In the context of virtual brand communities (VBCs) and based on social capital theory, this study investigates the effect of each dimension of tacit knowledge (TK) on firm innovation performance (FIP) and the mechanism of the digital dimension of virtual social capital driving the improvement of FIP through the TK transmission chain. This study also examines the moderating effect of social media capability (SMC) on the relationship between TK and FIP. This study uses 647 samples collected from Chinese firms and employs the structural equation model and hierarchical regression analysis to conduct empirical tests. The three dimensions of TK have significant positive effects on FIP, among which skill-based tacit knowledge is the most notable. Network embeddedness has a significant positive effect on cognitive TK and social TK. Digital trust only has a significant positive effect on social TK. Sharing cognition has a significant positive effect on the three dimensions of TK. Social media proficiency has a positive moderating effect on the three dimensions of TK and FIP. Conversely, social media agility only has a positive moderating effect on social TK and FIP. This study tries to divide the dimensions of TK in VBCs, while also clarifying the function path of virtual social capital to improve FIP through TK. Additionally, it explores the moderating effect of SMC on OBL and FIP. This study’s findings provide theoretical support and practical inspiration for firms to use TK from VBCs to improve FIP.
The digital economy is reshaping corporate innovation by reconfiguring knowledge elements, positioning tacit knowledge (TK), which is rooted in individual experience and social contexts, as a strategic asset due to its contextual embeddedness and causal ambiguity (Barefoot et al., 2018; Dienes & Perner, 1999). TK constitutes up to 80 % of organizational knowledge value (Muthuveloo et al., 2017), and its sharing through virtual brand communities (VBCs) triggers knowledge fission that enhances innovation agility (Zheng et al., 2023). Amid intensifying competition, firms increasingly leverage VBCs to transform customer TK into innovation capital, significantly reducing time-to-market and increasing innovation success rates (George, 2024; Jaziri, 2019). This knowledge metabolism process, filtered through firms’ absorptive capacity, fuels product and business model innovation (Qi et al., 2024; Zhang & Yi, 2024), as evidenced by P&G and LEGO generating numerous patents through customer TK (Zheng et al., 2022). Such mechanisms illustrate a threefold pathway for TK transformation through acquisition breadth, fusion depth, and application validity, collectively driving firm innovation performance (FIP).
Research has increasingly sought to uncover the mechanisms through which TK influences firm innovation, with studies across different contexts consistently demonstrating its significant role. For instance, Harlow (2008) identified a positive relationship between TK levels and FIP in North American knowledge-intensive firms, while Magnier-Watanabe and Benton (2017) found that TK fully mediates the management innovation-FIP link in Japanese firms. Furthermore, Zhang et al. (2025) confirmed TK’s positive effect on FIP with product innovation as mediator in the Chinese context. However, despite these valuable insights, most existing studies persist in classifying TK into only cognitive and technical dimensions, thereby critically overlooking the growing importance of social TK—a dimension uniquely relevant in the digital economy, where social capital cultivated through digital consumption rituals and brand emotional resonance in VBCs is increasingly translated into innovation insights via algorithm-driven systems. Although Insch et al. (2008) pioneered the social TK concept, its digital characteristics and transmission mechanism to FIP remain persistent theoretical blind spots.
To bridge these gaps, social capital theory offers a valuable lens for decoding digital innovation dynamics, particularly as the structural, relational, and cognitive dimensions of virtual social capital (VSC) form the underlying architecture for TK flows. However, while prior research has extensively explored how social capital influences explicit knowledge transfer (Chiu et al., 2006; Manning, 2010; Zhao & Detlor, 2023), its mechanisms in facilitating tacit knowledge digitization and transfer remain markedly underexplored. This neglect leaves key VBC-specific questions unanswered regarding how knowledge-sharing trust is effectively cultivated and how big data-shaped shared cognition influences TK transformation. Equally important is the significant heterogeneity in firms’ abilities to convert digital social assets into innovation drivers, where social media proficiency (SMP) and social media agility (SMA) as critical digital capabilities profoundly shape TK-to-FIP transformation efficiency (Pitafi et al., 2023). While current studies recognize social media’s strategic role in knowledge management, few have explored how these capabilities enable open innovation in digital contexts, despite SMP and SMA being identified as key levers in the TK-to-FIP transformation process (Muninger et al., 2019; Ali et al., 2020).
Grounded in social capital theory, this study adopts a robust framework for understanding how resources embedded in social networks can be harnessed for value creation. This theoretical perspective is particularly appropriate for the VBC context, as these digital ecosystems are built on networked relationships, shared cognition, and digital trust—core facets of social capital. We apply this lens to elucidate how VSC facilitates TK flows among community members and ultimately enhances FIP. Furthermore, to account for the dynamic digital environment in which VBCs operate, we incorporate the construct of social media capability (SMC). Comprising both proficiency and agility, SMC is theorized as a critical moderating variable that strengthens the conversion of TK into innovation outcomes by improving a firm’s ability to govern and leverage knowledge within these platforms. Therefore, integrating social capital theory with the SMC construct provides a comprehensive theoretical foundation for analyzing the proposed “VSC – TK – FIP” pathway and addressing the following research questions (RQs):
RQ1. In the context of the digital economy, how do different dimensions of TK in VBCs differentially affect FIP?
RQ2. How does the digital dimension of VSC drive FIP improvement through the TK transmission chain?
RQ3. How does SMC regulate the effective transformation of TK into FIP?
To address these questions, we develop a social capital analysis framework tailored to the digital economy context, collect 647 valid questionnaires from Chinese firms undergoing digital transformation, and employ structural equation modeling and hierarchical regression analysis for empirical testing. This study makes three primary theoretical contributions. First, it extends social capital theory into the digital innovation domain by constructing the “VSC – TK – FIP” theoretical chain. Second, it innovatively identifies the value-leveraging role of social TK in the digital economy, thereby refining the classification of TK. Finally, it reveals the moderating mechanism of SMC, offering theoretical support for capability building within digital innovation ecosystems. From a practical standpoint, the findings provide firms with an actionable digital transformation pathway—“social capital → knowledge transformation → capability adaptation”—guiding them to enhance FIP by strategically leveraging TK available in VBCs.
The remainder of this paper is structured as follows. Section 2 elaborates the theoretical framework, detailing the core theories and presenting the research model. Section 3 develops the research hypotheses. Section 4 describes the study method, including data collection and measurement. Section 5 presents the empirical results. Section 6 discusses the findings, theoretical contributions, practical implications, and limitations. Finally, Section 7 provides a concluding summary.
Theoretical frameworkTKPolanyi (1962) first proposed the concept of TK, which has been proven to have an essential influence on firm innovation. TK is primarily based on an individual’s experience and reflection, making it highly context-specific and inclusive of a personal character. Firms with more hidden elements of knowledge are expected to gain more outstanding innovation capabilities.
Nonaka (1994) divided TK into two dimensions: cognitive and skill. Cognitive TK presents concepts, mental perspectives, beliefs, and the accumulated knowledge required to accomplish the job. Skill-based TK involves skill in completing a task and is developed and mastered through repeated actions. Based on Nonaka (1994), Insch et al. (2008) introduced the social dimension of TK into their research for the first time. However, few scholars have explored the influence of TK’s social dimension on FIP. In the VBCs, the knowledge contributed by customers’ social interaction contains significant TK, essential in promoting firm product design, research and development (R&D), and technological innovation.
Recent studies further contextualize TK within digital environments. For instance, Pang et al. (2024) emphasized that perceived gratifications—hedonic, social, and utilitarian—enhance continuous user engagement, which parallels how social TK in VBCs fosters sustained knowledge contribution. Moreover, the role of network externalities, such as referent network size and perceived complementarity (Pang et al., 2024), underscores the structural conditions that facilitate TK flows in virtual communities. These insights reinforce the relevance of differentiating social TK as a distinct dimension in digital settings.
Based on the above analysis, social TK refers to the implicit understanding of relational dynamics, unspoken norms, shared values, and collective sentiments within a specific community context. It is embodied in practices such as ritualized interactions, brand-specific jargon, and emotionally charged narratives that are difficult to codify but essential for fostering cohesion and identity. This dimension is distinct from cognitive TK and skill-based TK. Cognitive TK (know-what: concepts, beliefs): Social TK involves how to belong and interact within a social group, pertaining less to factual mental models. Skill-based TK (know-how: technical skills): Social TK involves navigating social and emotional landscapes, not performing a physical or analytical task. Based on Nonaka (1994) and Insch et al. (2008), and combined with the characteristics of VBCs, we divide the TK contributed by customers into three dimensions—cognitive, skill-based, and social—and then explore their impact on FIP.
SMCThe academic community has not yet agreed on a unified definition of SMC. Subramaniam et al. (2013) believed that firms’ SMC includes three aspects: providing a virtual common existence, achieving centralized interaction, and forming an interaction order. Nguyen et al. (2015) thought that SMC is the ability to acquire, integrate, and apply knowledge from social media to organizational resources according to the strategic direction and choice of the organization to make the capability rapid and flexible. Bolat et al. (2016) considered SMC a system of four interrelated practices: market awareness, relationship management, branding, and content development. Wang et al. (2017) defined SMC as a dynamic organizational capability comprising four levels—technology, operation, management, and strategy—which helps firms deploy and integrate social media applications to generate and maintain competitive advantages. Based on previous research and combined with the characteristics of VBCs, we define SMC as the ability to obtain information from social media, integrate knowledge, apply it to firm innovation and development, and choose SMP and SMA as key indicators of SMC.
Under the background of digital innovation, firms can obtain TK (such as management experience and concept culture provided by customers, technical expertise and know-how, and content conducive to firm innovation generated by social interaction from VBCs); better absorb new knowledge through the firm database and firm resource planning system, to realize knowledge exploration (Trantopoulos et al., 2017); and then improve the FIP. TK contributed by customers from VBCs is characterized by large capacity and fast flow, with firms needing strong SMC to apply TK to firm innovation activities. Therefore, when examining the impact of TK on FIP, the role of SMC in this process cannot be ignored. However, few studies have focused on the effect of SMC on the relationship between TK and FIP, with existing studies generally discussing the factors of SMC. For example, Benitez et al. (2018) only studied SMC as a whole variable. Therefore, combined with the actual situation of VBCs, we investigate the moderating effect of SMC on the relationship between TK and FIP.
The emerging literature highlights that social connectivity and system interactivity are critical facets of SMC that shape users’ perceived benefits and continued engagement (Pang & Ruan, 2024). These elements align with SMP and SMA, as they enhance a firm’s ability to leverage TK through responsive and proficient social media interactions. Furthermore, service quality in mobile social media platforms strengthens user identification and belongingness (Pang & Zhang, 2024), which are essential for fostering a knowledge-sharing culture that underpins TK transfer. Additionally, perceived multidimensional benefits—functional, psychosocial, and hedonic—drive user satisfaction and engagement, thereby enriching the TK pool available for firm innovation.
Social capital theorySocial capital is the sum of resources embedded in the social network of individuals, organizations, communities, or societies, which can benefit individuals or social units (Chetty et al., 2022). Social capital comprises three dimensions: structural, cognitive, and relational. Structural capital refers to the general structure of social connections between individuals in a social network, in which the social interaction between individuals is the most critical—relationship capital deals with the emotional nature of connections between individuals, often in the form of trust. Cognitive capital refers to the user sharing the understanding of collective tasks and goals and the ability to understand and apply knowledge during individual interactions.
The value of VBCs is essentially based on the deep interaction of customer participation and knowledge contribution, which is a socialization and contextualization process significantly influenced by social capital’s characteristics (Lee & Shen, 2024). VBCs, as a network platform for information exchange and knowledge sharing, enable dispersed individuals to gather and form a virtual social relationship network. Therefore, the social capital in the VBCs exists in virtual form. The VSC in the VBCs refers to the social relations developed through the interaction between firms and customers and between customers and customers, forming virtual social networks, generating trust, norms, or stock of sharing values, allowing customers to achieve their goals when conducting social activities in the community.
Knowledge creation requires socialization, especially the creation of TK, which stems from close social interactions and experience sharing. The strength and efficiency of social interactions depend on the level of social capital possessed by the individuals, groups, or organizations that interact with them. Consequently, social capital is critical in the knowledge creation and sharing process. This particularly applies to TK, which is essentially social capital-driven. Lin (2017) argued that the degree of accessibility of embedded resources in a network is related to the mobilization of these resources, leading to purposeful actions by individual actors in the network. Lin (2017) further clarified that collective assets facilitate accessibility to embedded resources regarding trust, values, norms, and network structure dimensions. Social capital contributes to the correct interpretation of the knowledge of others by providing people with relevant knowledge, sharing interests, a climate of mutual trust and appreciation, and sharing common abilities. Consequently, it is likely to generate new ideas and develop new business opportunities, thus promoting innovative activities in the organization. Based on this, Ganguly et al. (2019) found that social interaction is essential in promoting the creation and sharing of TK. Based on the above analysis, combined with the characteristics of VBCs and this study’s specific background, we divided the dimensions of VSC into the structural, relational, and cognitive dimensions, and selected network embeddedness, digital trust, and sharing cognition as the representative variables of the three dimensions of VSC.
Contemporary studies extend this view by highlighting how network externalities and perceived gratifications bolster continuous usage and knowledge contribution in virtual spaces (Pang et al., 2024), which amplifies the structural and relational dimensions of VSC. Moreover, service quality enhances user identification and belongingness (Pang & Zhang, 2024), reinforcing the cognitive and relational facets of social capital. However, potential dark sides, such as technostress and cognitive overload, which may arise from excessive mobile app use and could impair TK absorption and innovation outcomes (Pang, 2024; Pang & Wang, 2025), should also be acknowledged. Extending this perspective, Pang et al. (2025) further demonstrated that adverse environmental factors, such as cyberbullying and communication overload, can induce negative psychological states (e.g., depressive moods, app fatigue), ultimately leading to user disengagement and platform-switching intentions. These insights provide a more nuanced understanding of the role of VSC in TK processes.
Hypotheses developmentThe effect of VSC on TKThe effect of network embeddedness on TK. Network embeddedness represents the breadth (e.g., cross-layer interactions) and depth (e.g., continuous collaborative relationships) of connections that customers form with other members and organizations in a virtual community (Portes, 2014). According to social capital theory, an essential antecedent variable of communication and cooperation between individuals is the structural connection constructed by individuals through social interaction activities (Han et al., 2020). Social structures and network connections enable knowledge transfer by encouraging individuals to exchange information and contribute knowledge within the network (Villalonga-Olives & Kawachi, 2015). The customer behavior in the VBCs is affected by the group’s social structure. This behavior will also affect the group’s social structure and customers’ status or role (Brodie et al., 2013). The socialization of customers in the VBCs will help to build this social structure and network connection, thus promoting customer engagement (Luo et al., 2019). When a solid social bond develops among customers, customers will spend more time and energy socializing and be more willing to contribute their TK to help other customers solve problems and contribute their knowledge to firm innovation (Chetty et al., 2022). Through their research, Wong and Lee (2022) found that online community members can promote idea exchange and collision through social interaction and active communication. The more frequent the customer communication and interaction in the VBCs, the more extensive the social interaction will be, which is more conducive to promoting the sharing of TK among customers (Ren & Sun, 2024). Therefore, we hypothesize that:
H1a Network embeddedness positively affects cognitive TK.
H1b Network embeddedness positively affects skill-based TK.
H1c Network embeddedness positively affects social TK.
The effect of digital trust on TK. Digital trust refers to customers’ willingness to take risks based on technical guarantees (data encryption) and social experiences (historical interactions) in an anonymized, contactless virtual environment. Chowdhury et al. (2019) interpreted the relational dimension as relational embeddedness in the actor bond, the key feature of which is trust. The power of social capital lies in the close personal relationships within the structure of social networks that lead to meaningful individual and collective action. The core component of the definition of social capital given by Swanson et al. (2020) is goodwill, which exists in the structure and content of actors’ social relations, and the key feature of goodwill is called trust. Yee (2015) found that trust, as a relational dimension of social capital, significantly impacts resource exchange and combination. Lins et al. (2017) conceptualized the relational dimension of social capital as resource interdependence. They argued that the view of resource interdependence provides focus participants with a behavioral option to build trusting relationships with other participants and provides opportunities to create value. Increased resource interdependence and repeated interactions have increased knowledge sharing among the parties. Trinh et al. (2023) argued that a climate of trust underlies the embedment of relations between parties, can sanction opportunistic behavior, and facilitates the free exchange of knowledge.
The relationship of trust between the parties involved in exchanging knowledge is essential for the contribution of TK. Some scholars argue that trust is multi-dimensional. Davis (2014) conceptualized trust from two dimensions: goodwill-based and competence-based trust. Their empirical research shows that goodwill- and competency-based trust mediate the relationship between strong connections and practical knowledge acquisition. They further observed that goodwill-based trust promotes implicit knowledge exchange, while competency-based trust promotes explicit and implicit knowledge exchanges. Therefore, the relational dimension of social capital, represented by trust, is crucial for dense social network structures, and is an effective antecedent variable for knowledge acquisition and assimilation. Göksel and Aydıntan (2017) considered emotion-based and cognition-based trust about social capital. These two forms of trust are interrelated and significantly affect the contribution of TK. Similarly, Ganguly et al. (2019) observed that affective and cognitive trust independently influence individuals’ contribution to TK. Interpersonal relationships embedded in trust strongly influence the contribution of TK. As a core component of relational social capital, the trust relationship is closely related to the individual contribution of TK. In the VBCs, the relational digital trust provides an environment conducive to exchanging TK, interpretation, and integration, thus enhancing customer coordination between customers and firms (Akrout & Nagy, 2018). The coordination between firms and customers offers organizational learning experiences. It improves the firm’s ability to recognize the value of new knowledge, absorb new knowledge, and apply it to business purposes (Hu & Wang, 2025). Therefore, we hypothesize that:
H2a Digital trust positively affects cognitive TK.
H2b Digital trust positively affects skill-based TK.
H2c Digital trust positively affects social TK.
The effect of sharing cognition on TK. Sharing cognition refers to the common knowledge framework formed by community members through continuous interaction (Cai & Shi, 2022), including a common understanding of technical specifications (such as a collective recognition of the direction of product iteration) and a collaborative identification of innovation goals (such as a deep resonance of the value proposition of the user group). Such cognitive collaboration significantly reduces contextual friction in TK transfers by constructing a common semantic field for knowledge decoding (Zhong et al., 2016). Madhavan and Grover (1998) confirmed that, when firms and users establish a sharing cognition of technological innovation feasibility, the conversion efficiency of community TK to patent achievements will be significantly improved. The promotion of sharing cognition to customers’ contribution to TK is embodied in two mechanisms. First, the interpretability of knowledge is enhanced. It is manifested in transforming fragmented experiences into integrated knowledge modules by establishing standard evaluation criteria, such as a consensus on “user experience priorities” (Cross & Gullikson, 2020). Second, the internalization of contribution motivation. The specific performance shapes the role identity of the “innovation partner” and triggers customers to actively share insights into usage scenarios (Ghasemzadeh et al., 2022). Sharing cognition can effectively activate the spillover effect of customers’ TK by constructing the common meaning space of knowledge decoding (Spraggon & Bodolica, 2017). Therefore, we hypothesize that:
H3a Sharing cognition positively affects cognitive TK.
H3b Sharing cognition positively affects skill-based TK.
H3c Sharing cognition positively affects social TK.
The effect of cognitive TK on FIP. Cognitive TK refers to relevant information, ideas, and cultural knowledge about firm operation, production, and management experience (Bolbakov, 2016). In VBCs, the knowledge contributed by customers positively impacts new product development and the technological uniqueness of firms (Zhang & He, 2016). When firms tap into the knowledge shared by customers, they acquire additional TK from it, among which innovation awareness and management experience also promote FIP improvement (Sheng, 2019). Simultaneously, through the customer’s contribution of cognitive TK, firms motivate innovation activities deeply rooted in individual thoughts and ideas (Chiu & Lin, 2022). Additionally, obtaining external knowledge from the VBCs is a long-term and systematic process for firms, with firms and customers cultivating innovative values, innovative ideas, and other cultural atmospheres in interaction, communication, and cooperation. Kraśnicka et al. (2018) believed that cultural construction, production processes, and organizational management cognition could subtly improve the innovation ability of firms from the overall aspect and then promote FIP improvement. Therefore, we hypothesize that:
H4 Cognitive TK positively affects FIP.
The effect of skill-based TK on FIP. Skill-based TK refers to technical experience or know-how related to market development, production technology, construction, and development (Muskat & Deery, 2017). In participating in the innovation activities in the VBCs, customers provide new product R&D, technological innovation, management experience, brand experience, and other related TK (Wu & Fang, 2010). TK can expand the depth and width of the firm’s technology, and the FIP can be effectively improved by developing a series of production and R&D skills and adopting appropriate marketing methods and strategies (Yao et al., 2020). Xu et al. (2025) believed that new knowledge, technology, and successful market experience belong to the TK category. Through market research, judgment, and analysis, firms can convert such TK for their use and employ it in innovation activities to improve FIP. Zia et al. (2024) found that skill-based TK can help firms complete breakthrough innovation, facilitate knowledge transfer and sharing within firms, and thus improve FIP. Therefore, we hypothesize that:
H5 Skill-based TK positively affects FIP.
The effect of social TK on FIP. Social TK, manifested as shared identity and trust, creates a “safe space” in which customers are more willing to contribute nuanced, honest, and potentially critical insights—the kind of valuable TK that drives radical innovation. Without a strong social fabric, knowledge sharing may remain superficial. A firm’s understanding of a complex technical suggestion (skill-based TK) or novel concept (cognitive TK) is greatly enriched by understanding the social context in which it was generated. Social TK provides the “why” behind the “what” and “how.” Social TK is the glue binding community members together. A community rich in social TK has higher retention rates, ensuring a continuous flow of innovative ideas to the firm, as highlighted in studies on customer participation.
Social TK stems from the social attribute of TK (Mohammed & Kamalanabhan, 2020). TK socialization refers to transforming TK into a new TK through social interaction, which contributes to the creation of knowledge based on people’s experience of socialization within an organization (Olaisen & Revang, 2018). Although most studies on TK focus on individuals, tasks, or job characteristics, people do not perform tasks in a “vacuum.” Ultimately, they must interact with others to achieve results (Ambrosini & Bowman, 2001). Panahi et al. (2013) believed that social factors are the key to success and should receive more attention when discussing TK. The social dimension of TK includes understanding how to interact with others; Pérez-Luño et al. (2019) referred to this skill as the ability to manage others. Customers gather in VBCs around brand-related topics; freely choose to browse content and comment; and contribute their knowledge in different behavior patterns. Under the continuous contribution of customers’ knowledge and the interaction with other customers or firms, all individuals in VBCs establish a rich relationship, making the originally independent and scattered customers an interconnected organic whole and causing customer innovation behavior in VBCs to produce a synergistic effect, thus promoting the cross-level transformation of customer innovation into firm innovation (Cui & Wu, 2016). Therefore, we hypothesize that:
H6 Social TK positively affects FIP.
The moderating effect of SMP. SMP reflects firms’ technical mastery of social media tools and operational response efficiency (Muninger et al., 2019). Highly skilled firms can capture TK clues (such as user metaphorical feedback) in the community in real time and realize knowledge noise reduction and value extraction through data cleaning, semantic analysis, and other technologies (Ni et al., 2022). Currently, firms operate in a highly competitive global business environment, and TK is considered a key factor for firm innovation success (Pérez-Luño et al., 2019). Companies use VBCs, an emerging business social media platform type, to monitor and manage TK (Ribeiro, 2013). Given the complexity of this process, some scholars have proposed the role of corporate SMP in generating sustainable competitive advantage (Abdullah et al., 2022). In previous studies, the SMP of firms has received significant attention because it is often used as an essential measure of the success of information systems and plays a crucial role in decision-making and FIP (Rahimnia & Molavi, 2021). SMP supports the agile development and implementation of various social media tools that can be used to monitor and respond to unexpected environmental changes (Sun & Liu, 2023). When firms have strong SMP, they can discover and capture the TK shared by customers in the VBCs promptly (Muninger et al., 2019). Conversely, firms can promptly and accurately tackle TK, transform it into the knowledge required for firm innovation activities, and improve FIP. Panahi et al. (2013) believed that SMP is essential in promoting the process of TK mining in firms improving FIP. Therefore, we hypothesize that:
H7a SMP positively moderates the effect of cognitive TK on FIP.
H7b SMP positively moderates the effect of skill-based TK on FIP.
H7c SMP positively moderates the effect of social TK on FIP.
The moderating effect of SMA. SMA reflects firms’ strategic adaptability to environmental changes (Chuang, 2020). Agile firms can dynamically adjust community operation strategies (such as creating temporary interest groups and launching targeted creative solicitation) and accurately guide customers’ knowledge contributions to match corporate innovation needs (Burström et al., 2021). A stronger SMC indicates that the company can be more flexible in choosing social media tools and implementing social media planning, thus forming a competitive advantage. Obar and Wildman (2015) argued that intensive communication and rapid mutual understanding on social media are key to communicating, integrating knowledge, and fostering innovation. However, in VBCs, customers share a considerable amount of TK, which firms often cannot effectively understand, absorb, and apply. Garcia-Morales et al. (2018) found that using flexible social media technologies can effectively promote information processing and communication in social media. Based on this, Zhang and Zhu (2022) found that firms regard SMC as an essential strategic resource, and firms that use social media more flexibly effectively use existing knowledge structures to implement social media planning to successfully realize technological innovation. When the firms’ SMA is sufficiently strong, they can promptly and accurately adjust social media planning according to environmental dynamics and uncertainty (Ye et al., 2022). For example, according to the changes in firm needs, establishing temporary discussion groups, forming common interest circles, and releasing tasks in the VBCs can be targeted and purposefully encourage customers to contribute to TK. The flexible use of social media promotes customer relationships and the exchange of ideas, enhancing innovation (Wang & Kim, 2017). In short, firms with higher SMA are more likely to transform the TK shared by customers in the VBCs into the knowledge required for firm innovation and development, increasing the likelihood of firm innovation success (Liao & Barnes, 2015). Therefore, we hypothesize that:
H8a SMA positively moderates the effect of cognitive TK on FIP.
H8b SMA positively moderates the effect of skill-based TK on FIP.
H8c SMA positively moderates the effect of social TK on FIP.
Fig. 1 presents this study’s research model, which is grounded in social capital theory. The model identified the antecedents of customer-contributed TK—structural (network embeddedness), relational (digital trust), and cognitive (shared cognition) capital. It further examined the effects of three dimensions of TK (cognitive, skill-based, and social TK) on FIP. Additionally, the model investigates the moderating role of SMC, which includes SMP and SMA, on the relationships between each dimension of TK and FIP.
Data collectionThis study employed a questionnaire survey to collect empirical data for testing the research hypotheses. The sample was drawn from the China Digital Marketing Development Report, focusing on cities, including Beijing, Shanghai, Guangzhou, Shenzhen, and Hangzhou, with advanced social media marketing development. Industries covered include smartphones, new energy vehicles, cosmetics, and online entertainment.
The following three core criteria were strictly followed when selecting questionnaire subjects for this study. First, the target firms must have VBCs that support online interaction among consumers. Second, firms systematically obtain users’ feedback information and creative achievements in new product development, service innovation, and other practical applications through the platform. Third, the interviewees are limited to middle and senior management in R&D, technology, and marketing departments.
To ensure the validity of the survey, the respondent selection criteria were strictly aligned with the study’s core constructs — TK flows, SMC, and FIP. Respondents were required to be mid-to-senior managers directly involved in innovation management, R&D, or VBCs operations, as these roles possess the strategic oversight and practical experience necessary to accurately evaluate the relevant phenomena. The final sample of 647 valid respondents reflects this targeted approach: it comprised R&D directors (32 %), who oversee innovation processes; marketing/product managers (41 %), who interface with customers and translate insights into offerings; digital strategy officers (18 %), responsible for steering digital transformation; and community operations managers (9 %), who manage daily VBCs interactions. Furthermore, the sample demonstrated substantial expertise, with 86 % of respondents possessing over five years of industry experience and 72 % having been directly involved in VBCs-related innovation projects. The participating firms, ranging from high-tech startups to established manufacturers, all had actively implemented VBCs as a component of their digital innovation strategy. This rigorous sampling design ensured that the data was sourced from individuals with the requisite contextual knowledge and managerial authority, thereby significantly strengthening the representativeness and validity of the survey findings.
The survey was conducted from October 2024 to January 2025. A total of 742 electronic questionnaires were distributed using stratified sampling. After rigorous data cleaning—which involved removing 95 invalid responses due to missing information or logical inconsistencies—647 valid samples were retained, resulting in an effective response rate of 87.2 %. Descriptive statistics were used to summarize the organizational characteristics of the sample firms, as detailed in Table 1.
Sample demographic (647).
This study measured the following constructs: network embeddedness, digital trust, shared cognition, cognitive TK, skill-based TK, social TK, SMP, SMA, and FIP. To ensure scale reliability and validity, established mature scales were adopted and adapted to align with the research context and the specific characteristics of VBCs in China (see Appendix Table A1). All items were measured using a seven-point Likert scale, ranging from 1 (“strongly disagree”) to 7 (“strongly agree”).
VSC. This construct was divided into three dimensions. Network embeddedness was measured with four items based on Yang et al. (2011) and Boxu et al. (2022). Digital trust was assessed using four items derived from Mubarak and Petraite (2020). Shared cognition was measured with three items adapted from Levine (2018).
TK. TK was categorized into cognitive, skill-based, and social dimensions. Cognitive TK was measured using four items from Hadjimichael and Tsoukas (2019). Skill-based TK was assessed with four items based on Xu (2025). Social TK was evaluated using four items from Ganguly et al. (2019).
SMC. Represented by SMP and SMA, this construct was measured using four items for SMP from Benitez et al. (2018) and four items for SMA from Chuang (2020).
FIP. As the dependent variable, FIP was derived from innovation efficiency and revenue. Given the multi-industry nature of the sample, which entails varying performance standards across sectors, managers’ subjective evaluations were relied upon. Four items based on Ghasemaghaei and Calic (2020) were used to measure FIP.
Control variables. To mitigate potential confounding effects, firm size, firm age, and industry attributes were included as control variables.
Data analysis strategyA comprehensive data analysis strategy was implemented to ensure the findings’ robustness and validity. This included tests for non-response bias and common method bias, assessments of scale reliability and validity, and checks for multicollinearity. The main effects in the theoretical model were tested using structural equation modeling (SEM), while hierarchical regression analysis (HRA) was applied to examine the moderating effects. This multi-step approach facilitates a rigorous investigation of the relationships among virtual social capital, tacit knowledge, and firm innovation performance.
Non-response bias testTo address potential non-response bias, early and late respondents were compared based on the size and age of their firms, following Hendra and Hill (2019). Among the 647 valid responses, the first 386 were classified as early respondents and the remaining 261 as late respondents. Chi-square tests revealed no significant differences in firm size or age (p > 0.05), indicating that non-response bias is not a concern.
Common method biasAs the data were collected from a single source, Harman’s single-factor test was conducted to check for common method bias. Exploratory factor analysis (EFA) of all 34 measurement items extracted nine factors with eigenvalues greater than 1. The first factor accounted for 26.17 % of the variance, below the 40 % threshold. Furthermore, as shown in Table 2, correlation coefficients among variables ranged from 0.08 to 0.48. These results suggest that common method bias is not a serious issue in this study.
Means, standard deviations, and correlations (N = 647).
Note(s): The italic elements are the square roots of AVEs. *p < 0.05; **p < 0.01 (two-tailed test).
Scale reliability was assessed using Cronbach’s α. All constructs exhibited α values greater than 0.8 (see Appendix Table A1), indicating high internal consistency. For validity, content validity was ensured using established scales. Construct validity was evaluated through convergent and discriminant validity. Following Fornell and Larcker (1981), all factor loadings exceeded 0.7 (p < 0.05), composite reliability (CR) values were above 0.8, and average variance extracted (AVE) values exceeded 0.5—supporting convergent validity. Discriminant validity was confirmed as all inter-construct correlations were below 0.85, and the square root of each construct’s AVE was greater than its correlations with other constructs (see Appendix Table A1).
Collinearity testPrior to hypothesis testing, collinearity among variables was examined. As summarized in Table 2, network embeddedness, digital trust, shared cognition, cognitive TK, skill-based TK, social TK, SMP, and SMA were all positively correlated with FIP, providing preliminary support for several hypotheses. All variance inflation factor (VIF) values were below 4, indicating no severe multicollinearity. Confirmatory factor analysis demonstrated a good model fit (χ²/df = 1.83, CFI = 0.91, GFI = 0.93, NFI = 0.91, RMSEA = 0.07, SRMR = 0.08), confirming that the data align well with the theoretical model.
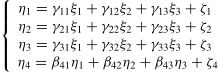
Structural equation modelThis study primarily aimed to test the main effects of the structural relationships among VSC, TK, and FIP, as well as the moderating effects of SMC on the TK–FIP relationship. Given the complexity of the model—which includes multiple independent variables and moderating effects—SEM was employed to examine the main effects, aligning with Jobst et al. (2023). Based on the theoretical framework, the following structural equation model was constructed:
In formula (1), η1represents cognitive TK, η2 represents skill-based TK, η3 represents social TK, and η4 represents FIP. ξ1 represents network embeddedness, ξ2 represents digital trust and ξ3 represents sharing cognition. γ represents the relationship between exogenous and endogenous variables, β represents the relationship between endogenous variables, and ζ represents the residual term of endogenous variables.
Hierarchical regression analysisThis study employed hierarchical regression analysis (HRA) to test the moderating effects of SMC, based on both methodological and practical considerations. HRA offers a robust and well-established approach suited to our research context. The moderators in this study—SMP and SMA—are conceptualized and measured as formative, aggregate-level constructs. HRA is particularly appropriate for testing interactions between such observed variables (or latent variable scores). Although latent moderated structural equation modeling (LMS) represents a viable alternative, its application becomes considerably more complex in models involving multiple moderators and multiple outcome variables, as is the case here. Conversely, HRA provides a clear, parsimonious, and statistically powerful means of testing our specific moderation hypotheses (H7a–c, H8a–c) without introducing unnecessary analytical complexity.
Using HRA for moderation analysis is not only methodologically conventional but also widely accepted and frequently employed in leading management and information systems journals. Our analytical procedure follows established guidelines from prominent methodological sources (e.g., Aiken et al., 1991; Cohen et al., 2013). This approach facilitates the straightforward interpretation of the change in explained variance (ΔR²) and significance of interaction terms, thereby enhancing the clarity and communicability of our results.
We adopted a hybrid analytical strategy in this study. SEM was first used to test the main structural model, leveraging its strengths in modeling complex relationships among latent variables while accounting for measurement error. Subsequently, HRA was applied to rigorously examine the moderating effects. This two-step approach is methodologically sound, as the moderation analysis builds on the validated latent construct scores derived from the SEM measurement model.
To ensure robustness, all predictor and moderator variables were mean-centered prior to creating interaction terms, a recommended practice for mitigating multicollinearity. For each significant interaction identified, we conducted post-hoc simple slope analyses and plotted interaction graphs. This thorough follow-up procedure allows for a nuanced interpretation of the moderating effects, ensuring they are not only statistically significant but also substantively meaningful.
ResultsMain model effect testThe structural model hypotheses were tested using LISREL 9.2 software. As summarized in Table 3, all model fit indices fell within acceptable ranges, indicating strong consistency between the proposed theoretical model and empirical survey data.
Table 4 and Fig. 2 present the hypothesis testing results for the structural model. The standardized path coefficients from network embeddedness to cognitive TK and social TK were 0.19 (p < 0.001) and 0.46 (p < 0.001), respectively, supporting H1a and H1c. However, the path from network embeddedness to skill-based TK was not significant (β = 0.12, p > 0.05), leading to the rejection of H1b. Similarly, digital trust did not significantly predict cognitive TK (β = 0.16, p > 0.05) or skill-based TK (β = 0.21, p > 0.05); therefore, H2a and H2b are not supported. Conversely, digital trust showed a significant positive effect on social TK (β = 0.35, p < 0.001), supporting H2c. Shared cognition significantly predict all three TK dimensions: cognitive TK (β = 0.29, p < 0.05), skill-based TK (β = 0.24, p < 0.001), and social TK (β = 0.37, p < 0.01), supporting H3a, H3b, and H3c. Finally, cognitive TK (β = 0.42, p < 0.001), skill-based TK (β = 0.61, p < 0.001), and social TK (β = 0.22, p < 0.01) all had significant positive effects on FIP, confirming H4, H5, and H6.
Test result.
In terms of explanatory power, the model accounted for 57 % of the variance in FIP within VBCs. The three dimensions of VSC explain 18 %, 22 %, and 13 % of the variance in cognitive TK, skill-based TK, and social TK, respectively.
Moderating effect testThe moderating effects of SMC were examined using SPSS 24.0. As shown in Table 5, the inclusion of SMP significantly improved model fit across all TK dimensions. For cognitive TK, the ΔR² values increased from 0.17 (Model 1) to 0.29 and 0.32 (Models 2 and 3). For skill-based TK, ΔR² rose from 0.23 (Model 4) to 0.34 and 0.37 (Models 5 and 6). For social TK, ΔR² increased from 0.19 (Model 7) to 0.37 and 0.42 (Models 8 and 9). The interaction terms between SMP and cognitive TK (β = 0.38, p < 0.001), skill-based TK (β = 0.41, p < 0.001), and social TK (β = 0.29, p < 0.001) were all statistically significant, indicating that SMP positively moderates the relationship between each TK dimension and FIP. Therefore, H7a, H7b, and H7c are supported.
Regression results of the moderating effect of SMP.
Note(s): 1. CTK = Cognitive tacit knowledge, STK1 = Skill-based tacit knowledge, STK2 = Social tacit knowledge. 2. * p < 0.05, ** p < 0.01, *** p < 0.001; coefficients are standardized.
Table 6 presents the test results for SMA. The interaction terms between SMA and cognitive TK (β = 0.31, p > 0.05) and skill-based TK (β = 0.25, p > 0.05) were not significant, leading to the rejection of H8a and H8b. However, the interaction between SMA and social TK was significant (β = 0.39, p < 0.001), and the ΔR² for social TK models increased from 0.21 (Model 7) to 0.33 and 0.35 (Models 8 and 9), indicating that SMA positively moderates the relationship between social TK and FIP. Thus, H8c is supported.
Regression results of the moderating effects of SMA.
Note(s): 1. CTK = Cognitive tacit knowledge, STK1 = Skill-based tacit knowledge, STK2 = Social tacit knowledge. 2. * p < 0.05, ** p < 0.01, *** p < 0.001; coefficients are standardized.
To further interpret the significant moderation effects, simple slope analyses were conducted following Aiken et al. (1991). SMP and SMA were evaluated at high (+1 SD) and low (–1 SD) levels; the interactions are illustrated in Figs. 3–6.
Fig. 3 shows that the relationship between cognitive TK and FIP is stronger at high levels of SMP, reinforcing H7a. This suggests that firms with greater social media proficiency are better able to transform cognitive TK into innovation outcomes. Similarly, Fig. 4 indicates that SMP strengthens the effect of skill-based TK on FIP, further supporting H7b. Fig. 5 illustrates that SMP also enhances the relationship between social TK and FIP, with a steeper slope under high SMP conditions, aligning with H7c. Finally, Fig. 6 confirms that SMA positively moderates the link between social TK and FIP, supporting H8c. Firms with higher SMA appear more effective at leveraging social TK to improve innovation performance.
DiscussionFindingsEffect of virtual social capital on tacit knowledgeRegarding network embeddedness, the support for H1a and H1c indicates that tight network connections within VBCs effectively facilitate the formation of both cognitive and social tacit knowledge. However, H1b is not supported (β = 0.12, p = 0.17). A plausible explanation is that skill-based TK—often involving specific, procedural know-how—typically requires deep, focused, and sometimes individualized guidance for effective transfer, rather than broad network connectivity. In VBCs, widespread interactions may be more conducive to sharing opinions and building social bonds, whereas complex skills depend more on interaction depth than connection breadth.
Concerning digital trust, the support for H2c confirms its significant role in promoting social tacit knowledge. However, H2a and H2b are not supported (β = 0.16, p = 0.25; β = 0.21, p = 0.08). This pattern delineates a boundary condition for digital trust: while it provides the psychological safety required for sharing emotional and social knowledge, contributing high-value cognitive insights or specialized skills may be driven by other motivations—such as reputation, status, or tangible rewards. Thus, digital trust serves as a baseline prerequisite for community participation but is insufficient alone to elicit members’ most valuable cognitive and technical knowledge.
Conversely, shared cognition has significant positive effects on all three dimensions of tacit knowledge (H3a, H3b, and H3c), underscoring that common goals and values serve as a powerful, universal driver for diverse types of knowledge contribution.
Effect of tacit knowledge on firm innovation performanceAll direct path hypotheses (H4, H5, and H6) are strongly supported. Cognitive, skill-based, and social TK each significantly enhance FIP. Notably, skill-based TK exhibited the strongest path coefficient (β = 0.61), suggesting that in VBC contexts, practical know-how and solution-oriented knowledge from customers represent the most direct and valuable resource for firms’ innovation activities.
Moderating role of social media capabilityThe analysis reveals that SMP positively moderates the relationships between all three forms of TK and FIP. Conversely, the moderating effect of SMA is more selective: it significantly strengthens only the relationship between social TK and FIP (H8c), while its effects on cognitive TK (H8a) and skill-based TK (H8b) are not significant. This highlights the distinct roles of these two capabilities: (i) proficiency, which entails deep analysis and (ii) systematic integration, is crucial for processing and absorbing all knowledge types. Agility, characterized by rapid response and adaptation, is particularly suited to capturing and leveraging the fleeting market sentiments and emergent trends embedded in social TK. For cognitive and skill-based TK—which require deeper digestion—systematic mastery appears more critical than rapid response.
Furthermore, mediation tests confirmed multiple pathways through which VSC influences FIP via TK. Significant indirect effects are found for: “network embeddedness → cognitive TK → FIP,” “network embeddedness → social TK → FIP,” “digital trust → social TK → FIP,” and all three paths through “shared cognition → each TK dimension → FIP.”
Theoretical contributionsFirst, this study enriches the dimensional classification of TK and advances research on its impact on FIP. While prior studies often treat TK as a unitary construct or bifurcate it into cognitive and skill-based dimensions (Nonaka & Toyama, 2003; Venkitachalam & Busch, 2012; Natek & Lesjak, 2021), we—inspired by the social nature of customer interaction emphasized by Benitez et al. (2018) and the foundational work of Insch et al. (2008)—introduce a third dimension: social TK. By analyzing how cognitive, skill-based, and social TK distinctly influence FIP, this study refines the TK construct and enhances its explanatory power in VBCs settings.
Second, this study extends the application of social capital theory to explain individual TK contribution, thereby promoting the theory’s development. While existing literature frequently applies social capital theory to explain general knowledge contribution (e.g., Yan et al., 2019; Wang et al., 2022), few studies explore how VSC influences FIP through TK. By examining the effects of three VSC dimensions on TK, this study expands the scope of social capital theory into the domain of individual tacit knowledge contribution in digital environments.
Finally, this study unpacks the “black box” of SMC, enriching related research on its effect on FIP. Moving beyond broad constructs such as social media orientation, we focus specifically on the VBCs context and propose a differentiated moderating role for SMP and SMA in the TK–FIP relationship. By articulating and testing these distinct moderating effects, this study offers a more nuanced understanding of how social media capabilities shape innovation outcomes.
Practical implicationsCreate a positive and interactive community environment. This study finds that network embeddedness is conducive to promoting customers’ contribution of cognitive TK and social TK. Network embeddedness can help customers share more TK allowing firms to apply more key technologies, thus improving the FIP. Therefore, in addition to sufficient customers in the VBCs, a wide range of interactive connections should exist. It allows customers with similar experiences to deepen the effectiveness of interactions and increase stability among members, which can lead to the formation of self-sufficient communities. Specifically, firms can create a positive social interaction environment for customers in the VBCs and use big data analysis tools to recommend social circles, boards, discussion groups, etc., that customers are interested in to promote interaction among customers. Additionally, VBC managers can organize offline activities regularly to enable customers to communicate face-to-face and increase trust and interaction between customers.
Establish a digital trust mechanism to enhance customer trust. This study finds that digital trust can encourage customers to contribute to social TK. Through the interaction between the VBCs and the customers, the firm establishes a digital trust mechanism between the VBCs and the customers so that the customers in the VBCs can build confidence, and the firm encourages their sincere feedback to improve the information quality. Explicitly, the firm can refer to the academic virtual community and establish a reputation system in the VBCs, through which customers can highlight their status and rank in the VBCs and obtain the evaluation of other customers. Customers’ reputation value or rank will affect the trust level of different customers. Conversely, the willingness of customers to disclose their information and knowledge in the VBCs is based on their trust in the VBCs, and such information disclosure is conducive to creating a trust atmosphere in the VBCs. However, the disclosure of customer information also has the risk of privacy disclosure to a certain extent. Therefore, firms must ensure the privacy of every customer in the VBCs. Regarding this, companies can establish VBCs allowing only friends who follow each other to view each other’s specific information and punish those who leak customer information.
Cultivate customers’ sharing cognition. This study finds that sharing cognition can promote customers’ contribution of cognitive TK, skill-based TK, and social TK. This finding suggests that sharing cognition is essential in promoting the three types of TK customers contribute. Different types of customers pay distinct attention to and like different products. The firm can build different product sections in the community according to their product types and gather customers with the same hobbies, which is more conducive to exchanging brand emotion and product knowledge. Additionally, community managers can use their own brand words, such as “pollen” (Huawei users), “fruit fans” (Apple users), “rice fans” (Xiaomi users), to give customers a sense of brand belonging. Additionally, community managers can also regularly publish discussion posts about products, brands, technologies, and other topics in the VBCs, such as soliciting new product features, product design, advertising slogans, brand spokespeople, in the discussion to reach a consensus, and then enhance customers’ sharing vision for the firm or brand.
Hire professionals to manage the community and establish TK sharing mechanisms. The results show that customers share the more TK in VBCs, the more helpful it is to FIP. TK is a tacit resource of organizational creativity and innovation ability. Therefore, promoting the sharing of important information and key knowledge in the interaction process of VBCs customers has become the primary source of firm competitiveness, and the formation of TK is conducive to firm innovation. Companies should strategically hire dedicated personnel to manage VBCs, engage in open dialogue with community members, review important opinions related to the FIP, and archive relevant information to form essential projects for the company. Simultaneously, firms should establish a “mechanism” to acquire the collective wisdom and skills formed in the interaction process of VBCs customers, that is, a high-quality TK sharing mechanism. Additionally, in the continuous accumulation of TK contributed by customers, firms should also create a corresponding knowledge base to save TK and further improve the FIP.
Enhance corporate SMP and SMA. This study finds that SMP positively moderates cognitive TK, skill-based TK, social TK, and FIP. Conversely, SMA only has a positive moderating effect on social TK and FIP. Firms should develop scientific and feasible social media planning according to their needs and external environment. Firms should also implement the training of VBC managers to improve their application level of social media so that they can have a higher proficiency in using social media and use social media flexibly in special situations, which is more conducive to improving the FIP. Additionally, firms should strengthen their SMC regarding technology and hardware equipment by introducing 5G technology, big data analysis tools, artificial intelligence.
Limitations and future studyThis study has some limitations, based on which future research directions are proposed. The research objects are all Chinese firms, and causing a lack of investigation of related firms in other countries; therefore, the universality of the research results must be further discussed. Furthermore, this study examines the moderating effect of SMC from the two aspects of SMP and agility, mainly from management’s perspective. In the future, the influence of SMC on FIP can be discussed from the perspective of big data, artificial intelligence, and other technologies.
ConclusionsBased on social capital theory, this study examines how VSC enhances FIP through the mediating role of TK and further investigates the moderating effect of SMC. The findings not only deepen our understanding of the mechanism through which TK influences FIP from a VSC perspective but also enhance our knowledge of the boundary conditions of SMC.
This study’s main theoretical contributions are threefold. First, it extends the classification of TK by identifying and incorporating social TK as a distinct dimension suited to digital interaction contexts, specifically within VBCs, thus enriching the literature on knowledge management and innovation. Second, it expands social capital theory by applying it to the virtual environment and illustrating how VSC functions through digital mechanisms, including network embeddedness, digital trust, and shared cognition, to facilitate TK transmission and improve FIP. Third, the study unpacks the black box of SMC by distinguishing and testing the moderating roles of social media proficiency and social media agility, offering a more nuanced understanding of how technological capabilities enhance knowledge conversion into innovation.
On the practical side, this research provides actionable insights for firms seeking to leverage VBCs for innovation. It highlights the importance of fostering interactive community environments, establishing digital trust mechanisms, and cultivating sharing cognition among customers. Moreover, it suggests that firms should strengthen both dimensions of SMC, which are proficiency and agility, and develop structured mechanisms for acquiring, storing, and utilizing TK contributed by community members.
We hope this study encourages further cross-level research on innovation in virtual settings. Future studies could validate and extend our findings by incorporating multi-country samples and exploring the role of emerging technologies, such as AI and big data analytics, in shaping SMC and knowledge governance mechanisms.
FundingSupported by the National Natural Science Foundation of China, Project No. 72374067.
CRediT authorship contribution statementJian Zheng: Writing – review & editing, Writing – original draft, Conceptualization. Xiaocui Li: Writing – review & editing, Conceptualization. Fen Wang: Data curation, Conceptualization. Cheng Wang: Methodology. Yingzhen Chen: Software, Funding acquisition.
Survey items and confirmatory factor analysis results.
Note(s): Cronbach’s α, Cronbach’s alpha; CR, composite reliability; AVE, average variance extracted; Italics indicate that the load is too low, and its corresponding item is removed in the study.














