The number of people living with dementia is increasing globally, particularly in middle-income countries like Turkey. To reduce risk of dementia, the implementation of lifestyle changes targeting modifiable risk factors are important. This study aimed to translate and validate the Turkish version of the Motivation to Change Lifestyle for Dementia Risk Reduction (T-MOCHAD-10).
MethodsCross-sectional psychometric study design was used. After translation and back translation, we assessed face and content validity. For construct validation and reliability assessment, we conducted a survey with 601 individuals aged 40 and above using a socio-demographic form and the T-MOCHAD-10. We used Exploratory Principal Axis Factoring with Oblimin rotation to explore the factor structure. We then confirmed the factor structure using fit indices. Reliability was established using test-re-test, Cronbach's alpha coefficient, item-total and item-subdimensions correlations, ceiling and floor effects, and the Hotelling's T-squared test.
ResultsThe T-MOCHAD-10 showed adequate face and content validity (Kendall W=0.09, p=0.60). As in the original scale, a two-factor solution was obtained. All fit indices were ≥0.95, and RMSEA was 0.06. A Cronbach's alpha of 0.79 was obtained and no significant differences were found between test and re-test measures (p>0.05). We found no evidence of ceiling or floor effects, nor response bias (Hotelling's T-squared=4683.80, p<0.001).
ConclusionT-MOCHAD-10 is a short measurement tool which provides valid and reliable scores concerning the motivation to change lifestyle for reducing dementia risk among Turkish individuals aged 40 and over.
The number of older people is increasing worldwide and the prevalence of diseases which are more likely to affect this population group is also rising. Dementia is a neuropsychiatric disorder caused by a variety of brain illnesses such as Alzheimer's disease and vascular dementia and is one of the most disabling and burdensome diseases affecting older people globally.1 The number of people living with dementia around the world, especially in middle-income countries like Turkey, has increased in the past decades and is expected to reach 75 million by 2030 and 132 million by 2050.2 In Turkey, there were approximately 800 thousand people living with dementia in 2019, and this number is expected to increase to 3 million by 2050. Considering the anticipated growth of approximately 277% between 2019-2050, public health approaches to reduce dementia risk is crucial.3 Although some known risk factors for dementia such as advanced age and genetic predisposition cannot be changed, there are many risk factors which can be modified through engaging with lifestyle changes or implementing adequate treatment to reduce risk of dementia and its global prevalence. Such risk factors include physical inactivity, unhealthy diet, harmful use of alcohol and tobacco smoking, management of weight and dyslipidemia, diabetes, and hypertension (especially in midlife)4. Building community awareness about the risk and protective factors for dementia are important, however changing lifestyle strongly depends on people’ attitudes and beliefs towards dementia prevention, which will then influence the extent to which public health actions may be successful in reducing dementia incidence.5 It is therefore important to understand people's levels of motivation to change lifestyle for dementia risk reduction in order to effectively reduce the number of people living with dementia globally.
The construct of motivation to change lifestyle for dementia risk reduction encompasses and\or links to several psychological and educational domains, such as dementia literacy, knowledge of dementia-related risk factors, and ways to address or reduce these; perceived susceptibility/severity of dementia (feeling under the threat of developing dementia), perceived benefits (a particular behavior change is bound to result in one not developing dementia), and self-efficacy (the extent to which one believes to be able to change an unhealthy behavior).6-9 Studies show that a person's level of motivation to change lifestyle for dementia risk reduction can be influenced by individual and contextual factors, such as a family history of dementia, prior experience as a caregiver of a person living with dementia10-12, willingness to know their own risk10, and worry or fear of having dementia.13,14
Motivation is a dynamic psychological trait that can be modified during a change process or intervention.15 Determining individuals’ motivation for behavioral and lifestyle change for dementia risk reduction is therefore the first step to building public health strategies that can effectively reduce dementia risk in the population. Measurement tools to evaluate individual motivation to change lifestyle for dementia risk reduction should be dementia-specific.8 The Motivation to Change Lifestyle for Dementia Risk Reduction (MOCHAD-10) is a 10-item scale developed in the United Kingdom. The MOCHAD-10 is informed by five of the seven domains of the Health Belief Model16,17: self-efficacy, perceived benefits, cues to action, perceived severity, and perceived susceptibility. It is a short and robust scale, likely to be readily used in clinical practice, and validated with a large national sample of people aged 50 and above using both exploratory and confirmatory factor analyses.8 This study aimed to translate the MOCHAD-10 into Turkish and to evaluate its psychometric properties in the Turkish population.
MethodsDesignA cross-sectional psychometric study design was employed to evaluate the validity and reliability of the Turkish version of the MOCHAD-10 scale (T-MOCHAD-10). The results were reported in line with the quality criteria for measurement properties of health status questionnaires.18 The study was conducted in three sequential steps: 1) Translation and back translation of the original scale (from British English into Turkish); 2) Face and content validity of the T-MOCHAD-10, and 3) Construct validation and reliability assessment of the T-MOCHAD-10.
- 1)
Translation and back translation of the original scale
First, the permission of the scale's first author (Dr. Oliveira) was sought to translate and validate the scale for use in Turkey. The instrument was then translated from British English into Turkish by MAA, ÖK, BAS, and BÖS. As a group, the researchers then reviewed and revised each scale item for linguistic accuracy, meaningfulness, and conceptual equivalence. The translated version was then back-translated by a professional bilingual translator unfamiliar with the original version of the scale.19 The back-translated form and the original form were compared by the researchers, and the lead author of the original version was also consulted and approved the final version.
- 2)
Face and content validity of the T-MOCHAD-10
Face validity check helped determine whether the items of the instrument were relevant and meaningful for the target individuals.20 A group of 15 individuals aged 40 and over who did not have dementia (self-report) were invited to take part via social media. An anonymous online form was designed by the researchers and contained the following questions: What are your general comments on the instrument? What are your comments on each of the statements? How long did you take to complete this instrument? Is the number of questions acceptable? Does the order of questions make sense to you? Did you find it difficult to answer or understand any of the items? Overall, how understandable and simple is the instrument? Have you experienced problems with the rating of the statements, and do you have any suggestions on this? Do you have any other suggestions for the instrument? Did you need help completing the instrument? If yes, who helped you and why?
Content validity was then checked by consulting nine research experts: four nursing academics (three with expertise in psychometrics and one expert in both geriatric nursing and applied psychometrics) and three physicians (one neurologist and two were geriatricians). Of the nursing academics, two experts were clinic nurses, one was a neurology nurse with more than eight years of experience working in the intensive care unit, and the other wasa geriatric nurse. We asked experts to rate each item using a four-point Likert scale (1. inappropriate, 2. it should be made more appropriate, 3. it is appropriate, but needs minor changes, and 4. appropriate).
- 3)
Construct validation and reliability assessment of the T-MOCHAD-10
Setting and sample: An anonymous online cross-sectional survey of people aged 40 and over who had no self-reported dementia diagnosis (n=601) was conducted between April-May 2021 in Turkey. Given the restrictions imposed by the COVID-19 pandemic, data were collected online. We did not specify any particular group or forum to do that and published posts regularly on WhatsApp groups, Instagram, and Facebook accounts to reach out to the community. Those who accessed the link to the online anonymous survey then received information about the eligibility criteria and accepted or not to take part. A convenience and snowballing sampling approach was used with the aim to each a minimum of 500 participants, which would mean 50 participants per scale item to be validated (10 items in total).21
Survey items: The online form was designed by the researchers using the Google® platform. On the landing page, information was given about the study's aim and rationale, as well as ethical considerations of anonymity and confidentiality. The survey was then divided into two sequential parts as follows.
- 1)
Socio-demographic data: age, sex, income, marital status, education level, a family member living with dementia (yes\no), caregiver of people with dementia (yes\no).
- 2)
The Turkish version of the Motivation to Change Behavior for Dementia Risk Reduction Scale (T-MOCHAD-10): 10 items responded on five-point Likert-type scales (from 1. strongly disagree to 5. strongly agree). The instrument includes two subscales: positive cues to action ( items 1, 2, 3, 4, 5) and negative cues to action ( items 6, 7, 8, 9, 10). Each item is added up to calculate each subscale's score. Higher scores indicate higher motivation to change lifestyle and health behaviors to reduce dementia risk.
Procedure: Individuals who received the survey link through social media were provided with information about the study and were asked to confirm whether they met the eligibility criteria and agreed with the participation terms. In the end, participants were asked to write their names and e-mail addresses in case they wished to be contacted to participate in the re-test (2-3 weeks later) so we could evaluate the stability of the scale over time.22,23 The survey was entirely anonymous. Participants were asked to write their name and email address only at the end of the survey and only in case they had an interest in taking part in the retest. In this case, we informed participants that "Thank you for your contributions. If you want to participate in the test again, please write your name (you can use a nickname) and email address. We will send you a request again to participate in the study after 2-3 weeks. At this stage, you can give up the study at any time. Your personal information will be destroyed after the completion of the retest stage for confidentiality and safety purposes."
Data AnalysisThe data collected was exported from the online platform into the Statistical Package for the Social Science (SPSS) version 22.0 and Analysis of Moment Structures (AMOS) 25.0 for analysis. We considered a confidence interval of 95% (p<0.05).
For face validity, answers were evaluated descriptively. For content validity, Davis technique and the Content Validity Index (CVI) were used to evaluate the experts’ opinions at item (I-CVI) and scale levels (S-CVI).24-27 The number of experts rating each item as 3 or 4 was therefore divided by the total number of experts so that we could assess I-CVI. S-CVI was computed by summing the proportion of items that were rated 4 or 3 by the number of experts. The Kendall W analysis was used to test the level of agreement among experts.
Construct validity was assessed using Explanatory Factor Analysis (EFA) and Confirmatory Factor Analysis (CFA). The study sample was randomly split using participant entry codes; the first half (n= 300) was used to explore the measurement model with EFA, and the second half (n= 301) was used to confirm the model using CFA. Data suitability for factor analysis was examined using the Kaiser-Meyer-Olkin (KMO) coefficient and Barlett Sphericity test. We used Exploratory Principal Axis Factoring (PAF) with Oblimin rotation to explore the factor structure. Eigenvalues of 1 or higher and factor loadings of at least 0.30 were considered acceptable for factor and item retention, respectively.23,24,28 For CFA, Pearson χ², degree of freedom, root mean square error of approximation (RMSEA), goodness-of-fit index (GFI), comparative fit index (CFI), and normal fit index (NFI) were examined. Reliability of the final scale was determined using Cronbach's alpha, test-retest reliability (using Pearson's correlation, t-test, and intraclass correlation coefficient (ICC))23,29,30, item-total correlations, ceiling, and floor effects, and Hotelling's T-squared test for response bias.27,29 To calculate the floor and ceiling effect the number of people who could get the floor/lowest (10/50) and highest/ceiling scores (50/50) on the instrument were summed up. It was calculated what percentage of these made up the total sample. A minimum Cronbach's α coefficient of >0.60 was considered to indicate acceptable reliability.24,26
EthicsWritten permission (via e-mail) was obtained from the first author of the original scale (Dr. Déborah Oliveira) to translate and validate the MOCHAD-10 for the Turkish population. Ethical approval was obtained from the Ethical Committee of Dokuz Eylul University (approval number: 2021/08-09 date: March 8, 2021). All participants were offered information about the study and gave their informed consent to take part. At the end of the survey, after answering all the study questions, participants were asked whether they wished to take part in the re-test phase within 2-3 weeks, for which we asked their names and email address. We informed them that they were still able to withdraw from the study at any time during that period and that their personal information would be destroyed after the completion of the retest stage for confidentiality and safety purposes. Only the research team had access to their data. Because participants provided their answers to the survey before giving any personal information (if they wished to), we believe their answers have not been affected by this.
Results- 1)
Translation and back translation
After translation and back translation, nine of the ten items were nearly exactly similar to the original items and did not need to be altered. The item 7 was revised to better reflect the Turkish meaning (“When I think about dementia, I feel overwhelmed” was replaced with “When I think of dementia, I feel nauseous”) (Supplementary material).
- 2)
Face and content validity
Face validity assessment was conducted with 15 individuals aged (mean) 55.73±10.52 years (range:40-70), 60% were female, 46.7% had a job, and over 73% reported their income status as being equal to expenditure. Participants’ level of school attainment was similarly distributed among the education groups (n=3 primary school; n=3 high school; n=3 university degree; n=4 master's degree; n=2 doctorate). Participants reported taking 2-5 min to complete the T-MOCHAD-10. All participants stated that the number and order of questions were acceptable and did not have any problems with the rating of the statements. Most participants stated that the T-MOCHAD-10 was relevant and understandable. However, one participant raised the issue that some people may not know the meaning of the word dementia. To address this, we added to the first part of the survey a brief sentence referring to terms commonly used in the Turkish culture to refer to dementia (dementia is also known as…). In content validity assessment, the I-CVI for the 10 items was in the range of 0.85 and 1 and S-CVI was 0.98. No statistically significant differences were found between the scores given for each item (Kendall W = 0.09, p = 0.60). For this reason, all items were retained in the instrument at this stage.
- 3)
Construct validation and reliability tests
The mean age of participants (n=601) was 53.86±9.31 years (range=40-85), 65.4% (n=393) were female, 83.5% (n=502) were married, 53.4% (n=321) reported their income status as being equal to expenditure, and over 11% (n=70) had a family member living with dementia (Table 1). We found a KMO coefficient of 0.79 and a Bartlett Sphericity test X2 of 959.58 (p<0.001), which demonstrated that the data were suitable for factor analysis. Within the EFA, two factors with Eigenvalues greater than 1 were determined: the first explained 29.97% and the second explained 14.74% of the total variance. Together, the two factors explained 44.71% of the total variance. Subsequent examination of the scree plot showed that a two-factor solution was optimal. Factor loadings ranged from 0.63 to 0.82 for factor 1 (‘positive cues to action’), and from 0.37 to 0.70 for factor 2 (‘negative cues to action’) (Table 2).
Socio-demographic profile of the respondents (n=601)
Factor loadings, Exploratory Principal Axis Factoring (PAF) with Oblimin rotation (n=300)
| Items* | Factor 1:Positive cues to action | Factor 2:Negative cues to action | Domains from the Health Belief Modela |
|---|---|---|---|
| 1. I am able to make differences that will change the risk of developing dementia | 0.76 | CA/SE | |
| 2. Changing my lifestyle and health habits can help me reduce my chance of developing dementia | 0.82 | CA/PB | |
| 3. Having risk factor(s) for dementia makes me think I have to change my lifestyle and behavior | 0.68 | CA | |
| 4. Learning more about dementia from the media makes me think I have to change my lifestyle and behavior | 0.63 | CA | |
| 5. Knowing family member(s) with dementia makes me think I have to change my lifestyle and behavior | 0.65 | CA | |
| 6. When I think about dementia my heart beats faster | 0.70 | CA/PSE | |
| 7. When I think about dementia I feel nauseous | 0.67 | CA/PSE | |
| 8. The thought of dementia scares me | 0.62 | CA/PSE | |
| 9. My feelings about myself would change if I develop dementia | 0.37 | CA/PSE | |
| 10. There is a strong possibility that I will develop dementia | 0.43 | CA/PSU | |
| Explained variance (%) | 29.97 | 14.74 |
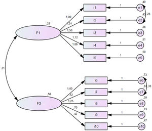
The CFA applied to the two-factor solution initially suggested that the model was not appropriate. Both the CFI (=0.85) and the GFI (=0.87) had a lower than the acceptable value of 0.90 and 0.95, respectively. Errors related to covariances were addressed and the model then indicated a better fit. CFA revealed adequate factor loadings ranging from 0.42 to 1.50 (Figure 1). Model fit indicators were determined as follows: CFI=0.96, GFI=0.95, NFI=0.93, Chi-square/degree of freedom (x²/df) = 2.27, p<0.001, and RMSEA=0.06 (Figure 1). Using Pearson product-moment correlation, we found a moderate, positive correlation between positive cues to action and negative cues to action subscales, which was statistically significant (r=0.336, p<0.001) (Figure 2).
In the test-re-test (n=65), the mean score of the 65 participants was 32.86±5.57 on the test and 33.27±5.84 for the re-test. No significant differences were observed between the test and retest average scores (t =-0.98, p=0.32), indicating the stability of measurements over time. A Pearson product-moment correlation was run to determine the relationship between total scores of T-MOCHAD-10 test and the re-test. There was a strong, positive correlation between the total scores of T-MOCHAD-10 test and the re-test, which was statistically significant (r=0.823, p<0.001) (Table 3). The T-MOCHAD-10 was also found to be reliable with respect to its test-retest reliability, with an intraclass correlation coefficient (ICC) of 0.903 (confidence interval [CI] 95%: 0.841-0.941) for the total scale, 0.763 (CI:0.611-0.856) for the positive cues to action subscale, and 0.873 (CI:0.793-0.923) for the negative cues to action subscale. The Cronbach's α score for the entire scale was 0.79 (‘positive cues to action’ = 0.82, ‘negative cues to action’ factor = 0.73). The Hotelling's T-squared test was 4683.80, with a significance of p<0.001, demonstrating an absence of response bias. We also found no floor or ceiling effects (=0.33%). All the item-total correlations were acceptable, ranging between 0.39 and 0.68: from 0.72 to 0.82 for positive cues to action and from 0.55 to 0.79 for negative cues to action (Table 4).
Test-re-test of the T-MOCHAD-10 (n=65)
t: paired sample t-test, r: Pearson product-moment correlation
Item-total and item-subdimension correlation scores (n=601)
We aimed to develop and validate the Turkish version of the MOCHAD-10 scale for use in Turkey. Using face and content validity assessments, as well as exploratory and confirmatory factor analyses and reliability tests, we showed that the T-MOCHAD-10 generates valid and reliable scores of motivation to change lifestyle for dementia risk reduction among the Turkish population aged 40 and over. As with the original version, a 10-item two-factor structure produced the best psychometric performance.
This is the first study to translate and validate the MOCHAD-10 into another language and context, and the original study did not include face validity8, therefore we do not have any elements for comparison. However, our study demonstrated that the target population did not have difficulty in completing the scale, and that all the items were understandable and considered to be relevant. The content validity scores (I-CVI and S-CVI) were all above the minimally required30, which demonstrates that we were able to reach acceptable agreement among the experts and that the MOCHAD-10 appears to measure the concept it is intended to measure.
The two-factor structure of T-MOCHAD-10 was identical to the one found in the original study, demonstrating that the items had a high level of relationship with their respective factors and that both factors can adequately measure the construct they intend to measure in a strong factor structure, similarly to the original study.8 After addressing some errors in covariances, the CFA results indicated that the factor loadings and fit indices were all within the limits stated in the literature, confirming that the factor structure of the instrument was the best possible fit.31,32 In general, the change in fit as a result of error correlation results in 0.02 to 0.03 betterment in fit across indices.33 If correlated errors occur because of the researcher's aim to achieve a good model fit for their data, it means that the probability of correlated errors is reduced if a model already has an acceptable fit.34 In this study, both the CFI (=0.85) and the GFI (=0.87) values were very close to the acceptable values of 0.90 and 0.95, respectively. For this reason, error covariances were addressed to indicate a better fit, with all fit indices being larger than the established threshold. The original version of MOCHAD-10 had similar fix indexes after addressing some errors in covariances (CFI=0.93, GFI=0.96, RMSEA=0.07, x²/df=11.10, p<0.001).8 These results indicate that the scale can provide valid outcomes of motivation to change lifestyle for dementia risk reduction among Turkish people aged 40 and above.
The T-MOCHAD-10 was found to provide highly reliable scores both by the test-re-test and by the internal consistency scores, meaning that the T-MOCHAD-10 can provide reliable outcomes when measuring the participants’ motivation to change lifestyle for reducing the risk of dementia. The Cronbach's α was similar to what was found in the original study (total α=0.78, positive cues to action=0.81 and negative cues to action=0.70).8 The Hotelling T-square test also indicated no significant response bias, suggesting that the participants answered questions based on their opinions, rather than on external factors.27,35 We found a floor and ceiling effect of 0.33%, which is much under the limit of 20%, demonstrating an absence of such bias.27,35
ConclusionThis study evaluated the psychometric properties of the Turkish version of the Motivation to Change Lifestyle for Dementia Risk Reduction (T-MOCHAD-10). The results obtained from this study showed that the MOCHAD-10 was a robust two-factor structure tool that provides valid and reliable outcomes reflecting people's motivation to change lifestyles for dementia risk reduction. By using this scale, health professionals will be able to assess people's motivation to change lifestyles for developing risk of dementia and engage in appropriate initiatives to enable people to implement these changes. Since this study involved a non-probabilistic sample and was conducted online, people without internet access were arguably not able to participate in the study. These may limit the wide generalization of the study results. Further studies should consider collecting data face-to-face to evaluate whether the participants understand the items and to allow for participation from a wider group of individuals.
AcronymsCFA: Confirmatory Factor Analysis; CFI: Comparative Fit Index; EFA: Exploratory Factor Analysis; GFI: Goodness-of-Fit Index; KMO: Kaiser-Meyer-Olkin; MOCHAD-10: Motivation to Change Behavior for Dementia Risk Reduction Scale, PAF: Principal Axis Factoring, RMSEA: Root Mean Square Error of Approximation; T-MOCHAD-10: Turkish Version of Motivation to Change Behavior for Dementia Risk Reduction Scale.
Author StatementsEthical ApprovalEthical approval was obtained from the Ethical Committee of Dokuz Eylul University (approval number: 2021/08-09 date: March 8, 2021).
FundingThis study was not funded.
Competing InterestsThe authors declare no conflicts of interest.
AcknowledgmentThe authors are grateful to the participants for their participation in this study.
Author ContributionsAll authors were involved in the conception and design of the study. M.A.A., Ö.K., and B.A.S. performed the statistical analyses. M.A.A. wrote the first draft of the manuscript. All authors critically revised the manuscript for important intellectual content and approved the final version submitted.
Data Availability StatementAll data generated or analyzed during this study are included in this article and its supplementary material files. Further inquiries can be directed to the corresponding author.



