Several constructs reflect features of everyday emotional experience that have been theorized to support mental well-being at the between-person level. These include emotional granularity (the ability to identify and label emotions precisely), emotion covariation (the ability to experience positive and negative emotions simultaneously), and emodiversity (the ability to experience a variety and relative abundance of emotions over time). Emerging evidence suggests that these qualities of everyday emotional experience may reflect abilities or skills that could be modified over time. This study examines whether repeated emotion reporting through experience sampling is associated with changes in these features of emotional complexity over time and whether any such changes co-occur with corresponding changes in mental health symptoms. Participants (N = 123) from the general public reported their current emotions multiple times a day for 6 weeks alongside biweekly assessments of self-reported alexithymia and depression, anxiety, and somatic symptom severity. Data were collected between 2022–2023. We found that participants’ emotional granularity and emotion covariation significantly increased while their emodiversity decreased over time. Moreover, increases in emotional granularity corresponded with concurrent decreases in alexithymia and depression symptoms while decreases in negative emodiversity corresponded with lesser alexithymia and anxiety and depression symptoms. Findings support past demonstrations that experience sampling of emotional experience itself can serve as an intervention to promote changes in emotional granularity, emotion covariation, and emodiversity. The findings also offer initial evidence that changes in these constructs over time are associated with concurrent within-person fluctuations in mental health symptoms.
Individuals vary widely in how they experience their emotions in their daily lives. While some people use broad and general terms to capture how they feel, others use more precise language. Likewise, some individuals may experience a wide range of emotions in their daily life while others may only experience a few. These differences in how people experience and report on their everyday emotions can be broadly characterized as features of emotional complexity, a construct that encompasses a range of phenomena related to experiencing multiple nuanced emotions (Berrios, 2019; Grühn et al., 2013; for reviews see, Lindquist & Barrett, 2008; Hoemann et al., 2021b).
At a broad level, greater emotional complexity is theorized to be beneficial for well-being (Grühn et al., 2013; Jacobson et al., 2023; for reviews see, Hoemann et al., 2021b; Lindquist & Barrett, 2008). However, most of the empirical work linking features of emotional complexity to improved mental health and well-being has been conducted at the between-subjects level (e.g., Demiralp et al., 2012; Kashdan & Farmer, 2014; Quoidbach et al., 2014; Werner-Seidler et al., 2020; for a review see, Smidt & Suvak, 2015; for a meta-analyses see, O’Toole et al., 2020). Here, we examine the extent to which features of emotional complexity change over time with repeated measurement and how such changes map on to concurrent changes in mental health symptom severity.
In the present study, we focus on three specific features of emotional complexity: emotional granularity (the ability to identify and precisely label one’s emotions; Barrett, 2004; Barrett et al., 2001; for a review see, Smidt & Suvak, 2015), emotion covariation (the extent to which individuals experience differently-valenced emotions simultaneously; Carstensen et al, 2000; Grühn et al., 2013), and emodiversity (the extent to which an individual experiences a variety and relative abundance of emotions over time; Quoidbach et al., 2014). We focus on these three features of emotional complexity because they are measured via experience sampling as opposed to retrospective self-report and so more directly reflect differences in patterns of emotional experience throughout daily life (as opposed to beliefs about such patterns). They also reflect differences in how people experience and report distinct emotions, while other intraindividual variability constructs linked to mental health and well-being have focused on more general affective feelings (e.g., Helmich et al., 2022), such as affective instability (e.g., mean square successive difference; Trull et al., 2008), and affective variability (e.g., standard deviation of affect; Ebner-Priemer et al., 2009).
Associations with mental healthResearch suggests that poorer negative emotional granularity, where individuals struggle to identify and label their negative emotions precisely, is generally linked to a range of mental health challenges (Erbas et al., 2014; Kashdan et al., 2010, 2015; Kring et al., 2003; Suvak et al., 2011; see Smidt & Suvak, 2015 for review; see O’Toole et al., 2020; Seah & Coifman, 2022 for meta-analysis) including increased depression (Barrett et al., 2001; Demiralp et al., 2012; Erbas et al., 2014; Starr et al., 2017; Willroth et al., 2020) and anxiety symptom severity (Kashdan & Farmer, 2014). However, positive emotional granularity is less consistently linked to deficits in psychosocial functioning: while some studies find that it is related to improved well-being (Selby et al., 2014; Starr et al., 2017; for a review see, Tugade et al., 2004), others find no relationship (Barrett et al., 2001; Demiralp et al., 2012). While the vast majority of this work has been at the between-subjects level, one study did demonstrate that within-person changes in both negative and positive emotional granularity were associated with concurrent changes in well-being, such that lower momentary emotional granularity was associated with experiencing more positive emotion and self-esteem as well as less negative emotion, stress, and rumination in the same moment (Erbas et al., 2013).
Several studies have also demonstrated that emotional granularity is negatively associated with alexithymia (for a meta-analysis, see Lee et al., 2022), a subclinical construct characterized by difficulties with emotional awareness and expression (for reviews see, Bagby et al., 2020; Taylor et al., 1991). Individuals high in alexithymia have difficulty identifying, describing, and understanding their own emotions, and may confuse emotional experiences with bodily sensations. Heightened alexithymia is associated with a variety of psychological disorders (for a review see, Hogeveen & Grafman, 2021), suggesting impairments in emotional granularity may also be present in the variety of psychological disorders for which alexithymia is a common symptom, including depression, anxiety, and psychosomatic disorders (Bankier et al., 2001; Preece et al., 2024; for a review see, Taylor et al., 1991).
Emotion covariation, also known as emotion dialecticism (Grossman et al, 2016), is the extent to which individuals experience positive and negative emotions simultaneously (Carstensen et al., 2000; Grühn et al., 2013). Emotion covariation has been demonstrated to be associated with greater resilience (Ong et al., 2006; Pitzer & Bergeman, 2014), relatively good physical health (Hershfield et al., 2013), less psychological distress (Bodner et al., 2015), and lower neuroticism (Ready et al., 2012). Having lower emotion covariation has also been associated with increased alexithymia (Aaron et al., 2018). However, other work has found emotion covariation was unrelated or inversely related to measures of adaptive functioning, such as life satisfaction, reduced depression symptoms, trait positive affect, and psychological well-being (Grühn et al., 2013).
Emodiversity, or the number of different emotions experienced (richness) and the relative proportion of experiences of these emotions (evenness) over time, has also been proposed as a predictor of mental health (Quoidbach et al., 2014). Initial work suggested that lower emodiversity is related to decreased depression symptom severity in the general population (Quoidbach et al., 2014), but subsequent findings have been inconsistent. Recent studies found null associations between emodiversity and depression symptom severity in older adults (Banty, 2020) and college samples (Forster & Lougheed, 2025). Similarly, mixed findings emerge for the association between emodiversity and anxiety symptom severity: negative emodiversity has been linked to both higher (Urban-Wojcik et al., 2022) and lower (Forster & Lougheed, 2025) anxiety symptom severity, with other work findings no associations at all (Banty, 2020). These inconsistencies at the between-subjects level suggest that individual differences and/or the current context may play a role in how emodiversity relates to mental health (Benson et al., 2018; Forster & Lougheed, 2025; Urban-Wojcik et al., 2022; Werner-Seidler et al., 2020).
There is also reason to believe that individual differences in emotional granularity, emotion covariation, and emodiversity might also be associated with somatic disorders, which are defined by apparent psychological distress that manifests as reports of physical symptoms (for a review see, Kurlansik & Maffei, 2016). While there is a lack of direct empirical research mapping somatic symptom severity to these specific features of emotional complexity, studies have suggested that difficulties in emotional processing, such as alexithymia and emotion regulation (for a review see, De Gucht & Heiser, 2003; Waller & Scheidt, 2006) and reduced emotional awareness (Subic-Wrana et al., 2010), are related to amplified somatic symptoms.
Within-person variability in features of emotional complexityWhile the literature reviewed above suggests connections between mental health and features of emotional complexity, most of this work has focused on these constructs as individual differences, treating them as fairly stable or trait-like differences (for a review see, Smidt & Suvak, 2015; for discussion see Gohm & Clore, 2000; Hoemann et al., 2021b; Thompson et al., 2021). However, several of these same reviews have also highlighted how these qualities of everyday emotional experience may vary within people over time (Hoemann et al., 2021b) and have called for more explicit distinctions between state and trait forms of these constructs (Thompson et al., 2021). This perspective is supported by emerging empirical evidence that these features of emotional complexity may reflect abilities or skills that could be learned (Erbas et al., 2021; Hoemann et al., 2021a; Van Der Gucht et al., 2019; Widdershoven et al., 2019).
The focus on studying features of emotional complexity largely as individual differences leaves open questions about whether within-person changes in emotional granularity, emotion covariation, or emodiversity are related to concurrent changes in mental health symptom severity. Analyses at the between-subjects level could be missing important variance in both emotional experience and mental health symptoms at the within-subject level. Further, if there is significant within-person variability in these constructs over time and across contexts, it may help explain the mixed findings in the literature concerning their connections with mental health and well-being at the between-subjects level.
Experience sampling, the real-world capture of individuals’ current emotional experience via repeated surveys (for a review see, Larson & Csikszentmihalyi, 2014), provides an important method for assessing features of emotional complexity and their changes over time. Research also suggests that this method in and of itself may serve as an intervention (Kramer et al., 2014; Myin-Germeys et al., 2011; for review see, Trull & Ebner-Priemer, 2013) to improve some features of emotional complexity (Cameron et al., 2013; Hoemann et al., 2021a; Wilson-Mendenhall & Dunne, 2021). Researchers propose that prompting participants to intentionally reflect and report on their feelings repeatedly over time may lead them to become more aware of their emotional states and increase their mindfulness (Runyan et al., 2013). This increased awareness could in turn lead to gradual improvements in emotional granularity, emotion covariation, and emodiversity.
Indeed, emerging evidence has suggested that experience sampling leads to increases in emotional granularity (Erbas et al., 2018, 2021; Hoemann et al., 2021a; Tomko et al., 2015; Van Der Gucht et al., 2019; Widdershoven et al., 2019). For instance, a mindfulness-based experience sampling intervention led to improvements in positive and negative emotional granularity for over four months post-intervention (Van Der Gucht et al., 2019). Additionally, experience sampling in the absence of any other intervention has been shown to increase both positive and negative emotional granularity (Hoemann et al., 2021a), including among those with major depressive disorder (Widdershoven et al., 2019). A daily diary study also found that negative emodiversity increased with repeated sampling, but only when self-reflections were completed from a third-person perspective (Grossmann et al., 2021).
The present studyTaken together, the existing literature suggests that features of emotional complexity, including emotional granularity, emotion covariation, and emodiversity, may be related to mental health symptom severity and could potentially improve over time with repeated sampling of emotional experience throughout daily life. However, given the focus on between-subjects differences, it remains unclear whether improvements in emotional granularity, emotion covariation, or emodiversity correspond with concurrent changes in mental health symptom severity. Moreover, while past research suggests emotional granularity can be improved with experience sampling in the absence of any other intervention (Hoemann et al., 2021a), there is no evidence for changes over time with experience sampling for either emotion covariation or emodiversity. To our knowledge, this is the first study to examine within-person variability in all three features of emotional complexity simultaneously and their concurrent associations with alexithymia and mental health symptoms (including anxiety, depression, and somatic symptoms) across a six-week period.
MethodTransparency and opennessThis study was pre-registered (https://osf.io/c8jq2). Materials are available in the supplemental materials or are publicly available via the Open Science Framework (https://osf.io/86pft/). All data used in analyses in this paper are publicly available online (https://osf.io/7hxn5/?view_only=eac2d94331334d23ae7485db30de2db6).
Sample sizeThe sample size was determined to support mixed effects models assessing direct effects at the prompt level that are not relevant to the present analyses. Post-hoc sensitivity analyses conducted in G*Power (v3.1.9.7) suggest that a sample of our size (N = 123) should be appropriately powered (80 %) to detect small effects (Cohen’s f = 0.09) in one-way repeated measures ANOVAs comparing means across weeks in the study and zero-order correlations among variables as low as r = .25 (two-tailed α = .05).
ParticipantsParticipants (N=131) were recruited from the general public via flyers and social media advertisements in and around the University of New Hampshire in Durham, NH. Data were collected between 2022–2023. Eligible participants were 18 - 45 years old, with English as their first or primary language, and with their own personal smartphone and daily internet access. Given the demands of the current paradigm and the inclusion of stress and cardiovascular reactivity tasks (not discussed here), exclusion criteria for all participants included a current or recent (i.e., past 10 years) diagnosis of bipolar disorder or schizophrenia as well as several medical conditions and medications that would impact cardiovascular activity (for a detailed list, see https://osf.io/86pft/). Additionally, for the first N = 34 participants, exclusion criteria also included no current or recent (i.e., past 10 years) diagnosis of any psychiatric illness and current symptom severity below diagnostic cut-offs for depression (i.e., score < 10 on the Personal Health Questionnaire-8; Kroenke et al., 2009) and anxiety (i.e., score < 10 on the Generalized Anxiety Disorder-7; Spitzer et al., 2006). Sensitivity analyses suggest that controlling for the different exclusion criteria did not affect the findings and that all findings were consistent across those recruited under the different criteria (see https://osf.io/7hxn5/?view_only=eac2d94331334d23ae7485db30de2db6).
Ethical considerationsThis study was reviewed and approved by the University of New Hampshire Institutional Review Board (IRB-FY2022-110). All procedures were conducted in accordance with the ethical standards of the IRB and the Declaration of Helsinki. Participants provided written informed consent during their first session, prior to their participation. They were informed of their rights to withdraw from the study at any time and were assured of the confidentiality of their responses.
Participants were compensated for their time and effort, receiving up to $400 if they completed all phases of the study protocol, including $320 in remuneration and up to $80 in incentives to discourage attrition (i.e., for maintaining a response rate above 80 % to experience sampling prompts and completing the entire study protocol). Remuneration rates increased across the study period to motivate participants to complete the study. A breakdown of the overall compensation by study component and incentive type is available online (https://osf.io/86pft/).
ProcedureA complete and detailed list of all tasks and measures collected during each phase of the protocol is available online (https://osf.io/86pft/). Here we report only methods relevant to the present analyses.
Phase 1. In Phase 1 of the study, participants completed their first session in two parts. The first was an in-person session lasting 1 hour and a separate online session via Zoom lasting approximately 2.5 hours. During the first in-person portion of Phase 1, participants provided informed consent and then completed measures of peripheral physiological activity that are not relevant to the present investigation (for details, see https://osf.io/86pft/). After they completed the in-person tasks, participants were instructed on how to enroll in the experience sampling portion of the study (Phase 2). They were asked to download the LifeData app onto their smartphone, find and install the study protocol within the app, and complete a tutorial of an experience sampling prompt with the experimenter present to answer any questions.
Within the same week of this in-person session, participants completed the online portion of Phase 1 with an experimenter on Zoom where they were sent a link to a survey through the Zoom chat that included demographic questions and self-report questionnaires including depression, anxiety, and somatic symptoms, and alexithymia. Participants also completed a series of tasks that are not relevant to the present investigation.
Phase 2. Phase two entailed 6-weeks of an experience sampling protocol. The day following their initial in-person session, participants began receiving prompts on their smartphones and continued to receive prompts for the following 6 weeks (8 prompts per day, 5 days per week). At weeks two and four of the experience sampling protocol in Phase 2, participants also completed a 1-hour study protocol online over Zoom. The procedure for these sessions was similar to the online session completed during Phase 1, except participants completed fewer tasks (see https://osf.io/86pft/ for a detailed description). Compliance with the experience sampling protocol was also checked at these sessions, and participants who had responded to less than 50 % of the prompts over the prior two weeks were excused from the remainder of the study.
Phase 3. Following the completion of Phase 2, participants completed Phase 3 in two parts: a 1.5 hour long online study session via Zoom and a 1-hour long in-person study session. The procedure for these sessions was nearly identical to those of the sessions in Phase 1(see https://osf.io/86pft/ for a detailed description), and participants were debriefed at the end of Phase 3.
Experience sampling measuresParticipants completed a 6-week experience sampling protocol wherein they reported on their emotions at eight random times throughout their day (between 9 am and 9 pm) for 5 days each week using an app from LifeData, LLC. (www.lifedatacorp.com), which was downloaded onto participants’ personal smartphones. Thus, participants received a total of 240 surveys (40 per week). At the beginning of the protocol, participants chose which five days per week they wished to receive surveys and which two days they would not receive surveys, with the caveat that one of the chosen days had to be a weekend day. Participants received surveys on the same 5 days each week of the protocol. Participants received survey notifications like other phone notifications (e.g., text notifications). Participants had up to 15 min to respond to each notification. After the initial notification, they received up to four reminder notifications, spaced 3 min apart. They could ‘snooze’ the notification for 3 min at a time (up to 4 times total) or dismiss it entirely. If a participant did not respond to a survey notification within 15 min, it was considered missed and was no longer available for them to complete.
At each experience sampling prompt, participants rated how much they were currently experiencing each of 16 emotions (i.e., happy, excited, relaxed, focused, content, tired, neutral, sad, nervous, frustrated, stressed, annoyed, proud, grateful, angry, afraid). Because the focus of this investigation is on everyday emotional experiences, 12 of these emotion terms were selected based on their high frequency of use in a prior experience sampling study where participants freely generated emotions to describe their current feelings (Hoemann et al., 2020). Additionally, four high arousal emotions (two positive: grateful, proud; two negative: angry, afraid) were added because normatively high arousal states were otherwise not represented. Participants self-reported how much they were currently experiencing each emotion on a 5-point scale from 0 = “Not at all” to 4 = “Very Much.”
Following the emotion ratings, participants also answered several questions not of relevance to the current analysis, including information about who they were with and what they were doing, as well as their awareness of sensations from their body and a measure of impatience (for details, see https://osf.io/86pft/).
QuestionnairesDemographicsDemographic information was obtained from participants during their first online session, including participants’ age, gender identity (open-ended), race and ethnicity, education level, and whether English was their first or primary language.
AlexithymiaAlexithymia was assessed using the Toronto Alexithymia Scale (TAS; Bagby et al., 1986), which includes 20 statements that measure one’s tendency to experience a limited range of emotional experiences. Participants were asked to choose one response that best describes how each item applies to them. Examples of statements include “I am often confused about what emotion I am feeling,” “It is difficult for me to find the right words for my feelings,” and “I often don’t know why I am angry.” Participants rate these statements on a 5-point Likert-type scale where 1 = “strongly disagree” and 5 = “strongly agree.” Alexithymia was scored as the sum of responses (with five items reverse-scored), with higher values indicating greater impairment (Cronbach’s α: Time 1 = .80; Time 2 = .83; Time 3 = .84; Time 4 = .84; intraclass correlation coefficient (ICC) = .948, 95 % CI [.930, .962).
Anxiety symptom severityAnxiety symptom severity was assessed with the General Anxiety Disorder 7 (GAD-7; Spitzer et al., 2006), which includes 7 questions that measure the severity of anxiety symptoms. This survey is frequently used in the clinical diagnosis of generalized anxiety disorder, although it is not used for this purpose in the present study. The questionnaire asks participants to rate how often they have been bothered by 7 symptoms of general anxiety disorder over the past 2 weeks (e.g., “feeling nervous, anxious or on edge”; worrying too much about different things”), with responses rated on a 4-point scale from 0 = “not at all” to 3 = “nearly every day”. Anxiety symptom severity was scored as the sum of responses to the 7 items, with higher values indicating greater symptom severity and lower values indicating less symptom severity (Cronbach’s α: Time 1 = .82; Time 2 = .87; Time 3 = .84; Time 4 = .86; ICC = .891, 95 % CI [.597, .742]).
Depression symptom severityDepression symptom severity was assessed with the Personal Health Questionnaire 8 (PHQ-8; Kroenke et al., 2009), which includes 8 statements that measure the severity of depressive symptoms. This survey is frequently used in the clinical diagnosis of depressive disorders, although it is not used for this purpose in the present study. Participants are asked to rate how often they have been bothered by 8 symptoms of depressive disorder in the past two weeks. Examples of statements include “little interest or pleasure in doing things,” “feeling down, depressed, or hopeless,” and “trouble concentrating on things, such as reading the newspaper or watching television.” Participants are asked to rate these statements on a 4-point scale where 0 = “not at all,” 1 = “several days,” 2 = “more than half the days,” and 3 = “nearly every day.” Depression symptom severity was scored as the sum of responses to all 8 items, with higher values indicating more severe depressive symptoms and a lower score indicating less severe depressive symptoms (Cronbach’s α: Time 1 = .80; Time 2 = .77; Time 3 = .83; Time 4 = .81; ICC = .889, 95 % CI [.853, .919]).
Somatic symptom severitySomatic symptom severity was assessed with the Personal Health Questionnaire 15 (PHQ-15; Kroenke et al., 2002), which includes 15 statements that measure the severity of somatic symptoms. Participants are asked to rate how often they have been bothered by 15 somatic symptoms in the past four weeks. Examples of statements include “stomach pain,” “headaches,” and “feeling your heart pound or race.” Participants are asked to rate these statements on a 3-point scale where 0 = “not bothered at all,” 1 = “bothered a little,” and 2 = “bothered a lot.” Somatic symptom severity was scored as the sum of responses to all 15 items, with higher values indicating more severe somatic symptoms and a lower score indicating less severe somatic symptoms (Cronbach’s α: Time 1 = .72; Time 2 = .71; Time 3 = .71; Time 4 = .76; ICC = .896, 95 % CI [.861, .923]).
Deriving measures of emotional complexityWe derived five measures of emotional complexity: positive and negative emotional granularity, emotion covariation, and positive and negative emodiversity. These measures were calculated from experience sampling data (overall as well as separately by week of the protocol). For calculating these measures, emotion terms were classified as positively-valenced or negatively-valenced based on their normed valence rating from the Warriner et al., (2013) database. This resulted in seven positively-valenced emotions (i.e., happy, excited, relaxed, focused, content, proud, grateful) and eight negatively-valenced emotions (i.e., sad, nervous, frustrated, stressed, annoyed, angry, afraid, tired). Ratings of the term ‘neutral’ were not included in the calculations. Weekly and overall indices of emotional complexity were computed only from surveys with complete data.
Emotional granularityIntra-class correlation coefficients (ICC) were calculated from each participant’s emotion ratings separately for positive and negative emotion terms. Higher ICC values (higher consistency) indicate failure to discriminate between emotion terms. To create measures of emotional granularity, ICC values for positive and negative emotion terms were each Fisher Z-transformed and multiplied by -1. Higher values of these variables indicate greater emotional granularity (i.e., less consistency).
Emotion covariationEmotion covariation reflects the extent to which an individual experiences positive and negative affect independently. First, for each individual for each experience sampling survey, we averaged the seven positively-valenced emotion terms to create a measure of experienced positive affect and averaged the eight negatively-valenced emotion terms to create a measure of experienced negative affect. Emotion covariation was then calculated as the intraindividual correlation between positive and negative experienced affect across all experiences (Carstensen et al., 2000; Grühn et al., 2013; Reich et al., 2003). More negative values reflect stronger associations between experienced negative and positive valence, indicative of lesser emotion covariation, while higher correlations (closer to zero) indicate positive and negative affect are experienced more independently, indicative of greater emotion covariation.
EmodiversityEmodiversity represents the extent to which an individual experiences a diverse range of differing emotions over time (Quoidbach et al., 2014). We calculated emodiversity using a formula based on Shannon’s entropy (Shannon, 1948) as implemented in R Statistical Software (v4.3.2; R Core Team 2023) using the ‘vegan’ (v2.6.4; Oksanen et al., 2025) package. Specifically, for each participant for each of the eight negatively-valenced and seven positively-valenced emotion terms (not including neutral), the total number of times that emotion was reported as experienced (i.e., rated higher than 0 = “Not at all”) was divided by the total number of times any/all emotions of the same valence were reported as being experienced by that participant. This proportion was then multiplied by its natural log. This product was calculated for each of the 15 emotion terms separately, and then these values were summed, and the sum was multiplied by -1. Because the resulting values were negatively skewed, values were reflected and a reciprocal transformation was applied, consistent with best practices for addressing negative skew (Osborne, 2008). Lower values result when most of a person’s emotional experiences reflect only a few emotions, while higher values result when a person’s emotional experiences are more evenly spread across a larger number of emotions, indicative of greater emodiversity.
We elected to operationalize emodiversity using Shannon’s (1948) entropy formula because it reflects both evenness and richness components of diversity and is well-suited for our fixed-length adjectives list, providing bounded interpretable scores. However, it is worth noting that use of Shannon’s entropy metrics in emodiversity work has received some criticism (see Brown & Coyne, 2017) and other formulations of emodiversity exist, including the Gini coefficient (1912), which focuses on only the evenness component of emodiversity, and Simpson’s (1949) diversity index, which more heavily weights dominant categories.
AnalysisTo examine whether features of emotional complexity varied throughout the course of the study, we conducted a series of one-way repeated-measures analyses of variance (ANOVA) with week of the study as a repeated measure and each feature of emotional complexity as a dependent variable. Repeated-measures ANOVAs with measurement timepoint as the repeated measure were conducted to test for changes in mental health symptom severity over time. Greenhouse-Geisser corrections have been applied where Mauchly’s test indicated a violation of sphericity. Post-hoc paired comparisons used Fisher’s Least Significant Difference tests. To assess associations between features of emotional complexity and mental health at the between-subjects level, we conducted zero-order Pearson’s correlations among the features of emotional complexity when calculated from ratings across all 6-weeks and mental health variables when averaged across all 4 ratings during the study.
To assess within-person associations between features of emotional complexity and alexithymia and mental health symptom severity, we calculated each emotional complexity measure for each participant over each 2-week period of the study protocol (weeks 1–2, weeks 3–4, and weeks 5–6), giving us three measures of each construct for each participant. We aligned these values with the mental health symptom variables from Times 2, 3, and 4, respectively, such that measures of each feature of emotional complexity were calculated from the time period about which symptom severity was reported. We then conducted mixed-effects regression analyses, nesting time points within participants, predicting each mental health variable from each emotional complexity variable. For each mental health variable, baseline (Time 1) value was included as a covariate in all models. All analyses utilized continuous sampling models with a restricted maximum likelihood method of estimation for model parameters, and Satterthwaite’s method (Hrong-Tai et al., 1996) for approximating degrees of freedom. All models treated participants as random factors and predictor centering followed the recommendations of Enders and Tofighi (2007): all continuous Level-1 predictor variables (i.e., time-level variables) were centered around each participant’s own mean and all Level-2 variables (i.e., baseline mental health) were grand-mean centered. All variables were standardized prior to being entered into the models.
ResultsParticipants characteristicsOne hundred and thirty-one participants enrolled in the study. Out of the 131 participants, 3 were dismissed from the study due to lack of compliance with the study protocol (i.e., did not respond to at least 50 % of experience sampling prompts over 2 weeks), and 5 participants elected to withdraw from the study before finishing the protocol. These 8 participants were excluded from the present analyses as they lacked data for one or more full weeks of the protocol. Thus, the final analytic sample included 123 participants (see Figure S1 in supplemental materials for a participant flow chart).
The final analytic sample (N = 123) was aged 18 – 36 years (Mage = 20.71, SDage = 3.24). A majority of participants were non-Hispanic and White (78 %), with the remaining participants identifying as one or more of the following: Hispanic/Latino (2.4 %), East Asian (5.7 %), South Asian (3.3 %), multiracial (8.9 %), or preferred not to answer (1.6 %). Participants also primarily self-identified as female/woman (77.2 %), with 21.1 % identifying as male/man, and the remaining participants identifying as non-binary or gender fluid. Participants reported, on average, low to mild levels of baseline symptom severity across the domains. Participant demographics and baseline symptom severity descriptives are presented in Table 1.
Participant demographics and baseline symptom severity (N = 123).
The final analytic sample completed between 132 (55 %) and 237 (99 %) of the experience sampling surveys, with a sample average of 198.93 (83 %; SD = 24.47). A series of repeated measures ANOVAs were used to assess changes in the proportion of completed surveys, average time to respond to a survey notification (response time), and average time to complete an opened survey (completion time) over the 6 weeks of the experience sampling protocol. Completion time was log-transformed to address positive skew in the distribution of values. As seen in Table 2, the average proportion of completed prompts decreased, F(5610) = 22.70, p < .001; ηp2 = .157, over the course of the protocol by about 10 %, but remained high even in the final week (77 %). Additionally, there was an increase in the time taken to respond to the survey notifications, F(5610) = 28.81, p < .001; ηp2 = .191, from about 115 s (∼2 min) on average in week 1 to about 150 s (∼3 min) on average in week 6. However, the amount of time to complete the survey once opened did not change over time, F(5610) = 1.25, p = .286; ηp2 = .010, remaining at approximately 83 s. This pattern of results suggests engagement with the experience sampling surveys remained high across the study protocol.
Experience sampling compliance metrics.
Note. Cells report means with standard deviations in parentheses. N = 123.Changes in Features of Emotional Complexity Over Time
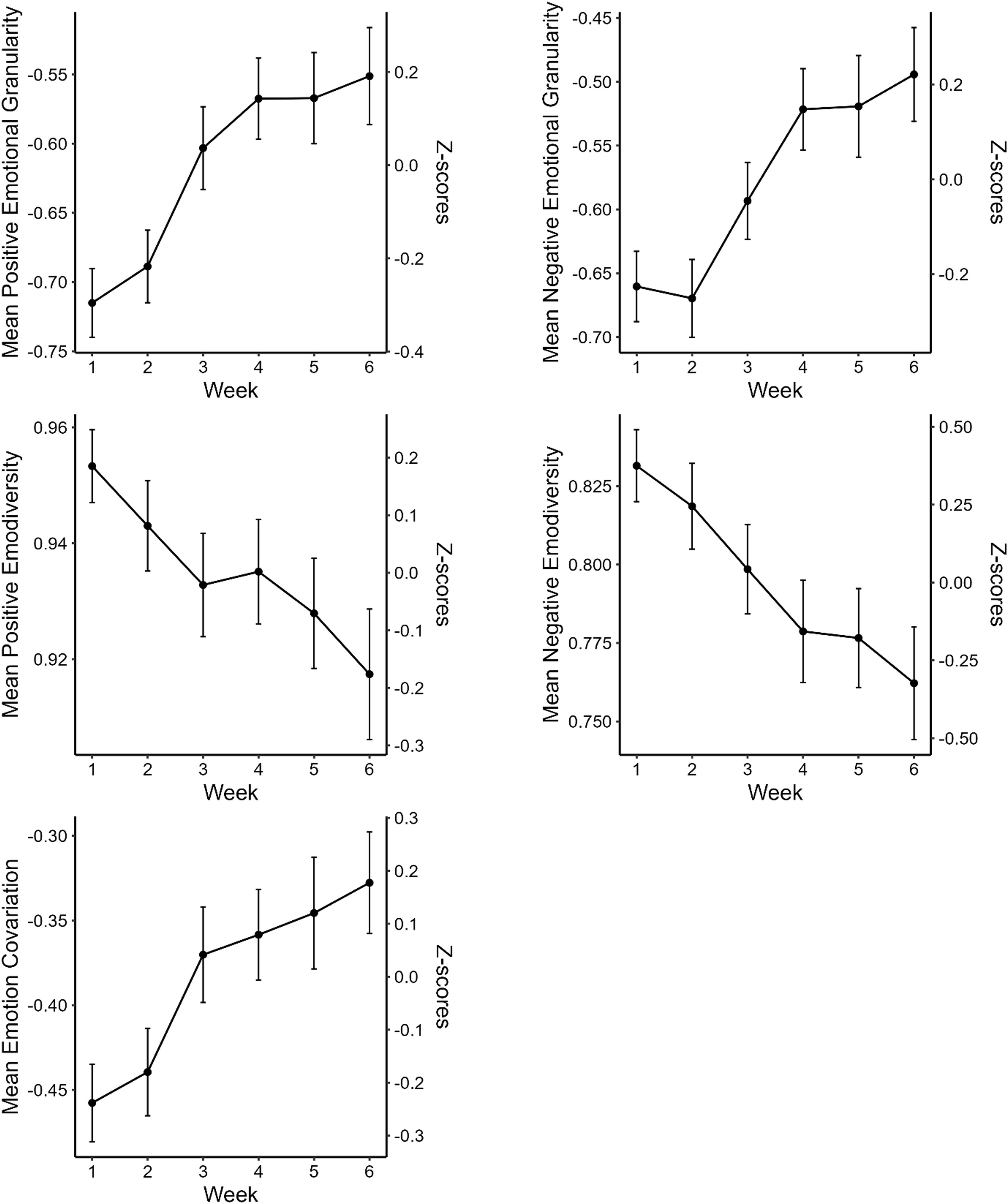
Fig. 1 shows mean changes in each variable by week and significant paired comparisons are reported in Table 3. The analyses revealed that positive emotional granularity significantly increased over time, F(4.098, 499.91) = 12.16, p < .001, ηp2 = .091, and was significantly higher in weeks 3, 4, 5, and 6 than in weeks 1 and 2. Similarly, negative emotional granularity significantly increased over time, F(3.95, 482.03) = 10.44, p < .001, ηp2 = .079, being significantly higher in week 6 than in weeks 4 and 5, and significantly higher in weeks 4 and 5 than in weeks 1, 2, and 3. Supplemental analyses indicated that the increase in emotional granularity over time did not differ significantly for positive compared to negative emotional granularity (see supplemental materials and Figure S2), and that a measure of global emotional granularity (calculated by averaging positive and negative emotional granularity) also increased significantly over time (see supplemental materials, Figure S3 and Table S1).
Features of emotional complexity by week of experience sampling.
Note: Cells report means with standard errors in parentheses. Superscripted numbers indicate the other time points (weeks) a given mean differs significantly from in post-hoc paired comparisons (p<.05). N = 123.
Emotion covariation also significantly increased over time, F(4.49, 547.31) = 5.76, p < .001, ηp2 = .045, including being significantly higher in weeks 3, 4, 5, and 6 than in weeks 1 and 2. Conversely, positive and negative emodiversity significantly decreased over time (positive: F(2.95, 360.03) = 9.74, p < .001, ηp2 = .074; negative: F(3.20, 390.76) = 14.61, p < .001, ηp2 = .107), with fairly consistent decreases across weeks of the study (see Fig. 1 and Table 3). Supplemental analyses indicated that the decrease in emodiversity over time was more pronounced for negative emodiversity than positive emodiversity (see supplemental materials and Figure S4), and that a measure of global emodiversity (calculated across all emotion terms, including neutral) also decreased significantly over time (see supplemental materials, Figure S5 and Table S1). Overall, emotional granularity and emotion covariation increased across the 6 weeks, whereas emodiversity decreased.
Supplemental growth curve modeling analyses were conducted using a multilevel modeling approach to examine growth trajectories across weeks of the study. These analyses revealed a significant quadratic trajectory for positive emotional granularity, indicating that the rate of growth increases and then decreases over time. All other variables exhibited significant linear change and were best fit by a linear growth model. However, analyses also revealed significant between-subjects variability in the growth trajectory for all 5 features of emotional complexity, suggesting that individuals differ in the rate of change they exhibit over time. Growth curve analyses are reported in more detail in the supplemental online materials (see Tables S2 to S6).
Changes in mental health over timeAs seen in Table 4, there were significant decreases over time in self-reported alexithymia, F(2.32, 21.83) = 10.19, p < .001, η2 = .08, and somatic symptom severity, F(3, 351) = 9.09, p < .001, η2 = .072, but no significant changes in depression symptom severity over time, F(3, 351) = .339, p = .797, η2 = .003. Additionally, while the omnibus ANOVA failed to reveal any significant changes in anxiety symptom severity over time, F(3, 351) = 2.39, p = .069, η2 = .02, paired comparisons indicated significant decreases in anxiety symptom severity at times 3 and 4 relative to time 1. However, the significant paired comparison should be interpreted with caution given the non-significant omnibus test. Overall, alexithymia and somatic symptom severity showed consistent improvement, whereas depression symptom severity remained stable and anxiety symptom severity showed potential small decreases over time.
Changes in mental health over time.
Note: Cells report means with standard errors in parentheses. ESM = experience sampling methodology. Superscripted numbers indicate the other time points a given mean differs significantly from in post-hoc paired comparisons (p < .05). N = 118.
As can be seen in Table 5, greater negative emodiversity was associated with significantly greater self-reported anxiety symptom severity at the between-subjects level, r(121) = .28, p = .002, 95 % CI [.011, .44], suggesting that individuals with more negative emodiversity throughout daily life reported more anxiety symptoms. In addition, greater emotion covariation was associated with lower depression symptom severity, r(121) = -.19, p = .034, 95 % CI [-.36, -.02], and somatic symptom severity, r(121) = -.19, p = .035, 95 % CI [-.36, -.01], suggesting that individuals with more emotion covariation experienced fewer depression and somatic symptoms. No other associations between features of emotional complexity and mental health were significant when treated as between-subjects variables, though several were in the predicted direction (e.g., lower symptom severity associated with greater emotional granularity). Multivariable analyses were not conducted given the lack of multiple significant associations. See supplemental online materials for between-subjects associations by 2-week segment of the protocol (Table S7-S9) and associations with global measures of emotional granularity and emodiversity (Table S10).
Between-subjects associations between individual difference variables and mental health.
Note: Cells report zero-order Pearson’s correlations (r), 95 % Confidence Intervals in square brackets, and exact p values. Significant associations are bolded and indicated with asterisks (*p<.05, **p<.01, ***p<.001). N = 123.
Given that we observed changes in both mental health symptoms and features of emotional complexity over time throughout the experience sampling protocol, we next examined whether changes in mental health symptom severity corresponded with concurrent changes in the features of emotional complexity. For each mental health variable, baseline (Time 1) value was included as a covariate in all models.
Emotional granularityAs can be seen in Table 6, changes in negative emotional granularity were negatively associated with concurrent changes in self-reported alexithymia, F(1, 140) = 4.55, p = .035, somatic symptom severity, F(1, 311) = 3.13, p = .078, depression symptom severity, F(1, 315) = 8.13, p = .005, and anxiety symptom severity, F(1, 172) = 1.69, p = .195, though this relationship only reached significance for alexithymia and depression symptom severity. As can be seen in Table 6, changes in positive emotional granularity were negatively associated with concurrent changes in self-reported alexithymia, F(1, 196) = 7.25, p = .008, somatic symptom severity, F(1, 286) = 0.62, p = .430, depression symptom severity, F(1, 361) = 5.04, p = .025, and anxiety symptom severity, F(1, 131) = 2.30, p = .132, although this relationship only reached significance for alexithymia and depression symptom severity. The same pattern of results and significance were found using a global measure of emotional granularity (see supplemental materials, Table S11). These findings suggest that during the time periods where participants had higher emotional granularity, they also reported lower depression symptom severity and less difficulty in identifying and describing their feelings, even after controlling for baseline levels of depression and alexithymia, respectively.
Associations between emotional granularity and mental health.
Note: Significant associations (p < .05) are bolded and marked with an asterisk (*). Cells report standardized coefficient estimates with 95 % confidence intervals in the square brackets.
Emotion Covariation. As shown in Table 7, changes in emotion covariation were not significantly associated with concurrent changes in self-reported alexithymia, F(1104) = 3.13, p = .080, somatic symptom severity, F(1,63) = 1.36, p = .247, depression symptom severity, F(1176) = 0.19, p = .660, or anxiety symptom severity, F(1143) = 0.20, p = .655.
Associations between emotion covariation and mental health.
Note: Significant associations (p < .05) are bolded and marked with an asterisk (*). Cells report standardized coefficient estimates with 95 % confidence intervals in the square brackets.
Emodiversity. As shown in Table 8, changes in negative emodiversity were positively associated with concurrent changes in alexithymia, F(1, 324) = 12.88, p<.001, somatic symptom severity, F(1, 361) = 2.37, p =.124, depression symptom severity, F(1, 361) = 3.92, p = .049, and anxiety symptom severity, F(1, 361) = 4.22, p =.041, though this association failed to reach significance for somatic symptom severity. As shown in Table 8, changes in positive emodiversity were also significantly positively associated with concurrent changes in self-reported alexithymia, F(1329) = 7.07, p = .008, but changes in positive emodiversity were not associated with concurrent changes in somatic symptom severity, F(1, 361) = 0.35, p = .557, depression symptom severity, F(1137) = 1.45, p = .231, or anxiety symptom severity F(1, 97) = 0.19, p = .661. Analyses using a measure of global emodiversity also revealed a significant positive association with alexithymia, though not with somatic, anxiety, or depression symptom severity (see supplemental materials, Table S12). These findings suggest that during the time periods where participants had greater positive, negative, or global emodiversity, they reported more difficulty in identifying and describing their feelings, even after controlling for baseline levels of alexithymia. Moreover, at time periods where participants had higher negative emodiversity specifically, they reported greater anxiety and depression symptom severity, even after controlling for baseline levels of anxiety and depression.
Associations between emodiversity and mental health.
Note: Significant associations (p < .05) are bolded and marked with an asterisk (*). Cells report standardized coefficient estimates with 95 % confidence intervals in the square brackets.
Over a 6-week experience sampling protocol, we observed distinct within-person changes over time in features of emotional complexity, including increases in both positive and negative emotional granularity and emotion covariation, as well as decreases in both positive and negative emodiversity. That is, repeated reporting of one’s emotional experiences appears to be associated with experiencing more specific and complex emotional experiences over time, but also a narrower set of different emotions. Critically, these changes co-occurred with improvements in mental health symptom severity and reductions in self-reported alexithymia, demonstrating that these facets of emotional complexity are malleable, can be shaped by emotional reporting, and are associated with improved mental health. While the existing literature has found between-subjects associations between these features of emotional complexity and mental health, such studies cannot rule out potential contributions of other individual differences to these associations, and they do not provide evidence that changes in these features of emotional complexity are associated with changes in mental well-being. By demonstrating that changes in emotional granularity and emodiversity covary with changes in mental health symptoms within individuals, the present study extends prior research by revealing within-person associations not observable at the between-persons level, and in so doing, offers novel evidence concerning the viability of altering such features of emotional complexity as an intervention to improve mental health.
Changes in features of emotional complexityOur finding that emotional granularity increased over time throughout an experience sampling protocol is consistent with past research showing that emotional granularity fluctuates within individuals at the momentary level (Erbas et al., 2021) and increases over time in intensive experience sampling studies, encompassing both clinically depressed populations (Widdershoven et al., 2019) and non-clinical populations (Hoemann et al., 2021a). Such findings are also consistent with theorizing that reflecting on emotional experiences can increase emotional granularity (for a review see, Wilson-Mendenhall & Dunne, 2021). Experience sampling, which prompts participants to repeatedly report their emotional experiences, may help participants reflect on their emotions, which may promote mindfulness or self-awareness by directing their attention to the specific emotions they are experiencing, rather than generalizing their feelings. Notably, Hoemann et al. (2021a) used an enhanced experience sampling protocol that involved not only asking participants to report on their feelings throughout the day but prompted those reports when participants had a notable change in their continuously monitored ambulatory peripheral physiology that was not associated with movement or posture change. These biologically-triggered experience sampling reports were coupled with end-of-day diaries in which the participant provided more in-depth reflection on the day’s emotional experience reports. Our findings suggest that these more intensive aspects of the prior work may not be necessary to observe increases in emotional granularity. Rather, the mere act of reporting one’s feelings multiple times throughout the day may be enough to promote increases in emotional granularity.
This study also provides the first evidence that emotion covariation changes within individuals with repeated sampling of emotional experience. While a previous review examined work suggesting that emotional covariation may vary not just between but within individuals (Ong et al., 2017), studies demonstrating change over time in response to interventions are lacking. Our findings indicate that as individuals reflect on their emotional experience across experience samples, they come to experience normatively positive emotions and normatively negative emotions more independently over time, rather than as opposite ends of a single dimension.
In contrast to the increases observed in emotional granularity and emotion covariation, positive and negative emodiversity decreased steadily over the 6-week experience sampling protocol. These findings are somewhat inconsistent with previous work which found no impact of an emotion knowledge intervention on emodiversity (Verspeek, 2022); this discrepancy in findings may suggest that passively learning about emotions has less of an impact on the breadth of one’s emotional experiences in daily life than actively reporting on one’s emotions in real-time. Our findings are also inconsistent with past work that found increases in negative emodiversity during a daily diary study, but only following an intervention where participants reflected on their emotions from a third-person perspective (Grossmann et al., 2021). Reflecting on emotion in the third person involves adopting psychological distance and an outside point of view, which has been shown to reduce emotional reactivity (e.g., Park et al., 2016; for a review see, Kross & Ayduk, 2017). Future research could examine whether psychological distance or reduced emotional reactivity impacts how reflecting and reporting on emotional experiences influences the variety and relative abundance of different emotions one reports feeling over time.
The observed decreases in emodiversity throughout our protocol reflect individuals experiencing a smaller range of positive and negative emotional experiences over time and a more uneven distribution of those they do report experiencing. One possible explanation for the decrease in emodiversity over the course of the study is that the experience sampling method may encourage participants to focus on a smaller set of emotions over time. As the response options become more familiar and less novel, participants may adopt streamlined or ‘go to’ responses concerning the emotion categories they rate. Indeed, while some researchers suggest that experience sampling can lead to increased self-awareness and more deliberate emotional reports over time (Brandstätter, 1983), others have argued that people might simply use the same responses habitually across time as indicated by increased stability in ratings (for a review see, Scollon et al., 2003). It is difficult to disentangle whether these patterns reflect a genuine increase in self-awareness or habitual responding (for a review see, Hormuth, 1986), but we do not see any evidence of decreased time taken to complete surveys over the course of our study, which would be expected if participants were simply responding habitually. Instead, we speculate that participants may initially sample from a larger variety of the listed emotions as they attempt to put their feelings into words but then become more selective with their ratings as they get a better sense of which emotion constructs do and do not apply to their experiences. In future work, asking participants to self-generate emotion words to describe how they feel instead of having them rate a standard set of emotion terms, as has been done in prior work (e.g., Hoemann et al., 2021a), may help disentangle whether patterns reflect within-person changes in features of emotional complexity versus habitual responding.
Interestingly, both emotional granularity and emotion covariation increased significantly until about the third or fourth week of the protocol after which point they seemed to plateau on average. This pattern of findings suggests that shorter experience sampling protocols may be sufficient to elicit improvements in these two features of emotional complexity. This offers several pragmatic advantages for researchers interested in using experience sampling as an intervention technique, including a reduction in the personnel and other financial costs associated with running such a protocol. Shorter protocols also alleviate participant burden, and prior work has shown that data quality of experience sampling reports declines after 2–4 weeks (for a review see, Stone et al., 1991).
Changes in mental health symptom severitySeveral aspects of mental health also improved on average over time with repeated reporting of emotional experiences. For instance, somatic symptom severity and alexithymia decreased significantly from baseline over the course of the study, and anxiety symptoms showed significant decreases in the later weeks of the protocol compared to baseline symptom severity, though in the absence of a significant omnibus test of change over time. However, it should be noted that, although between-subjects reliability of the measures over time was good (i.e., ICCs ranging from .89 to .95) and Cronbach’s alphas indicated good internal consistency for the measures at each time point, formal tests of longitudinal measurement invariance were not conducted. Therefore, it is possible that mean differences reflect changes in how participants interpreted or related to scale items over time as opposed to true mean differences in the underlying construct. Comparisons of means over time for these self-report measures should be interpreted with this caveat in mind.
We did not observe any changes in depression symptom severity on average over time. This is consistent with other research that found that reporting feelings through experience sampling led to no significant changes in depression symptoms at a 6-month follow-up (Kramer et al., 2014). However, there was a decrease in depression symptoms at a 6-month follow-up when participants completed the same experience sampling protocol but were also provided summaries of their positive affect during weekly in-person feedback sessions. This suggests that simply reporting emotions is not associated with a decrease in depression symptoms, but summaries of personalized patterns of emotion reporting could provide deeper insight and lead to reductions in depressive symptom severity.
Our findings complement the substantial body of work on monitoring mental health symptom severity through experience sampling (e.g., Schoevers et al., 2021; Weermeijer et al., 2023; for a review see, Myin-Germeys et al., 2018;), as well as using personalized feedback on symptom reporting through experience sampling as an intervention (for reviews see Loo Gee et al., 2016; Myin-Germeys et al., 2024; Walz et al., 2014). Our findings suggest that, in addition to being a useful tool for monitoring mental health, repeated reporting of daily-life emotional experiences on its own may also be associated with improvements in some aspects of mental health, including anxiety and somatic symptoms.
Within-Person associations in features of emotional complexity and mental healthNotably, our findings suggest that improvements in mental well-being were associated with concurrent changes in features of emotional complexity . While the correlational nature of the study precludes definitive conclusions about causality, these findings are consistent with the idea that experience sampling can influence features of emotional complexity, which may then relate to changes in mental health outcomes. For instance, when participants exhibited higher emotional granularity, they also reported decreased alexithymia and depression symptom severity over the same period. This is consistent with past between-subjects research showing that higher emotional granularity is associated with reduced alexithymia (for review see, Lee et al., 2022) and depressive symptoms (e.g., Starr et al., 2017; Willroth et al., 2020). These findings underscore the potential benefits of interventions aimed at promoting emotional granularity through experience sampling or other forms of repeated emotional experience reporting, showing that within-person increases in emotional granularity are associated with improvements in mental health.
We also observed that within-person changes in emotion covariation did not correspond with changes in mental health symptom severity or alexithymia. This suggests that within-person changes in how independently people experience their positive and negative emotions may not be as beneficial for mental health as the specificity with which they identify their emotions or the range of different emotions they experience. Past research has generally conceptualized emotion covariation as beneficial for mental health (for review see, Lindquist & Barrett, 2008), but one study found it was not related to various well-being measures (Grühn et al., 2013). One possibility is that the association between emotion covariation and well-being depends on situational factors that are not captured in our study. In some contexts, experiencing predominantly only positive or only negative emotions may be beneficial for different action goals, such as when celebrating a victory or evading a predator. In other situations, experiencing both positive and negative emotions may be adaptive, such as during a major life transition. Future research should explore this possibility by examining whether the association between emotion covariation and situational demands is related to mental well-being.
Lastly, emodiversity covaried significantly with several mental health measures throughout the course of our study. Specifically, higher negative emodiversity was related to increased anxiety and depression symptom severity and both negative and positive emodiversity were associated with increased alexithymia. These findings suggest that periods when individuals are experiencing a wider variety of negative emotions correspond with greater anxiety and depression symptom severity as well as greater self-reported difficulty in describing and identifying their feelings. This is somewhat inconsistent with prior work showing that emodiversity at the between-subjects level was associated with better mental and physical health (Quoidbach et al., 2014). However, emerging evidence suggests that higher negative emodiversity may not always be adaptive. For instance, clinically depressed individuals reported greater emodiversity compared to non-depressed individuals (Werner-Seidler et al., 2020), and individuals with post-traumatic stress disorder exhibited elevated levels of negative emodiversity compared to individuals with no history of post-traumatic stress disorder (Clifford et al., 2020). Speculatively, our findings may suggest that within-person increases in emodiversity, particularly for negative emotions, reflect periods of heightened emotional instability or stress (for a discussion see, Urban-Wojcik et al., 2022). Supporting this possibility, past work has linked greater fluctuations in negative emodiversity from day to day with higher stressor exposure, more physical health symptoms, and greater neuroticism (Liu et al., 2018). These findings raise important questions about the nature of the relationship between emodiversity and well-being at the between- and within-subjects levels.
Limitations and constraints on generalityOur study used a community sample of healthy young adults that is limited in its racial, age, and gender diversity which poses limitations on generalizability as these demographic factors can influence both mental health prevalence and features of emotional complexity. For example, mood disorder prevalence rates vary by race (e.g., Rudenstine & Espinosa, 2018; Watkins et al., 2015) and gender (for reviews see McLean & Anderson, 2009; Noble, 2005), and features of emotional complexity vary by age (Benson et al., 2018; Scott et al., 2015) and gender (Mankus et al., 2016). Emotional complexity has also been found to differ across cultures (Grossmann et al., 2016), reflecting differences in the ways emotions are experienced and reported cross-culturally. Given these demographic differences, it would be important to replicate our findings in a sample more representative of the general population. Our intensive experience sampling protocol may have also led to biased sampling of highly motivated, or well-resourced individuals, further limiting generalizability.
Moreover, because participants pre-selected their response days for experience sampling, it is possible that certain types of days (e.g., typically stressful weekdays) were avoided and thus are underrepresented in our data, which could introduce bias. Additionally, our design was observational and does not permit causal conclusions about how changes in features of emotional complexity relate to mental health. Future research should prioritize designs that support casual influence, such as experimental or longitudinal interventions. Relatedly, while we controlled for baseline symptom severity in our models, we did not control for time-varying covariates that may serve as potential confounders or moderators of the observed associations. Future work should purposefully assess and control for time-varying covariates (e.g., momentary affect intensity, life events, current activity) to examine their potential contributions.
The lack of a control group also limits our ability to rule out any cohort or contextual effects as alternative explanations for observed changes over time. However, since participants completed experience sampling over overlapping 6-week periods spanning more than a year, it is unlikely that any single external event systematically influenced the entire sample. Finally, we selected two-week intervals to examine changes in features of emotion complexity to be consistent with the time frame that mental health symptoms are commonly reported. However, features of emotional complexity may fluctuate over different timescales, including at the daily or momentary level, and changes may be context dependent. Future research should examine these features of emotional complexity across varying timescales.
Taken together, our findings suggest that individuals asked to report on their emotional experiences multiple times per day over time report more specific and affectively complex emotional experiences but also report experiencing a narrower range of positive and negative emotions. We also observed concurrent decreases in alexithymia, anxiety symptom severity, and somatic symptom severity across the weeks of the study protocol and found that within-person changes in the granularity and diversity of emotional experiences covaried with changes in alexithymia and depression symptom severity. However, within-person changes in emotion covariation were not associated with changes in mental health and alexithymia symptoms. These findings underscore the importance of examining within-person fluctuations in features of emotional complexity as meaningful for understanding how these constructs relate to mental health and well-being. By demonstrating the malleability of these features of emotional complexity and their covariation with mental health measures, this study lays an important foundation for future work aimed at improving well-being through interventions targeting changes in everyday emotional experiences.
Author noteThe present research was supported by funding from the U.S. Army Research Institute for the Behavioral and Social Sciences (W911NF-16-1-019) to KQ and JW. The views, opinions, and/or findings contained in this manuscript are those of the authors and shall not be construed as an official Department of the Army position, policy, or decision, unless so designated by other documents. We have no conflicts of interests to disclose.
This study was pre-registered (https://osf.io/c8jq2). Materials are available in the supplemental materials or are publicly available via the Open Science Framework (https://osf.io/86pft/). All data used in analyses in this paper are publicly available online (https://osf.io/7hxn5/?view_only=eac2d94331334d23ae7485db30de2db6).
KQ and JW conceptualized the study and acquired funding for it. KP, KM, TR, & AM contributed to data collection. KP conducted the data analysis and led the writing of the original draft. JW supervised data collection, analysis, and draft writing. All authors contributed to editing the manuscript.
Research Support: Kristen Petagna, Jolie Wormwood, Karen Quigley, Alexander Ecker, Kaitlyn McMullen, and Tess Reid report financial support was provided by the U.S. Army Research Institute for the Behavioral and Social Sciences.
Relationships:There are no additional relationships to disclose
Patents and Intellectual Property: There are no patents to disclose.
Other Activities: There are no additional activities to disclose.










