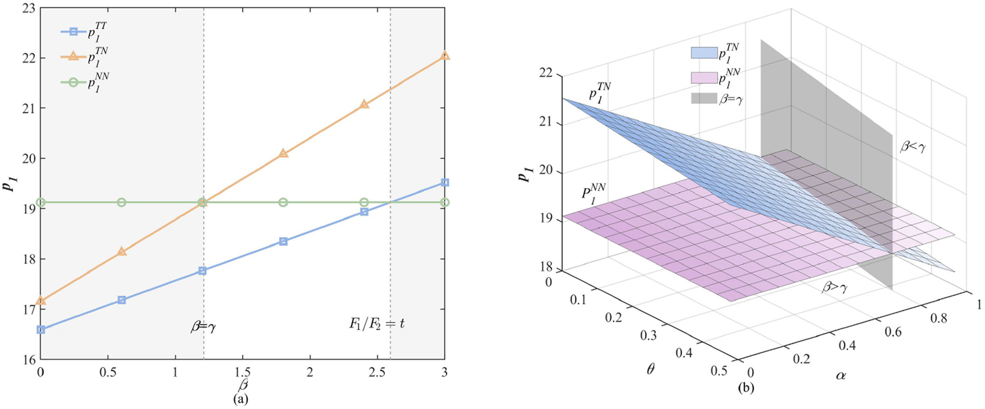
Fig. 5 presents numerical simulations and sensitivity analysis comparing manufacturer M1’s product pricing across the three scenarios. As shown in Fig. 5, first, M1’s product price under the TN scenario consistently exceeds that under the NN scenario, indicating that the competitor’s digital transformation inevitably pressures the manufacturer to reduce its price. Second, when β<γ, the post-transformation prices, p1TN and p1TT, are both lower than the pre-transformation price p1NN. However, when β>γ, price under the TN scenario, p1TN, becomes higher than p1NN. Moreover, only when F1/F2>t does the price under the TT scenario, p1TT, exceed that under the NN scenario, p1NN. These findings suggest that, under different conditions, manufacturers strategically weigh factors such as consumers’ perceived digital value, cost-saving effects, digital technology spillovers, and price competition intensity to determine whether to adopt a cost-oriented or digital value-oriented competitive strategy. Consequently, Proposition 6 is validated.
Fig. 6 presents numerical simulations and sensitivity analysis comparing manufacturer M1’s equilibrium profits across the three scenarios. As shown in Fig. 6, when F1
Fig. 7 presents numerical simulations and sensitivity analyses comparing manufacturer M2’s equilibrium profits across the three scenarios. As illustrated in Fig. 7(a), when F2
Fig. 8 presents numerical simulations and sensitivity analyses comparing the supplier’s equilibrium profits across the three scenarios. As illustrated in Fig. 8, the supplier’s equilibrium profit under both the TN and TT scenarios consistently exceeds that under the NN scenario, indicating that manufacturers’ digital transformation effectively enhances the supplier’s profitability. Moreover, when F1
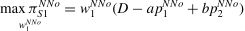
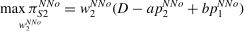
To examine the robustness of our results, we extend the assumption of a single supplier in the base model. In the extended model, we considered two independent suppliers, S1 and S2, where S1 supplies components to manufacturer M1 and S2 supplies components to manufacturer M2. This extension shifts the competitive structure from competition between two manufacturers to competition between two decentralized supply chains. For conciseness, we summarize the main insights below, while the equilibrium solutions and proofs are provided in the Appendix.
The solutions and analysis of the extended model indicate that the equilibrium outcomes under this extension are structurally similar to those of the base model and the main study conclusions (i.e., Propositions 1–8) continue to hold. Specifically, the effects of digital transformation on product pricing, competitive intensity, and profitability of the two competing manufacturers remain consistent with the base model. This consistency is attributable to the strategic interactions between the competing manufacturers, driven primarily by consumers perceived digital value, cost-saving coefficients, and technology spillover effects, and continues to shape market demand and competitive incentives, regardless of whether the upstream supplier is shared or independent.
However, in the extended model, the wholesale pricing strategies of the two independent suppliers differ slightly from those of the single supplier in the base model. In the base model, although the supplier’s pricing aligns with the product demand of the two manufacturers, this alignment does not always hold. For example, compared with the NN scenario, in the TN scenario, manufacturer M1’s demand increases while M2’s demand decreases, leading the supplier to raise M1’s wholesale price and lower M2’s wholesale price, thereby capturing part of the transforming manufacturer’s profit. For instance, in the TT scenario, even if M1’s product demand decreases with consumers’ perceived digital value, the supplier may still increase M1’s wholesale price in response to the perceived digital value coefficient. In the extended model, each supplier’s wholesale price is always consistent with the demand changes of its respective downstream manufacturers. This indicates that, in the base model, the monopolistic supplier its pricing decisions not only on the demand of a single manufacturer but also on the substitution relationship between the two manufacturers and the objective of overall profit maximization. In contrast, in the extended model, the profits of two competitive suppliers are closely linked to the demand of their respective downstream manufacturers, transforming the competitive dynamics between manufacturers into competition between supply chains. Consequently, wholesale prices always adjust in the same direction as the corresponding manufacturer’s demand.
Overall, the extended model confirms that the conclusions derived from the base model are robust and hold across different supply chain structures. The deviations observed in wholesale pricing merely reflect structural differences in upstream market configurations, while the key comparative analyses and strategic insights remain unchanged. This consistency reinforces the robustness and generalizability of the main analytical findings.
General discussion and implicationsConclusionsThis study develops a game-theoretic model to investigate manufacturers’ digital transformation strategies in a competitive supply chain environment. Three competitive scenarios are considered: neither manufacturer adopts digital transformation (NN), one manufacturer adopts digital transformation (TN), and both manufacturers adopt digital transformation (TT). These models are used to analyze manufacturers’ strategic decisions on digital transformation and pricing, as well as the underlying mechanisms through which digital transformation shapes market competition dynamics.
The results indicate that: (1) Digital transformation enhances manufacturers’ competitiveness through two primary channels: improving consumer-perceived digital value and reducing production costs. A manufacturer that takes the lead in digital transformation gains a first-mover advantage, gaining a larger market share and higher equilibrium profits, provided that its digital investment attains an effective threshold and the digital technology spillover remains moderate. However, when the spillover intensity is high, the late adopter may also benefit, transforming digital transformation from a zero-sum rivalry into a mutually beneficial process. Moreover, when both manufacturers engage in digital transformation, their equilibrium profit exceeds those in the non-transformation scenario, provided their investment levels are not too low compared with their competitors or the impact of digital technology spillover is sufficiently strong.
(2) Digital transformation reshapes manufacturers’ pricing behavior and competitive strategies. The manufacturer with a digital transformation advantage gains competitiveness through two distinct strategic pathways, depending on market and technological conditions. When consumers perceived digital value is high while both cost-saving and spillover effects remain low, the digitally advanced manufacturer should adopt a digital value-oriented strategy and raise product prices. Conversely, when consumers’ perceived value is low, but cost-saving and spillover effects are significant, a cost-oriented strategy with lower prices becomes optimal. The manufacturer without a digital transformation advantage must reduce prices to remain competitive.
(3) Digital technology spillovers exert a dual impact on competition and coordination. On the one hand, stronger spillovers weaken the technological differentiation of the transformed manufacturer, making it difficult to sustain long-term competitive barriers. On the other, when both competitors engage in digital transformation with moderate investment levels, stronger spillovers enhance the overall efficiency of digital diffusion, thereby increasing both firms’ market shares and profits, and serving as a bridge for mutually beneficial outcomes. Moreover, spillover intensity also shapes strategic choices: when spillovers are strong, simultaneous transformation can achieve win-win outcomes; when spillovers are weak, the first mover is more likely to capture higher profits from digital innovation.
(4) Downstream manufacturers’ digital transformation exerts a considerable influence on suppliers’ strategic behavior. In a monopolistic supply chain, the supplier typically adopts a differentiated wholesale pricing strategy, charging higher prices to manufacturers that have implemented digital transformation to capture a share of the benefits generated by the manufacturer’s digital upgrades. Digital transformation also increases overall product demand and boosts component procurement, eventually enhancing the supplier’s total equilibrium profit compared with the non-digital scenario. These findings indicate that suppliers respond strategically to manufacturers’ digital transformation and also benefit indirectly from the overall digital upgrading of the supply chain.
Based on the above findings, this study offers the following management insights. (1) Strategic planning and timing of digital transformation. Prior to undertaking digital transformation, firms should evaluate their digital investment capacity and the intensity of industry spillover effects. An early transformation can provide a significant first-mover advantage to resource-abundant firms. Conversely, for firms with limited capabilities, adopting a follower strategy after competitors have completed digital transformation may enable them to share spillover benefits at a lower cost. Decision makers should also monitor competitors’ transformation investments to ensure that their own digital investments reach an effective threshold necessary to achieve profitability.
(2) Flexible pricing and competitive positioning. Digital transformation does not prescribe a uniform pricing rule; rather, pricing strategies should align with the perceived digital value and the resulting cost-benefit outcomes. When digital transformation enhances consumers’ perceived value, firms may pursue digital differentiation and adopt premium pricing. Conversely, if the transformation improves efficiency, cost-oriented pricing is more appropriate. Firms should also anticipate suppliers’ discriminatory pricing behavior and consider employing contractual mechanisms or long-term partnerships to stabilize wholesale prices.
(3) Emphasizing digital spillover effects and consumer value perception. Managers must interpret digital technology spillovers as both a threat and an opportunity. Protecting core technologies can help sustain competitive advantage, whereas promoting controlled spillovers in non-core areas (such as shared platforms or joint standards) can foster collective innovation and market expansion. Furthermore, for firms that have already undertaken digital transformation, investing in marketing to enhance the consumer perceived digital value is a key lever for capturing premiums and increasing profitability.
(4) Strengthen collaboration among supply chain members. Digital transformation not only affects the competitive dynamics between manufacturers but also the broader context of supply chain cooperation. Manufacturers should maintain close collaboration with suppliers for seeking competitive wholesale prices during digital transformation, especially under the differentiated pricing strategies of monopolistic suppliers, to ensure that profits after transformation are not compressed. In addition, digital technology spillovers often lead to win-win outcomes among competing manufacturers. Establishing an efficient competitive and cooperative relationship helps manufacturers mitigate transformation risks and enhances the likelihood of successful digital adoption.
A key outcome of this study is that it can be extended into several potential avenues of further inquiry. First, this study investigates digital transformation strategies in a competitive supply chain composed of a monopolistic supplier and two competing manufacturers. The findings reveal that the supplier adopts differentiated wholesale pricing to partly capture the transformation profits of the manufacturers. Future research could consider extending the model by considering non-monopolistic suppliers and examining how multiple suppliers respond to the digital transformation strategies of competing manufacturers. Second, future studies could incorporate asymmetric digital transformation capabilities into the analysis, exploring how such asymmetries influence the digital transformation decisions of competing manufacturers.
CRediT authorship contribution statementSiman Liu: Writing – review & editing, Writing – original draft, Project administration, Methodology, Investigation, Formal analysis, Conceptualization. Xin Gu: Writing – review & editing, Validation, Supervision, Resources, Funding acquisition, Conceptualization.
The authors declare that there is no conflict of interests regarding the publication of this article.
This research is supported by Humanities and Social Science Fund of Ministry of Education of China (No. 24YJA630026).
Derivation ofTable 2
From Eqs. (1) and (2), it can be observed that π1NN and π2NN are concave in p1NN and p2NN, respectively, applying the first-order condition ∂π1NN/∂p1NN=0, ∂π2NN/∂p2NN=0, we can obtain:
By replacing (A1) and (A2) in Eq. (3), it can be found that πSNN is concave in w1NN and w2NN. Similarly, applying the first-order condition ∂πSNN/∂w1NN=0 and ∂πSNN/∂w2NN=0, we have:Replacing (A3) in (A1) and (A2), we can obtain:Substituting Eqs. (A3) and (A4) into the profit functions and Eqs. (1)–(3), we can get the optimal solutions for q1NN*, q2NN*, π1NN*, π2NN*, and πSNN*.Derivation ofTable 3
Similar to the procedure in Table 3, from Eqs. (4) and (5), it can be observed that π1TNand π2TN are concave in p1TN and p2TN, respectively. Solving the first-order condition ∂π1TN/∂p1TN=0 and ∂π2TN/∂p2TN=0, and substituted into Eq. (6), we can obtain the equilibrium wholesale prices:
The equilibrium product prices:
Substituting Eqs. (A5)–(A8) into the profit functions (4)–(6), optimal solutions can be derived for q1TN*, q2TN*, π1TN*, π2TN* and πSTN*.
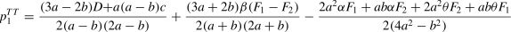
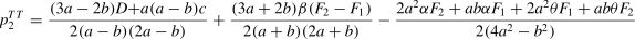
Derivation ofTable 4
Similar to the solution procedure in Table 1, from Eqs. (7) and (8) it can be observed that π1TTand π2TT are concave in p1TT and p2TT, respectively. Solving the first-order condition ∂π1TT/∂p1TT=0 and ∂π2TT/∂p2TT=0, and substituting into Eq. (9), we can obtain the equilibrium wholesale prices:
The equilibrium product prices are as follows:
Substituting Eqs. (A9)–(A12) into the profit functions (7)–(9), we can leverage optimal solutions for q1TT*, q2TT*, π1TT*, and πSTT*.Proof ofProposition 1and3
By taking the first-order derivatives of the equilibrium solutions in Table 3, with respect to consumers’ perceived digital value β, the cost-saving coefficient α, and the digital technology spillover effect θ, we can derive the results stated in Proposition 1. Taking consumers’ perceived digital value β as an example, we have ∂w1TN∂β=F12(a+b)>0, ∂w2TN∂β=−F12(a+b)<0, ∂p1TN∂β=(3a+2b)F12(a+b)(2a+b)>0, ∂p2TN∂β=−(3a+2b)F12(a+b)(2a+b)<0, ∂q1TN∂β=aF12(2a+b)>0, ∂q2TN∂β=−aF12(2a+b)<0. Our analysis of the remaining parameters and the proof of Proposition 2 follow analogously and are, therefore, omitted here.
Proof ofProposition 2
Asq1TN*−q2TN*=2aβF1+a(a+b)(α−θ)F12(2a+b)>0, we haveq1TN*>q2TN*.Asp1TN*−p2TN*=(3a+2b)βF1(a+b)(2a+b)−a(α−θ)F12(2a+b), it can be found that if β>a(a+b)(α−θ)2(3a+2b), we havep1TN*>p2TN*, if β<a(a+b)(α−θ)2(3a+2b), we havep1TN*<p2TN*. As w1TN*−w2TN*=βF1(a+b)+(α−θ)F12>0, we can obtain w1TN*>w2TN*, proposition 1 is thus proven.
Proof ofProposition 4
As qiTT−qjTT=2aβ+a(a+b)(α−θ)2(2a+b)(Fi−Fj), we can obtain that if Fi>Fj, then qiTT>qjTT, if Fi<Fj, then qiTT<qjTT. Proposition 4 (1) is thus proven. The proofs of Proposition 4 (2) and Proposition 4 (3) follow a similar procedure and are omitted here for brevity.
Proof ofProposition 5
For manufacturer M1, we have q1TN−q1NN=NaF1>0, q1TT−q1NN=NaF1−MaF2, it is easy to found that if F1F2>MN, then q1TT>q1NN. Similarly, since q1TT−q1TN=−MaF2, if M<0, i.e., θ>(2a−b)β+abα(2a2−b2), then q1TT>q1TN. For manufacturer M2, we have q2TT−q2TN=NaF2>0, q2TN−q2NN=−MaF1, if M<0, i.e., θ>(2a−b)β+abα(2a2−b2), then q2TN>q2NN. As q2TT−q2NN=NaF2−MaF1, if F2F1>MN, then q2TT>q2NN. Where G=2(2a+b)[D−(a−b)c]2(4a2−b2), M=(2a−b)β−(2a2−b2)θ+abα2(4a2−b2), N=(2a−b)β+(2a2−b2)α−abθ2(4a2−b2), proposition 3 is thus proven.
Proofs ofPropositions 6–10
The proofs of Propositions 6–10 have been omitted for brevity as they are similar to that of Proposition 5.
Proof of robustness check
In the robustness check section, we extended the assumption of single monopolistic supplier in the base model into two independent upstream suppliers, S1 and S2, where S1 supplies components to manufacturer M1 and S2 supplies components to manufacturer M2. Consequently, the profit functions of the supply chain participants under the NN, TN, and TT scenarios are derived, denoted respectively by NNo, TNo, and TTo.
(1) The profit functions of the supply chain participants under the NNo scenario are as follows:
(2) The profit functions of the supply chain participants under the TNo scenario are as follows:
(3) The profit functions of the supply chain participants under the TTo scenario are as follows:
Using backward induction for the solution (the derivation process is the same as the “Derivation of Tables 2–4″ and is, therefore, omitted here), the optimal solutions for each scenario in the extended model are presented in Tables A1, A2, A3.
.
.
.
WhereA=2(2a2−b2)−ab, B=2(2a2−b2)+ab, L=2a2−b2, H=3a2−b2. Based on the equilibrium results in Tables A1–A3, and following the proof procedures for Propositions 1–10, we can conclude that the equilibrium solutions in the extended model exhibit structural similarities to those in the base model, and the main findings of this study (i.e., Propositions 1–8) continue to hold. For brevity, the detailed derivations are omitted here.
















































